Novel Food Safety Evaluation: Potentially Toxic Elements in Acheta domesticus (House Cricket) Reared on Seaweed-Enriched Diets
Abstract
1. Introduction
2. Results
2.1. Potentially Toxic Elements Content in Seaweed and Diets
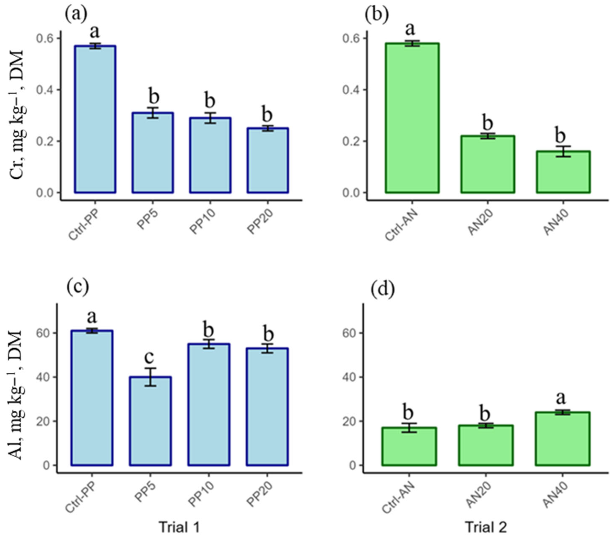
2.2. Potentially Toxic Element Content in Acheta domesticus
2.3. Health Risk Assessment
3. Discussion
3.1. Potentially Toxic Elements in Seaweed and Diets
3.2. Potentially Toxic Elements in Acheta domesticus
4. Materials and Methods
4.1. Diets
4.2. House Cricket Rearing
4.3. Chemical Analysis
4.4. Bioaccumulation Factor and Health Risk Assessment
4.5. Statistical Analysis
5. Conclusions
Supplementary Materials
Author Contributions
Funding
Institutional Review Board Statement
Data Availability Statement
Conflicts of Interest
References
- World Health Organization. Trends in Maternal Mortality 2000 to 2017: Estimates by WHO, UNICEF, UNFPA, World Bank Group and the United Nations Population Division: Executive Summary; No. WHO/RHR/19.23; World Health Organization: Geneva, Switzerland, 2019. [Google Scholar]
- Herrero, M.; Wirsenius, S.; Henderson, B.; Rigolot, C.; Thornton, P.; Havlík, P.; Gerber, P.J. Livestock and the Environment: What Have We Learned in the Past Decade? Annu. Rev. Environ. Resour. 2015, 40, 177–202. [Google Scholar] [CrossRef]
- Herrero, M.; Henderson, B.; Havlík, P.; Thornton, P.K.; Conant, R.T.; Smith, P.; Stehfest, E. Greenhouse Gas Mitigation Potentials in the Livestock Sector. Nat. Clim. Change 2016, 6, 452–461. [Google Scholar] [CrossRef]
- Sala, S.; Anton, A.; McLaren, S.J.; Notarnicola, B.; Saouter, E.; Sonesson, U. In the quest of reducing the environmental impacts of food production and consumption. J. Clean. Prod. 2017, 140, 387–398. [Google Scholar] [CrossRef]
- Van Huis, A. Potential of Insects as Food and Feed in Assuring Food Security. Annu. Rev. Entomol. 2013, 58, 563–583. [Google Scholar] [CrossRef] [PubMed]
- EFSA (European Food Safety Authority). Risk profile related to production and consumption of insects as food and feed. EFSA J. 2015, 13, 4257. [Google Scholar] [CrossRef]
- Murugu, D.K.; Onyango, A.N.; Ndiritu, A.K.; Osuga, I.M.; Xavier, C.; Nakimbugwe, D.; Tanga, C.M. From farm to fork crickets as alternative sources of protein, minerals, and vitamins. Front. Nutr. 2021, 8, 704002. [Google Scholar] [CrossRef]
- Guiné, R.; Correia, P.; Coelho, C.; Costa, C. The role of edible insects to mitigate challenges for sustainability. Open Agric. 2021, 6, 24–36. [Google Scholar] [CrossRef]
- Senila, M. Recent Advances in the Determination of Major and Trace Elements in Plants Using Inductively Coupled Plasma Optical Emission Spectrometry. Molecules 2024, 29, 3169. [Google Scholar] [CrossRef]
- Commission Regulation (EU). 2019/1869 of 7 November 2019 on Maximum Levels for Certain Contaminants in Animal Feed and Correcting Directive No 32/2002/EC. Available online: https://eur-lex.europa.eu/legal-content/EN/TXT/PDF/?from=EN&uri=CELEX%3A32019R1869 (accessed on 25 July 2021).
- Commission Regulation (EU). 2024/1987 of 30 July 2024 Amending Regulation (EU) 2023/915 as Regards Maximum Levels of Nickel in Certain Foodstuffs. Available online: http://data.europa.eu/eli/reg/2024/1987/oj (accessed on 24 September 2025).
- Commission Regulation (EU). 2023/915 of 25 April 2023 on Maximum Levels for Certain Contaminants in Foodstuffs and Repealing Regulation (EC) No 1881/2006. Available online: https://eur-lex.europa.eu/legal-content/IT/TXT/?uri=CELEX%3A32023R0915 (accessed on 20 June 2024).
- Fernandez-Cassi, X.; Supeanu, A.; Vaga, M.; Jansson, A.; Boqvist, S.; Vagsholm, I. The house cricket (Acheta domesticus) as a novel food: A risk profile. J. Insects Food Feed 2019, 5, 137–157. [Google Scholar] [CrossRef]
- Charlton, A.; Dickinson, M.; Wakefield, M.; Fitches, E.; Kenis, M.; Han, R.; Zhu, F.; Kone, N.; Grant, M.; Devic, E.; et al. Exploring the chemical safety of fly larvae as a source of protein for animal feed. J. Insects Food Feed 2015, 1, 7–16. [Google Scholar] [CrossRef]
- Diener, S.; Zurbrügg, C.; Tockner, K. Bioaccumulation of heavy metals in the black soldier fly, Hermetia illucens, and effects on its life cycle. J. Insects Food Feed 2015, 1, 261–270. [Google Scholar] [CrossRef]
- Biancarosa, I.; Belghit, I.; Bruckner, C.G.; Liland, N.S.; Waagbø, R.; Amlund, H.; Heesch, S.; Lock, E.J. Chemical characterization of 21 species of marine macroalgae common in Norwegian waters: Benefits of and limitations to their potential use in food and feed. J. Sci. Food Agric. 2018, 98, 2035–2042. [Google Scholar] [CrossRef] [PubMed]
- Purschke, B.; Scheibelberger, R.; Axmann, S.; Adler, A.; Jäger, H. Impact of substrate contamination with mycotoxins, heavy metals and pesticides on the growth performance and composition of black soldier fly larvae (Hermetia illucens) for use in the feed and food value chain. Food Addit. Contam. 2017, 34, 1410–1420. [Google Scholar] [CrossRef] [PubMed]
- Truzzi, C.; Illuminati, S.; Girolametti, F.; Antonucci, M.; Scarponi, G.; Ruschioni, S.; Annibaldi, A. Influence of feeding substrates on the presence of toxic metals (Cd, Pb, Ni, As, Hg) in larvae of Tenebrio molitor: Risk assessment for human consumption. Int. J. Environ. Res. Public Health 2019, 16, 4815. [Google Scholar] [CrossRef] [PubMed]
- Truzzi, C.; Annibaldi, A.; Girolametti, F.; Giovannini, L.; Riolo, P.; Ruschioni, S.; Illuminati, S. A chemically safe way to produce insect biomass for possible application in feed and food production. Int. J. Environ. Res. Public Health 2020, 17, 2121. [Google Scholar] [CrossRef]
- Vijver, M.; Jager, T.; Posthuma, L.; Peijnenburg, W. Metal uptake from soils and soil-sediment mixtures by larvae of Tenebrio molitor (L.) (Coleoptera). Ecotoxicol. Environ. Saf. 2003, 54, 277–289. [Google Scholar] [CrossRef]
- European Commission. Authorizing the placing on the market of frozen, dried and powder forms of Acheta domesticus as a novel food under Regulation (EU) 2015/2283 of the European Parliament and of the Council and amending Commission Implementing Regulation (EU) 2017/24. Off. J. Eur. Union 2022, 188, 108–114. [Google Scholar]
- Gasco, L.; Acuti, G.; Bani, P.; Dalle Zotte, A.; Danieli, P.P.; De Angelis, A.; Roncarati, A. Insect and fish by-products as sustainable alternatives to conventional animal proteins in animal nutrition. Ital. J. Anim. Sci. 2020, 19, 360–372. [Google Scholar] [CrossRef]
- Koutsos, L.; Mccomb, A.; Finke, M. Insect Composition and Uses in Animal Feeding Applications: A Brief Review. Ann. Entomol. Soc. Am. 2019, 112, 544–551. [Google Scholar] [CrossRef]
- Ajdini, B.; Biancarosa, I.; Cardinaletti, G.; Illuminati, S.; Annibaldi, A.; Girolametti, F.; Fanelli, M.; Pascon, G.; Martinoli, M.; Tulli, F.; et al. The use of seaweed as sustainable feed ingredient for the house cricket (Acheta domesticus): Investigating cricket performance and nutritional composition. J. Insects Food Feed 2024, 10, 1313–1330. [Google Scholar] [CrossRef]
- Ajdini, B.; Biancarosa, I.; Cardinaletti, G.; Illuminati, S.; Annibaldi, A.; Girolametti, F.; Fanelli, M.; Tulli, F.; Pinto, T.; Truzzi, C. Modulating the nutritional value of Acheta domesticus (house cricket) through the eco-sustainable Ascophyllum nodosum dietary supplementation. J. Food Compos. Anal. 2025, 140, 107263. [Google Scholar] [CrossRef]
- Pereira, L. A review of the nutrient composition of selected edible seaweed. Seaweed Ecol. Nutr. Compos. Med. Uses 2011, 7, 15–47. [Google Scholar]
- St-Hilaire, S.; Cranfill, K.; McGuire, M.A.; Mosley, E.E.; Tomberlin, J.K.; Newton, L.; Sealey, W.; Sheppard, C.; Irving, S. Fish offal recycling by the black soldier fly produces a foodstuff high in omega-3 fatty acids. J. World Aquac. Soc. 2007, 38, 309–313. [Google Scholar] [CrossRef]
- Liland, N.S.; Biancarosa, I.; Araujo, P.; Biemans, D.; Bruckner, C.G.; Waagbø, R.; Torstensen, B.E.; Lock, E.J. Modulation of nutrient composition of black soldier fly (Hermetia illucens) larvae by feeding seaweed-enriched media. PLoS ONE 2017, 12, e0183188. [Google Scholar] [CrossRef] [PubMed]
- Zarantoniello, M.; Randazzo, B.; Truzzi, C.; Giorgini, E.; Marcellucci, C.; Vargas-Abúndez, J.A.; Olivotto, I. A six-months study on Black Soldier Fly (Hermetia illucens) based diets in zebrafish. Sci. Rep. 2019, 9, 8598. [Google Scholar] [CrossRef] [PubMed]
- Truzzi, C.; Giorgini, E.; Annibaldi, A.; Antonucci, M.; Illuminati, S.; Scarponi, G.; Olivotto, I. Fatty acids profile of black soldier fly (Hermetia illucens): Influence of feeding substrate based on coffee-waste silverskin enriched with microalgae. Anim. Feed Sci. Technol. 2020, 259, 114309. [Google Scholar] [CrossRef]
- Osimani, A.; Ferrocino, I.; Corvaglia, M.R.; Roncolini, A.; Milanović, V.; Garofalo, C.; Clementi, F. Microbial dynamics in rearing trials of Hermetia illucens larvae fed coffee silverskin and microalgae. Food Res. Int. 2021, 140, 110028. [Google Scholar] [CrossRef]
- Almela, C.; Clemente, M.J.; Vélez, D.; Montoro, R. Total arsenic, inorganic arsenic, lead and cadmium contents in edible seaweed sold in Spain. Food Chem. Toxicol. 2006, 44, 1901–1908. [Google Scholar] [CrossRef]
- Park, E.; Yu, H.; Lim, J.H.; Choi, J.H.; Park, K.J.; Lee, J. Seaweed metabolomics: A review on its nutrients, bioactive compounds and changes in climate change. Food Res. Int. 2023, 163, 112221. [Google Scholar] [CrossRef]
- Chakraborty, S.; Bhattacharya, T.; Singh, G.; Maity, J.P. Benthic macroalgae as biological indicators of heavy metal pollution in the marine environments: A biomonitoring approach for pollution assessment. Ecotoxicol. Environ. Saf. 2014, 100, 61–68. [Google Scholar] [CrossRef]
- Biancarosa, I.; Liland, N.S.; Biemans, D.; Araujo, P.; Bruckner, C.G.; Waagbø, R.; Torstensen, B.E.; Lock, E.J.; Amlund, H. Uptake of heavy metals and arsenic in black soldier fly (Hermetia illucens) larvae grown on seaweed-enriched media. J. Sci. Food Agric. 2017, 98, 2176–2183. [Google Scholar] [CrossRef]
- Muhammad, A.; Auwal, Y.; Usman, A.H. Determination of Heavy Metals (Co, Cu, Cd, Fe, Pb, Zn) in Some Edible Insects and Fingerlings in Dutsin-Ma Town. Fudma J. Sci. 2022, 6, 6–11. [Google Scholar] [CrossRef]
- EFSA (European Food Safety Authority). Scientific report on the chronic dietary exposure to inorganic arsenic. EFSA J. 2021, 19, 6380. [Google Scholar] [CrossRef]
- Lange, K.W.; Nakamura, Y. Edible insects as future food: Chances and challenges. J. Future Foods 2021, 1, 38–46. [Google Scholar] [CrossRef]
- Mæhre, H.K.; Malde, M.K.; Eilertsen, K.E.; Elvevoll, E.O. Characterization of protein, lipid and mineral contents in common Norwegian seaweeds and evaluation of their potential as food and feed. J. Sci. Food Agric. 2014, 94, 3281–3290. [Google Scholar] [CrossRef] [PubMed]
- Morrison, L.; Baumann, H.A.; Stengel, D.B. An assessment of metal contamination along the Irish coast using the seaweed Ascophyllum nodosum (Fucales, Phaeophyceae). Environ. Pollut. 2008, 152, 293–303. [Google Scholar] [CrossRef]
- Samarasinghe, M.B.; van der Heide, M.E.; Weisbjerg, M.R.; Sehested, J.; Sloth, J.J.; Bruhn, A.; Vestergaard, M.; Nørgaard, J.V.; Hernández-Castellano, L.E. A descriptive chemical analysis of seaweeds, Ulva sp., Saccharina latissima and Ascophyllum nodosum harvested from Danish and Icelandic waters. Anim. Feed Sci. Technol. 2021, 278, 115005. [Google Scholar] [CrossRef]
- Ometto, F.; Steinhovden, K.B.; Kuci, H.; Lunnbäck, J.; Berg, A.; Karlsson, A.; Handå, A.; Wollan, H.; Ejlertsson, J. Seasonal variation of elements composition and biomethane in brown macroalgae. Biomass Bioenergy 2018, 109, 31–38. [Google Scholar] [CrossRef]
- Desideri, D.; Cantaluppi, C.; Ceccotto, F.; Meli, M.A.; Roselli, C.; Feduzi, L. Essential and toxic elements in seaweed for human consumption. J. Toxicol. Environ. Health Part A 2016, 79, 112–122. [Google Scholar] [CrossRef]
- Rødde, R.; Vårum, K.; Larsen, B.; Myklestad, S. Seasonal and geographical variation in the chemical composition of the red alga Palmaria palmata (L.) Kuntze. Bot. Mar. 2004, 47, 125–133. [Google Scholar] [CrossRef]
- Lüning, K.; Kadel, P.; Pang, S. Control of reproduction rhythmicity by environmental and endogenous signals in Ulva pseudocurvata (Chlorophyta). J. Phycol. 2008, 44, 866–873. [Google Scholar] [CrossRef]
- Fleurence, J.; Chenard, E.; Luçcon, M. Determination of the nutritional value of proteins obtained from Ulva armoricana. J. Appl. Phycol. 1999, 11, 231–239. [Google Scholar] [CrossRef]
- Pastell, H.; Mellberg, S.; Ritvanen, T.; Raatikainen, M.; Mykkänen, S.; Niemi, J.; Latomäki, I.; Wirtanen, G. How does locally produced feed affect the chemical composition of reared house crickets (Acheta domesticus)? ACS Food Sci. Technol. 2021, 1, 625–635. [Google Scholar] [CrossRef]
- Jucker, C.; Belluco, S.; Oddon, S.B.; Ricci, A.; Bonizzi, L.; Lupi, D.; Savoldelli, S.; Biasato, I.; Caimi, C.; Mascaretti, A.; et al. Impact of some local organic by-products on Acheta domesticus growth and meal production. J. Insects Food Feed 2022, 8, 631–640. [Google Scholar] [CrossRef]
- Collavo, A.; Huang, Y.-S. House cricket small scale farming. Ecol. Implic. Minilivestock Potential Insects Rodents Frogs Snails 2005, 27, 515–540. Available online: https://www.researchgate.net/publication/288624354 (accessed on 17 March 2025).
- Poma, G.; Cuykx, M.; Amato, E.; Calaprice, C.; Focant, J.F.; Covaci, A. Evaluation of hazardous chemicals in edible insects and insect-based food intended for human consumption. Food Chem. Toxicol. 2017, 100, 70–79. [Google Scholar] [CrossRef]
- Kosečková, P.; Zvěřina, O.; Pěchová, M.; Krulíková, M.; Duborská, E.; Borkovcová, M. Mineral profile of cricket powders, some edible insect species and their implication for gastronomy. J. Food Compos. Anal. 2022, 107, 104340. [Google Scholar] [CrossRef]
- Ververis, E.; Boué, G.; Poulsen, M.; Pires, S.M.; Niforou, A.; Thomsen, S.T.; Tesson, V.; Federighi, M.; Naska, A. A systematic review of the nutrient composition, microbiological and toxicological profile of Acheta domesticus (house cricket). J. Food Compos. Anal. 2022, 114, 104859. [Google Scholar] [CrossRef]
- Köhler, R.; Kariuki, L.; Lambert, C.; Biesalski, H. Protein, amino acid and mineral composition of some edible insects from Thailand. J. Asia-Pac. Entomol. 2019, 22, 372–378. [Google Scholar] [CrossRef]
- Haider, F.U.; Liqun, C.; Coulter, J.A.; Cheema, S.A.; Wu, J.; Zhang, R.; Farooq, M. Cadmium toxicity in plants: Impacts and remediation strategies. Ecotoxicol. Environ. Saf. 2021, 211, 111887. [Google Scholar] [CrossRef]
- Rehman, A.U.; Nazir, S.; Irshad, R.; Tahir, K.; Rehman, K.; Islam, R.U.; Wahab, Z. Toxicity of heavy metals in plants and animals and their uptake by magnetic iron oxide nanoparticles. J. Mol. Liq. 2021, 321, 114455. [Google Scholar] [CrossRef]
- Malematja, E.; Manyelo, T.G.; Sebola, N.A.; Kolobe, S.D.; Mabelebele, M. The accumulation of heavy metals in feeder insects and their impact on animal production. Sci. Total Environ. 2023, 885, 163716. [Google Scholar] [CrossRef] [PubMed]
- Hyun, S.H.; Kwon, K.H.; Park, K.H.; Jeong, H.C.; Kwon, O.; Tindwa, H.; Han, Y.S. Evaluation of nutritional status of an edible grasshopper, Oxya chinensis formosana. Entomol. Res. 2012, 42, 284–290. [Google Scholar] [CrossRef]
- Elechi, M.C.; Kemabonta, K.A.; Ogbogu, S.S.; Orabueze, I.C.; Adetoro, F.A.; Adebayo, H.A.; Obe, T.M. Heavy metal bioaccumulation in prepupae of black soldier fly Hermetia illucens (Diptera: Stratiomyidae) cultured with organic wastes and chicken feed. Int. J. Trop. Insect Sci. 2021, 41, 2125–2131. [Google Scholar] [CrossRef]
- Raikwar, M.K.; Kumar, P.; Singh, M.; Singh, A. Toxic effect of heavy metals in livestock health. Vet. World 2008, 1, 28. [Google Scholar] [CrossRef]
- Ortiz, C.; Weiss-Penzias, P.S.; Fork, S.; Flegal, A.R. Total and monomethyl mercury in terrestrial arthropods from the central California coast. Bull. Environ. Contam. Toxicol. 2015, 94, 425–430. [Google Scholar] [CrossRef]
- Zheng, W.; Liang, L.; Gu, B. Mercury reduction and oxidation by reduced natural organic matter in anoxic environments. Environ. Sci. Technol. 2012, 46, 292–299. [Google Scholar] [CrossRef]
- Exley, C. The toxicity of aluminium in humans. Morphologie 2016, 100, 51–55. [Google Scholar] [CrossRef]
- Bessa, L.W.; Pieterse, E.; Marais, J.; Dhanani, K.; Hoffman, L.C. Food safety of consuming black soldier fly (Hermetia illucens) larvae: Microbial, heavy metal and cross-reactive allergen risks. Foods 2021, 10, 1934. [Google Scholar] [CrossRef]
- Kökdener, M.; Gündüz, N.E.A.; Zeybekoǧlu, Ü.; Aykut, U.; Yllmaz, A.F. The Effect of Different Heavy Metals on the Development of Lucilia sericata (Diptera: Calliphoridae). J. Med. Entomol. 2022, 59, 1928–1935. [Google Scholar] [CrossRef]
- Gao, M.; Lin, Y.; Shi, G.Z.; Li, H.H.; Yang, Z.B.; Xu, X.X.; Xian, J.R.; Yang, Y.X.; Cheng, Z. Bioaccumulation and health risk assessments of trace elements in housefly (Musca domestica L.) larvae fed with food wastes. Sci. Total Environ. 2019, 682, 485–493. [Google Scholar] [CrossRef]
- Sun, H.X.; Shu, Y.H.; Tang, W.C.; Wang, Q.; Zhou, Q.; Zhang, G.R. Nickel accumulation and its effects on the survival rate of Spodoptera litura fabricius under continuous nickel stress. Chin. Sci. Bull. 2007, 52, 1957–1963. [Google Scholar] [CrossRef]
- Van der Fels-Klerx, H.J.; Camenzuli, L.; Van Der Lee, M.K.; Oonincx, D.G.A.B. Uptake of cadmium, lead and arsenic by Tenebrio molitor and Hermetia illucens from contaminated substrates. PLoS ONE 2016, 11, e0166186. [Google Scholar] [CrossRef] [PubMed]
- Zhang, Z.S.; Lu, X.G.; Wang, Q.C.; Zheng, D.M. Mercury, cadmium and lead biogeochemistry in the soil-plant-insect system in huludao city. Bull. Environ. Contam. Toxicol. 2009, 83, 255–259. [Google Scholar] [CrossRef]
- Monagail, M.M.; Morrison, L. The seaweed resources of Ireland: A twenty-first century perspective. J. Appl. Phycol. 2020, 32, 1287–1300. [Google Scholar] [CrossRef]
- Mason, R.P.; Reinfelder, J.R.; Morel, F.M. Uptake, Toxicity, and Trophic Transfer of Mercury in a Coastal Diatom. Environ. Sci. Technol. 1996, 30, 1835–1845. [Google Scholar] [CrossRef]
- Clarkson, T.W.; Magos, L. The Toxicology of Mercury and Its Chemical Compounds. Crit. Rev. Toxicol. 2006, 36, 609–662. [Google Scholar] [CrossRef]
- Handley, M.A.; Hall, C.; Sanford, E.; Diaz, E.; Gonzalez-Mendez, E.; Drace, K.; Wilson, R.; Villalobos, M.; Croughan, M. Globalization, binational communities, and imported food risks: Results of an outbreak investigation of lead poisoning in Monterey County, California. Am. J. Public Health 2007, 97, 900–906. [Google Scholar] [CrossRef]
- Tschirner, M.; Simon, A. Influence of different growing substrates and processing on the nutrient composition of black soldier fly larvae destined for animal feed. J. Insects Food Feed 2015, 1, 249–259. [Google Scholar] [CrossRef]
- Illuminati, S.; Truzzi, C.; Annibaldi, A.; Migliarini, B.; Carnevali, O.; Scarponi, G. Cadmium bioaccumulation and metallothionein induction in the liver of the Antarctic teleost Trematomus bernacchii during an on-site short-term exposure to the metal via seawater. Toxicol. Environ. Chem. 2010, 92, 617–640. [Google Scholar] [CrossRef]
- Girolametti, F.; Annibaldi, A.; Carnevali, O.; Pignalosa, P.; Illuminati, S.; Truzzi, C. Potential toxic elements (PTEs) in wild and farmed Atlantic bluefin tuna (Thunnus thynnus) from Mediterranean Sea: Risks and benefits for human consumption. Food Control 2021, 125, 108012. [Google Scholar] [CrossRef]
- Girolametti, F.; Annibaldi, A.; Illuminati, S.; Damiani, E.; Carloni, P.; Truzzi, C. Essential and Potentially Toxic Elements (PTEs) Content in European Tea (Camellia sinensis) Leaves: Risk Assessment for Consumers. Molecules 2023, 28, 3802. [Google Scholar] [CrossRef]
- Girolametti, F.; Frapiccini, E.; Annibaldi, A.; Illuminati, S.; Panfili, M.; Marini, M.; Santojanni, A.; Truzzi, C. Total Mercury (THg) Content in Red Mullet (Mullus barbatus) from Adriatic Sea (Central Mediterranean Sea): Relation to Biological Parameters, Sampling Area and Human Health Risk Assessment. Appl. Sci. 2022, 12, 10083. [Google Scholar] [CrossRef]
- Walker, C.H. Kinetic Models to Predict Bioaccumulation of Pollutants. Funct. Ecol. 1990, 4, 295–301. [Google Scholar] [CrossRef]
- Yang, J.; Sun, F.; Su, H.; Tao, Y.; Chang, H. Multiple risk assessment of heavy metals in surface water and sediment in Taihu Lake, China. Int. J. Environ. Res. Public Health 2022, 19, 13120. [Google Scholar] [CrossRef]
- Girolametti, F.; Annibaldi, A.; Illuminati, S.; Carnevali, O.; Varola, M.; Truzzi, C. Determination of Hg and Se in swordfish (Xiphias gladius) from Mediterranean Sea: Implications for nutritional recommendations during pregnancy and childhood. Mar. Pollut. Bull. 2023, 197, 115741. [Google Scholar] [CrossRef] [PubMed]
- Statgraphics Technologies, Inc. STATGRAPHICS Centurion 19 Software; Manugistics Inc.: Rockville, MD, USA, 2019. [Google Scholar]


| Sample | Cd | As | Pb | Hg | Ni | Cr | Al |
|---|---|---|---|---|---|---|---|
| Trial 1 | |||||||
| P. palmata | 0.28 ± 0.06 | 0.5 ± 0.1 | 0.87 ± 0.05 | 0.0055 ± 0.0001 | 3.2 ± 0.4 | 1.75 ± 0.04 | 445 ± 63 |
| Ctrl-PP | 0.123 ± 0.004 | 0.046 ± 0.007 c | 0.281 ± 0.008 d | 0.00243 ± 0.00003 d | 6.3 ± 0.4 a | 4.0 ± 0.2 ab | 426 ± 9 |
| PP5 | 0.121 ± 0.003 | 0.054 ± 0.008 c | 0.50 ± 0.02 c | 0.00280 ± 0.00001 c | 5.5 ± 0.3 b | 4.3 ± 0.1 a | 421 ± 27 |
| PP10 | 0.123 ± 0.002 | 0.075 ± 0.010 b | 0.62 ± 0.02 b | 0.00307 ± 0.00009 b | 5.5 ± 0.2 b | 3.9 ± 0.1 b | 412 ± 2 |
| PP20 | 0.116 ± 0.001 | 0.111 ± 0.003 a | 0.99 ± 0.07 a | 0.0038 ± 0.0002 a | 4.8 ± 0.1 c | 4.2 ± 0.1 a | 422 ± 3 |
| Trial 2 | |||||||
| A. nodosum | 0.31 ± 0.0.09 | 24 ± 2 | 0.158 ± 0.004 | 0.028 ± 0.001 | 0.71 ± 0.09 | 1.53 ± 0.04 | 136 ± 24 |
| Ctrl-AN | 0.062 ± 0.009 c | 0.050 ± 0.004 c | 0.320 ± 0.004 a | 0.0026 ± 0.0001 c | 6.9 ± 0.1 a | 3.6 ± 0.1 a | 328 ± 6 a |
| AN20 | 0.089 ± 0.004 b | 0.53 ± 0.02 b | 0.335 ± 0.005 a | 0.0065 ± 0.0004 b | 6.6 ± 0.2 a | 3.7 ± 0.3 ab | 317 ± 3 b |
| AN40 | 0.126 ± 0.013 a | 0.90 ± 0.02 a | 0.231 ± 0.003 b | 0.0113 ± 0.0001 a | 5.3 ± 0.4 b | 3.2 ± 0.2 b | 300 ± 5 c |
| Sample | Cd | As | Pb | Hg | Ni | Cr | Al |
|---|---|---|---|---|---|---|---|
| Trial 1 | |||||||
| Ctrl-PP | 0.99 ± 0.05 | 2.0 ± 0.6 a | 0.24 ± 0.04 a | 2.88 ± 0.07 a | 0.20 ± 0.02 a | 0.14 ± 0.01 a | 0.143 ± 0.005 a |
| PP5 | 0.97 ± 0.03 | 1.6 ± 0.4 b | 0.12 ± 0.02 b | 2.31 ± 0.07 b | 0.13 ± 0.01 b | 0.073 ± 0.004 b | 0.10 ± 0.01 b |
| PP10 | 0.86 ± 0.05 | 1.5 ± 0.2 b | 0.16 ± 0.01 b | 2.36 ± 0.07 b | 0.14 ± 0.01 b | 0.07 ± 0.01 b | 0.133 ± 0.004 a |
| PP20 | 1.09 ± 0.02 | 1.1 ± 0.1 b | 0.12 ± 0.01 b | 2.12 ± 0.13 b | 0.18 ± 0.01 a | 0.058 ± 0.003 b | 0.126 ± 0.004 a |
| Trial 2 | |||||||
| Ctrl-AN | 1.1 ± 0.2 | 1.5 ± 0.2 a | 0.17 ± 0.03 b | 2.60 ± 0.11 a | 0.09 ± 0.01 b | 0.16 ± 0.01 a | 0.05 ± 0.01 |
| AN20 | 0.94 ± 0.07 | 0.32 ± 0.03 b | 0.20 ± 0.03 b | 1.59 ± 0.10 b | 0.11 ± 0.01 ab | 0.06 ± 0.01 b | 0.057 ± 0.003 |
| AN40 | 1.1 ± 0.2 | 0.40 ± 0.04 b | 0.31 ± 0.06 a | 1.25 ± 0.01 b | 0.15 ± 0.02 a | 0.05 ± 0.01 b | 0.081 ± 0.003 |
| Sample | Cd | As | Pb | Hg | Ni | Cr | Al |
|---|---|---|---|---|---|---|---|
| Legal limit | 0.05 (meat) § ≤0.05 × | 0.2 (rice) § | 0.1 (meat) § ≤0.06 × | 0.5 (fish) § | 30 (seaweed) * | Not reported | Not reported |
| Trial 1 | |||||||
| Ctrl-PP | 0.032 ± 0.001 b | 0.024 ± 0.007 b | 0.018 ± 0.003 c | 0.00169 ± 0.00004 b | 0.327 ± 0.027 a | 0.147 ± 0.005 a | 15.9 ± 0.4 a |
| PP5 | 0.034 ± 0.001 b | 0.024 ± 0.005 b | 0.017 ± 0.003 c | 0.00174 ± 0.00005 b | 0.211 ± 0.005 a | 0.086 ± 0.004 ab | 10 ± 1 c |
| PP10 | 0.050 ± 0.001 a | 0.027 ± 0.002 a | 0.023 ± 0.002 b | 0.00176 ± 0.00002 b | 0.187 ± 0.008 b | 0.068 ± 0.004 b | 13.0 ± 0.4 b |
| PP20 | 0.0308 ± 0.0005 b | 0.029 ± 0.003 a | 0.029 ± 0.002 a | 0.00193 ± 0.00006 a | 0.204 ± 0.014 a | 0.059 ± 0.002 b | 12.9 ± 0.4 b |
| Trial 2 | |||||||
| Ctrl-AN | 0.017 ± 0.001 b | 0.020 ± 0.001 c | 0.014 ± 0.003 | 0.00166 ± 0.00004 b | 0.16 ± 0.02 | 0.146 ± 0.003 a | 4.3 ± 0.4 |
| AN20 | 0.018 ± 0.001 b | 0.038 ± 0.003 b | 0.015 ± 0.002 | 0.00229 ± 0.00003 a | 0.16 ± 0.01 | 0.048 ± 0.002 b | 4.0 ± 0.2 |
| AN40 | 0.027 ± 0.003 a | 0.071 ± 0.007 a | 0.014 ± 0.003 | 0.0028 ± 0.0002 a | 0.17 ± 0.02 | 0.032 ± 0.003 b | 4.9 ± 0.2 |
| PTEs | HQ |
|---|---|
| Cd | 0.008 ± 0.002 |
| As | 0.005 ± 0.004 |
| Pb | 0.0016 ± 0.0005 |
| Hg | 0.0010 ± 0.0006 |
| Ni | 0.0031 ± 0.0007 |
| Cr | 0.008 ± 0.005 |
| Al | 0.014 ± 0.007 |
| Sample | HI |
|---|---|
| Trial 1 | |
| Ctrl-PP | 0.056 ± 0.008 |
| PP5 | 0.040 ± 0.005 |
| PP10 | 0.046 ± 0.007 |
| PP20 | 0.046 ± 0.007 |
| Trial 2 | |
| Ctrl-AN | 0.031 ± 0.005 |
| AN20 | 0.026 ± 0.002 |
| AN40 | 0.042 ± 0.004 |
| Diet | Cd | As | Pb | Hg | Ni | Cr | Al | References |
|---|---|---|---|---|---|---|---|---|
| mean ± SD (min–max), mg kg−1 DM | ||||||||
| PP-enriched diet AN enriched diet | 0.108 ± 0.006 (0.069–0.127) | 0.15 ± 0.02 (0.08–0.36) | 0.08 ± 0.01 (0.05–0.12) | 0.0085 ± 0.0003 (0.0065–0.0141) | 0.83 ± 0.06 (0.64–1.2) | 0.34 ± 0.01 (0.16–0.58) | 38 ± 2 (17–61) | This study |
| ADD, HRD | (0.01–0.04) | (0.01–0.08) | (0.06–0.20) | nd | (0.13–0.32) | (0.68–1.02) | (9.86–12.58) | [49] |
| - | <0.03 | <0.03 | <0.03 | nd | 0.18 | 0.24 | nd | [50] |
| - | (0.04–0.06) | nd | (0.1–0.14) | nd | (0.5–0.61) | (0.13–0.18) | nd | [51] |
| F1, F2, F3 | (0.020–0.024) | <0.010 | (0.078–0.093) | nd | (0.25–0.41) | (0.4–0.99) | nd | [47] |
| - | (0.015–0.026) | (<0.01–0.96) | (<0.02–0.115) | (0.038–0.041) | (0.14–0.62) | nd | nd | [52] |
| - | <0.05 | <0.05 | (0.102–0.155) | <0.05 | nd | nd | nd | [53] |
| Element | Analytical Method | Analytical Results | Certified Values | Δ (%) |
|---|---|---|---|---|
| Cd | GF-AAS | 0.044 ± 0.023 | 0.043 ± 0.008 | +2 |
| As | GF-AAS | 16.0 ± 1.0 | 18.0 ± 1.1 | −11 |
| Pb | GF-AAS | 0.067 ± 0.031 | 0.065 ± 0.007 | +3 |
| Hg | DMA-1 | 4.54 ± 0.06 | 4.64 ± 0.26 | −2 |
| Ni | GF-AAS | 22.3 ± 2.2 | 19.4 ± 3.1 | +15 |
| Cr | GF-AAS | 31.4 ± 0.2 | 34.7 ± 5.5 | −9 |
| Al | GF-AAS | 11.1 ± 1.9 | 10.9 ± 1.7 | +2 |
Disclaimer/Publisher’s Note: The statements, opinions and data contained in all publications are solely those of the individual author(s) and contributor(s) and not of MDPI and/or the editor(s). MDPI and/or the editor(s) disclaim responsibility for any injury to people or property resulting from any ideas, methods, instructions or products referred to in the content. |
© 2025 by the authors. Licensee MDPI, Basel, Switzerland. This article is an open access article distributed under the terms and conditions of the Creative Commons Attribution (CC BY) license (https://creativecommons.org/licenses/by/4.0/).
Share and Cite
Ajdini, B.; Biancarosa, I.; Illuminati, S.; Annibaldi, A.; Girolametti, F.; Fanelli, M.; Massi, L.; Truzzi, C. Novel Food Safety Evaluation: Potentially Toxic Elements in Acheta domesticus (House Cricket) Reared on Seaweed-Enriched Diets. Molecules 2025, 30, 3958. https://doi.org/10.3390/molecules30193958
Ajdini B, Biancarosa I, Illuminati S, Annibaldi A, Girolametti F, Fanelli M, Massi L, Truzzi C. Novel Food Safety Evaluation: Potentially Toxic Elements in Acheta domesticus (House Cricket) Reared on Seaweed-Enriched Diets. Molecules. 2025; 30(19):3958. https://doi.org/10.3390/molecules30193958
Chicago/Turabian StyleAjdini, Behixhe, Irene Biancarosa, Silvia Illuminati, Anna Annibaldi, Federico Girolametti, Matteo Fanelli, Lorenzo Massi, and Cristina Truzzi. 2025. "Novel Food Safety Evaluation: Potentially Toxic Elements in Acheta domesticus (House Cricket) Reared on Seaweed-Enriched Diets" Molecules 30, no. 19: 3958. https://doi.org/10.3390/molecules30193958
APA StyleAjdini, B., Biancarosa, I., Illuminati, S., Annibaldi, A., Girolametti, F., Fanelli, M., Massi, L., & Truzzi, C. (2025). Novel Food Safety Evaluation: Potentially Toxic Elements in Acheta domesticus (House Cricket) Reared on Seaweed-Enriched Diets. Molecules, 30(19), 3958. https://doi.org/10.3390/molecules30193958

