Synthesis of Indole Derivatives via Aryl Triazole Ring-Opening and Subsequent Cyclization
Abstract
1. Introduction
2. Results and Discussion
3. Materials and Methods
3.1. General Information
3.2. General Methods
3.3. Characterization Data for Products
- Methyl (E)-3-(9H-carbazol-9-yl)-3-[(4-nitrophenyl)amino]acrylate (2a)
- (E)-4-(2-(9H-Carbazol-9-yl)-2-((4-nitrophenyl)imino)acetyl)benzonitrile (2b′)
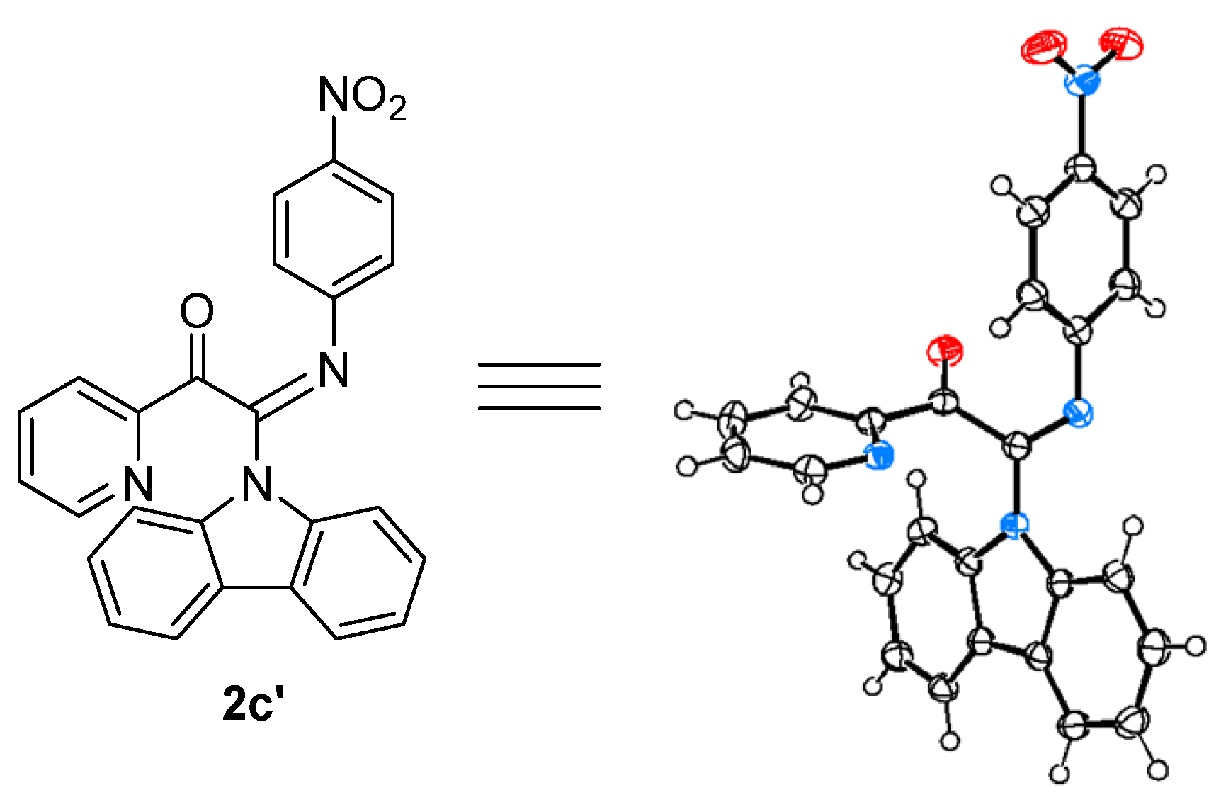
- (E)-2-(9H-Carbazol-9-yl)-2-((4-nitrophenyl)imino)-1-(pyridin-2-yl)ethan-1-one (2c′)
- (E)-2-(9H-Carbazol-9-yl)-2-((4-nitrophenyl)imino)-1-(pyrimidin-5-yl)ethan-1-one (2d′)
- Methyl 2-(9H-carbazol-9-yl)-5-nitro-1H-indole-3-carboxylate (3a)
- (E)-N-[1-(9H-Carbazol-9-yl)-2-(2-chloro-9-heptyl-9H-purin-6-yl)vinyl]aniline (5a)
- (E)-N-[1-(9H-Carbazol-9-yl)-2-(2-chloro-9-heptyl-9H-purin-6-yl)vinyl]-4-nitroaniline (5b)
- (E)-N-[1-(9H-Carbazol-9-yl)-2-(2-chloro-9-heptyl-9H-purin-6-yl)vinyl]-4-methoxyaniline (5c)
- (E)-N-{[1-(9H-Carbazol-9-yl)-2-(2-chloro-9-heptyl-9H-purin-6-yl)vinyl]amino}benzonitrile (5d)
- (E)-N1-[1-(9H-Carbazol-9-yl)-2-(2-chloro-9-heptyl-9H-purin-6-yl)vinyl]-N4,N4-dimethylbenzene-1,4-diamine (5e)
- (E)-N-(1-(9H-Carbazol-9-yl)-2-(9-heptyl-2-(1-phenyl-1H-1,2,3-triazol-4-yl)-9H-purin-6-yl)vinyl)aniline (5h)
- 9-[3-(2-Chloro-9-heptyl-9H-purin-6-yl)-1H-indol-2-yl]-9H-carbazole (6a)
- 9-[3-(2-Chloro-9-heptyl-9H-purin-6-yl)-5-nitro-1H-indol-2-yl]-9H-carbazole (6b)
- 9-[3-(2-Chloro-9-heptyl-9H-purin-6-yl)-5-methoxy-1H-indol-2-yl]-9H-carbazole (6c)
- 2-(9H-Carbazol-9-yl)-3-(2-chloro-9-heptyl-9H-purin-6-yl)-1H-indole-5-carbonitrile (6d)
- 9-[3-(9-Heptyl-9H-purin-6-yl)-1H-indol-2-yl]-9H-carbazole (6f)
- 9-[3-(9-Heptyl-9H-purin-6-yl)-5-nitro-1H-indol-2-yl]-9H-carbazole (6g)
- (E)-2-(2-Chloro-9-heptyl-9H-purin-6-yl)-N,N,N’-triphenylethene-1,1-diamine (7a)
- (E)-2-(2-Chloro-9-heptyl-9H-purin-6-yl)-N-(4-nitrophenyl)-N’,N’-diphenylethene-1,1-diamine (7b)
- 3-(2-Chloro-9-heptyl-9H-purin-6-yl)-N,1-diphenyl-1H-indol-2-amine (8a)
- 3-(2-Chloro-9-heptyl-9H-purin-6-yl)-N-(4-nitrophenyl)-1-phenyl-1H-indol-2-amine (8b)
4. Conclusions
Supplementary Materials
Author Contributions
Funding
Institutional Review Board Statement
Informed Consent Statement
Data Availability Statement
Acknowledgments
Conflicts of Interest
References
- Shaw, G. 4.09-Purines. In Comprehensive Heterocyclic Chemistry; Katritzky, A.R., Rees, C.W., Eds.; Elsevier: Pergamon, Turkey, 1984; Volume 5, pp. 499–605. [Google Scholar]
- Legraverend, M.; Grierson, D.S. The Purines: Potent and Versatile Small Molecule Inhibitors and Modulators of Key Biological Targets. Bioorg. Med. Chem. 2006, 14, 3987–4006. [Google Scholar] [CrossRef]
- Inman, M.; Moody, C.J. Indole Synthesis-Something Old, Something New. Chem. Sci. 2013, 4, 29–41. [Google Scholar] [CrossRef]
- Dorababu, A. Indole—A Promising Pharmacophore in Recent Antiviral Drug Discovery. RSC Med. Chem. 2020, 11, 1335–1353. [Google Scholar] [CrossRef]
- Venkatesham, A.; Pillalamarri, S.R.; De Wit, F.; Lescrinier, E.; Debyser, Z.; Van Aerschot, A. Propargylated Purine Deoxynucleosides: New Tools for Fluorescence Imaging Strategies. Molecules 2019, 24, 468. [Google Scholar] [CrossRef] [PubMed]
- Saito, Y.; Hudson, R.H.E. Base-Modified Fluorescent Purine Nucleosides and Nucleotides for Use in Oligonucleotide Probes. J. Photochem. Photobiol. C Photochem. Rev. 2018, 36, 48–73. [Google Scholar] [CrossRef]
- Nan, M.; Niu, W.; Fan, L.; Lu, W.; Shuang, S.; Li, C.; Dong, C. Indole-Based pH Probe with Ratiometric Fluorescence Behavior for Intracellular Imaging. RSC Adv. 2015, 5, 99739–99744. [Google Scholar] [CrossRef]
- Wang, Q.; Li, D.; Rao, N.; Zhang, Y.; Le, Y.; Liu, L.; Huang, L.; Yan, L. Development of Indole-Based Fluorescent Probe for Detection of Fluoride and Cell Imaging of HepG2. Dye. Pigment. 2021, 188, 109166. [Google Scholar] [CrossRef]
- Rankin, K.M.; Sproviero, M.; Rankin, K.; Sharma, P.; Wetmore, S.D.; Manderville, R.A. C8-Heteroaryl-2′-Deoxyguanosine Adducts as Conformational Fluorescent Probes in the Narl Recognition Sequence. J. Org. Chem. 2012, 77, 10498–10508. [Google Scholar] [CrossRef]
- Fadock, K.L.; Manderville, R.A.; Sharma, P.; Wetmore, S.D. Optimization of Fluorescent 8-Heteroaryl-Guanine Probes for Monitoring Protein-Mediated Duplex → G-Quadruplex Exchange. Org. Biomol. Chem. 2016, 14, 4409–4419. [Google Scholar] [CrossRef] [PubMed]
- Schlitt, K.M.; Millen, A.L.; Wetmore, S.D.; Manderville, R.A. An Indole-Linked C8-Deoxyguanosine Nucleoside Acts as a Fluorescent Reporter of Watson-Crick versus Hoogsteen Base Pairing. Org. Biomol. Chem. 2011, 9, 1565–1571. [Google Scholar] [CrossRef] [PubMed]
- Ye, F.; Chen, L.; Hu, L.; Xiao, T.; Yu, S.; Chen, D.; Wang, Y.; Liang, G.; Liu, Z.; Wang, S. Design, Synthesis and Preliminary Biological Evaluation of C-8 Substituted Guanine Derivatives as Small Molecular Inhibitors of FGFRs. Bioorg. Med. Chem. Lett. 2015, 25, 1556–1560. [Google Scholar] [CrossRef]
- Guo, S.Y.; Wei, L.Y.; Song, B.B.; Hu, Y.T.; Jiang, Z.; Zhao, D.D.; Xu, Y.H.; Lin, Y.W.; Xu, S.M.; Chen, S.B.; et al. Design, Synthesis and Evaluation of 2-Pyrimidinylindole Derivatives as Anti-Obesity Agents by Regulating Lipid Metabolism. Eur. J. Med. Chem. 2023, 260, 115729. [Google Scholar] [CrossRef]
- Wang, Z.; Li, K.; Zhao, D.; Lan, J.; You, J. Palladium-Catalyzed Oxidative C-H/C-H Cross-Coupling of Indoles and Pyrroles with Heteroarenes. Angew. Chem.-Int. Ed. 2011, 50, 5365–5369. [Google Scholar] [CrossRef]
- Guo, H.M.; Li, P.; Niu, H.Y.; Wang, D.C.; Qu, G.R. Direct Synthesis of 6-Arylpurines by Reaction of 6-Chloropurines with Activated Aromatics. J. Org. Chem. 2010, 75, 6016–6018. [Google Scholar] [CrossRef] [PubMed]
- Takenaga, N.; Shoji, T.; Menjo, T.; Hirai, A.; Ueda, S.; Kikushima, K.; Hanasaki, T.; Dohi, T. Nucleophilic Arylation of Halopurines Facilitated by Brønsted Acid in Fluoroalcohol. Molecules 2019, 24, 3812. [Google Scholar] [CrossRef] [PubMed]
- Khandelwal, R.; Vasava, M.; Abhirami, R.B.; Karsharma, M. Recent Advances in Triazole Synthesis via Click Chemistry and Their Pharmacological Applications: A Review. Bioorg. Med. Chem. Lett. 2024, 112, 129927. [Google Scholar] [CrossRef]
- Cosyn, L.; Palaniappan, K.K.; Kim, S.K.; Duong, H.T.; Gao, Z.G.; Jacobson, K.A.; Van Calenbergh, S. 2-Triazole-Substituted Adenosines: A New Class of Selective A3 Adenosine Receptor Agonists, Partial Agonists, and Antagonists. J. Med. Chem. 2006, 49, 7373–7383. [Google Scholar] [CrossRef]
- Neres, J.; Labello, N.P.; Somu, R.V.; Boshoff, H.I.; Wilson, D.J.; Vannada, J.; Chen, L.; Barry, C.E.; Bennett, E.M.; Aldrich, C.C. Inhibition of Siderophore Biosynthesis in Mycobacterium tuberculosis with Nucleoside Bisubstrate Analogues: Structure-Activity Relationships of the Nucleobase Domain of 5′-O-[N-(Salicyl)Sulfamoyl]Adenosine. J. Med. Chem. 2008, 51, 5349–5370. [Google Scholar] [CrossRef] [PubMed]
- Lakshman, M.K.; Kumar, A.; Balachandran, R.; Day, B.W.; Andrei, G.; Snoeck, R.; Balzarini, J. Synthesis and Biological Properties of C-2 Triazolylinosine Derivatives. J. Org. Chem. 2012, 77, 5870–5883. [Google Scholar] [CrossRef]
- Lakshman, M.K.; Singh, M.K.; Parrish, D.; Balachandran, R.; Day, B.W. Azide-Tetrazole Equilibrium of C-6 Azidopurine Nucleosides and Their Ligation Reactions with Alkynes. J. Org. Chem. 2010, 75, 2461–2473. [Google Scholar] [CrossRef] [PubMed]
- Mathew, S.C.; By, Y.; Berthault, A.; Virolleaud, M.A.; Carrega, L.; Chouraqui, G.; Commeiras, L.; Condo, J.; Attolini, M.; Gaudel-Siri, A.; et al. Expeditious Synthesis and Biological Evaluation of New C-6 1,2,3-Triazole Adenosine Derivatives A1 Receptor Antagonists or Agonists. Org. Biomol. Chem. 2010, 8, 3874–3881. [Google Scholar] [CrossRef]
- Dyrager, C.; Börjesson, K.; Dinér, P.; Elf, A.; Albinsson, B.; Wilhelmsson, L.M.; Grøtli, M. Synthesis and Photophysical Characterisation of Fluorescent 8-(1H-1,2,3-Triazol-4-yl)Adenosine Derivatives. Eur. J. Org. Chem. 2009, 2009, 1515–1521. [Google Scholar] [CrossRef]
- Redwan, I.N.; Bliman, D.; Tokugawa, M.; Lawson, C.; Grøtli, M. Synthesis and Photophysical Characterization of 1- and 4-(Purinyl)Triazoles. Tetrahedron 2013, 69, 8857–8864. [Google Scholar] [CrossRef]
- Creech, C.; Kanaujia, M.; Causey, C.P. Synthesis and Evaluation of 2-Ethynyl-Adenosine-5′-Triphosphate as a Chemical Reporter for Protein AMPylation. Org. Biomol. Chem. 2015, 13, 8550–8555. [Google Scholar] [CrossRef]
- Buchanan, H.S.; Pauff, S.M.; Kosmidis, T.D.; Taladriz-Sender, A.; Rutherford, O.I.; Hatit, M.Z.C.; Fenner, S.; Watson, A.J.B.; Burley, G.A. Modular, Step-Efficient Palladium-Catalyzed Cross-Coupling Strategy to Access C6-Heteroaryl 2-Aminopurine Ribonucleosides. Org. Lett. 2017, 19, 3759–3762. [Google Scholar] [CrossRef]
- Kriķis, K.E.; Novosjolova, I.; Mishnev, A.; Turks, M. 1,2,3-Triazoles as Leaving Groups in SNAr-Arbuzov Reactions: Synthesis of C6-Phosphonated Purine Derivatives. Beilstein J. Org. Chem. 2021, 17, 193–202. [Google Scholar] [CrossRef] [PubMed]
- Cīrule, D.; Novosjolova, I.; Bizdēna, Ē.; Turks, M. 1,2,3-Triazoles as Leaving Groups: SNAr Reactions of 2,6-Bistriazolylpurines with O- And C-Nucleophiles. Beilstein J. Org. Chem. 2021, 17, 410–419. [Google Scholar] [CrossRef]
- Kovaļovs, A.; Novosjolova, I.; Bizdēna, Ē.; Bižāne, I.; Skardziute, L.; Kazlauskas, K.; Jursenas, S.; Turks, M. 1,2,3-Triazoles as Leaving Groups in Purine Chemistry: A Three-Step Synthesis of N6-Substituted-2-Triazolyl-Adenine Nucleosides and Photophysical Properties Thereof. Tetrahedron Lett. 2013, 54, 850–853. [Google Scholar] [CrossRef]
- Novosjolova, I.; Bizdēna, Ē.; Turks, M. Application of 2,6-Diazidopurine Derivatives in the Synthesis of Thiopurine Nucleosides. Tetrahedron Lett. 2013, 54, 6557–6561. [Google Scholar] [CrossRef]
- Jovaisaite, J.; Cīrule, D.; Jeminejs, A.; Novosjolova, I.; Turks, M.; Baronas, P.; Komskis, R.; Tumkevicius, S.; Jonusauskas, G.; Jursenas, S. Proof of Principle of a Purine D-A-D′ Ligand Based Ratiometric Chemical Sensor Harnessing Complexation Induced Intermolecular PET. Phys. Chem. Chem. Phys. 2020, 22, 26502–26508. [Google Scholar] [CrossRef]
- Burcevs, A.; Sebris, A.; Traskovskis, K.; Chu, H.W.; Chang, H.T.; Jovaišaitė, J.; Juršėnas, S.; Turks, M.; Novosjolova, I. Synthesis of Fluorescent C–C Bonded Triazole-Purine Conjugates. J. Fluoresc. 2024, 34, 1091–1097. [Google Scholar] [CrossRef]
- Šišuļins, A.; Bucevičius, J.; Tseng, Y.T.; Novosjolova, I.; Traskovskis, K.; Bizdēna, Ē.; Chang, H.T.; Tumkevičius, S.; Turks, M. Synthesis and Fluorescent Properties of N(9)-Alkylated 2-Amino-6-Triazolylpurines and 7-Deazapurines. Beilstein J. Org. Chem. 2019, 15, 474–489. [Google Scholar] [CrossRef]
- Sebris, A.; Novosjolova, I.; Traskovskis, K.; Kokars, V.; Tetervenoka, N.; Vembris, A.; Turks, M. Photophysical and Electrical Properties of Highly Luminescent 2/6-Triazolyl-Substituted Push-Pull Purines. ACS Omega 2022, 7, 5242–5253. [Google Scholar] [CrossRef] [PubMed]
- Fulloon, B.E.; Wentrup, C. Imidoylketene-Oxoketenimine Interconversion. Rearrangement of a Carbomethoxyketenimine to a Methoxyimidoylketene and 2-Methoxy-4-Quinolone. J. Org. Chem. 1996, 61, 1363–1367. [Google Scholar] [CrossRef]
- Clarke, D.; Mares, W.; McNab, H. Preparation and pyrolysis of 1-(pyrazol-5-yl)-1,2,3-triazoles and related compounds. J. Chem. Soc. Perkin Trans. 1 1997, 12, 1799–1804. [Google Scholar] [CrossRef]
- Rao, V.V.R.; Wentrup, C. Synthesis of Aminoquinolones from Triazoles via Carboxamidoketenimine and Amidinoketene Intermediates. J. Chem. Soc. Perkin Trans. 1 1998, 16, 2583–2586. [Google Scholar] [CrossRef]
- Fulloon, B.E.; Wentrup, C. Fluoroquinolones from Imidoylketenes and Iminopropadienones, R-N=C=C=C=O. Aust. J. Chem. 2009, 62, 115–120. [Google Scholar] [CrossRef]
- Davies, H.M.L.; Alford, J.S. Reactions of Metallocarbenes Derived from N-Sulfonyl-1,2,3-Triazoles. Chem. Soc. Rev. 2014, 43, 5151–5162. [Google Scholar] [CrossRef]
- Zhao, Y.Z.; Yang, H.B.; Tang, X.Y.; Shi, M. RhII-Catalyzed [3+2] Cycloaddition of 2 H-Azirines with N-Sulfonyl-1,2,3-Triazoles. Chem.—A Eur. J. 2015, 21, 3562–3566. [Google Scholar] [CrossRef] [PubMed]
- Horneff, T.; Chuprakov, S.; Chernyak, N.; Gevorgyan, V.; Fokin, V.V. Rhodium-Catalyzed Transannulation of 1,2,3-Triazoles with Nitriles. J. Am. Chem. Soc. 2008, 130, 14972–14974. [Google Scholar] [CrossRef]
- Feng, Y.; Zhou, W.; Sun, G.; Liao, P.; Bi, X.; Li, X. Highly Efficient Synthesis of N-Sulfonylamidines via Silver-Catalyzed or Metal-Free Thermally Promoted Denitrogenative Amination of N-Sulfonyl-1,2,3-Triazoles. Synthesis 2017, 49, 1371–1379. [Google Scholar] [CrossRef]
- Wang, Y.; Wu, Y.; Li, Y.; Tang, Y. Denitrogenative Suzuki and Carbonylative Suzuki Coupling Reactions of Benzotriazoles with Boronic Acids. Chem. Sci. 2017, 8, 3852–3857. [Google Scholar] [CrossRef]
- Yoo, E.J.; Bae, I.; Sharpless, K.B.; Fokin, V.V.; Chang, S. Mechanistic Studien on the Cu-catalyzed Three-Component Reactions of Sulfonyl Azides, 1-Alkynes and Amines, Alcohols, or Water: Dichotomy via a Common Pathway. J. Org. Chem. 2008, 73, 5520–5528. [Google Scholar] [CrossRef]
- Liu, Y.; Xie, P.; Li, J.; Bai, W.J.; Jiang, J. Nickel-Catalyzed Coupling of N-Sulfonyl-1,2,3-Triazole with H-Phosphine Oxides: Stereoselective and Site-Selective Synthesis of α-Aminovinylphosphoryl Derivatives. Org. Lett. 2019, 21, 4944–4949. [Google Scholar] [CrossRef]
- Kubíčková, A.; Markos, A.; Voltrová, S.; Marková, A.; Filgas, J.; Klepetářová, B.; Slavíček, P.; Beier, P. Aza-Wolff Rearrangement of N-Fluoroalkyl Triazoles to Ketenimines. Org. Chem. Front. 2023, 10, 3201–3206. [Google Scholar] [CrossRef]
- Barral, K.; Moorhouse, A.D.; Moses, J.E. Efficient Conversion of Aromatic Amines into Azides: A One-Pot Synthesis of Triazole Linkages. Org. Lett. 2007, 9, 1809–1811. [Google Scholar] [CrossRef]
- Bag, S.S.; Kundu, R. Installation/Modulation of the Emission Response via Click Reaction. J. Org. Chem. 2011, 76, 3348–3356. [Google Scholar] [CrossRef]
- Alonso, F.; Moglie, Y.; Radivoy, G.; Yus, M. Click Chemistry from Organic Halides, Diazonium Salts and Anilines in Water Catalysed by Copper Nanoparticles on Activated Carbon. Org. Biomol. Chem. 2011, 9, 6385–6395. [Google Scholar] [CrossRef] [PubMed]
- Kim, T.Y.; Elliott, A.B.S.; Shaffer, K.J.; John McAdam, C.; Gordon, K.C.; Crowley, J.D. Rhenium(I) Complexes of Readily Functionalized Bidentate Pyridyl-1,2,3-Triazole “Click” Ligands: A Systematic Synthetic, Spectroscopic and Computational Study. Polyhedron 2013, 52, 1391–1398. [Google Scholar] [CrossRef]
- Molteni, G.; Ponti, A. Arylazide Cycloaddition to Methyl Propiolate: DFT-Based Quantitative Prediction of Regioselectivity. Chem. A Eur. J. 2003, 9, 2770–2774. [Google Scholar] [CrossRef] [PubMed]
- Wex, B.; Kaafarani, B.R. Perspective on Carbazole-Based Organic Compounds as Emitters and Hosts in TADF Applications. J. Mater. Chem. C 2017, 5, 8622–8653. [Google Scholar] [CrossRef]
- Greger, H. Phytocarbazoles: Alkaloids with Great Structural Diversity and Pronounced Biological Activities. Phytochem. Rev. 2017, 16, 1095–1153. [Google Scholar] [CrossRef]
- Patil, S.A.; Patil, S.A.; Ble-González, E.A.; Isbel, S.R.; Hampton, S.M.; Bugarin, A. Carbazole Derivatives as Potential Antimicrobial Agents. Molecules 2022, 27, 6575. [Google Scholar] [CrossRef]
- Shi, Z.; Glorius, F. Efficient and Versatile Synthesis of Indoles from Enamines and Imines by Cross-Dehydrogenative Coupling. Angew. Chem.-Int. Ed. 2012, 51, 9220–9222. [Google Scholar] [CrossRef]
- Bernini, R.; Fabrizi, G.; Sferrazza, A.; Cacchi, S. Copper-Catalyzed C-C Bond Formation through C-H Functionalization: Synthesis of Multisubstituted Indoles from N-Aryl Enaminones. Angew. Chem.-Int. Ed. 2009, 48, 8078–8081. [Google Scholar] [CrossRef]
- Drouhin, P.; Taylor, R.J.K. A Copper-Mediated Oxidative Coupling Route to 3H- and 1H-Indoles from N-Aryl-Enamines. Eur. J. Org. Chem. 2015, 11, 2333–2336. [Google Scholar] [CrossRef]
- Huang, F.; Wu, P.; Wang, L.; Chen, J.; Sun, C.; Yu, Z. Copper-Mediated Intramolecular Oxidative C-H/C-H Cross-Coupling of α-Oxo Ketene N, S -Acetals for Indole Synthesis. J. Org. Chem. 2014, 79, 10553–10560. [Google Scholar] [CrossRef]
- Guan, Z.H.; Yan, Z.Y.; Ren, Z.H.; Liu, X.Y.; Liang, Y.M. Preparation of Indoles via Iron Catalyzed Direct Oxidative Coupling. Chem. Commun. 2010, 46, 2823–2825. [Google Scholar] [CrossRef]
- Zhao, L.; Qiu, C.; Zhao, L.; Yin, G.; Li, F.; Wang, C.; Li, Z. Base-Promoted, CBr4-Mediated Tandem Bromination/Intramolecular Friedel-Crafts Alkylation of N-Aryl Enamines: A Facile Access to 1H- And 3H-Indoles. Org. Biomol. Chem. 2021, 19, 5377–5382. [Google Scholar] [CrossRef] [PubMed]
- Yu, W.; Du, Y.; Zhao, K. PIDA-Mediated Oxidative C-C Bond Formation: Novel Synthesis of Indoles from N-Aryl Enamines. Org. Lett. 2009, 11, 2417–2420. [Google Scholar] [CrossRef]
- He, Z.; Li, H.; Li, Z. Iodine-Mediated Synthesis of 3H -Indoles via Intramolecular Cyclization of Enamines. J. Org. Chem. 2010, 75, 4636–4639. [Google Scholar] [CrossRef] [PubMed]
- Wang, M.; Yu, W.; Chang, J. I2-Mediated Oxidation of Amines in Water toward Imines and Amides. Asian J. Org. Chem. 2023, 12, e202300159. [Google Scholar] [CrossRef]
- He, Z.; Liu, W.; Li, Z. I2-Catalyzed Indole Formation via Oxidative Cyclization of N-Aryl Enamines. Chem. Asian J. 2011, 6, 1340–1343. [Google Scholar] [CrossRef] [PubMed]
- Le, P.Q.; Dinh, V.M.; Nguyen, D.D.T.; Ha, H.Q.; Truong, T.V. Iodine-promoted amide formation via oxidative cleavage of indoles: Novel quinazoline-4(3H)-one and tryptanthrin syntheses. RSC Adv. 2024, 14, 15597–15603. [Google Scholar] [CrossRef] [PubMed]
- Choi, W.; Kim, J.; Ryu, T.; Kim, K.-B.; Lee, P.H. Synthesis of N-Imidoyl and N-Oxoimidoyl Sulfoximines from 1-Alkynes, N-Sulfonyl Azides, and Sulfoximines. Org. Lett. 2015, 17, 3330–3333. [Google Scholar] [CrossRef]
- Ramachary, D.B.; Shashank, A.B.; Karthik, S. An Organocatalytic Azide–Aldehyde [3+2] Cycloaddition: High-Yielding Regioselective Synthesis of 1,4-Disubstituted 1,2,3-Triazoles. Angew. Chem. Int. Ed. 2014, 53, 10420–10424. [Google Scholar] [CrossRef]
- Das, J.; Patil, S.N.; Awasthi, R.; Narasimhulu, C.P.; Trehan, S. An Easy Access to Aryl Azides from Aryl Amines under Neutral Conditions. Synthesis 2005, 1801–1806. [Google Scholar] [CrossRef]
- Westrip, S.P. publCIF: software for editing, validating and formatting crystallographic information files. J. Appl. Cryst. 2010, 43, 920–925. [Google Scholar] [CrossRef]









| Entry | Starting Material 4a–h | Substituents | Yield of Comp. 5, % for the Transformation 4→5 | Yield of Comp. 6, % for the Transformation 5→6 | Yield of Comp. 6, % for the One-Pot Process 4→[5]→6 | |
|---|---|---|---|---|---|---|
| X | Y | |||||
| 1 | 4a | Cl | H | 5a, 63 | 6a, 84 | 6a, 63 |
| 2 | 4b | Cl | NO2 | 5b, 84 | 6b, 60 | 6b, 48 |
| 3 | 4c | Cl | OMe | 5c, 69 | 6c, 75 | 6c, 48 |
| 4 | 4d | Cl | CN | 5d, 88 | 6d, 57 | 6d, 70 |
| 5 | 4e | Cl | NMe2 | 5e, 68 * | - | - |
| 6 | 4f | H | H | - | - | 6f, 35 |
| 7 | 4g | H | NO2 | - | - | 6g, 55 |
| 8 | 4h | ![]() | H | 5h, 33 | - | - |
Disclaimer/Publisher’s Note: The statements, opinions and data contained in all publications are solely those of the individual author(s) and contributor(s) and not of MDPI and/or the editor(s). MDPI and/or the editor(s) disclaim responsibility for any injury to people or property resulting from any ideas, methods, instructions or products referred to in the content. |
© 2025 by the authors. Licensee MDPI, Basel, Switzerland. This article is an open access article distributed under the terms and conditions of the Creative Commons Attribution (CC BY) license (https://creativecommons.org/licenses/by/4.0/).
Share and Cite
Burcevs, A.; Sebris, A.; Novosjolova, I.; Mishnev, A.; Turks, M. Synthesis of Indole Derivatives via Aryl Triazole Ring-Opening and Subsequent Cyclization. Molecules 2025, 30, 337. https://doi.org/10.3390/molecules30020337
Burcevs A, Sebris A, Novosjolova I, Mishnev A, Turks M. Synthesis of Indole Derivatives via Aryl Triazole Ring-Opening and Subsequent Cyclization. Molecules. 2025; 30(2):337. https://doi.org/10.3390/molecules30020337
Chicago/Turabian StyleBurcevs, Aleksejs, Armands Sebris, Irina Novosjolova, Anatoly Mishnev, and Māris Turks. 2025. "Synthesis of Indole Derivatives via Aryl Triazole Ring-Opening and Subsequent Cyclization" Molecules 30, no. 2: 337. https://doi.org/10.3390/molecules30020337
APA StyleBurcevs, A., Sebris, A., Novosjolova, I., Mishnev, A., & Turks, M. (2025). Synthesis of Indole Derivatives via Aryl Triazole Ring-Opening and Subsequent Cyclization. Molecules, 30(2), 337. https://doi.org/10.3390/molecules30020337


