Abstract
The aim of the work was to develop a highly effective catalyst for the conversion of furfural into furfuryl alcohol through catalytic transfer hydrogenation, which is an important process for converting biomass-derived compounds into valuable chemicals. A highly mesoporous silica was modified with various zirconium and aluminium precursors to obtain Lewis acid centres. The materials were characterised by nitrogen adsorption, FTIR spectroscopy, pyridine adsorption, thermogravimetry, SEM and XRD. The catalytic properties of the materials versus acid site concentration, alcohol type, zirconium content and reaction time were investigated in a batch reactor. The zirconium propoxide-modified materials appeared to be the most active and selective catalysts in the reaction studied. They showed complete furfural conversion with ca. 99% selectivity of furfuryl alcohol, which was attributed to the predominantly Lewis acidic character of these catalysts. High productivity, 15.2 molFA/molZr·h, was obtained for the most active catalyst. Good catalytic stability was confirmed in repeated cycles. The oxide form of zirconium and aluminium species resulted in the mixed Lewis and Brönsted acidity, which encouraged further transformation of furfuryl alcohol into butyl furfuryl ether, angelica lactone and butyl levulinate. The elaborated catalyst offers a promising approach for converting renewable resources into industrially relevant chemicals.
1. Introduction
The increasing demand for sustainable chemical processes and the depletion of fossil resources have intensified the search for renewable carbon-based alternatives. Lignocellulosic biomass, due to its abundance and renewability, has become a key feedstock in the production of biobased platform chemicals such as cyclopentanone, γ-valerolactone, furans [1,2,3]. Among these, furfural has attracted significant attention as a versatile intermediate for the synthesis of a wide range of chemicals. Furfural is produced on an industrial scale mainly from the hemicellulose fraction of biomass through the acid-catalysed dehydration of xylose [4,5,6]. One of the most important subsequent transformations of furfural is its hydrogenation to furfuryl alcohol. This alcohol is used as a precursor for various industrial applications, including resins, polymers, adhesives, lubricants, and drug intermediates such as vitamin C, lysine and ranitidine [7,8,9,10,11,12,13]. Traditionally, the hydrogenation of furfural is carried out using copper–chromite catalysts under high-pressure hydrogen and elevated temperatures. Despite their industrial relevance, the use of hexavalent chromium causes serious environmental and health concerns due to its toxicity. Furthermore, the need for external molecular hydrogen introduces additional safety, economic, and logistical issues [14]. Catalysts based on noble metals such as palladium, platinum, ruthenium, and rhodium have been studied extensively and show high hydrogenation activity [15,16,17]. However, their practical implementation is limited by high cost, scarcity and high sensitivity to poisoning. Moreover, the use of these catalysts can lead to the formation of undesired reaction products, such as tetrahydrofurfuryl alcohol or 2-methylfuran. Nickel-based systems demonstrate good hydrogenation performance, but often require elevated temperature, which can result in deactivation through sintering. Moreover, the process requires hydrogen and high pressure [18,19]. To overcome some of these limitations, research has shifted toward the development of alternative catalytic systems capable of operating under milder and more environmentally friendly conditions.
A promising strategy for the reduction of furfural to furfuryl alcohol is catalytic transfer hydrogenation via the Meerwein–Ponndorf–Verley (MPV) reduction. In this reaction, a secondary alcohol is used as both the solvent and hydrogen donor, transferring a hydride to the carbonyl group of furfural in the presence of a Lewis acid catalyst [20]. The efficiency and selectivity of the MPV reaction strongly depend on the Lewis acid catalyst employed. Zirconium-based catalysts exhibit strong Lewis acidity and high thermal stability, which facilitate the activation of the carbonyl group in furfural [21]. Materials such as Zr-Beta zeolites and Zr-doped silicas have shown high catalytic activity, especially when the zirconium is well dispersed in the framework [22,23,24,25,26]. Alumina-based catalysts, including amorphous Al2O3 and aluminosilicates, offer moderate Lewis acidity and are easily available, but typically show lower activity and selectivity than zirconium analogues [21,27]. Bifunctional catalysts that incorporate two or more metal oxides, such as Mg-Fe, Zr-Ti, or Mg-Ti systems, have also been explored to combine the advantages of each component and improve catalytic performance. While such combinations can exhibit synergistic effects, their synthesis is often more complex [28]. More attention has been paid to materials with tailored porosity and high surface area. Mesoporous silicas, such as SBA-15 or MCM-41 functionalized with Lewis acidic metal centres, provide improved mass transfer and site accessibility [29,30]. Additionally, metal–organic frameworks (MOFs) such as UiO-66 and MIL-140, have shown promise as MPV catalysts due to their tuneable pore structures and well-defined active sites [31,32].
The selection of the hydrogen donor is also critical to the performance of MPV-type hydrogenation. Secondary alcohols such as isopropanol and 2-butanol are typically used because of their high hydrogen transfer efficiency [33].
One of the key challenges in the reduction of furfural to furfuryl alcohol using MPV reaction is product selectivity control. Furfural can undergo subsequent transformations, such as etherification and esterification, which lead to the formation of alkylfurfuryl ethers or esters, especially in the presence of strong protic acid sites [34,35,36]. Although these compounds may be valuable in certain applications, their formation complicates the purification process and reduces the overall efficiency, particularly when furfuryl alcohol is the target product. Therefore, the search for highly selective catalysts that limit secondary transformations is of considerable interest.
In this study, we report the synthesis and application of a ZrOPr-doped silica catalyst that features well-dispersed and low content Zr4+ Lewis acid sites grafted onto the mesoporous silica support. This catalyst enables the efficient and selective MPV reduction of furfural to furfuryl alcohol under mild conditions using 2-butanol as the hydrogen donor. The performance of the catalyst was compared with those of zirconia and alumina modified support and with data published in the literature. Moreover, the effects of zirconium concentration, alcohol type, and reaction time on furfural chemical transformation pathways were investigated. The kinetics of MPV reduction of the most effective catalysts was considered.
2. Results
2.1. Properties of the Materials
All synthesised materials were used in the form of powders with grains of size in the range of 20 to 50 μm. An irregular shape is well seen in the SEM image of 7ZrOPr-S sample (Figure S1). XRD analysis showed amorphous structure of the catalysts. The spectrum of a representative sample was presented in Figure S2, and it shows only broad peak in the range of 15 to 30 2Theta, which is characteristic for amorphous silica.
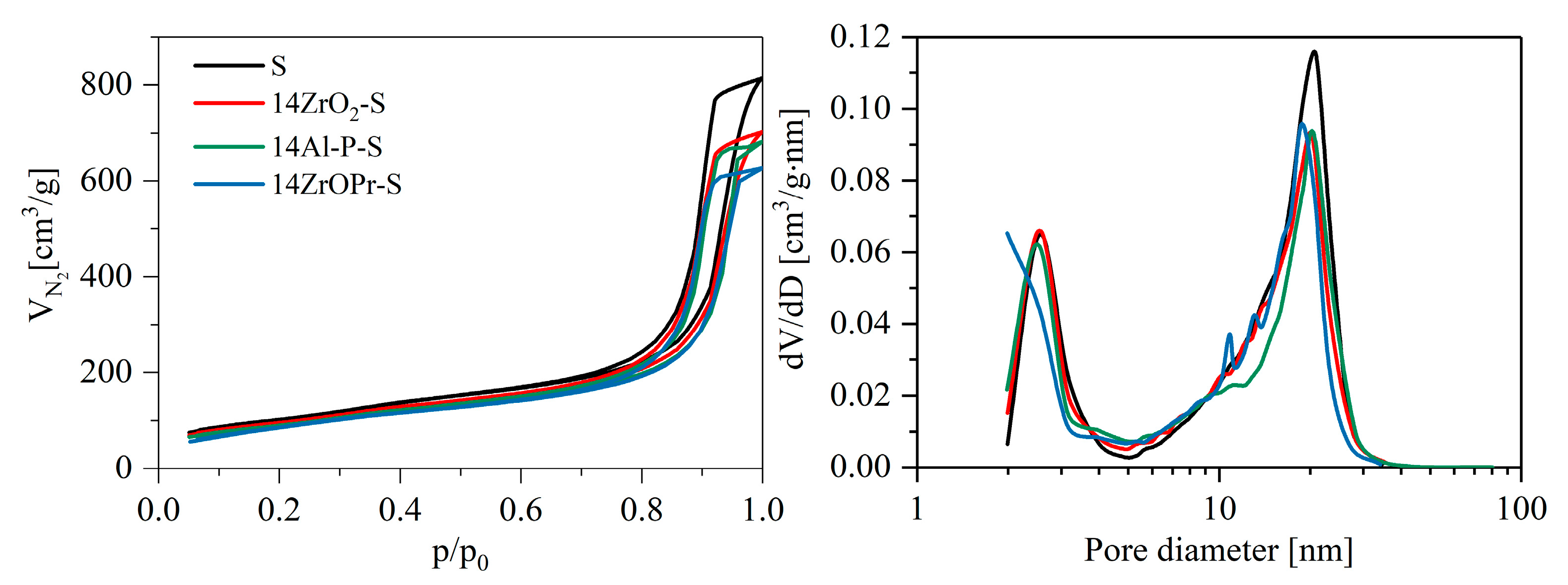
Nitrogen adsorption–desorption isotherms (Figure 1) were collected to investigate the impact of surface modification on the structural properties of mesoporous silica. The specific surface area SBET and the pore volume Vp of the silica support before and after its functionalisation with active species were determined and summarised in Table 1 for representative samples.
Figure 1.
Nitrogen adsorption/desorption isotherm of pristine and modified silica.
Table 1.
Structural parameters of materials.
The pristine silica showed a typical type IV isotherm with an H1 hysteresis loop according to the IUPAC classification, characteristic of mesoporous material with cylindrical pores and a uniform pore size distribution. It exhibited a high specific surface area of 358 m2/g and a total pore volume of 1.23 cm3/g, with mesopores of 2.5 and 20 nm in diameter. The incorporation of aluminium and zirconium species led to a slight decrease in surface area of about 6% in all samples. After modification, the bimodal pore size distribution was preserved. However, the distribution of the smaller mesopores shifted slightly toward smaller diameters. The total pore volume decreased by c.a. 15% in oxide-modified materials, and by 23% in those modified with zirconium propoxide.
Figure 2 presents the FTIR spectra of 14ZrOPr-S and 14ZrO2-S samples. The spectrum of the zirconium propoxide-modified material (black) shows distinct bands at 2980 and 2940 cm−1, as well as 2900 cm−1, corresponding to the asymmetric and symmetric C-H stretching vibrations of the isopropyl groups. It indicates the presence of the ligands coordinated to zirconium centres. These C-H bands are not observed in the zirconia-modified silica spectrum (red) confirming the complete thermal decomposition of these groups. The spectra of both catalysts feature a broad band centred at 3400 cm−1, attributed to hydrogen-bonded hydroxyl groups. The bands observed in the range of 3600–3800 cm−1 were ascribed to isolated Si-OH and Zr-OH. These bands are more pronounced and sharper for the red spectrum, indicating a higher density of Brönsted acidic centres. In the mid-IR region 1300–1000 cm−1, both spectra exhibit intense bands characteristic of Si-O-Si asymmetric 1100 cm−1 and symmetric 800 cm−1 stretching vibrations. The absorption band corresponding to stretching modes of the Si-O-Zr bridges can be seen at 960 nm−1 [37,38,39,40].
Figure 2.
FTIR spectra of silica (blue), 14ZrOPr-S (black) and 14ZrO2-S (red) samples.
Thermogravimetric analysis was performed to determine the thermal stability and amount of the propoxy groups in the functionalised materials. Figure 3 shows the weight loss vs. temperature curve for the 14ZrOPr-S sample. The TGA curve revealed two regions of mass loss. The initial weight loss of approximately 5% occurred in the range of 25 to 150 °C and is attributed to the removal of physisorbed water from the surface. The second, corresponding to the 3% decrease, was observed between 250 and 600 °C. This loss is associated with the gradual thermal decomposition of organic ligands bonded to zirconium ions. The amount of propoxy ligands was estimated and the average number of -C3H7 per zirconium atom was calculated to be approximately 1.13. This suggests that a part of the ligands was hydrolysed to form -OH groups.
Figure 3.
TG (black) and DTG (orange) curves of 14ZrOPr-S.
FTIR spectra (Figure 4) of pyridine adsorbed on silica-based materials modified with 14ZrOPr-S, 14ZrO2-S, and 14Al-P-S provide information on the type of acid sites. Characteristic bands at 1540 cm−1 and 1635 cm−1 are attributed to pyridine coordinated to the Brönsted (B) acid sites, while bands at 1445 cm−1, 1456 cm−1, 1600 cm−1 are observed for pyridine adsorbed on Lewis acid sites. An additional band at around 1490 cm−1 is associated with contributions from both Brönsted and Lewis sites (L + B) [41,42].
Figure 4.
FTIR spectra of 14ZrOPr-S, 14ZrO2-S and 14Al-P-S catalysts after pyridine adsorption.
Spectra of all analysed samples exhibit bands characteristic of both Lewis and Brönsted acid sites; however, their relative intensities differ significantly. The ZrOPr-modified silica shows well-defined bands attributable to Lewis acid sites. This indicates that zirconium is anchored to the silica matrix through the Si-O-Zr bond as an unsaturated coordinating centre that acts as an electron pair acceptor. The relatively low Brönsted acidity in this sample suggests that this material can be considered as a selective Lewis acid catalyst.
In the 14ZrO2-Si spectrum, the presence of a strong band near 1540 cm−1 and 1603 cm−1 implies that the surface hydroxyl groups associated with ZrO2 domains act as proton donors capable of forming pyridinium species. The catalyst still possesses a strong and dominant Lewis acidic character, although it is weaker than that of the 14ZrOPr-Si material.
The Al-modified silica exhibits the most intense Brönsted acid band, indicating a high concentration of protonic sites. A Lewis acid signal is also observed, which confirm the presence of unsaturated coordinating aluminium species.
The relative concentration ratio of the L/B sites was determined and collected in Table 2. This ratio was calculated from the integration of the bands at 1445 cm−1 and 1540 cm−1 assuming the extinction coefficient ε = 2.22 cm/μm and ε = 1.67 cm/μm, respectively [43]. These results show that Lewis acidity decreased in order 14ZrOPr-Si > 14ZrO2 > 14Al-P-S, and in the alumina-functionalised sample the highest concentration of Brönsted acid sites was observed.
Table 2.
Relative ratio of Lewis to Brönsted acid sites.
2.2. Catalytic Performance of the Materials in the MPV Reduction
The catalytic performance of the catalysts was investigated in the Meerwein–Ponndorf–Verley (MPV) reduction of furfural (FF) using 2-butanol as the hydrogen donor. The reaction scheme is depicted on Scheme 1.
Scheme 1.
Chemoselective MPV reduction of furfural to furfuryl alcohol with 2-ButOH.
The target product of this reaction is furfuryl alcohol (FA), which can, however, undergo further acid-catalysed transformations into butyl furfuryl ether (FE), butyl levulinate (BL) and angelica lactone (AL) as shown in Scheme 2. The sequential reaction pathway follows the transformation of FF to FA via Lewis acid-catalysed hydride transfer, followed by Brönsted acid-catalysed etherification of FA to FE. Subsequently, FE can be converted to AL or BL, while AL may further react with 2-butanol to form BL.
Scheme 2.
Reaction pathways of acid-catalysed conversion of furfural, Lewis [L], Brönsted [B], mixed Lewis and Brönsted [L/B] acid sites.
Figure 5 shows conversion and selectivity in catalytic transformation of furfural by mesoporous silica support modified with zirconium and aluminium. The 14ZrOPr-Si catalyst demonstrated 100% conversion of FF and 100% yield of FA. The MPV reduction mechanism proceeds through a six-membered transition state in which the furfural carbonyl group coordinates with a Lewis-acidic Zr4+ centre, facilitating hydride transfer from the secondary alcohol. The course of the reaction is in agreement with the predominance of Lewis acid sites in this material, which was proved by FTIR spectroscopy (see analysis of pyridine adsorption). The 14ZrO2-modified silica also showed almost 100% furfural conversion. However, only a 10% yield of FA was detected, and the yield of the main product FE was 80%. In the post-reaction mixture minor amounts of ester BL and lactone AL were also identified. The presence of these products was attributed to the coexistence of both Lewis and Brönsted acid sites.
Figure 5.
Conversion of furfural and yield of reaction products obtained for Zr- and Al-catalysts.
The alumina-modified silica catalysts exhibited a stronger Brönsted acid character and a lower activity in the MPV step. The catalyst obtained from aluminium nitrate showed only 38% FF conversion and FA was not observed because of its rapid conversion into secondary products. A similar course of chemical transformations was observed for the catalysts 14Al-P-S and 14Al-B-S prepared from aluminium alkoxides, but higher conversion of FF was achieved, at 55% and 57%, respectively. The reaction products were FE, Al and BL with different yields, suggesting the presence of Brönsted acid centres of different concentrations/strengths in these materials. The commercial ZrO2 catalyst demonstrated very low conversion of furfural, about 15%, and FA, FE, AL, or BL were not detected. In the presence of bulk zirconia, furfural may be initially reduced to FA, which is rapidly consumed through undesired side reactions, i.e., polymerisation into oligomeric or polymeric species. Alternatively, furfural may also undergo condensation reactions, leading to the formation of humin-type solids [44].
The ability of the catalyst to promote the MPV reduction of furfural strongly depends on the coordination of the metal centre anchored to the silica surface. In Zr-propoxy-derived materials, Zr centres exist as isolated, tetra-coordinated Lewis acidic sites and this geometry enables the formation of a six-membered cyclic transition state [40]. In zirconia-deposited silica, Zr species may form oligomeric Zr-O-Zr domains, which restrict the creation of Lewis acid centres. The use of aluminium alkoxide precursors results in weak Lewis acidity, while the application of aluminium nitrate can lead to the formation of alumina clusters and the formation of more Brönsted acid centres than desired Lewis ones [45,46].
The effect of zirconium concentration on the efficiency of MPV reduction was studied for two most active and selective systems: silica-supported zirconium propoxy species with dominant Lewis acidity and silica-supported zirconia containing both Lewis and Brönsted acid sites (Figure 6). ZrOPr-S catalysts showed high activity and selectivity for MPV reduction of furfural to furfuryl alcohol, regardless of metal loading. Full conversion of FF and ca. 99% yield of FA was reached after 6 h for 14Zr-, 7Zr- and 3.5Zr-catalysts. At the lowest loading of zirconium, high FA selectivity was retained; however, FF conversion declined to 81%. A strong decrease in catalytic activity versus lowering Zr content was observed for zirconia-based catalysts. Moreover, low selectivity towards FA was detected for these materials.
Figure 6.
Influence of Zr concentration on FF conversion and selectivity.
The progress of MPV reduction versus time was investigated for three catalysts of the ZrOPr-S series and presented in Figure 7. It shows that almost full conversion of FF was already obtained after 2 h for the 7ZrOPr-S catalyst. These data clearly indicated the high activity and selectivity of zirconium-propoxide supported on the mesoporous silica at its relatively low concentration.
Figure 7.
Conversion of FF and selectivity to FA vs. time for ZrOPr-Si catalysts. Selectivity of FA in all experiments was ca. 99%.
The presence of a fairly high concentration of Brönsted acid sites (see Table 2) in zirconia-functionalised materials has strong impact on the chemical transformation of FF as was shown in Figure 5 in a process carried out for 6 h. Therefore, the changes in substrate and products concentration over time were investigated (Figure 8). The FA product of the MPV reduction was rapidly converted to FE, and its concentration was proportional to the FF consumption. As the chemical reaction progressed, a small fraction of FE was reacted to BL with 5% yield after 6 h. The predominance of FE among the products indicated that the Brönsted acidity in this catalyst is sufficient to drive FA conversion (see Scheme 2) but not enough to complete the transformation to AL or BL under the reaction conditions used. A high FE yield of about 80% was achieved after 6 h, highlighting the potential of ZrO2-S catalyst in synthesis of this valuable chemical compound [47].
Figure 8.
Conversion of FF and yield of FA, FE, Al, IBL vs. time for 14ZrO2-S catalyst.
The hydrogen donor has an evidenced effect on the conversion of furfural during MPV reduction. Table 3 shows the results of catalytic tests for the 3.5ZrOPr-S catalyst after 1 h of reaction carried out at 120 °C. 2-Butanol provided the highest conversion, followed by 2-pentanol and 2-propanol. These results are consistent with previous reports [48,49] and the generally accepted MPV reduction mechanism, in which the hydride is transferred from the α-carbon of the alcohol to the carbonyl carbon of the aldehyde and the resulting complex stabilises more efficiently with secondary alcohols. In addition, they exhibit more favourable thermodynamics and kinetics for hydride donation, since they form more stable ketones compared to aldehydes derived from primary alcohols (2-propanol is oxidised to acetone, 1-propanol to propionaldehyde) [50]. In contrast, 2-heptanol resulted in a dramatically reduced conversion likely due to its insufficient polarity, and also to the shielding effect of the active centre [51]. It is important to note that differences in catalytic activity cannot be ascribed to steric hindrance within the pores of the catalyst. The catalyst possesses sufficiently large pore sizes to accommodate bulky molecules and to allow the formation of a transition state.
Table 3.
MPV reduction of furfural with the use of primary and secondary alcohols.
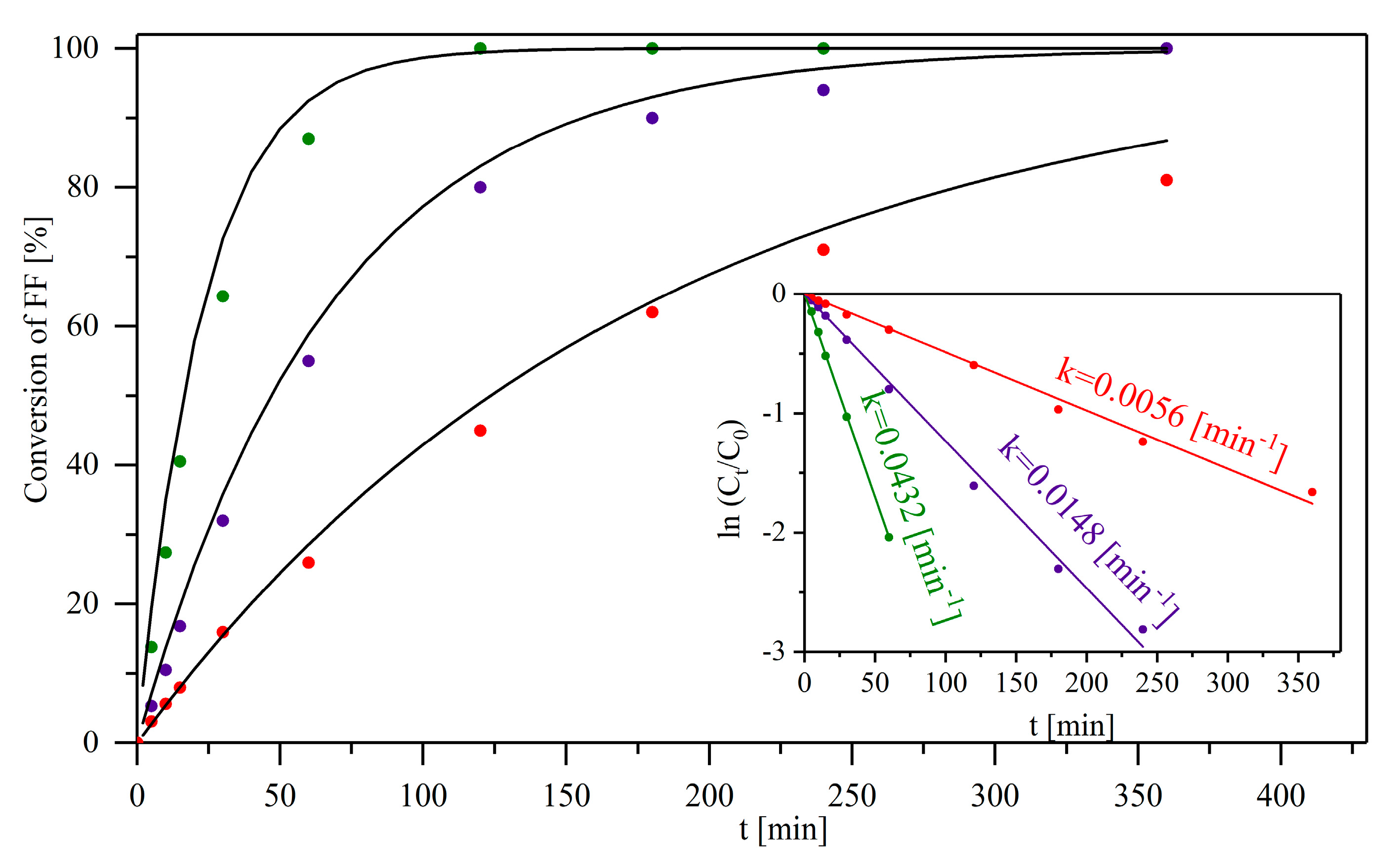
The kinetics of MPV reduction of furfural was approximated by a pseudo-first-order kinetic model with respect to furfural concentration, because of a large excess of reducing alcohol was used in the reaction. The experimental data fit the kinetic model very well (R2 = 0.995) (Figure 9). The apparent rate constants for 7ZrOPr-S, 3.5ZrOPr-S and 1.75ZrOPr-S catalysts were determined and the values of 0.0432, 0.0148, and 0.0056 min−1 were obtained, respectively. The rate constant of the 7ZrOPr-S catalyst is comparable to the values reported in the literature, which range from 0.01 to 0.04 min−1 [24,30,52,53].
Figure 9.
Conversion of furfural MPV reduction vs. time and ln (C0/C) vs. time plot (inset) for 7ZrOPr-S (green), 3.5ZrOPr-S (purple), and 1.75ZrOPr-S (red) catalysts. Points represent experimental data and lines model.
The stability of the 7ZrOPr-Si catalysts was checked in four cycles (Figure 10), and it showed a 13% decrease in furfural conversion after the third cycle, as well as an additional decrease, ca. 4%, after the fourth cycle. A slight reduction in FA yield was also observed. This was a consequence of the blocking of active sites by adsorbed molecules. The thermogravimetric analysis (Figure S3) revealed an increased mass loss of the spent catalysts. The most pronounced adsorption of molecules was observed after the first run (approximately 1.6%). Similar observations have been reported by other researchers, who associated the decrease in catalytic activity with the accumulation of humins [31,54,55,56].
Figure 10.
Catalyst recyclability test: 7ZrOPr-S catalyst, 2-buthanol, reaction time 2 h.
The catalytic performance of our best catalyst 7ZrOPr-Si has been compared in terms of furfural conversion, furfuryl alcohol selectivity, and productivity, with various zirconium-based catalysts presented in the literature (Table 4). It demonstrated excellent catalytic performance under relatively mild conditions using 2-butanol as the hydrogen donor. The concentration of by-products was below the limit of quantification.
Table 4.
Conversion of furfural and productivity/selectivity of furfuryl alcohol for zirconium-based catalyst.
3. Materials and Methods
3.1. Materials
Polyethylene glycol 35,000, (Sigma-Aldrich, St. Louis, MO, USA), tetraethoxysilane (TEOS, 99%, ABCR, Karlsruhe, Germany), HNO3 (65%, Avantor, Radnor, PA, USA), cetyltrimethylammonium bromide (CTAB, Sigma-Aldrich, St. Louis, MO, USA), ammonia solution (25%, Avantor, Radnor, PA, USA), zirconium propoxide (70% in 1-propanol), 1-propanol (Avantor, Radnor, PA, USA), aluminium nitrate nonahydrate (Avantor, Radnor, PA, USA), aluminium di (isopropoxide) acetoacetic ester chelate (>98%, Aldrich, Milwaukee, WI, USA), aluminium di-sec-butoxide ethyl acetoacetate (95%, ABCR, Karlsruhe, Germany), zirconia (Aldrich, Milwaukee, WI, USA), 2-butanol (Avantor, Radnor, PA, USA), 1-butanol (Roth), 2-pentanol (ThermoScientific, Waltham, MA, USA), 2-propanol (ChemSolute, Renningen, Germany), 2-heptanol (Fluka, Buchs, Switzerland), furfural (99%, Sigma-Aldrich, St. Louis, MO, USA), furfuryl alcohol (98%, Acros, Ghent, Belgium), and dodecane (Avantor, Radnor, PA, USA) were used as received.
3.2. Synthesis of Catalysts
Mesoporous silica materials were synthesised using a soft-templating sol–gel approach inspired by the method originally reported by Nakanishi and subsequently modified in several studies [60,61,62]. In a typical synthesis, polyethylene glycol (PEG, Mn = 35,000) was dissolved in 1 M nitric acid under continuous stirring to ensure complete homogenisation. The resulting solution was cooled in an ice bath and tetraethyl orthosilicate (TEOS) was added dropwise as the silica source. The mixture was stirred for one hour at room temperature to initiate hydrolysis and condensation reactions. Subsequently, cetyltrimethylammonium bromide (CTAB) was introduced as the mesostructure-directing agent to promote the development of mesoporosity. The sol was then transferred into polypropylene moulds and statically aged at 40 °C for 8 days. After removal from the moulds, the wet silica was subjected to a hydrothermal treatment in 1 M aqueous ammonia at 90 °C for 9 h. The material was then washed with distilled water, air-dried at 40 °C, and calcined in air at 550 °C for 5 h to remove organic templates.
The post-synthesis functionalisation of the silica with zirconium species was carried out through a grafting procedure using zirconium (IV) propoxide. Prior to modification, the silica supports were dried at 200 °C under dry nitrogen to eliminate physiosorbed moisture and prevent uncontrolled hydrolysis of the zirconium alkoxide. The grafting was carried out by soaking the silica material in a solution of zirconium precursor in 1-propanol. Impregnation was performed at 70 °C for 24 h under static conditions. The material was dried at 110 °C in a nitrogen flow and ground into fine powder.
The zirconia–silica material was obtained by calcining the zirconium–propoxide-doped silica at 550 °C in air. Al2O2-SiO2 samples were prepared by impregnation of silica mesoporous material with solution of aluminium alkoxides or aluminium nitrate in parent alcohol or water, respectively, using a procedure similar to that for zirconium modified materials. Finally, they were calcined at 500 °C. The samples were denoted as xZry-S and xAl-z-S, where x is the mass (g) of Zr or Al per 100 g of Si, the y-ligand (OPr or O2), and z signifies the aluminium isopropoxide ethyl acetoacetate, aluminium di-sec-butoxide ethyl acetoacetate, or aluminium nitrate, indicated by the abbreviation P, B, and N, respectively. S stands for silica support.
3.3. Characterisation Techniques
The textural properties of the synthesised materials were determined from low temperature nitrogen adsorption/desorption isotherms obtained at −196 °C using a ASAP 2020 apparatus (Micromeritics, Norcross, GA, USA). Prior to analysis, the samples were outgassed under vacuum at 200 °C for 24 h. The specific surface area (SBET) was calculated using the Brunauer–Emmett–Teller (BET) method, while the mesopore volume and pore size distribution were determined from the desorption branch of the isotherm using the Barrett–Joyner–Halenda (BJH) model. Thermal analysis of the zirconium-modified samples was performed on a STAR 850 instrument (Mettler Toledo, Greifensee, Switzerland) to determine the thermal stability and the content of organic ligands. The measurements were carried out in air with a flow rate of 60 cm3 min−1 in the range of 25–800 °C, applying a heating rate of 10 K min−1. The presence of propoxy moieties was additionally confirmed by FTIR spectroscopy. The spectra were collected using the DRIFT technique. The types of acid sites on the surface of modified silica were studied by FTIR spectroscopy (Nicolet 6700, Thermo Scientific, Madison, WI, USA) using pyridine as a probe molecule. Before pyridine adsorption, the samples were dried at 110 °C. Pyridine vapour was introduced at room temperature and allowed to equilibrate for 2 h. Subsequently, physically adsorbed pyridine was removed by evacuation at 150 °C for 30 min. The spectra were recorded using a high-temperature vacuum cell equipped with ZnSe windows. The scanning electron microscopy images were obtained in PhenomPure instrument (BSD detector, voltage 5 kV, gold layer 3 nm, Thermo Scientific, Waltham, MA, USA). The X-ray diffraction pattern of the sample was collected by a PAN analytical X’Pert Pro PW3040/60 diffractometer for 2theta in the range of 10–60 with increment of 0.03°/step (Malvern, UK). The ICP analysis was used to determine the concentration of Zr and the details can be found in Ref. [40].
3.4. Catalytic Activity Experiments
In a typical reaction test, a mixture containing 0.22 mmol of furfural, 22 mmol of 2-butanol, dodecan as an internal standard, and 0.0279 g of catalysts was placed in a tightly sealed vial and heated at 120 °C. The temperature was thermostatically controlled by an oil bath, and the mixture was continuously stirred at 500 rpm. After desired time, the vial was immediately cooled, the catalyst was separated and the reaction solution was analysed by chromatography (Agilent 7980A, HP-5 capillary column, FID detector, Agilent Technologies, Inc., Santa Clara, CA, USA). The qualitative analysis of the reaction products was carried out using GC-MS (Thermo Scienific Trace 1300 coupled with an ISQ7000 mass spectrometry detector, TG-5MS capillary column, Thermo Scientific, Waltham, MA, USA). The standard deviation in catalytic experiments was less than 3%, and the bars were not included in the graphs since they were hardly seen.
4. Conclusions
The performance of zirconium and aluminium-modified silica mesoporous materials in the conversion of furfural to furfuryl alcohol through catalytic transfer hydrogenation strongly depended on the ratio of the Lewis to Brönsted acid sites. It has been shown that mesoporous silica grafted with zirconium propoxide had a higher concentration of Lewis acid centres than those of zirconia and alumina modified materials, which resulted in the conversion of furfural to the desired alcohol with almost 100% selectivity. The conversion depended on the zirconium concentration, the type of alcohol used as a hydrogen donor, and the duration of the catalytic process. The pseudo-first-order kinetic equation describes the course of the reaction with high accuracy, and the value of apparent rate constant confirmed the high performance of the best catalyst, i.e., 7ZrOPr-S sample. The presence of a relatively large number of Brönsted acid centres in zirconia and alumina-modified catalyst led to further chemical transformation of furfuryl alcohol. The butyl furfuryl ether, angelica lactone, and butyl levulinate were obtained with different yield depending on the zirconia content and type of alumina precursor used in the catalyst’s synthesis. A decrease in furfural conversion was observed after the third cycle, and a slight reduction in yield was also recorded. Moreover, the highly porous structure of the catalyst, with mesopores of 20 nm in diameter, does not restrict the transport of large molecules to the active centres and allows the formation of the transition state of MPV reaction.
Supplementary Materials
The following supporting information can be downloaded at https://www.mdpi.com/article/10.3390/molecules30173600/s1, Figure S1: SEM image of the 7ZrOPr-S catalyst; Figure S2: XRD spectrum of the 7ZrOPr-S catalyst; Figure S3: TG curves of fresh catalyst and catalyst after reactions.
Author Contributions
Conceptualisation, A.C.; investigation, A.C. and K.M.; GC-MS analysis, K.J.; writing—original draft preparation, A.C.; writing—review and editing, J.M.-B.; funding acquisition, A.C. All authors have read and agreed to the published version of the manuscript.
Funding
This research was funded by National Science Centre, Poland, grant number 2021/43/D/ST8/01727.
Institutional Review Board Statement
Not applicable.
Informed Consent Statement
Not applicable.
Data Availability Statement
The datasets generated during and/or analysed during the current study are available in the RepOD repository https://doi.org/10.18150/MKTLDK.
Conflicts of Interest
The authors declare no conflicts of interest.
References
- Baldenhofer, R.; Lange, J.P.; Kersten, S.R.A.; Ruiz, M.P. Furfural to Cyclopentanone—A Search for Putative Oligomeric By-products. Chemsuschem 2024, 17, e202400108. [Google Scholar] [CrossRef]
- Bui, L.; Luo, H.; Gunther, W.R.; Román-Leshkov, Y. Domino Reaction Catalyzed by Zeolites with Brönsted and Lewis Acid Sites for the Production of γ-Valerolactone from Furfural. Angew. Chem. Int. Edit. 2013, 52, 8022–8025. [Google Scholar] [CrossRef] [PubMed]
- Liu, C.; Wang, K.; Zhao, X.P.; Chen, Z.J.; Yin, X.Y.; Cai, T.T.; Zhang, X.L.; Xu, J.M.; Hu, J.; Meng, X.Z.; et al. Integrated lignocellulosic biorefinery for efficient production of furans and photothermal materials. Chem. Eng. J. 2023, 453, 139688. [Google Scholar] [CrossRef]
- Yan, K.; Wu, G.S.; Lafleur, T.; Jarvis, C. Production, properties and catalytic hydrogenation of furfural to fuel additives and value-added chemicals. Renew. Sust. Energ. Rev. 2014, 38, 663–676. [Google Scholar] [CrossRef]
- Yong, K.J.; Wu, T.Y.; Lee, C.B.T.L.; Lee, Z.J.; Liu, Q.; Jahim, J.M.; Zhou, Q.Q.; Zhang, L. Furfural production from biomass residues: Current technologies, challenges and future prospects. Biomass Bioenerg. 2022, 161, 106458. [Google Scholar] [CrossRef]
- Millán, G.G.; Sixta, H. Towards the Green Synthesis of Furfuryl Alcohol in A One-Pot System from Xylose: A Review. Catalysts 2020, 10, 1101. [Google Scholar] [CrossRef]
- Pophali, A.; Lee, K.M.; Zhang, L.X.; Chuang, Y.C.; Ehm, L.; Cuiffo, M.A.; Halada, G.P.; Rafailovich, M.; Verma, N.; Kim, T. First synthesis of poly(furfuryl) alcohol precursor-based porous carbon beads as an efficient adsorbent for volatile organic compounds. Chem. Eng. J. 2019, 373, 365–374. [Google Scholar] [CrossRef]
- Iroegbu, A.O.C.; Ray, S.S. On the chemistry of furfuryl alcohol polymerization: A review. J. Polym. Sci. 2024, 62, 1044–1060. [Google Scholar] [CrossRef]
- Luckeneder, P.; Gavino, J.; Kuchernig, R.; Petutschnigg, A.; Tondi, G. Sustainable Phenolic Fractions as Basis for Furfuryl Alcohol-Based Co-Polymers and Their Use as Wood Adhesives. Polymers 2016, 8, 396. [Google Scholar] [CrossRef]
- Hao, Y.C.; Zong, M.H.; Wang, Z.L.; Li, N. Chemoenzymatic access to enantiopure N-containing furfuryl alcohol from chitin-derived N-acetyl-D-glucosamine. Bioresour. Bioprocess. 2021, 8, 80. [Google Scholar] [CrossRef]
- Saluta, E.D.; Gebresillase, M.N.; Seo, J.G. A Recent Progress on Upgrading of Furfural and Derivatives into Green Transport Fuels and Precursors via C-C Coupling Reactions. Adv. Energ. Sust. Res. 2025, 6, 202400369. [Google Scholar] [CrossRef]
- Mascal, M.; Dutta, S. Synthesis of ranitidine (Zantac) from cellulose-derived 5-(chloromethyl)furfural. Green Chem. 2011, 13, 3101–3102. [Google Scholar] [CrossRef]
- Tukacs, J.M.; Bohus, M.; Dibó, G.; Mika, L.T. Ruthenium-catalyzed solvent-free conversion of furfural to furfuryl alcohol. Rsc. Adv. 2017, 7, 3331–3335. [Google Scholar] [CrossRef]
- Jiménez-Gómez, C.P.; Cecilia, J.A.; García-Sancho, C.; Moreno-Tost, R.; Maireles-Torres, P. Gas phase hydrogenation of furfural to obtain valuable products using commercial Cr-free catalysts as an environmentally sustainable alternative to copper chromite. J. Environ. Chem. Eng. 2021, 9, 105468. [Google Scholar] [CrossRef]
- Huang, R.J.; Cui, Q.Q.; Yuan, Q.Q.; Wu, H.H.; Guan, Y.J.; Wu, P. Total Hydrogenation of Furfural over Pd/Al2O3 and Ru/ZrO Mixture under Mild Conditions: Essential Role of Tetrahydrofurfural as an Intermediate and Support Effect. ACS Sust. Chem. Eng. 2018, 6, 6957–6964. [Google Scholar] [CrossRef]
- Nehra, P.; Betsy, K.J.; Vinod, C.P. Selective Hydrogenation of Furfural to Furfuryl Alcohol over Pd Supported on Ternary Oxide in Aqueous Medium Under Mild Conditions. Chemcatchem 2025, 15, e02092. [Google Scholar] [CrossRef]
- Sivec, R.; Hus, M.; Likozar, B.; Grilc, M. Furfural hydrogenation over Cu, Ni, Pd, Pt, Re, Rh and Ru catalysts: Modelling of adsorption, desorption and reaction micro-kinetics. Chem. Eng. J. 2022, 436, 135070. [Google Scholar] [CrossRef]
- Jiménez-Gómez, C.P.; Cecilia, J.A.; Moreno-Tost, R.; Maireles-Torres, P. Nickel Phosphide/Silica Catalysts for the Gas-Phase Hydrogenation of Furfural to High-Added-Value Chemicals. Chemcatchem 2017, 9, 2881–2889. [Google Scholar] [CrossRef]
- Kalumpha, M.; Charlie, L.; Makhubela, B.C.E. Synthesis and Characterization of Nickel(II) Homogeneous and Supported Complexes for the Hydrogenation of Furfural to Furfuryl Alcohol. Catalysts 2021, 11, 684. [Google Scholar] [CrossRef]
- Assary, R.S.; Curtiss, L.A.; Dumesic, J.A. Exploring Meerwein-Ponndorf-Verley Reduction Chemistry for Biomass Catalysis Using a First-Principles Approach. ACS Catal. 2013, 3, 2694–2704. [Google Scholar] [CrossRef]
- Antunes, M.M.; Lima, S.; Neves, P.; Magalhaes, A.L.; Fazio, E.; Neri, F.; Pereira, M.T.; Silva, A.F.; Silva, C.M.; Rocha, S.M.; et al. Integrated reduction and acid-catalysed conversion of furfural in alcohol medium using Zr, Al-containing ordered micro/mesoporous silicates. Appl. Catal. B-Environ. 2016, 182, 485–503. [Google Scholar] [CrossRef]
- Lu, Y.J.; Li, W.Z.; Zhu, Y.S.; Zhang, T.W.; Zhang, Q.; Liu, Q.Y. One-pot Synthesis of High Value-added Chemicals from Furfural over Bimetal-doped Beta Zeolite and Carbon Solid Acid Catalysts. Bioresources 2018, 13, 5925–5941. [Google Scholar] [CrossRef]
- López-Asensio, R.; Gómez, C.P.J.; Sancho, C.G.; Moreno-Tost, R.; Cecilia, J.A.; Maireles-Torres, P. Influence of Structure-modifying Agents in the Synthesis of Zr-doped SBA-15 Silica and Their Use as Catalysts in the Furfural Hydrogenation to Obtain High Value-added Products through the Meerwein-Ponndorf-Verley Reduction. Int. J. Mol. Sci. 2019, 20, 828. [Google Scholar] [CrossRef] [PubMed]
- Zhang, J.H.; Liu, Y.; Yang, S.B.; Wei, J.N.; He, L.; Peng, L.C.; Tang, X.; Ni, Y.H. Highly Selective Conversion of Furfural to Furfural Alcohol or Levulinate Ester in One Pot over ZrO2@SBA-15 and Its Kinetic Behavior. ACS Sust. Chem. Eng. 2020, 8, 5584–5594. [Google Scholar] [CrossRef]
- Vasconcelos, S.C.; Pinhel, L.F.C.; Madriaga, V.G.C.; Rossa, V.; Batinga, L.G.S.; Silva, D.S.A.; dos Santos, R.D.; Soares, A.V.H.; Urquieta-González, E.A.; Passos, F.B.; et al. Selective Synthesis of Levulinic Ester from Furfural Catalyzed by Hierarchical Zeolites. Catalysts 2022, 12, 783. [Google Scholar] [CrossRef]
- Chen, Y.Y.; Lu, T.L.; Yang, X.M.; Zhou, L.P. Regulation of acid/basic properties of Zr-Beta zeolite for efficient conversion of furfural to furfuryl alcohol. Mol. Catal. 2024, 559, 114093. [Google Scholar] [CrossRef]
- López-Asensio, R.; Cecilia, J.A.; Jiménez-Gómez, C.P.; García-Sancho, C.; Moreno-Tost, R.; Maireles-Torres, P. Selective production of furfuryl alcohol from furfural by catalytic transfer hydrogenation over commercial aluminas. Appl. Catal. A-Gen. 2018, 556, 1–9. [Google Scholar] [CrossRef]
- Hidalgo-Carrillo, J.; Parejas, A.; Cuesta-Rioboo, M.J.; Marinas, A.; Urbano, F.J. MPV Reduction of Furfural to Furfuryl Alcohol on Mg, Zr, Ti, Zr-Ti, and Mg-Ti Solids: Influence of Acid-Base Properties. Catalysts 2018, 8, 539. [Google Scholar] [CrossRef]
- Peng, L.C.; Gao, X.Y.; Yu, X.; Li, H.; Zhang, J.H.; He, L. Facile and High-Yield Synthesis of Alkyl Levulinate Directly from Furfural by Combining Zr-MCM-41 and Amberlyst-15 without External H. Energ. Fuel 2019, 33, 330–339. [Google Scholar] [CrossRef]
- Bi, S.F.; Lu, J.Y.; Zheng, S.R.; Xu, Z.Y. Zirconium-grafted mesoporous SiO2 (Zr-SBA-15) as Brönsted acid sites-free catalyst enables selective catalytic transfer hydrogenation of furfural to furfuryl alcohol. Sustain. Chem. Pharm. 2025, 46, 102084. [Google Scholar] [CrossRef]
- Valekar, A.H.; Lee, M.; Yoon, J.W.; Kwak, J.; Hong, D.Y.; Oh, K.R.; Cha, G.Y.; Kwon, Y.U.; Jung, J.; Chang, J.S.; et al. Catalytic Transfer Hydrogenation of Furfural to Furfuryl Alcohol under Mild Conditions over Zr-MOFs: Exploring the Role of Metal Node Coordination and Modification. ACS Catal. 2020, 10, 3720–3732. [Google Scholar] [CrossRef]
- Zhang, W.L.; Zhou, Y.J.; Wu, Z.Z.; Pan, C.; Cheng, Q.P.; Fan, G.Z. One-pot cascade conversion of furfural to isopropyl levulinate catalyzed by sulfonic acid-functionalized UiO-66. Fuel 2024, 378, 132912. [Google Scholar] [CrossRef]
- Iglesias, J.; Melero, J.A.; Morales, G.; Moreno, J.; Segura, Y.; Paniagua, M.; Cambra, A.; Hernández, B. Zr-SBA-15 Lewis Acid Catalyst: Activity in Meerwein Ponndorf Verley Reduction. Catalysts 2015, 5, 1911–1927. [Google Scholar] [CrossRef]
- Li, W.L.; Li, M.Z.; Liu, H.; Jia, W.L.; Yu, X.; Wang, S.; Zeng, X.H.; Sun, Y.; Wei, J.N.; Tang, X.; et al. Domino transformation of furfural to γ-valerolactone over SAPO-34 zeolite supported zirconium phosphate catalysts with tunable Lewis and Brönsted acid sites. Mol. Catal. 2021, 506, 111538. [Google Scholar] [CrossRef]
- Maderuelo-Solera, R.; Richter, S.; Jiménez-Gómez, C.P.; García-Sancho, C.; García-Mateos, F.J.; Rosas, J.M.; Moreno-Tost, R.; Cecilia, J.A.; Maireles-Torres, P. Porous SiO2 Nanospheres Modified with ZrO2 and Their Use in One-Pot Catalytic Processes to Obtain Value-Added Chemicals from Furfural. Ind. Eng. Chem. Res. 2021, 60, 18791–18805. [Google Scholar] [CrossRef]
- Xue, W.; Ma, M.W.; Hou, P.; Zhang, P.; Liu, W.Z.; Liu, Y.C.; Yue, H.J.; Wang, X.F.; Tian, G.; Feng, S.H. One-pot tandem conversion of furfural to γ-valerolactone over a series of modified zirconium-based metal-organic frameworks with variational Lewis and Brønsted acid sites. Fuel 2024, 371, 132115. [Google Scholar] [CrossRef]
- Podobinski, J.; Sliwa, M.; Datka, J. Ethoxy Groups on ZrO2, CuO, and CuO/ZrO2 Studied by IR Spectroscopy. Molecules 2022, 27, 4790. [Google Scholar] [CrossRef]
- Ivanchikova, I.D.; Zalomaeva, O.; Maksimchuk, N.; Stonkus, O.A.; Glazneva, T.S.; Chesalov, Y.A.; Shmakov, A.N.; Guidotti, M.; Kholdeeva, O.A. Alkene Epoxidation and Thioether Oxidation with Hydrogen Peroxide Catalyzed by Mesoporous Zirconium-Silicates. Catalysts 2022, 12, 742. [Google Scholar] [CrossRef]
- Koreniuk, A.; Maresz, K.; Mrowiec-Białoń, J. Supported zirconium-based continuous-flow microreactor for effective Meerwein-Ponndorf-Verley reduction of cyclohexanone. Catal. Commun. 2015, 64, 48–51. [Google Scholar] [CrossRef]
- Ciemięga, A.; Maresz, K.; Mrowiec-Białoń, J. Continuous-flow chemoselective reduction of cyclohexanone in a monolithic silica-supported Zr(OPri)4 multichannel microreactor. Microporous Mesoporous Mater. 2017, 252, 140–145. [Google Scholar] [CrossRef]
- Marques, J.P.; Gener, I.; Ayrault, P.; Bordado, J.C.; Lopes, J.M.; Ribeiro, F.R.; Guisnet, M. Infrared spectroscopic study of the acid properties of dealuminated BEA zeolites. Microporous Mesoporous Mater. 2003, 60, 251–262. [Google Scholar] [CrossRef]
- Travert, A.; Vimont, A.; Sahibed-Dine, A.; Daturi, M.; Lavalley, J.C. Use of pyridine CH(D) vibrations for the study of Lewis acidity of metal oxides. Appl. Catal. A-Gen 2006, 307, 98–107. [Google Scholar] [CrossRef]
- Emeis, C.A. Determination of Integrated Molar Extinction Coefficients for Infrared-Absorption Bands of Pyridine Adsorbed on Solid Acid Catalysts. J. Catal. 1993, 141, 347–354. [Google Scholar] [CrossRef]
- Wang, J.H.; Wang, S.H.; Peng, H.Y.; Xiao, Z.S.; Xu, Q.; Liu, X.X.; Yin, D.L.; Zhong, W.Z. Two salicylic acid derivatives welded Zr-based hybrids relay catalysis: One-pot conversion of bio-based furfural to additive γ-valerolactone. Ind. Crop. Prod. 2025, 228, 120878. [Google Scholar] [CrossRef]
- Shylesh, S.; Kapoor, M.P.; Juneja, L.R.; Samuel, P.R.; Srilakshmi, C.; Singh, A.R. Catalytic Meerwein-Ponndorf-Verley reductions over mesoporous silica supports: Rational design of hydrophobic mesoporous silica for enhanced stability of aluminum doped mesoporous catalysts. J. Mol. Catal. A-Chem 2009, 301, 118–126. [Google Scholar] [CrossRef]
- Caillot, M.; Chaumonnot, A.; Digne, M.; Poleunis, C.; Debecker, D.P.; van Bokhoven, J.A. Synthesis of amorphous aluminosilicates by grafting: Tuning the building and final structure of the deposit by selecting the appropriate synthesis conditions. Microporous Mesoporous Mater. 2014, 185, 179–189. [Google Scholar] [CrossRef]
- Wu, D.; Hernández, W.Y.; Zhang, S.W.; Vovk, E.I.; Zhou, X.H.; Yang, Y.; Khodakov, A.Y.; Ordomsky, V.V. In Situ Generation of Bronsted Acidity in the Pd-I Bifunctional Catalysts for Selective Reductive Etherification of Carbonyl Compounds under Mild Conditions. ACS Catal. 2019, 9, 2940–2948. [Google Scholar] [CrossRef]
- Panagiotopoulou, P.; Martin, N.; Vlachos, D.G. Effect of hydrogen donor on liquid phase catalytic transfer hydrogenation of furfural over a Ru/RuO/C catalyst. J. Mol. Catal. A-Chem. 2014, 392, 223–228. [Google Scholar] [CrossRef]
- Luo, H.Y.; Consoli, D.F.; Gunther, W.R.; Román-Leshkov, Y. Investigation of the reaction kinetics of isolated Lewis acid sites in Beta zeolites for the Meerwein-Ponndorf-Verley reduction of methyl levulinate to γ-valerolactone. J. Catal. 2014, 320, 198–207. [Google Scholar] [CrossRef]
- Nielsen, M. Catalyst Kinetics and Stability in Homogeneous Alcohol Acceptorless Dehydrogenation. In Advanced Chemical Kinetics; Farrukh, M.A., Ed.; IntechOpen: London, UK, 2017. [Google Scholar] [CrossRef]
- Corma, A.; Domine, M.E.; Valencia, S. Water-resistant solid Lewis acid catalysts: Meerwein-Ponndorf-Verley and Oppenauer reactions catalyzed by tin-beta zeolite. J. Catal. 2003, 215, 294–304. [Google Scholar] [CrossRef]
- Ye, L.; Han, Y.W.; Zhang, M.; Yu, Z.H.; Lu, X.B. Enhanced sorption of carbonyl groups by zirconium hydroxide modified with polydopamine for highly selective production of alcohols via MPV reduction under mild conditions. Fuel 2023, 331, 125786. [Google Scholar] [CrossRef]
- Iglesias, J.; Melero, J.A.; Morales, G.; Paniagua, M.; Hernández, B.; Osatiashtiani, A.; Lee, A.F.; Wilson, K. ZrO2-SBA-15 catalysts for the one-pot cascade synthesis of GVL from furfural. Catal. Sci. Technol. 2018, 8, 4485–4493. [Google Scholar] [CrossRef]
- Xu, Y.Y.; Liu, X.N.; Guo, H.X.; Qiu, M.; Qi, X.H. Efficient catalytic transfer hydrogenation of furfural to furfuryl alcohol over Zr-doped ordered mesoporous carbon synthesized by Zr-arbutin coordinated self-assembly. Fuel 2023, 331, 125834. [Google Scholar] [CrossRef]
- Zhang, J.; Dong, K.J.; Luo, W.M.; Guan, H.F. Selective Transfer Hydrogenation of Furfural into Furfuryl Alcohol on Zr-Containing Catalysts Using Lower Alcohols as Hydrogen Donors. ACS Omega 2018, 3, 6206–6216. [Google Scholar] [CrossRef]
- Yang, J.R.; Zhang, Y.W.; Shen, F.; Qi, X.H. Glucose-derived zirconium-containing mesoporous composite for efficient catalytic transfer hydrogenation of furfural to furfuryl alcohol. Biomass Bioenerg. 2023, 170, 106723. [Google Scholar] [CrossRef]
- Zhou, S.H.; Dai, F.L.; Xiang, Z.Y.; Song, T.; Liu, D.T.; Lu, F.C.; Qi, H.S. Zirconium-lignosulfonate polyphenolic polymer for highly efficient hydrogen transfer of biomass-derived oxygenates under mild conditions. Appl. Catal. B-Environ. 2019, 248, 31–43. [Google Scholar] [CrossRef]
- Ye, L.; Han, Y.W.; Yu, Z.H.; Zhang, M.; Xiong, J.; Zhang, R.; Li, X.Y.; Qiao, Y.N.; Lu, X.B. Efficient MPV reductions of biomass-derived aldehydes and ketones over an assembling zirconium-gallic acid hybrid under mild condition. Fuel 2022, 328, 125233. [Google Scholar] [CrossRef]
- Liu, Z.H.; Zhang, Z.Z.; Fu, R.; Xu, J.; Lu, J.Y.; Wen, Z.; Xue, B. One-Pot Conversion of Furfural to Gamma-Valerolactone over Zr-SBA-15: Cooperation of Lewis and Bronsted Acidic Sites. ACS Appl. Nano. Mater. 2023, 6, 13196–13207. [Google Scholar] [CrossRef]
- Nakanishi, K.; Takahashi, R.; Nagakane, T.; Kitayama, K.; Koheiya, N.; Shikata, H.; Soga, N. Formation of hierarchical pore structure in silica gel. J. Sol-Gel Sci. Technol. 2000, 17, 191–210. [Google Scholar] [CrossRef]
- Smatt, J.H.; Schunk, S.; Linden, M. Versatile double-templating synthesis route to silica monoliths exhibiting a multimodal hierarchical porosity. Chem. Mater. 2003, 15, 2354–2361. [Google Scholar] [CrossRef]
- Koreniuk, A.; Maresz, K.; Odrozek, K.; Jarzębski, A.B.; Mrowiec-Białoń, J. Highly effective continuous-flow monolithic silica microreactors for acid catalyzed processes. Appl. Catal. A-Gen. 2015, 489, 203–208. [Google Scholar] [CrossRef]
Disclaimer/Publisher’s Note: The statements, opinions and data contained in all publications are solely those of the individual author(s) and contributor(s) and not of MDPI and/or the editor(s). MDPI and/or the editor(s) disclaim responsibility for any injury to people or property resulting from any ideas, methods, instructions or products referred to in the content. |
© 2025 by the authors. Licensee MDPI, Basel, Switzerland. This article is an open access article distributed under the terms and conditions of the Creative Commons Attribution (CC BY) license (https://creativecommons.org/licenses/by/4.0/).











