Engineering PVA-CNF-MOF Composite Films for Active Packaging: Enhancing Mechanical Strength, Barrier Performance, and Stability for Fresh Produce Preservation
Abstract
1. Introduction
2. Results and Discussion
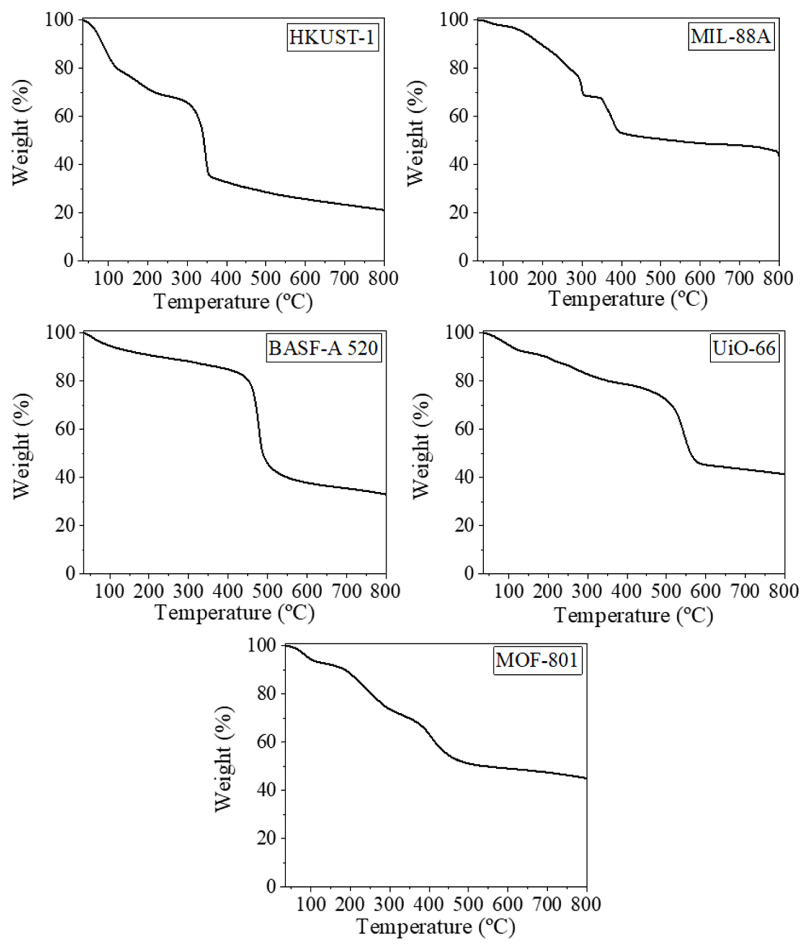
2.1. MOF Characterization
2.2. Characterization of the PVA-MOF Films
2.3. Characterization of the CNFs
2.4. Characterization of the PVA-CNF-MOF Films
2.4.1. PVA-CNF Films
2.4.2. Characterization of the PVA-CNF-MOF Films
2.5. Scavenging Activity
3. Materials and Methods
3.1. Materials
3.2. Synthesis of the TEMPO-Oxidized Cellulose Nanofibers (CNFs)
3.3. Synthesis of the PVA-CNF-MOF Films
3.4. Structural, Textural, Chemical and Morphological Characterization Techniques
3.5. Characterization of the CNFs
3.6. Mechanical Properties of the PVA-CNF-MOF Films
3.7. Physical Properties of the PVA-CNF-MOF Films
3.8. Optical Properties of the PVA-CNF-MOF Films
3.9. Ethylene Scavenging Application
3.10. Statistical Analysis
4. Conclusions
Supplementary Materials
Author Contributions
Funding
Institutional Review Board Statement
Informed Consent Statement
Data Availability Statement
Acknowledgments
Conflicts of Interest
References
- United Nations. World Population Projected to Reach 9.8 Billion in 2050, and 11.2 Billion in 2100. Available online: https://www.un.org/en/desa/world-population-projected-reach-98-billion-2050-and-112-billion-2100 (accessed on 11 March 2024).
- Lin, F.; Li, X.; Jia, N.; Feng, F.; Huang, H.; Huang, J.; Fan, S.; Ciais, P.; Song, X.-P. The Impact of Russia-Ukraine Conflict on Global Food Security. Glob. Food Secur. 2023, 36, 100661. [Google Scholar] [CrossRef]
- Heydari, M. Cultivating Sustainable Global Food Supply Chains: A Multifaceted Approach to Mitigating Food Loss and Waste for Climate Resilience. J. Clean. Prod. 2024, 442, 141037. [Google Scholar] [CrossRef]
- Akram, M.W.; Akram, N.; Shahzad, F.; Rehman, K.U.; Andleeb, S. Blockchain Technology in a Crisis: Advantages, Challenges, and Lessons Learned for Enhancing Food Supply Chains during the COVID-19 Pandemic. J. Clean. Prod. 2024, 434, 140034. [Google Scholar] [CrossRef]
- van Dijk, M.; Morley, T.; Rau, M.L.; Saghai, Y. A Meta-Analysis of Projected Global Food Demand and Population at Risk of Hunger for the Period 2010–2050. Nat. Food 2021, 2, 494–501. [Google Scholar] [CrossRef] [PubMed]
- Verghese, K.; Lewis, H.; Lockrey, S.; Williams, H. Packaging’s Role in Minimizing Food Loss and Waste Across the Supply Chain: Packaging’s Role in Minimizing Food Waste Across the Supply Chain. Packag. Technol. Sci. 2015, 28, 603–620. [Google Scholar] [CrossRef]
- Champions 12.3. SDG Target 12.3 on Food Loss and Waste: 2023 Progress Report. Available online: https://champions123.org/publication/sdg-target-123-2023-progress-report (accessed on 11 March 2024).
- Abiad, M.G.; Meho, L.I. Food Loss and Food Waste Research in the Arab World: A Systematic Review. Food Sec. 2018, 10, 311–322. [Google Scholar] [CrossRef]
- Food and Agriculture Organization (FAO) Food Wastage Footprint: Full Cost-Accounting: Final Report; FAO: Rome, Italy, 2014; ISBN 978-92-5-108512-7.
- United States Environmental Protection Agency (US EPA). Understanding Global Warming Potentials. Available online: https://www.epa.gov/ghgemissions/understanding-global-warming-potentials (accessed on 19 March 2024).
- United Nations Environment Programme (UNEP). Promoting Sustainable Lifestyles. Available online: http://www.unep.org/regions/north-america/regional-initiatives/promoting-sustainable-lifestyles (accessed on 19 March 2024).
- United Nations. Goal 12 | Department of Economic and Social Affairs. Available online: https://sdgs.un.org/goals/goal12 (accessed on 19 March 2024).
- Stöckli, S.; Niklaus, E.; Dorn, M. Call for Testing Interventions to Prevent Consumer Food Waste. Resour. Conserv. Recycl. 2018, 136, 445–462. [Google Scholar] [CrossRef]
- Sultana, A.; Kathuria, A.; Gaikwad, K.K. Metal–Organic Frameworks for Active Food Packaging. A Review. Environ. Chem. Lett. 2022, 20, 1479–1495. [Google Scholar] [CrossRef]
- Du, H.; Sun, X.; Chong, X.; Yang, M.; Zhu, Z.; Wen, Y. A Review on Smart Active Packaging Systems for Food Preservation: Applications and Future Trends. Trends Food Sci. Technol. 2023, 141, 104200. [Google Scholar] [CrossRef]
- Liu, B.; Zhang, S.; Li, M.; Wang, Y.; Mei, D. Metal–Organic Framework/Polyvinyl Alcohol Composite Films for Multiple Applications Prepared by Different Methods. Membranes 2023, 13, 755. [Google Scholar] [CrossRef]
- Liu, X.-M.; Xie, L.-H.; Wu, Y. Recent Advances in the Shaping of Metal–Organic Frameworks. Inorg. Chem. Front. 2020, 7, 2840–2866. [Google Scholar] [CrossRef]
- Abdelhamid, H.N.; Mathew, A.P. Cellulose–Metal Organic Frameworks (CelloMOFs) Hybrid Materials and Their Multifaceted Applications: A Review. Coord. Chem. Rev. 2022, 451, 214263. [Google Scholar] [CrossRef]
- Jia, S.; Ji, D.; Wang, L.; Qin, X.; Ramakrishna, S. Metal–Organic Framework Membranes: Advances, Fabrication, and Applications. Small Struct. 2022, 3, 2100222. [Google Scholar] [CrossRef]
- Ceia, T.F.; Silva, A.G.; Ribeiro, C.S.; Pinto, J.V.; Casimiro, M.H.; Ramos, A.M.; Vital, J. PVA Composite Catalytic Membranes for Hyacinth Flavour Synthesis in a Pervaporation Membrane Reactor. Catal. Today 2014, 236, 98–107. [Google Scholar] [CrossRef]
- Xie, M.; Wang, J.; Zhao, H. A PVA Film for Detecting Lipid Oxidation Intended for Food Application. Sens. Actuators B Chem. 2018, 273, 260–263. [Google Scholar] [CrossRef]
- Chou, C.-T.; Shi, S.-C.; Chen, C.-K. Sandwich-Structured, Hydrophobic, Nanocellulose-Reinforced Polyvinyl Alcohol as an Alternative Straw Material. Polymers 2021, 13, 4447. [Google Scholar] [CrossRef]
- Espinosa, E.; Rincón, E.; Morcillo-Martín, R.; Rabasco-Vílchez, L.; Rodríguez, A. Orange Peel Waste Biorefinery in Multi-Component Cascade Approach: Polyphenolic Compounds and Nanocellulose for Food Packaging. Ind. Crops Prod. 2022, 187, 115413. [Google Scholar] [CrossRef]
- Sharanyakanth, P.S.; Radhakrishnan, M. Synthesis of Metal-Organic Frameworks (MOFs) and Its Application in Food Packaging: A Critical Review. Trends Food Sci. Technol. 2020, 104, 102–116. [Google Scholar] [CrossRef]
- Zhang, B.; Luo, Y.; Kanyuck, K.; Bauchan, G.; Mowery, J.; Zavalij, P. Development of Metal–Organic Framework for Gaseous Plant Hormone Encapsulation To Manage Ripening of Climacteric Produce. J. Agric. Food Chem. 2016, 64, 5164–5170. [Google Scholar] [CrossRef]
- Amaro-Gahete, J.; Klee, R.; Esquivel, D.; Ruiz, J.R.; Jiménez-Sanchidrián, C.; Romero-Salguero, F.J. Fast Ultrasound-Assisted Synthesis of Highly Crystalline MIL-88A Particles and Their Application as Ethylene Adsorbents. Ultrason. Sonochem. 2019, 50, 59–66. [Google Scholar] [CrossRef]
- Wiśniewska, P.; Haponiuk, J.; Saeb, M.R.; Rabiee, N.; Bencherif, S.A. Mitigating Metal-Organic Framework (MOF) Toxicity for Biomedical Applications. Chem. Eng. J. 2023, 471, 144400. [Google Scholar] [CrossRef]
- Kumar, P.; Anand, B.; Tsang, Y.F.; Kim, K.-H.; Khullar, S.; Wang, B. Regeneration, Degradation, and Toxicity Effect of MOFs: Opportunities and Challenges. Environ. Res. 2019, 176, 108488. [Google Scholar] [CrossRef]
- Anovitz, L.M.; Cole, D.R. Characterization and Analysis of Porosity and Pore Structures. Rev. Mineral. Geochem. 2015, 80, 61–164. [Google Scholar] [CrossRef]
- Yañez-Aulestia, A.; Trejos, V.M.; Esparza-Schulz, J.M.; Ibarra, I.A.; Sánchez-González, E. Chemically Modified HKUST-1(Cu) for Gas Adsorption and Separation: Mixed-Metal and Hierarchical Porosity. ACS Appl. Mater. Interfaces 2024, 16, 65581–65591. [Google Scholar] [CrossRef] [PubMed]
- Rojas-Luna, R.; Amaro-Gahete, J.; Gil-Gavilán, D.G.; Castillo-Rodríguez, M.; Jiménez-Sanchidrián, C.; Ruiz, J.R.; Esquivel, D.; Romero-Salguero, F.J. Visible-Light-Harvesting Basolite-A520 Metal Organic Framework for Photocatalytic Hydrogen Evolution. Microporous Mesoporous Mater. 2023, 355, 112565. [Google Scholar] [CrossRef]
- Azarifar, D.; Ghorbani-Vaghei, R.; Daliran, S.; Oveisi, A.R. A Multifunctional Zirconium-Based Metal–Organic Framework for the One-Pot Tandem Photooxidative Passerini Three-Component Reaction of Alcohols. ChemCatChem 2017, 9, 1992–2000. [Google Scholar] [CrossRef]
- Li, C.-N.; Wang, S.-M.; Tao, Z.-P.; Liu, L.; Xu, W.-G.; Gu, X.-J.; Han, Z.-B. Green Synthesis of MOF-801(Zr/Ce/Hf) for CO2/N2 and CO2/CH4 Separation. Inorg. Chem. 2023, 62, 7853–7860. [Google Scholar] [CrossRef]
- Lorzing, G.R.; Balto, K.P.; Antonio, A.M.; Trump, B.A.; Brown, C.M.; Bloch, E.D. Elucidating the Structure of the Metal-Organic Framework Ru-HKUST-1. Chem. Mater. 2020, 32, 7710–7715. [Google Scholar] [CrossRef]
- Evans, T.G.; Salinger, J.L.; Bingel, L.W.; Walton, K.S. Determining Surface Areas and Pore Volumes of Metal-Organic Frameworks. J. Vis. Exp. 2024, 205, e65716. [Google Scholar] [CrossRef]
- Qiao, C.; Jia, W.; Zhong, Q.; Liu, B.; Zhang, Y.; Meng, C.; Tian, F. MOF-Derived Cu-Nanoparticle Embedded in Porous Carbon for the Efficient Hydrogenation of Nitroaromatic Compounds. Catal. Lett. 2020, 150, 3394–3401. [Google Scholar] [CrossRef]
- Rivera-Torrente, M.; Kroon, D.; Coulet, M.-V.; Marquez, C.; Nikolopoulos, N.; Hardian, R.; Bourrelly, S.; De Vos, D.; Whiting, G.T.; Weckhuysen, B.M. Understanding the Effects of Binders in Gas Sorption and Acidity of Aluminium Fumarate Extrudates. Chem.-Eur. J. 2022, 28, e202103420. [Google Scholar] [CrossRef]
- Tang, X.; Luo, Y.; Zhang, Z.; Ding, W.; Liu, D.; Wang, J.; Guo, L.; Wen, M. Effects of Functional Groups of –NH2 and –NO2 on Water Adsorption Ability of Zr-Based MOFs (UiO-66). Chem. Phys. 2021, 543, 111093. [Google Scholar] [CrossRef]
- Al-Janabi, N.; Hill, P.; Torrente-Murciano, L.; Garforth, A.; Gorgojo, P.; Siperstein, F.; Fan, X. Mapping the Cu-BTC Metal–Organic Framework (HKUST-1) Stability Envelope in the Presence of Water Vapour for CO2 Adsorption from Flue Gases. Chem. Eng. J. 2015, 281, 669–677. [Google Scholar] [CrossRef]
- Karmakar, S.; Dechnik, J.; Janiak, C.; De, S. Aluminium Fumarate Metal-Organic Framework: A Super Adsorbent for Fluoride from Water. J. Hazard. Mater. 2016, 303, 10–20. [Google Scholar] [CrossRef] [PubMed]
- Athar, M.; Rzepka, P.; Thoeny, D.; Ranocchiari, M.; Bokhoven, J.A. van Thermal Degradation of Defective High-Surface-Area UiO-66 in Different Gaseous Environments. RSC Adv. 2021, 11, 38849–38855. [Google Scholar] [CrossRef] [PubMed]
- Aghajani Hashjin, M.; Zarshad, S.; Motejadded Emrooz, H.B.; Sadeghzadeh, S. Enhanced Atmospheric Water Harvesting Efficiency through Green-Synthesized MOF-801: A Comparative Study with Solvothermal Synthesis. Sci. Rep. 2023, 13, 16983. [Google Scholar] [CrossRef] [PubMed]
- Mouchaham, G.; Wang, S.; Serre, C. The Stability of Metal–Organic Frameworks. In Metal-Organic Frameworks; John Wiley & Sons, Ltd.: Hoboken, NJ, USA, 2018; pp. 1–28. ISBN 978-3-527-80909-7. [Google Scholar]
- Dai, Y.; Tang, Q.; Zhang, Z.; Yu, C.; Li, H.; Xu, L.; Zhang, S.; Zou, Z. Enhanced Mechanical, Thermal, and UV-Shielding Properties of Poly(Vinyl Alcohol)/Metal–Organic Framework Nanocomposites. RSC Adv. 2018, 8, 38681–38688. [Google Scholar] [CrossRef]
- Lu, C.; Xiao, H.; Chen, X. MOFs/PVA Hybrid Membranes with Enhanced Mechanical and Ion-Conductive Properties. e-Polymers 2021, 21, 160–165. [Google Scholar] [CrossRef]
- Cirri, A.; Silakov, A.; Jensen, L.; Lear, B.J. Probing Ligand-Induced Modulation of Metallic States in Small Gold Nanoparticles Using Conduction Electron Spin Resonance. Phys. Chem. Chem. Phys. 2016, 18, 25443–25451. [Google Scholar] [CrossRef]
- Aziz, S.B.; Dannoun, E.M.A.; Tahir, D.A.; Hussen, S.A.; Abdulwahid, R.T.; Nofal, M.M.; Abdullah, R.M.; Hussein, A.M.; Brevik, I. Synthesis of PVA/CeO2 Based Nanocomposites with Tuned Refractive Index and Reduced Absorption Edge: Structural and Optical Studies. Materials 2021, 14, 1570. [Google Scholar] [CrossRef]
- Zhou, L.; Niu, Z.; Jin, X.; Tang, L.; Zhu, L. Effect of Lithium Doping on the Structures and CO2 Adsorption Properties of Metal-Organic Frameworks HKUST-1. ChemistrySelect 2018, 3, 12865–12870. [Google Scholar] [CrossRef]
- Ren, G.; Zhao, K.; Zhao, L. A Fenton-like Method Using ZnO Doped MIL-88A for Degradation of Methylene Blue Dyes. RSC Adv. 2020, 10, 39973–39980. [Google Scholar] [CrossRef] [PubMed]
- Zayan, S.; Elshazly, A.; Elkady, M. In Situ Polymerization of Polypyrrole @ Aluminum Fumarate Metal–Organic Framework Hybrid Nanocomposites for the Application of Wastewater Treatment. Polymers 2020, 12, 1764. [Google Scholar] [CrossRef] [PubMed]
- Moghaddam, Z.S.; Kaykhaii, M.; Khajeh, M.; Oveisi, A.R. Synthesis of UiO-66-OH Zirconium Metal-Organic Framework and Its Application for Selective Extraction and Trace Determination of Thorium in Water Samples by Spectrophotometry. Spectrochim. Acta A Mol. Biomol. Spectrosc. 2018, 194, 76–82. [Google Scholar] [CrossRef] [PubMed]
- Shaik, M.R.; Adil, S.F.; Alothman, Z.A.; Alduhaish, O.M. Fumarate Based Metal–Organic Framework: An Effective Catalyst for the Transesterification of Used Vegetable Oil. Crystals 2022, 12, 151. [Google Scholar] [CrossRef]
- Singh, S.; Gaikwad, K.K.; Lee, Y.S. Antimicrobial and Antioxidant Properties of Polyvinyl Alcohol Bio Composite Films Containing Seaweed Extracted Cellulose Nano-Crystal and Basil Leaves Extract. Int. J. Biol. Macromol. 2018, 107, 1879–1887. [Google Scholar] [CrossRef]
- Lin, R.; Ge, L.; Diao, H.; Rudolph, V.; Zhu, Z. Ionic Liquids as the MOFs/Polymer Interfacial Binder for Efficient Membrane Separation. ACS Appl. Mater. Interfaces 2016, 8, 32041–32049. [Google Scholar] [CrossRef]
- Fouladi, M.; Kavousi Heidari, M.; Tavakoli, O. Performance Comparison of Thin-Film Nanocomposite Polyamide Nanofiltration Membranes for Heavy Metal/Salt Wastewater Treatment. J. Nanopart. Res. 2023, 25, 77. [Google Scholar] [CrossRef]
- Aghajanzadeh, M.; Zamani, M.; Molavi, H.; Khieri Manjili, H.; Danafar, H.; Shojaei, A. Preparation of Metal–Organic Frameworks UiO-66 for Adsorptive Removal of Methotrexate from Aqueous Solution. J. Inorg. Organomet. Polym. 2018, 28, 177–186. [Google Scholar] [CrossRef]
- Morcillo-Martín, R.; Rabasco-Vílchez, L.; Espinosa, E.; Pérez-Rodríguez, F.; Rodríguez, A. Raspberry (Rubus idaeus L.) Waste-Derived Nanocellulose for Circular Application in Edible Films and Coatings. LWT 2023, 188, 115438. [Google Scholar] [CrossRef]
- López, A.R.C.; Castillo, H.S.V.; Trochez, J.J.P.; Buitrago, C.E.M.; López, R.A.G. Mechanical properties of films obtained from thermoplastic starch pellets stored under different conditions. Acta Agronómica 2023, 72, 225–233. [Google Scholar] [CrossRef]
- Chen, C.W.; Xie, J.; Yang, F.X.; Zhang, H.L.; Xu, Z.W.; Liu, J.L.; Chen, Y.J. Development of Moisture-Absorbing and Antioxidant Active Packaging Film Based on Poly(Vinyl Alcohol) Incorporated with Green Tea Extract and Its Effect on the Quality of Dried Eel. J. Food Process. Preserv. 2018, 42, e13374. [Google Scholar] [CrossRef]
- Zhang, M.; Wang, G.; Zhang, X.; Zheng, Y.; Lee, S.; Wang, D.; Yang, Y. Polyvinyl Alcohol/Chitosan and Polyvinyl Alcohol/Ag@MOF Bilayer Hydrogel for Tissue Engineering Applications. Polymers 2021, 13, 3151. [Google Scholar] [CrossRef] [PubMed]
- Sabetghadam, A.; Seoane, B.; Keskin, D.; Duim, N.; Rodenas, T.; Shahid, S.; Sorribas, S.; Guillouzer, C.L.; Clet, G.; Tellez, C.; et al. Metal Organic Framework Crystals in Mixed-Matrix Membranes: Impact of the Filler Morphology on the Gas Separation Performance. Adv. Funct. Mater. 2016, 26, 3154–3163. [Google Scholar] [CrossRef]
- An, Y.; Lv, X.; Jiang, W.; Wang, L.; Shi, Y.; Hang, X.; Pang, H. The Stability of MOFs in Aqueous Solutions—Research Progress and Prospects. Green Chem. Eng. 2024, 5, 187–204. [Google Scholar] [CrossRef]
- Wang, X.; Zhou, X.; Yang, K.; Li, Q.; Wan, R.; Hu, G.; Ye, J.; Zhang, Y.; He, J.; Gu, H.; et al. Peroxidase- and UV-Triggered Oxidase Mimetic Activities of the UiO-66-NH2/Chitosan Composite Membrane for Antibacterial Properties. Biomater. Sci. 2021, 9, 2647–2657. [Google Scholar] [CrossRef]
- Sun, L.; An, X.; Qian, X. Nano-MIL-88A(Fe) Enabled Clear Cellulose Films with Excellent UV-Shielding Performance and Robust Environment Resistance. Nanomaterials 2022, 12, 1891. [Google Scholar] [CrossRef]
- Sánchez-Laínez, J.; Zornoza, B.; Mayoral, Á.; Berenguer-Murcia, Á.; Cazorla-Amorós, D.; Téllez, C.; Coronas, J. Beyond the H2/CO2 Upper Bound: One-Step Crystallization and Separation of Nano-Sized ZIF-11 by Centrifugation and Its Application in Mixed Matrix Membranes. J. Mater. Chem. A 2015, 3, 6549–6556. [Google Scholar] [CrossRef]
- De Haro-Niza, J.; Rincón, E.; Gonzalez, Z.; Espinosa, E.; Rodríguez, A. Nanocellulose from Spanish Harvesting Residues to Improve the Sustainability and Functionality of Linerboard Recycling Processes. Nanomaterials 2022, 12, 4447. [Google Scholar] [CrossRef]
- Espinosa, E.; Bascón-Villegas, I.; Rosal, A.; Pérez-Rodríguez, F.; Chinga-Carrasco, G.; Rodríguez, A. PVA/(Ligno)Nanocellulose Biocomposite Films. Effect of Residual Lignin Content on Structural, Mechanical, Barrier and Antioxidant Properties. Int. J. Biol. Macromol. 2019, 141, 197–206. [Google Scholar] [CrossRef]
- Sánchez-Gutiérrez, M.; Espinosa, E.; Bascón-Villegas, I.; Pérez-Rodríguez, F.; Carrasco, E.; Rodríguez, A. Production of Cellulose Nanofibers from Olive Tree Harvest—A Residue with Wide Applications. Agronomy 2020, 10, 696. [Google Scholar] [CrossRef]
- Heidarian, P.; Behzad, T.; Sadeghi, M. Investigation of Cross-Linked PVA/Starch Biocomposites Reinforced by Cellulose Nanofibrils Isolated from Aspen Wood Sawdust. Cellulose 2017, 24, 3323–3339. [Google Scholar] [CrossRef]
- Ghorbel, N.; Kallel, A.; Boufi, S. Molecular Dynamics of Poly(Vinyl Alcohol)/Cellulose Nanofibrils Nanocomposites Highlighted by Dielectric Relaxation Spectroscopy. Compos. Part A Appl. Sci. Manuf. 2019, 124, 105465. [Google Scholar] [CrossRef]
- Huang, S.; Wang, X.; Zhang, Y.; Meng, Y.; Hua, F.; Xia, X. Cellulose Nanofibers/Polyvinyl Alcohol Blends as an Efficient Coating to Improve the Hydrophobic and Oleophobic Properties of Paper. Sci. Rep. 2022, 12, 16148. [Google Scholar] [CrossRef] [PubMed]
- Martínez, Z.N.; Menacho, P.Z.; Pachón-Ariza, F.A. Food Loss in a Hungry World, a Problem? Agron. Colomb. 2014, 32, 283–293. [Google Scholar] [CrossRef]
- Papargyropoulou, E.; Lozano, R.; Steinberger, J.K.; Wright, N.; Ujang, Z.b. The Food Waste Hierarchy as a Framework for the Management of Food Surplus and Food Waste. J. Clean. Prod. 2014, 76, 106–115. [Google Scholar] [CrossRef]
- Hodges, R.J.; Buzby, J.C.; Bennett, B. Postharvest Losses and Waste in Developed and Less Developed Countries: Opportunities to Improve Resource Use. J. Agric. Sci. 2011, 149, 37–45. [Google Scholar] [CrossRef]
- Ishangulyyev, R.; Kim, S.; Lee, S.H. Understanding Food Loss and Waste—Why Are We Losing and Wasting Food? Foods 2019, 8, 297. [Google Scholar] [CrossRef]
- Lin, K.-S.; Adhikari, A.K.; Ku, C.-N.; Chiang, C.-L.; Kuo, H. Synthesis and Characterization of Porous HKUST-1 Metal Organic Frameworks for Hydrogen Storage. Int. J. Hydrogen Energy 2012, 37, 13865–13871. [Google Scholar] [CrossRef]
- Trepte, K.; Schaber, J.; Schwalbe, S.; Drache, F.; Senkovska, I.; Kaskel, S.; Kortus, J.; Brunner, E.; Seifert, G. The Origin of the Measured Chemical Shift of 129Xe in UiO-66 and UiO-67 Revealed by DFT Investigations. Phys. Chem. Chem. Phys. 2017, 19, 10020–10027. [Google Scholar] [CrossRef]
- Tan, T.L.; Krusnamurthy, P.A.; Nakajima, H.; Rashid, S.A. Adsorptive, Kinetics and Regeneration Studies of Fluoride Removal from Water Using Zirconium-Based Metal Organic Frameworks. RSC Adv. 2020, 10, 18740–18752. [Google Scholar] [CrossRef]
- Espinosa Víctor, E.; Tarrés, Q.; Delgado-Aguilar, M.; González, I.; Mutjé, P.; Rodríguez, A. Suitability of Wheat Straw Semichemical Pulp for the Fabrication of Lignocellulosic Nanofibres and Their Application to Papermaking Slurries. Cellulose 2016, 23, 837–852. [Google Scholar] [CrossRef]
- UNE-ISO 5351:2019; Pastas. Determinación de La Viscosidad Intrínseca en Disolución de Cobre Etilen-Diamina (CED). UNE: Madrid, Spain, 2019. Available online: https://www.une.org/encuentra-tu-norma/busca-tu-norma/norma?c=N0061871 (accessed on 13 March 2024).
- Shinoda, R.; Saito, T.; Okita, Y.; Isogai, A. Relationship between Length and Degree of Polymerization of TEMPO-Oxidized Cellulose Nanofibrils. Biomacromolecules 2012, 13, 842–849. [Google Scholar] [CrossRef]
- Xiao, F.; Xiao, Y.; Ji, W.; Li, L.; Zhang, Y.; Chen, M.; Wang, H. Photocatalytic Chitosan-Based Bactericidal Films Incorporated with WO3/AgBr/Ag and Activated Carbon for Ethylene Removal and Application to Banana Preservation. Carbohydr. Polym. 2024, 328, 121681. [Google Scholar] [CrossRef]
- Wang, H.; Zhou, X.; Hu, W.; Hu, X.; Murtaza, A.; Wang, L.; Xu, X.; Pan, S. Mechanism of the Abnormal Softening of Banana Pulp Induced by High Temperature and High Humidity During Postharvest Storage. Food Bioprocess Technol. 2024, 17, 3577–3587. [Google Scholar] [CrossRef]











| Material | Metallic Center | Organic Linker | SBET (m2/g) | Theoretical Pore Size (Å) | Ethylene Adsorption (mmol·g−1) |
|---|---|---|---|---|---|
| HKUST-1 | Cu | BTC | 2042 | 9.0 | 8.33 |
| MIL-88A | Fe | Fum | 359 | 6.0 | 1.63 |
| BASF-A520 | Al | Fum | 911 | 5.8 | 3.90 |
| UiO-66 | Zr | BDC | 1400 | 7.5, 12.0 | 2.61 |
| MOF-801 | Zr | Fum | 856 | 4.8, 5.6, 7.4 | 2.31 |
| MOF Sample | Langmuir Surface Area (m2/g) | t-Plot Micropore Area (m2/g) | t-Plot External Surface Area (m2/g) | Total Pore Volume (cm3/g) | t-Plot Micropore Volume (cm3/g) | BJH Desorption Average Pore Width (nm) |
|---|---|---|---|---|---|---|
| HKUST-1 | 1526 | 1471.8 | 54.2 | 0.584 | 0.512 | 4.8 |
| MIL-88A | 469 | 429.9 | 39.4 | 0.198 | 0.146 | 4.9 |
| BASF-A520 | 968 | 909.2 | 59.2 | 0.414 | 0.313 | 10.6 |
| UiO-66 | 1531 | 1478.0 | 52.6 | 0.585 | 0.514 | 6.3 |
| MOF-801 | 853 | 797.1 | 55.6 | 0.333 | 0.272 | 4.9 |
| Parameters | Yield (%) | Cationic Demand (µeq/g) | Carboxyl Content (µeq/g) | Specific Surface Area (m2/g) | Diameter (nm) | Length (nm) |
|---|---|---|---|---|---|---|
| Cotton Linter (This work) | 63.55 ± 7.89 | 1178.59 ± 59.02 | 534.02 ± 27.61 | 314 ± 32 | 8.01 ± 0.82 | 319.29 ± 30.66 |
| Raspberry [57] | ˃95 | 1264 ± 32.6 | 240.2 ± 4.5 | 548 | 5 | N.R. |
| Horticultural residues (bell pepper, tomato, eggplant) [66] | 63.44 ± 4.52 | 1043.54 ± 18.2 | 148.12 ± 5.26 | 436 | 6 | 614 |
| Vine shoots [66] | 60.42 ± 5.56 | 1227.91 ± 18.8 | 168.93 ± 10.25 | 516 | 5 | 755 |
| Orange peel wastes [23] | 75.58 ± 2.21 | 2144.73 ± 29.64 | 559.73 ± 16.60 | 772 | 3 | 2383 |
| Wheat straw [67] | 98.71 | 1116.5 ± 43.10 | 367.0 ± 8.72 | 367.01 | 6.81 | 1395 |
| Olive tree pruning [68] | 26.44 ± 4.15 | 521.27 ± 9.33 | 311.95 ± 19.02 | 101.93 | 24 | 705 |
| Parameters | Texture (g) | Browning Rate (%) | ||
|---|---|---|---|---|
| Samples | PVA-MOF | PVA-CNF-MOF | PVA-MOF | PVA-CNF-MOF |
| 0% MOF | 77.80 ± 33.09 bcd | 64.81 ± 22.29 de | 40.82 ± 13.81 bc | 44.37 ± 7.69 b |
| HKUST-1 | 53.19 ± 20.80 e | 77.02 ± 35.47 bcd | 37.01 ± 7.94 bcd | 20.28 ± 0.00 d |
| MIL-88A | 78.11 ± 21.56 bcd | 71.97 ± 25.67 bcd | 42.06 ± 7.78 bc | 37.30 ± 1.96 bcd |
| BASF-A520 | 67.13 ± 19.75 cde | 85.91 ± 16.19 ab | 41.88 ± 18.70 bc | 26.69 ± 4.66 bcd |
| UiO-66 | 98.11 ± 22.94 a | 83.32 ± 21.56 abc | 33.64 ± 7.04 bcd | 28.33 ± 17.25 bcd |
| MOF-801 | 63.91 ± 16.41 de | 87.15 ± 26.82 ab | 64.29 ± 16.56 a | 22.53 ± 29.50 cd |
Disclaimer/Publisher’s Note: The statements, opinions and data contained in all publications are solely those of the individual author(s) and contributor(s) and not of MDPI and/or the editor(s). MDPI and/or the editor(s) disclaim responsibility for any injury to people or property resulting from any ideas, methods, instructions or products referred to in the content. |
© 2025 by the authors. Licensee MDPI, Basel, Switzerland. This article is an open access article distributed under the terms and conditions of the Creative Commons Attribution (CC BY) license (https://creativecommons.org/licenses/by/4.0/).
Share and Cite
Carrasco, S.; Amaro-Gahete, J.; Espinosa, E.; Benítez, A.; Romero-Salguero, F.J.; Rodríguez, A. Engineering PVA-CNF-MOF Composite Films for Active Packaging: Enhancing Mechanical Strength, Barrier Performance, and Stability for Fresh Produce Preservation. Molecules 2025, 30, 3971. https://doi.org/10.3390/molecules30193971
Carrasco S, Amaro-Gahete J, Espinosa E, Benítez A, Romero-Salguero FJ, Rodríguez A. Engineering PVA-CNF-MOF Composite Films for Active Packaging: Enhancing Mechanical Strength, Barrier Performance, and Stability for Fresh Produce Preservation. Molecules. 2025; 30(19):3971. https://doi.org/10.3390/molecules30193971
Chicago/Turabian StyleCarrasco, Sergio, Juan Amaro-Gahete, Eduardo Espinosa, Almudena Benítez, Francisco J. Romero-Salguero, and Alejandro Rodríguez. 2025. "Engineering PVA-CNF-MOF Composite Films for Active Packaging: Enhancing Mechanical Strength, Barrier Performance, and Stability for Fresh Produce Preservation" Molecules 30, no. 19: 3971. https://doi.org/10.3390/molecules30193971
APA StyleCarrasco, S., Amaro-Gahete, J., Espinosa, E., Benítez, A., Romero-Salguero, F. J., & Rodríguez, A. (2025). Engineering PVA-CNF-MOF Composite Films for Active Packaging: Enhancing Mechanical Strength, Barrier Performance, and Stability for Fresh Produce Preservation. Molecules, 30(19), 3971. https://doi.org/10.3390/molecules30193971

