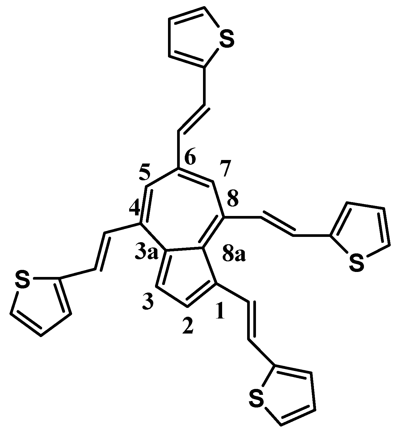
Electrochemical and Optical Experiments and DFT Calculations of 1,4,6,8-Tetrakis((E)-2-(thiophen-2-yl)vinyl)azulene †
Abstract
1. Introduction
2. Results
2.1. Electrochemistry on L
2.1.1. Studies Using the DPV Method
2.1.2. Studies Using the CV Method
2.1.3. Studies Using the RDE Method
2.2. Studies of L by UV-Vis
2.3. DFT Calculation of Quantum Chemical Reactivity Parameters
2.4. Chemically Modified Electrodes Based on L
3. Discussion
4. Materials and Methods
5. Conclusions
Supplementary Materials
Author Contributions
Funding
Data Availability Statement
Acknowledgments
Conflicts of Interest
References
- Anderson, A.G., Jr.; Steckler, B.M. Azulene. VIII. A Study of the Visible Absorption Spectra and Dipole Moments of Some 1- and 1,3-Substituted Azulenes 1,2. J. Am. Chem. Soc. 1959, 81, 4941–4946. [Google Scholar] [CrossRef]
- Lemal, D.M.; Goldman, G.D. Synthesis of Azulene, a Blue Hydrocarbon. J. Chem. Educ. 1988, 65, 923. [Google Scholar] [CrossRef]
- Dong, J.-X.; Zhang, H.-L. Azulene-Based Organic Functional Molecules for Optoelectronics. Chin. Chem. Lett. 2016, 27, 1097–1104. [Google Scholar] [CrossRef]
- Gao, H.; Ge, C.; Hou, B.; Xin, H.; Gao, X. Incorporation of 1,3-Free-2,6-Connected Azulene Units into the Backbone of Conjugated Polymers: Improving Proton Responsiveness and Electrical Conductivity. ACS Macro Lett. 2019, 8, 1360–1364. [Google Scholar] [CrossRef] [PubMed]
- López-Alled, C.M.; Park, S.J.; Lee, D.J.; Murfin, L.C.; Kociok-Köhn, G.; Hann, J.L.; Wenk, J.; James, T.D.; Kim, H.M.; Lewis, S.E. Azulene-Based Fluorescent Chemosensor for Adenosine Diphosphate. Chem. Commun. 2021, 57, 10608–10611. [Google Scholar] [CrossRef] [PubMed]
- Asao, G.; Blaschke, H.; Kolshorn, H.; Lindner, H.J.; Oda, M.; Sauerbier, M.; Use, G.; Zeller, K.P. Carbocyclische π-Elektronen-Systeme. In Methoden der Organischen Chemie (Houben-Weyl), 4th ed.; Georg Thieme Verlag KG: Stuttgart, Germany, 1985; ISBN 9783132028043. [Google Scholar]
- Kirby, E.C.; Reid, D.H. 30. Conjugated Cyclic Hydrocarbons and Their Heterocyclic Analogues. Part IV. Dimethinecyanine Salts from 1-Formylazulenes and Heterocyclic Quaternary Ammonium Salts. J. Chem. Soc. 1961, 163–167. [Google Scholar] [CrossRef]
- Razus, A.C.; Nitu, C.; Tecuceanu, V.; Cimpeanu, V. 2-Substituted (Azulen-1-Yl)Ethenes. Eur. J. Org. Chem. 2003, 23, 4601–4610. [Google Scholar] [CrossRef]
- Razus, A.C.; Birzan, L.; Tecuceanu, V.; Cristea, M.; Nicolescu, A.; Enache, C. Azulene derivatives soluble in polar solvents. 1-(azulen-1-YL)-2-(thien-2-or 3-YL)-ethenes. Rev. Roum. Chim. 2007, 52, 189–194. Available online: https://revroum.lew.ro/wp-content/uploads/2007/RRC_1-2_I.Haiduc/Art%2021.pdf (accessed on 25 August 2025). [CrossRef]
- Razus, A.C.; Birzan, L.; Cristian, L.; Tecuceanu, V. Synthesis and Properties of Azulene-Containing 1,3-Dioxanes. Arkivoc 2009, 31–44. Available online: https://pdfs.semanticscholar.org/a12b/13c80106c189f68a06c58f92288695885b79.pdf (accessed on 25 August 2025). [CrossRef]
- Takekuma, S.; Nagata, K.; Yoshioka, Y.; Obata, H.; Minami, T.; Tanaka, T.; Yashima, K.; Minematsu, T.; Takekuma, H. Preparation, Molecular Structures, and Characteristic Properties of (E)-1-(2-Furyl)- and (E)-1-(2-Thienyl)-2-(3-Guaiazulenyl)Ethylenes and (E)-1-(3-Furyl)- and (E)-1-(3-Thienyl)-2-(3-Guaiazulenyl)Ethylenes. Tetrahedron 2012, 68, 6737–6758. [Google Scholar] [CrossRef]
- Tian, Y.; Liu, J.; Qiao, J.; Ge, F.; Yang, Y.; Zhang, Q. Advancements in Electrochemical Sensing Technology for Heavy Metal Ions Detection. Food Chem. 2025, 25, 102204. [Google Scholar] [CrossRef]
- Birzan, L.; Tecuceanu, V.; Draghici, C.C.; Hanganu, A.; Razus, A.C. Preparation of Azulenes Substituted at Seven-Membered Cycle with 2- and 3-Thiophenevinyl Groups. Rev. Chim. 2020, 71, 212–224. [Google Scholar] [CrossRef]
- Cristea, M.; Bîrzan, L.; Dumitrascu, F.; Enache, C.; Tecuceanu, V.; Hanganu, A.; Drăghici, C.; Deleanu, C.; Nicolescu, A.; Maganu, M.; et al. 1-Vinylazulenes with Oxazolonic Ring-Potential Ligands for Metal Ion Detectors; Synthesis and Products Properties. Symmetry 2021, 13, 1209. [Google Scholar] [CrossRef]
- Ding, Q.; Li, C.; Wang, H.; Xu, C.; Kuang, H. Electrochemical detection of heavy metal ions in water. Chem. Commun. 2021, 57, 7215–7224. [Google Scholar] [CrossRef]
- Ghazvini Zadeh, E.H.; Tang, S.; Woodward, A.W.; Liu, T.; Bondar, M.V.; Belfield, K.D. Chromophoric Materials Derived from a Natural Azulene: Syntheses, Halochromism and One-Photon and Two-Photon Microlithography. J. Mater. Chem. C 2015, 3, 8495. Available online: https://pubs.rsc.org/en/content/articlelanding/2015/tc/c5tc01459j (accessed on 25 August 2025). [CrossRef]
- McDonald, R.N.; Stewart, W.S. Nonbenzenoid Aromatic Systems. I. Synthesis of 1-Vinylazulene and Certain Substituted 1-Vinylazulenes. J. Org. Chem. 1965, 30, 270. [Google Scholar] [CrossRef]
- Briquet, A.A.S.; Hansen, H.J. New Results in the Synthesis of Styrylazulene Derivatives: Application of the ‘Anil synthesis’ to the preparation of azulenes substituted with styryl groups at the seven-membered ring. Helv. Chim. Acta 1994, 77, 1921–1939. [Google Scholar] [CrossRef]
- Wang, F.; Lai, Y.-H.; Han, M.-Y. Stimuli-Responsive Conjugated Copolymers Having Electro-Active Azulene and Bithiophene Units in the Polymer Skeleton: Effect of Protonation and p-Doping on Conducting Properties. Macromolecules 2004, 37, 3222–3230. [Google Scholar] [CrossRef]
- Lete, C.; Esteban, B.M.; Kvarnström, C.; Razus, A.C.; Ivaska, A. Electrosynthesis and Characterization of Poly(2-[(E)-2-Azulen-1-Ylvinyl] Thiophene) Using Polyazulene as Model Compound. Electrochim. Acta. 2007, 52, 6476–6483. [Google Scholar] [CrossRef]
- Herrmann, R.; Pedersen, B.; Wagner, G.; Youn, J.-H. Molecules with Potential Applications for Non-Linear Optics: The Combination of Ferrocene and Azulene. J. Organomet. Chem. 1998, 571, 261–266. [Google Scholar] [CrossRef]
- Iftime, G.; Lacroix, P.G.; Nakatani, K.; Razus, A.C. Push-Pull Azulene-Based Chromophores with Nonlinear Optical Properties. Tetrahedron Lett. 1998, 39, 6853–6856. [Google Scholar] [CrossRef]
- Zhao, C.; Liu, H.; Wang, L. Electropolymerized thiadiazole films for simultaneous Pb(II)/Cd(II) detection. Anal. Methods 2012, 4, 3586–3592. [Google Scholar] [CrossRef]
- Murfin, L.C.; Lewis, S.E. Azulene—A Bright Core for Sensing and Imaging. Molecules 2021, 26, 353. [Google Scholar] [CrossRef]
- Ungureanu, E.-M.; Anăstăsoaie, V.; Bujduveanu, M.-R.; Brotea, A.-G.; Isopescu, R.; Stanciu, G. Polyazulene Based Materials for Heavy Metal Ions Detection. 4. Search for Conditions for Thiophen-Vinyl-Pyridine-Azulene Based CMEs Preparation. Symmetry 2022, 14, 225. [Google Scholar] [CrossRef]
- Mwanza, C.; Zhang, W.-Z.; Mulenga, K.; Ding, S.-N. Advancing green chemistry in environmental monitoring: The role of electropolymerized molecularly imprinted polymer-based electrochemical sensors. Green Chem. 2024, 26, 11490–11517. [Google Scholar] [CrossRef]
- Dube, A.; Malode, S.J.; Alodhayb, A.N.; Mondal, K.; Shetti, N.P. Conducting polymer-based electrochemical sensors: Progress, challenges, and future perspectives. Talanta Open 2025, 11, 100395. [Google Scholar] [CrossRef]
- Xhanari, K.; Finšgar, M. Recent advances in the modification of electrodes for trace metal analysis: A review. Analyst 2023, 148, 5805. [Google Scholar] [CrossRef] [PubMed]
- Lazar, I.-G.; Diacu, E.; Ungureanu, E.-M.; Buica, G.-O.; Birzan, L.; Arnold, G.-L. Modified electrodes based on 2,6-Bis((E)-2-(thiophen-2-yl)vinyl)-4-(4,6,8-trimethylazulen-1-yl)pyridine for heavy metals sensing. UPB Sci. Bull. Ser. B 2017, 79, 23–36. Available online: https://www.scientificbulletin.upb.ro/rev_docs_arhiva/full1ce_474061.pdf (accessed on 25 August 2025).
- Tang, T.; Lin, T.; Erden, F.; Wang, F.; He, C. Configuration-Dependent Optical Properties and Acid Susceptibility of Azulene Compounds. J. Mater. Chem. C 2018, 6, 5153–5160. [Google Scholar] [CrossRef]
- Brotea, A.-G.; Matica, O.-T.; Musina, C.; Pandele, A.M.; Trusca, R.; Ungureanu, E.-M. Chemically Modified Electrodes Based on 4-((5-Isopropyl-3,8-dimethylazulen-1-yl)methylene)-2-phenyloxazol-5(4H)-one. Symmetry 2024, 16, 245. [Google Scholar] [CrossRef]
- Vasile (Corbei), A.-A.; Ungureanu, E.-M.; Stanciu, G.; Cristea, M.; Stefaniu, A. Evaluation of (Z)-5-(Azulen-1-Ylmethylene)-2-Thioxothiazolidin-4-Ones Properties Using Quantum Mechanical Calculations. Symmetry 2021, 13, 1462. [Google Scholar] [CrossRef]
- Cordoş, E.; Frenţiu, T.; Rusu, A.-M. Analiza Prin Spectrometrie Atomică; Institutul Naţional de Optoelectronică: Bucureşti, Romania, 1998; ISBN 978-973-98742-0-5. [Google Scholar]
- Harvey, A.E.; Manning, D.L. Spectrophotometric Methods of Establishing Empirical Formulas of Colored Complexes in Solution. J. Am. Chem. Soc. 1950, 72, 4488–4493. [Google Scholar] [CrossRef]
- Molland, J. Inner Complex Salts of the 8-Hydroxyquinoline-5-Sulfonic Acid. J. Am. Chem. Soc. 1940, 62, 541–542. [Google Scholar] [CrossRef]
- Perepichka, D.F.; Bryce, M.R. Molecules with Exceptionally Small HOMO–LUMO Gaps. Angew. Chem. 2005, 44, 5370–5373. [Google Scholar] [CrossRef] [PubMed]
- Liu, L.; Li, X.; Yang, R.; Ma, H.; Liu, E.; Gao, T.; Sun, T. Co3S4/MnS p-p heterojunction as a highly efficient electrocatalyst for water splitting and electrochemical oxidation of organic molecules. J. Colloid Interface Sci. 2025, 687, 589–598. [Google Scholar] [CrossRef] [PubMed]
















| Quantum Chemical Reactivity Parameter Symbol (Unit) | Formula | Value |
|---|---|---|
| FMOs energy gap, ΔE (eV) | EHOMO − ELUMO | 2.44 |
| Ionization potential, I (eV) | I = − EHOMO | 4.78 |
| Electron affinity, A (eV) | A = − ELUMO | 2.34 |
| Electronegativity, χ (eV) | χ = (I + A)/2 | 3.56 |
| Global hardness, η (eV) | η = (I − A)/2 | 1.22 |
| Global softness, σ (eV−1) | σ = 1/η | 0.82 |
| Chemical potential, µ (eV) | µ = (EHOMO + ELUMO)/2 | −3.56 |
| Global electrophilicity index, ω (eV) | ω = µ2/2 η | 5.19 |
| Peak | Method | Characteristics of the Peak | |
|---|---|---|---|
| DPV | CV | ||
| a1 | 0.25 | 0.30 | Quasireversible |
| a2 | 0.72 | 0.85 | Irreversible |
| a3 | 0.96 | 1.10 | Irreversible |
| a4 | 2.27 | 2.40 | Irreversible |
| c1 | −1.60 | −1.70 | Reversible |
| c2 | −2.16 | −2.20 | Irreversible |
| c3 | −2.52 | −2.60 | Reversible |
| c4 | −2.94 | −3.01 | Quasireversible |
| λ (nm) | ε (M−1cm−1) | log(ε) | λ’ (nm) | log(ε’) |
|---|---|---|---|---|
| 278 | 26,400 | 4.42 | 279 | 4.14 |
| 419 | 63,400 | 4.80 | 418 | 4.58 |
Disclaimer/Publisher’s Note: The statements, opinions and data contained in all publications are solely those of the individual author(s) and contributor(s) and not of MDPI and/or the editor(s). MDPI and/or the editor(s) disclaim responsibility for any injury to people or property resulting from any ideas, methods, instructions or products referred to in the content. |
© 2025 by the authors. Licensee MDPI, Basel, Switzerland. This article is an open access article distributed under the terms and conditions of the Creative Commons Attribution (CC BY) license (https://creativecommons.org/licenses/by/4.0/).
Share and Cite
Musina, C.; Brotea, A.-G.; Cristea, M.; Stanciu, G.; Stefaniu, A.; Ungureanu, E.-M. Electrochemical and Optical Experiments and DFT Calculations of 1,4,6,8-Tetrakis((E)-2-(thiophen-2-yl)vinyl)azulene. Molecules 2025, 30, 3762. https://doi.org/10.3390/molecules30183762
Musina C, Brotea A-G, Cristea M, Stanciu G, Stefaniu A, Ungureanu E-M. Electrochemical and Optical Experiments and DFT Calculations of 1,4,6,8-Tetrakis((E)-2-(thiophen-2-yl)vinyl)azulene. Molecules. 2025; 30(18):3762. https://doi.org/10.3390/molecules30183762
Chicago/Turabian StyleMusina (Borsaru), Cornelia, Alina-Giorgiana Brotea, Mihaela Cristea, Gabriela Stanciu, Amalia Stefaniu, and Eleonora-Mihaela Ungureanu. 2025. "Electrochemical and Optical Experiments and DFT Calculations of 1,4,6,8-Tetrakis((E)-2-(thiophen-2-yl)vinyl)azulene" Molecules 30, no. 18: 3762. https://doi.org/10.3390/molecules30183762
APA StyleMusina, C., Brotea, A.-G., Cristea, M., Stanciu, G., Stefaniu, A., & Ungureanu, E.-M. (2025). Electrochemical and Optical Experiments and DFT Calculations of 1,4,6,8-Tetrakis((E)-2-(thiophen-2-yl)vinyl)azulene. Molecules, 30(18), 3762. https://doi.org/10.3390/molecules30183762

