Investigating the Adsorption and Corrosion Protection Efficacy and Mechanism of Marjoram Extract on Mild Steel in HCl Medium
Abstract
1. Introduction
2. Results and Discussion
2.1. Weight Loss (WL) Assay
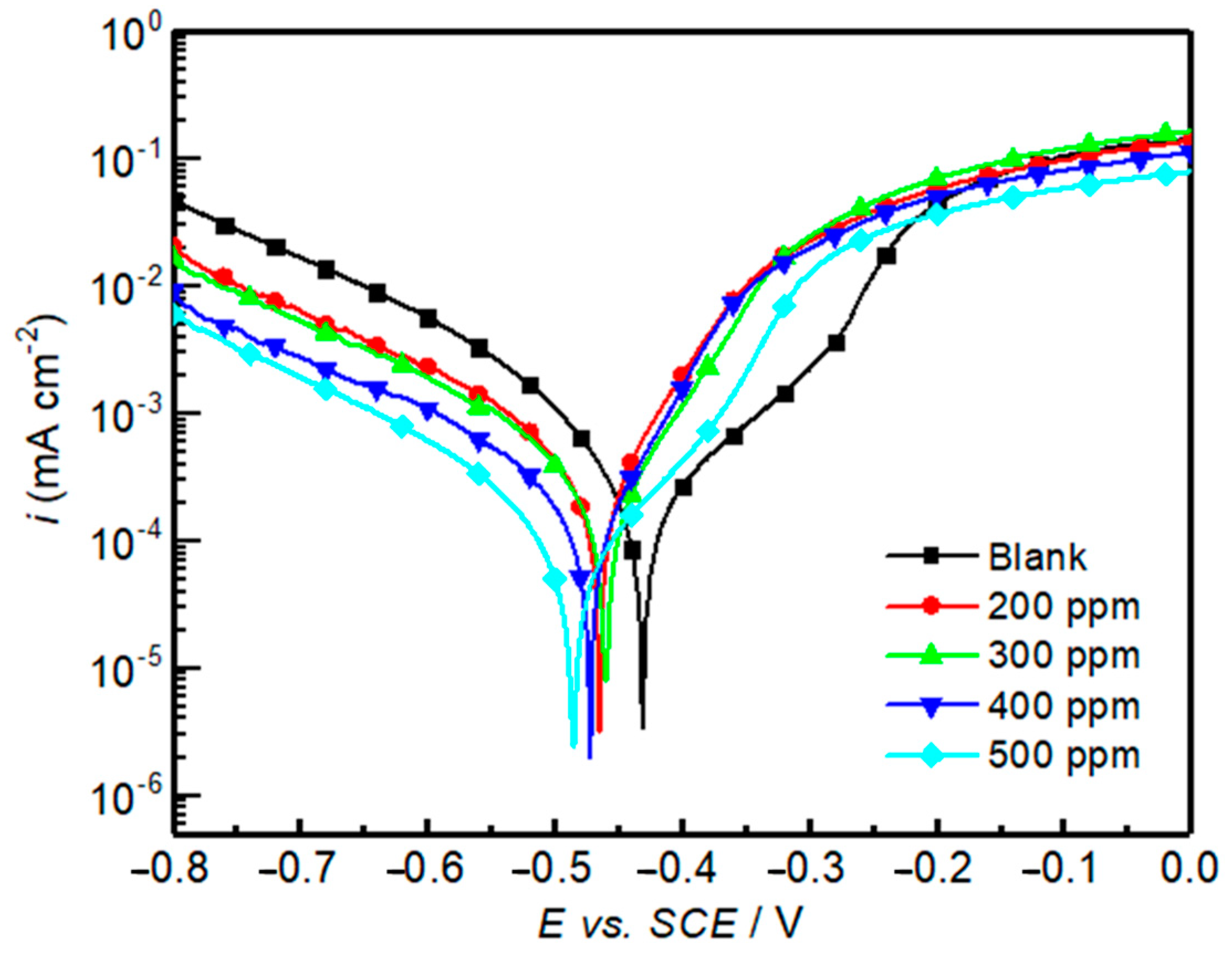
2.2. Potentiodynamic Polarization Measurement (PDP)
2.3. Electrochemical Impedance Spectroscopy (EIS)
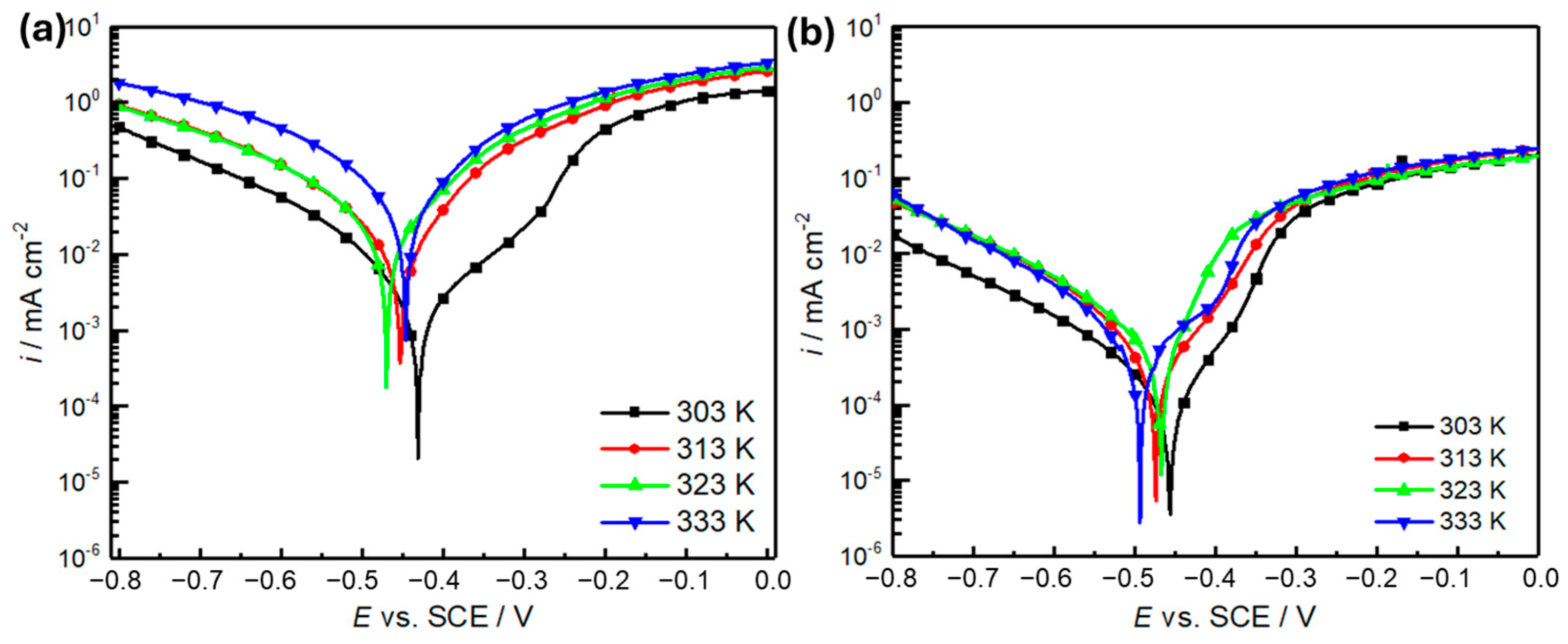
2.4. Effect of Temperature: Thermodynamics Evaluation
2.5. Adsorption Isotherm
2.6. SEM-EDX Surface Imaging and Inhibition Mechanism
3. Materials and Methods
3.1. Plant Collection
3.2. Extraction of Essential Oil
3.3. Preparation of Mild Steel Specimen
3.4. Preparation of Solutions
3.5. Weight Loss Method
3.6. Electrochemical Monitoring
3.7. Surface Morphology Analysis
4. Conclusions
Author Contributions
Funding
Institutional Review Board Statement
Informed Consent Statement
Data Availability Statement
Conflicts of Interest
References
- Li, Y.; Chen, Y.; Wang, C.; Li, Y.; Wu, Y. Exploring the potential of plant extracts as corrosion inhibitors: A comprehensive review. Prog. Org. Coat. 2025, 198, 108915. [Google Scholar] [CrossRef]
- Paper, C.; Joseph, O.O.; Banjo, O.S.; Babaremu, K.O. Global and Economic Effects of Corrosion—An Overview. AIP Conf. Proc 2022, 2437, 020149. [Google Scholar] [CrossRef]
- Korniy, S.A.; Zin, I.M.; Danyliak, M.O.M.; Rizun, Y.Y. Eco-Friendly Metal Corrosion Inhibitors Based on Natural Polymers (A Review). Mater. Sci. 2023, 58, 567–578. [Google Scholar] [CrossRef]
- Boudalia, M.; Laourayed, M.; El Moudane, M.; Sekkat, Z.; Campos, O.S.; Bellaouchou, A.; Guenbour, A.; José Garcia, A.; Amin, H.M.A. Phosphate Glass Doped with Niobium and Bismuth Oxides as an Eco-Friendly Corrosion Protection Matrix of Iron Steel in HCl Medium: Experimental and Theoretical Insights. J. Alloys Compd. 2023, 938, 168570. [Google Scholar] [CrossRef]
- Al-Amiery, A.A.; Isahak, W.N.R.W.; Al-Azzaw, W.K. Corrosion Inhibitors: Natural and Synthetic Organic Inhibitors. Lubricants 2023, 11, 174. [Google Scholar] [CrossRef]
- Shwetha, K.M.; Praveen, B.M.; Devendra, B.K. A Review on Corrosion Inhibitors: Types, Mechanisms, Electrochemical Analysis, Corrosion Rate and Efficiency of Corrosion Inhibitors on Mild Steel in an Acidic Environment. Results Surf. Interfaces 2024, 16, 100258. [Google Scholar] [CrossRef]
- Mushira Banu, A.; Thakur, A.; Arifa Farzana, B.; Mashood Ahamed, F.M.; Kumar, A. Exploring the Bio-Inspired Corrosion Inhibition Properties of Eco-Friendly Limonia Acidissima Leaves Extract for Mild Steel in Acidic Media: Computational, Electrochemical and Spectroscopic Insights. J. Mol. Struct. 2024, 1323, 140713. [Google Scholar] [CrossRef]
- Wang, Q.; Zhou, X.; Wang, R.; Aslam, R.; Sun, X.; Sun, Y.; Yan, Z.; Li, X. Synergistic Effect of KI on Corrosion Inhibition of Carbon Steel by Styphnolobium japonicum (L.) Schott in H2SO4 Solution. J. Mol. Struct. 2024, 1309, 138251. [Google Scholar] [CrossRef]
- Marhoume, F.Z.; Aboufatima, R.; Zaid, Y.; Limami, Y.; Duval, R.E.; Laadraoui, J.; Belbachir, A.; Chait, A.; Bagri, A. Antioxidant and Polyphenol-Rich Ethanolic Extract of Rubia Tinctorum l. Prevents Urolithiasis in an Ethylene Glycol Experimental Model in Rats. Molecules 2021, 26, 1005. [Google Scholar] [CrossRef] [PubMed]
- Zakeri, A.; Bahmani, E.; Aghdam, A.S.R. Plant extracts as sustainable and green corrosion inhibitors for protection of ferrous metals in corrosive media: A mini review. Corr. Commun. 2022, 5, 25–38. [Google Scholar] [CrossRef]
- Acidi, A.; Sedik, A.; Rizi, A.; Bouasla, R.; Rachedi, K.O.; Berredjem, M.; Delimi, A.; Abdennouri, A.; Ferkous, H.; Yadav, K.K.; et al. Examination of the Main Chemical Components of Essential Oil of Syzygium Aromaticum as a Corrosion Inhibitor on the Mild Steel in 0.5 M HCl Medium. J. Mol. Liq. 2023, 391, 123423. [Google Scholar] [CrossRef]
- Bathily, M.; Ngom, B.; Gassama, D.; Tamba, S. Review on Essential Oils and Their Corrosion-Inhibiting Properties. Am. J. Appl. Chem. 2021, 9, 65. [Google Scholar] [CrossRef]
- Hossain, S.M.Z.; Razzak, S.A.; Hossain, M.M. Application of Essential Oils as Green Corrosion Inhibitors. Arab. J. Sci. Eng. 2020, 45, 7137–7159. [Google Scholar] [CrossRef]
- Najem, A.; Campos, O.S.; Girst, G.; Raji, M.; Hunyadi, A.; García-antón, J.; Bellaouchou, A.; Amin, H.M.A.; Boudalia, M. Experimental and DFT Atomistic Insights into the Mechanism of Corrosion Protection of Low-Carbon Steel in an Acidic Medium by Polymethoxy Fl Avones from Citrus Peel Waste. J. Electrochem. Soc. 2023, 170, 093512. [Google Scholar] [CrossRef]
- Boutoumit, A.; Elhawary, M.; Bellaouchou, A.; Boudalia, M.; Hammani, O.; Jos, A.; Amin, H.M.A. Electrochemical, Structural and Thermodynamic Investigations of Methanolic Parsley Extract as a Green Corrosion Inhibitor for C37 Steel in HCl. Coatings 2024, 14, 783. [Google Scholar] [CrossRef]
- Eddahhaoui, F.Z.; Najem, A.; Elhawary, M.; Boudalia, M.; Campos, O.S.; Tabyaoui, M.; José Garcia, A.; Bellaouchou, A.; Amin, H.M.A. Experimental and Computational Aspects of Green Corrosion Inhibition for Low Carbon Steel in HCl Environment Using Extract of Chamaerops Humilis Fruit Waste. J. Alloys Compd. 2024, 977, 173307. [Google Scholar] [CrossRef]
- Azeez, Y.H.; Mamand, D.M.; Omer, R.A.; Awla, A.H.; Omar, K.A. Investigation of Corrosion Inhibition and Adsorption Properties of Quinoxaline Derivatives on Metal Surfaces through DFT and Monte Carlo Simulations. Corros. Rev. 2024, 42, 775–793. [Google Scholar] [CrossRef]
- Kamarska, K.V. Investigation of Rosemary Oil as Environmentally Friendly Corrosion Inhibitor of Aluminum Alloy. Nat. Environ. Pollut. Technol. 2024, 23, 1723–1727. [Google Scholar] [CrossRef]
- Mzioud, K.; Habsaoui, A.; Rached, S.; Ech-chihbi, E.; Ouakki, M.; Salghi, R.; Touhami, M.E. Experimental Investigation and Theoretical Modeling of Copper Corrosion Inhibition by Urginea Maritima Essential Oil. Mater. Today Sustain. 2024, 27, 100906. [Google Scholar] [CrossRef]
- Ansari, A.; Youssefi, Y.; Tanghourte, M.; Ouassou, N.; Asoufar, N.; Znini, M.; Lgaz, H.; Mabrouk, E.H.; Azrour, M.; Lee, H.-S.; et al. Assessment of Warionia Saharea Essential Oil as a Green Corrosion Inhibitor for Mild Steel in HCl: Experimental and Computational Studies. Coatings 2024, 14, 1164. [Google Scholar] [CrossRef]
- Boutakiout, Z.; Amrani, A.; Barrahi, I.; Warad, F.; Benhiba, M.; Hezzat, M.E.; Lamhamdi, M.; Beraich, G.; Kaichouh, A.B.A.Z. Analytical & as A Green Corrosion Inhibitor for Carbon Steel. Anal. Bioanal. Electrochem. 2024, 16, 227–244. [Google Scholar]
- Melyon, S.; Reig Rodrigo, P.; Sénard, M.; Brelle, L.; Sylvestre, M.; Gaspard, S.; Valencia, D.P.; Cebrian-Torrejon, G. Investigating the Inhibitory Effect of Sargassum Natans and Sargassum Fluitans Extracts on Iron Corrosion in 1.00 Mol L−1 HCl Solution. Coatings 2024, 14, 1316. [Google Scholar] [CrossRef]
- Pourmohseni, M.; Rashidi, A.; Karimkhani, M. Preparation of Corrosion Inhibitor from Natural Plant for Mild Stil Immersed in an Acidic Environmental: Experimental and Theoretical Study. Sci. Rep. 2024, 14, 7937. [Google Scholar] [CrossRef] [PubMed]
- Ihamdane, R.; Tiskar, M.; Outemsaa, B.; Zelmat, L.; Dagdag, O.; Berisha, A.; Berdimurodov, E.; Ebenso, E.E.; Chaouch, A. Essential Oil of Origanum Vulgare as a Green Corrosion Inhibitor for Carbon Steel in Acidic Medium. Arab. J. Sci. Eng. 2023, 48, 7685–7701. [Google Scholar] [CrossRef]
- Sobhi, M. Marjoram Extract as Corrosion Inhibitor for Dissolution of Zinc in 1.0 M HCl. Hindawi Publ. Corp. Int. J. Corros. 2013, 2013, 763476. [Google Scholar] [CrossRef]
- Challouf, H.; Souissi, N.; Messaouda, M.B.; Abidi, R.; Madani, A. Origanum Majorana Extracts as Mild Steel Corrosion Green Inhibitors in Aqueous Chloride Medium. J. Environ. Prot. 2016, 7, 532–544. [Google Scholar] [CrossRef]
- Ganash, A.A. Theoretical and Experimental Studies of Dried Marjoram Leaves Extract as Green Inhibitor for Corrosion Protection of Steel Substrate in Acidic Solution. Chem. Eng. Commun. 2017, 205, 350–362. [Google Scholar] [CrossRef]
- Sabiha, M.; Yanisse, S.; Boudalia, M.; Najem, A.; Benhiba, F.; Belfhaili, A.; Echihi, S.; Chahboun, N.; Guenbour, A.; Warad, I.; et al. Promising Antioxidant, Antibacterial and Anticorrosive Properties of an Essential Oil Extract of Origanum majorana L. from Morocco. Biointerface Res. Appl. Chem. 2023, 13, 258. [Google Scholar] [CrossRef]
- Demasi, S.; Caser, M.; Lonati, M.; Cioni, P.L.; Pistelli, L.; Najar, B.; Scariot, V. Latitude and Altitude Influence Secondary Metabolite Production in Peripheral Alpine Populations of the Mediterranean Species Lavandula Angustifolia Mill. Front. Plant Sci. 2018, 9, 983. [Google Scholar] [CrossRef]
- Chapman, S.C.; Chakraborty, S.; Dreccer, M.F.; Howden, S.M. Plant Adaptation to Climate Change—Opportunities and Priorities in Breeding. Crop Pasture Sci. 2012, 63, 251. [Google Scholar] [CrossRef]
- Suyal, R.; Rawat, S.; Rawal, R.S.; Bhatt, I.D. Variability in Morphology, Phytochemicals, and Antioxidants in Polygonatum verticillatum (L.) All. Populations under Different Altitudes and Habitat Conditions in Western Himalaya, India. Environ. Monit. Assess. 2019, 191, 783. [Google Scholar] [CrossRef]
- Al Kiey, S.A.; El-Sayed, A.A.; Khalil, A.M. Controlling Corrosion Protection of Mild Steel in Acidic Environment via Environmentally Benign Organic Inhibitor. Colloids Surfaces A Physicochem. Eng. Asp. 2024, 683, 133089. [Google Scholar] [CrossRef]
- Verma, C.; Al-Moubaraki, A.H.; Alfantazi, A.; Rhee, K.Y. Heterocyclic Amino Acids-Based Green and Sustainable Corrosion Inhibitors: Adsorption, Bonding and Corrosion Control. J. Clean. Prod. 2024, 446, 141186. [Google Scholar] [CrossRef]
- Sushmitha, Y.; Rao, P. Electrochemical Investigation on the Acid Corrosion Control of Mild Steel Using Biopolymer as an Inhibitor. Port. Electrochim. Acta 2020, 38, 149–163. [Google Scholar] [CrossRef]
- Abdellaoui, O.; Skalli, M.K.; Haoudi, A.; Rodi, Y.K.; Mazzah, A.; Arrousse, N.; Taleb, M.; Ghibate, R.; Senhaji, O. Study of the Inhibition Effect of a New Cationic Surfactant on Mild Steel Corrosion in a 1 M HCl Solution. Mater. Today Proc. 2021, 45, 7517–7523. [Google Scholar] [CrossRef]
- Lazanas, A.C.; Prodromidis, M.I. Electrochemical Impedance Spectroscopy—A Tutorial. ACS Meas. Sci. Au 2023, 3, 162–193. [Google Scholar] [CrossRef] [PubMed]
- Laabaissi, T.; Benhiba, F.; Missioui, M.; Rouifi, Z.; Rbaa, M.; Oudda, H.; Ramli, Y.; Guenbour, A.; Warad, I.; Zarrouk, A. Coupling of Chemical, Electrochemical and Theoretical Approach to Study the Corrosion Inhibition of Mild Steel by New Quinoxaline Compounds in 1 M HCl. Heliyon 2020, 6, e03939. [Google Scholar] [CrossRef]
- Gateman, S.M.; Gharbi, O.; de Melo, H.G.; Ngo, K.; Turmine, M.; Vivier, V. On the use of a constant phase element (CPE) in electrochemistry. Curr. Opin. Electrochem. 2022, 36, 101133. [Google Scholar] [CrossRef]
- Koursaoui, L.; Kerroum, Y.; Tabyaoui, M.; Guenbour, A.; Bellaouchou, A.; Satrani, B.; Ghanmi, M.; Warad, I.; Chaouch, A.; Zarrouk, A. Chemical Composition and Inhibition Effect of Eucalyptus Botryoides on the Corrosion of C38 Steel in Hydrochloric Acid Solution. Biointerface Res. Appl. Chem. 2021, 11, 10119–10130. [Google Scholar] [CrossRef]
- Hafez, B.; Mokhtari, M.; Elmsellem, H.; Steli, H. Environmentally Friendly Inhibitor of the Corrosion of Mild Steel: Commercial Oil of Eucalyptus. Int. J. Corros. Scale Inhib. 2019, 8, 573–585. [Google Scholar] [CrossRef]
- Timothy, U.J.; Ankah, N.K.; Umoren, P.S.; Solomon, M.M.; Igwe, I.O.; Umoren, S.A. Assessment of Berlinia Grandiflora and Cashew Natural Exudate Gums as Sustainable Corrosion Inhibitors for Mild Steel in an Acidic Environment. J. Environ. Chem. Eng. 2023, 11, 111578. [Google Scholar] [CrossRef]
- Naseri, E.; Hajisafari, M.; Kosari, A.; Talari, M.; Hosseinpour, S.; Davoodi, A. Inhibitive Effect of Clopidogrel as a Green Corrosion Inhibitor for Mild Steel; Statistical Modeling and Quantum Monte Carlo Simulation Studies. J. Mol. Liq. 2018, 269, 193–202. [Google Scholar] [CrossRef]
- Kokalj, A.; Costa, D. Model Study of Penetration of Cl− Ions from Solution into Organic Self-Assembled-Monolayer on Metal Substrate: Trends and Modeling Aspects. J. Electrochem. Soc. 2021, 168, 071508. [Google Scholar] [CrossRef]
- Mozaffari Majd, M.; Kordzadeh-Kermani, V.; Ghalandari, V.; Askari, A.; Sillanpää, M. Adsorption Isotherm Models: A Comprehensive and Systematic Review (2010–2020). Sci. Total Environ. 2022, 812, 151334. [Google Scholar] [CrossRef] [PubMed]
- Kokalj, A. Corrosion inhibitors: Physisorbed or chemisorbed? Corr. Sci. 2022, 196, 109939. [Google Scholar] [CrossRef]









| Cinh (ppm) | CR (mg cm−2 h−1) | ηWL % |
|---|---|---|
| 0 | 0.85 ± 0.08 | -- |
| 200 | 0.30 ± 0.04 | 64.7 |
| 300 | 0.24 ± 0.04 | 71.8 |
| 400 | 0.16 ± 0.03 | 81.2 |
| 500 | 0.11 ± 0.01 | 87.1 |
| Cinh (ppm) | Ecorr (mV vs. SCE) | icorr (µA cm−2) | βc (mV dec−1) | βa (mV dec−1) | ηPDP (%) |
|---|---|---|---|---|---|
| 0 | −420 ± 2 | 620 ± 3 | −190 ± 2 | 140 ± 3 | -- |
| 200 | −465 ± 2 | 453 ± 2 | −197 ± 5 | 101 ± 4 | 27 |
| 300 | −460 ± 3 | 288 ± 4 | −173 ± 4 | 88 ± 3 | 54 |
| 400 | −472 ± 2 | 230 ± 4 | −165 ± 3 | 91 ± 3 | 63 |
| 500 | −484 ± 3 | 110 ± 4 | −156 ± 5 | 109 ± 4 | 82 |
| C (ppm) | Rs (Ω cm2) | Rct (Ω cm2) | Q (μsn Ω−1 cm−2) | n | Cdl (µF cm−2) | χ2 | ηEIS (%) |
|---|---|---|---|---|---|---|---|
| 0 | 0.4 ± 0.5 | 61 ± 4 | 170 ± 4 | 0.87 ± 0.1 | 87 ± 4 | 0.0046 | - |
| 200 | 2.2 ± 0.5 | 95 ± 3 | 226 ± 3 | 0.79 ± 0.1 | 83 ± 3 | 0.0036 | 36 |
| 300 | 1.2 ± 0.5 | 115 ± 3 | 221 ± 3 | 0.77 ± 0.1 | 74 ± 3 | 0.0066 | 47 |
| 400 | 2.7 ± 0.8 | 199 ± 4 | 109 ± 4 | 0.79 ± 0.1 | 38 ± 4 | 0.0046 | 69 |
| 500 | 3.8 ± 1 | 302 ± 2 | 141 ± 2 | 0.74 ± 0.1 | 47 ± 2 | 0.0009 | 80 |
| T (K) | icorr (μA cm−2) | θ = η/100 | ηPDP (%) | |
|---|---|---|---|---|
| Blank | OML | |||
| 303 | 620 ± 5 | 110 ± 4 | 0. 82 | 82 |
| 313 | 1215 ± 9 | 270 ± 5 | 0.78 | 78 |
| 323 | 1891 ± 10 | 539 ± 4 | 0.71 | 71 |
| 333 | 2648 ± 10 | 698 ± 3 | 0.74 | 74 |
| Cinh (ppm) | Ea (kJ mol−1) | ΔHa (kJ mol−1) | ΔSa (J mol−1K−1) |
|---|---|---|---|
| 0 | 40 ± 2 | 38 ± 2 | −124 ± 2 |
| 500 | 53 ± 3 | 50 ± 3 | −97 ± 3 |
| Slope | Intercept (ppm) | Kads (ppm−1) | R2 | |
|---|---|---|---|---|
| OML inhibitor | 0.87 | 144.0 | 0.0069 | 0.996 |
Disclaimer/Publisher’s Note: The statements, opinions and data contained in all publications are solely those of the individual author(s) and contributor(s) and not of MDPI and/or the editor(s). MDPI and/or the editor(s) disclaim responsibility for any injury to people or property resulting from any ideas, methods, instructions or products referred to in the content. |
© 2025 by the authors. Licensee MDPI, Basel, Switzerland. This article is an open access article distributed under the terms and conditions of the Creative Commons Attribution (CC BY) license (https://creativecommons.org/licenses/by/4.0/).
Share and Cite
Sabiha, M.; Kerroum, Y.; El Hawary, M.; Boudalia, M.; Bellaouchou, A.; Hammani, O.; Amin, H.M.A. Investigating the Adsorption and Corrosion Protection Efficacy and Mechanism of Marjoram Extract on Mild Steel in HCl Medium. Molecules 2025, 30, 272. https://doi.org/10.3390/molecules30020272
Sabiha M, Kerroum Y, El Hawary M, Boudalia M, Bellaouchou A, Hammani O, Amin HMA. Investigating the Adsorption and Corrosion Protection Efficacy and Mechanism of Marjoram Extract on Mild Steel in HCl Medium. Molecules. 2025; 30(2):272. https://doi.org/10.3390/molecules30020272
Chicago/Turabian StyleSabiha, Malika, Younes Kerroum, Maha El Hawary, Maria Boudalia, Abdelkbir Bellaouchou, Othmane Hammani, and Hatem M. A. Amin. 2025. "Investigating the Adsorption and Corrosion Protection Efficacy and Mechanism of Marjoram Extract on Mild Steel in HCl Medium" Molecules 30, no. 2: 272. https://doi.org/10.3390/molecules30020272
APA StyleSabiha, M., Kerroum, Y., El Hawary, M., Boudalia, M., Bellaouchou, A., Hammani, O., & Amin, H. M. A. (2025). Investigating the Adsorption and Corrosion Protection Efficacy and Mechanism of Marjoram Extract on Mild Steel in HCl Medium. Molecules, 30(2), 272. https://doi.org/10.3390/molecules30020272

