Targeting Metal Imbalance and Oxidative Stress in Alzheimer’s Disease with Novel Multifunctional Compounds
Abstract
1. Introduction
1.1. Amyloid Plaques
1.2. Neurofibrillary Tangles (NFTs)
1.3. Synaptic Loss
1.4. Oxidative Stress and Alzheimer’s Disease
1.5. Metal Dyshomeostasis in Alzheimer’s Disease
1.6. Metal Chelators as Potential Drugs Against AD
2. Novel Bifuctional Metal Chelators
2.1. Zinc Metal Carboxylates
2.2. 4-N-Phenylaminoquinoline Derivatives
2.3. 1,2,3,4-Tetrahydroacridine Derivatives
2.4. Deferiprone–Resveratrol Hybrids
2.5. Tacrine–(Hydroxybenzoyl-Pyridone) Hybrids
2.6. Diallyl Disulfide (DADS) Derivatives
2.7. 3-Schiff Base-4-Hydroxycoumarin Derivatives
2.8. Selegiline Derivatives
2.9. Scutellarein Carbamate Derivatives
2.10. Donepezil-Related Derivatives
3. Conclusions
Author Contributions
Funding
Informed Consent Statement
Acknowledgments
Conflicts of Interest
Abbreviations
| Aβ | Amyloid-β |
| AAPH | 2,2′-Azobis(2-Amidinopropane) Dihydrochloride |
| AChE | Acetylcholinesterase |
| AD | Alzheimer Dease |
| ADNC | Alzheimer Dease Neuropathological Change |
| APP | Amyloid Precursor Protein |
| BBB | Blood Brain Barrier |
| BChE | Butyrylcholinesterase |
| CAS | Catalytic Anionic Site |
| ChAT | Choline Acetyltransferase |
| CNS | Central Nervous System |
| DADS | Diallyl Disulfide Derivatives |
| DPPH | 2,2-Diphenyl-1-Picrylhydrazyl |
| eeAChE | Electric Eel Acetylcholinesterase |
| EOAD | Early-Onset Alzheimer’s Disease |
| eqBChE | Equine Serum Butyrylcholinesterase |
| F-actin | Fibrillar Actin |
| G-actin | Globular Actin |
| HBP | Hydroxybenzoyl-Pyridone |
| hMAO-A | Human Monoamine Oxidase A |
| hMAO-B | Human Monoamine Oxidase B |
| LOAD | Late-Onset Alzheimer Dease |
| MTDLs | Multitarget-Directed Ligands |
| NFT | Neurofibrillary Tangle |
| ORAC-FL | Oxygen Radical Absorbance Capacity by Fluorescein |
| PAMPA | Parallel Artificial Membrane Permeation Assay |
| PART | Primary Age-related Tauopathy |
| PAS | Peripheral Anionic Site |
| PHFs | Paired Helical Filaments |
| RSA | Radical Scavenging Activity |
| RNS | Reactive Nitrogen Species |
| ROS | Reactive Oxygen Species |
| SI | Selectivity Index |
| TAC-HBP | Tacrine-(Hydroxybenzoyl-Pyridone) |
| TcAChE | Torpedo Californica Variant of AChE |
| TEM | Transmission Electron Microscopy |
| ThT | Thioflavin-T |
| VILIP-1 | Visinin-Like Protein-1 |
References
- Huang, L.-K.; Chao, S.-P.; Hu, C.-J. Clinical trials of new drugs for Alzheimer disease. J. Biomed. Sci. 2020, 27, 18. [Google Scholar] [CrossRef] [PubMed]
- Long, J.M.; Holtzman, D.M. Alzheimer Disease: An Update on Pathobiology and Treatment Strategies. Cell 2019, 179, 312–339. [Google Scholar] [CrossRef]
- Scheltens, P.; De Strooper, B.; Kivipelto, M.; Holstege, H.; Chételat, G.; Teunissen, C.E.; Cummings, J.; van der Flier, W.M. Alzheimer’s disease. Lancet 2021, 397, 1577–1590. [Google Scholar] [CrossRef]
- Mielke, M.M. Sex and Gender Differences in Alzheimer’s Disease Dementia. Psychiatr. Times 2018, 35, 14–17. [Google Scholar]
- Gallardo, G.; Holtzman, D.M. Amyloid-β and Tau at the Crossroads of Alzheimer’s Disease. Adv. Exp. Med. Biol. 2019, 1184, 187–203. [Google Scholar]
- Tarasoff-Conway, J.M.; Carare, R.O.; Osorio, R.S.; Glodzik, L.; Butler, T.; Fieremans, E.; Axel, L.; Rusinek, H.; Nicholson, C.; Zlokovic, B.V.; et al. Clearance systems in the brain—Implications for Alzheimer disease. Nat. Rev. Neurol. 2015, 11, 457–470. [Google Scholar] [CrossRef]
- Andrade-Guerrero, J.; Santiago-Balmaseda, A.; Jeronimo-Aguilar, P.; Vargas-Rodríguez, I.; Cadena-Suárez, A.R.; Sánchez-Garibay, C.; Pozo-Molina, G.; Méndez-Catalá, C.F.; Cardenas-Aguayo, M.-D.; Diaz-Cintra, S.; et al. Alzheimer’s Disease: An Updated Overview of Its Genetics. Int. J. Mol. Sci. 2023, 24, 3754. [Google Scholar] [CrossRef]
- Van Cauwenberghe, C.; Van Broeckhoven, C.; Sleegers, K. The genetic landscape of Alzheimer disease: Clinical implications and perspectives. Genet. Med. 2016, 18, 421–430. [Google Scholar] [CrossRef] [PubMed]
- Xu, L.; Liu, R.; Qin, Y.; Wang, T. Brain metabolism in Alzheimer’s disease: Biological mechanisms of exercise. Transl. Neurodegener. 2023, 12, 33. [Google Scholar] [CrossRef] [PubMed]
- Yiannopoulou, K.G.; Papageorgiou, S.G. Current and Future Treatments in Alzheimer Disease: An Update. J. Central Nerv. Syst. Dis. 2020, 12, 1179573520907397. [Google Scholar] [CrossRef]
- Wu, D.; Chen, Q.; Chen, X.; Han, F.; Chen, Z.; Wang, Y. The blood–brain barrier: Structure, regulation and drug delivery. Signal Transduct. Target. Ther. 2023, 8, 217. [Google Scholar] [CrossRef] [PubMed]
- Sousa, J.A.; Bernardes, C.; Bernardo-Castro, S.; Lino, M.; Albino, I.; Ferreira, L.; Brás, J.; Guerreiro, R.; Tábuas-Pereira, M.; Baldeiras, I.; et al. Reconsidering the role of blood-brain barrier in Alzheimer’s disease: From delivery to target. Front. Aging Neurosci. 2023, 15, 1102809. [Google Scholar] [CrossRef] [PubMed]
- Sadigh-Eteghad, S.; Sabermarouf, B.; Majdi, A.; Talebi, M.; Farhoudi, M.; Mahmoudi, J. Amyloid-Beta: A Crucial Factor in Alzheimer’s Disease. Med Princ. Practice 2015, 24, 1–10. [Google Scholar] [CrossRef] [PubMed]
- Chen, J.; Chen, J.-S.; Li, S.; Zhang, F.; Deng, J.; Zeng, L.-H.; Tan, J. Amyloid Precursor Protein: A Regulatory Hub in Alzheimer’s Disease. Aging Dis. 2023, 15, 201–225. [Google Scholar] [CrossRef]
- Sehar, U.; Rawat, P.; Reddy, A.P.; Kopel, J.; Reddy, P.H. Amyloid Beta in Aging and Alzheimer’s Disease. Int. J. Mol. Sci. 2022, 23, 12924. [Google Scholar] [CrossRef]
- Czuczwar, S.J.; Kocki, J.; Miziak, B.; Bogucki, J.; Bogucka-Kocka, A.; Pluta, R. Alpha-, Beta-, and Gamma-Secretase, Amyloid Precursor Protein, and Tau Protein Genes in the Hippocampal CA3 Subfield in an Ischemic Model of Alzheimer’s Disease with Survival up to 2 Years. J. Alzheimer’s Dis. 2024, 98, 151–161. [Google Scholar] [CrossRef]
- Kumar, D.; Anand, P.; Singh, S. Proposed Therapeutic Strategy to Combat Alzheimer’s Disease by Targeting Beta and Gamma Secretases. Curr. Alzheimer Res. 2025, 22, 344–358. [Google Scholar] [CrossRef]
- Blennow, K.; de Leon, M.J.; Zetterberg, H. Alzheimer’s disease. Lancet 2006, 368, 387–403. [Google Scholar] [CrossRef]
- Hampel, H.; Hardy, J.; Blennow, K.; Chen, C.; Perry, G.; Kim, S.H.; Villemagne, V.L.; Aisen, P.; Vendruscolo, M.; Iwatsubo, T.; et al. The Amyloid-β Pathway in Alzheimer’s Disease. Mol. Psychiatry 2021, 26, 5481–5503. [Google Scholar] [CrossRef]
- Busche, M.A.; Hyman, B.T. Synergy between amyloid-β and tau in Alzheimer’s disease. Nat. Neurosci. 2020, 23, 1183–1193. [Google Scholar] [CrossRef]
- Zheng, H.; Sun, H.; Cai, Q.; Tai, H.-C. The Enigma of Tau Protein Aggregation: Mechanistic Insights and Future Challenges. Int. J. Mol. Sci. 2024, 25, 4969. [Google Scholar] [CrossRef]
- Carrillo-Mora, P.; Luna, R.; Colín-Barenque, L. Amyloid Beta: Multiple Mechanisms of Toxicity and Only Some Protective Effects? Oxidative Med. Cell. Longev. 2014, 2014, 795375. [Google Scholar] [CrossRef] [PubMed]
- Yu, Y.; Yu, S.; Battaglia, G.; Tian, X. Amyloid—β in Alzheimer’s disease: Structure, toxicity, distribution, treatment, and prospects. Ibrain 2024, 10, 266–289. [Google Scholar] [CrossRef] [PubMed]
- Metaxas, A.; Kempf, S. Neurofibrillary tangles in Alzheimer′s disease: Elucidation of the molecular mechanism by immunohistochemistry and tau protein phospho-proteomics. Neural Regen. Res. 2016, 11, 1579–1581. [Google Scholar] [CrossRef] [PubMed]
- Brion, J.-P. Neurofibrillary Tangles and Alzheimer’s Disease. Eur. Neurol. 1998, 40, 130–140. [Google Scholar] [CrossRef]
- De Ture, M.A.; Dickson, D.W. The neuropathological diagnosis of Alzheimer’s disease. Mol. Neurodegener. 2019, 14, 32. [Google Scholar] [CrossRef]
- Thal, D.R.; Tomé, S.O. The central role of tau in Alzheimer’s disease: From neurofibrillary tangle maturation to the induction of cell death. Brain Res. Bull. 2022, 190, 204–217. [Google Scholar] [CrossRef]
- Kashyap, G.; Bapat, D.; Das, D.; Gowaikar, R.; Amritkar, R.E.; Rangarajan, G.; Ravindranath, V.; Ambika, G. Synapse loss and progress of Alzheimer’s disease -A network model. Sci. Rep. 2019, 9, 6555. [Google Scholar] [CrossRef]
- Breijyeh, Z.; Karaman, R. Comprehensive Review on Alzheimer’s Disease: Causes and Treatment. Molecules 2020, 25, 5789. [Google Scholar] [CrossRef]
- Butterfield, D.A.; Halliwell, B. Oxidative stress, dysfunctional glucose metabolism and Alzheimer disease. Nat. Rev. Neurosci. 2019, 20, 148–160. [Google Scholar] [CrossRef]
- Tufarelli, V.; Colonna, M.A.; Losacco, C.; Puvača, N. Biological Health Markers Associated with Oxidative Stress in Dairy Cows during Lactation Period. Metabolites 2023, 13, 405. [Google Scholar] [CrossRef]
- Militello, R.; Luti, S.; Gamberi, T.; Pellegrino, A.; Modesti, A.; Modesti, P.A. Physical Activity and Oxidative Stress in Aging. Antioxidants 2024, 13, 557. [Google Scholar] [CrossRef] [PubMed]
- Perry, G.; Cash, A.D.; Smith, M.A. Alzheimer Disease and Oxidative Stress. BioMed Res. Int. 2002, 2, 120–123. [Google Scholar] [CrossRef]
- Sultana, R.; Butterfield, D.A. Role of Oxidative Stress in the Progression of Alzheimer’s Disease. J. Alzheimer’s Dis. 2010, 19, 341–353. [Google Scholar] [CrossRef] [PubMed]
- Alqahtani, T.; Deore, S.L.; Kide, A.A.; Shende, B.A.; Sharma, R.; Chakole, R.D.; Nemade, L.S.; Kale, N.K.; Borah, S.; Deokar, S.S.; et al. Mitochondrial dysfunction and oxidative stress in Alzheimer’s disease, and Parkinson’s disease, Huntington’s disease and Amyotrophic Lateral Sclerosis -An updated review. Mitochondrion 2023, 71, 83–92. [Google Scholar] [CrossRef] [PubMed]
- Dhapola, R.; Beura, S.K.; Sharma, P.; Singh, S.K.; HariKrishnaReddy, D. Oxidative stress in Alzheimer’s disease: Current knowledge of signaling pathways and therapeutics. Mol. Biol. Rep. 2024, 51, 48. [Google Scholar] [CrossRef]
- Tramutola, A.; Lanzillotta, C.; Perluigi, M.; Butterfield, D.A. Oxidative stress, protein modification and Alzheimer disease. Brain Res. Bull. 2017, 133, 88–96. [Google Scholar] [CrossRef]
- Bai, R.; Guo, J.; Ye, X.-Y.; Xie, Y.; Xie, T. Oxidative stress: The core pathogenesis and mechanism of Alzheimer’s disease. Ageing Res. Rev. 2022, 77, 101619. [Google Scholar] [CrossRef]
- Myhre, O.; Utkilen, H.; Duale, N.; Brunborg, G.; Hofer, T. Metal Dyshomeostasis and Inflammation in Alzheimer’s and Parkinson’s Diseases: Possible Impact of Environmental Exposures. Oxidative Med. Cell. Longev. 2013, 2013, 726954. [Google Scholar] [CrossRef]
- Greenough, M.A.; Camakaris, J.; Bush, A.I. Metal dyshomeostasis and oxidative stress in Alzheimer’s disease. Neurochem. Int. 2013, 62, 540–555. [Google Scholar] [CrossRef]
- Wang, L.; Yin, Y.-L.; Liu, X.-Z.; Shen, P.; Zheng, Y.-G.; Lan, X.-R.; Lu, C.-B.; Wang, J.-Z. Current understanding of metal ions in the pathogenesis of Alzheimer’s disease. Transl. Neurodegener. 2020, 9, 10. [Google Scholar] [CrossRef]
- Leko, M.B.; Horvat, L.L.; Popovački, E.Š.; Zubčić, K.; Hof, P.R.; Šimić, G. Metals in Alzheimer’s Disease. Biomedicines 2023, 11, 1161. [Google Scholar] [CrossRef]
- Yang, G.; Liu, H.; Ma, D.-L.; Leung, C.-H. Rebalancing metal dyshomeostasis for Alzheimer’s disease therapy. JBIC J. Biol. Inorg. Chem. 2019, 24, 1159–1170. [Google Scholar] [CrossRef] [PubMed]
- Metaxas, A. Imbalances in Copper or Zinc Concentrations Trigger Further Trace Metal Dyshomeostasis in Amyloid-Beta Producing Caenorhabditis elegans. Front. Neurosci. 2021, 15, 755475. [Google Scholar] [CrossRef]
- Chen, L.; Shen, Q.; Liu, Y.; Zhang, Y.; Sun, L.; Ma, X.; Song, N.; Xie, J. Homeostasis and metabolism of iron and other metal ions in neurodegenerative diseases. Signal Transduct. Target. Ther. 2025, 10, 31. [Google Scholar] [CrossRef]
- Kenche, V.B.; Barnham, K.J. Alzheimer’s disease & metals: Therapeutic opportunities. Br. J. Pharmacol. 2011, 163, 211–219. [Google Scholar] [CrossRef]
- Santos, M.A.; Chand, K.; Chaves, S. Recent progress in multifunctional metal chelators as potential drugs for Alzheimer’s disease. Coord. Chem. Rev. 2016, 327–328, 287–303. [Google Scholar] [CrossRef]
- Zafar, R.; Zubair, M.; Ali, S.; Shahid, K.; Waseem, W.; Naureen, H.; Haider, A.; Jan, M.S.; Ullah, F.; Sirajuddin, M.; et al. Zinc metal carboxylates as potential anti-Alzheimer’s candidate: In vitro anticholinesterase, antioxidant and molecular docking studies. J. Biomol. Struct. Dyn. 2021, 39, 1044–1054. [Google Scholar] [CrossRef] [PubMed]
- Cai, R.; Wang, L.-N.; Fan, J.-J.; Geng, S.-Q.; Liu, Y.-M. New 4-N-phenylaminoquinoline derivatives as antioxidant, metal chelating and cholinesterase inhibitors for Alzheimer’s disease. Bioorg. Chem. 2019, 93, 103328. [Google Scholar] [CrossRef]
- Wang, Y.; Yang, Y.; Hong, K.H.; Ning, Y.; Yu, P.; Ren, J.; Ji, M.; Cai, J. Design, synthesis and evaluation of a novel metal chelator as multifunctional agents for the treatment of Alzheimer’s disease. Bioorg. Chem. 2019, 87, 720–727. [Google Scholar] [CrossRef]
- Xu, P.; Zhang, M.; Sheng, R.; Ma, Y. Synthesis and biological evaluation of deferiprone-resveratrol hybrids as antioxidants, Aβ 1–42 aggregation inhibitors and metal-chelating agents for Alzheimer’s disease. Eur. J. Med. Chem. 2017, 127, 174–186. [Google Scholar] [CrossRef] [PubMed]
- Chand, K.; Alsoghier, H.M.; Chaves, S.; Santos, M.A. Tacrine-(hydroxybenzoyl-pyridone) hybrids as potential multifunctional anti-Alzheimer’s agents: AChE inhibition, antioxidant activity and metal chelating capacity. J. Inorg. Biochem. 2016, 163, 266–277. [Google Scholar] [CrossRef] [PubMed]
- Manral, A.; Saini, V.; Meena, P.; Tiwari, M. Multifunctional novel Diallyl disulfide (DADS) derivatives with β-amyloid-reducing, cholinergic, antioxidant and metal chelating properties for the treatment of Alzheimer’s disease. Bioorg. Med. Chem. 2015, 23, 6389–6403. [Google Scholar] [CrossRef]
- Wang, Z.-M.; Xie, S.-S.; Li, X.-M.; Wu, J.-J.; Wang, X.-B.; Kong, L.-Y. Multifunctional 3-Schiff base-4-hydroxycoumarin derivatives with monoamine oxidase inhibition, anti-β-amyloid aggregation, metal chelation, antioxidant and neuroprotection properties against Alzheimer’s disease. RSC Adv. 2015, 5, 70395–70409. [Google Scholar] [CrossRef]
- Xie, S.; Chen, J.; Li, X.; Su, T.; Wang, Y.; Wang, Z.; Huang, L.; Li, X. Synthesis and evaluation of selegiline derivatives as monoamine oxidase inhibitor, antioxidant and metal chelator against Alzheimer’s disease. Bioorg. Med. Chem. 2015, 23, 3722–3729. [Google Scholar] [CrossRef]
- Sang, Z.; Li, Y.; Qiang, X.; Xiao, G.; Liu, Q.; Tan, Z.; Deng, Y. Multifunctional scutellarin–rivastigmine hybrids with cholinergic, antioxidant, biometal chelating and neuroprotective properties for the treatment of Alzheimer’s disease. Bioorg. Med. Chem. 2015, 23, 668–680. [Google Scholar] [CrossRef]
- Wu, M.-Y.; Esteban, G.; Brogi, S.; Shionoya, M.; Wang, L.; Campiani, G.; Unzeta, M.; Inokuchi, T.; Butini, S.; Marco-Contelles, J. Donepezil-like multifunctional agents: Design, synthesis, molecular modeling and biological evaluation. Eur. J. Med. Chem. 2016, 121, 864–879. [Google Scholar] [CrossRef]











| Compound | AChE Assay (IC50 μΜ) | BChE Assay (IC50 μΜ) | DPPH Assay (IC50 μΜ) | ABTS Assay (IC50 μΜ) |
|---|---|---|---|---|
| 1 | 59.52 µM | 55.56 µM | 0.927 µM | 1.15 µM |
| 2 | 33.07 µM | 396.83 µM | 0.245 µM | 0.070 µM |
| 3 | 141.02 µM | 0.056 µM | 0.401 µM | 0.721 µM |
| Reference: Galantamine | 1.67 µM | 2.13 µM | - | - |
| Reference: Ascorbic acid | - | - | 3.62 µM | 2.03 µM |
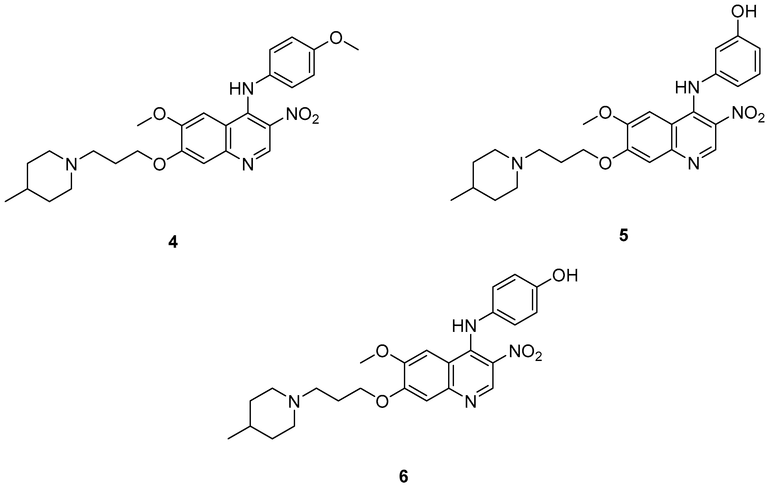
| Compound | eeAChE IC50 (μM) | eqBChE IC50 (μM) | DPPH Assay % (at 1 mg/mL) | Propidium Iodide Displacement (%) | SI |
|---|---|---|---|---|---|
| 4 | 1.20 ± 0.18 µM | 18.52 ± 1.21 µM | 5 | 14.85 ± 0.59 | 15.43 |
| 5 | 1.23 ± 0.03 µM | 22.11 ± 1.43 µM | - | 25.80 ± 1.37 | 17.98 |
| 6 | 1.40 ± 0.23 µM | 28.43 ± 4.70 µM | 84 | 13.78 ± 0.96 | 20.31 |
| Reference: Donepezil | - | - | - | 18.50 ± 1.13 | - |
| Reference: Galantamine | 1.28 ± 0.01 µM | 24.41 ± 2.01 µM | - | - | 19.07 |
| Reference: Ascorbic acid | - | - | 97 | - | - |
| Compound | bAChEb IC50 (μM) | DPPH Assay % |
|---|---|---|
| 7 | 13.5 ± 0.82 µM | 32 ± 0.23 |
| 8 | 17.8 ± 0.21 µM | 34 ± 0.56 |
| 9 | 15.4 ± 0.27 µM | 39 ± 0.42 |
| 10 | 16.1 ± 0.36 µM | 49 ± 0.31 |
| 11 | 13.7 ± 0.21 µM | 56 ± 0.69 |
| Reference: Tacrine | 14.1 ± 0.33 µM | - |
| Reference: Deferasirox | - | 23 ± 0.52 |
| Compound | Aβ1–42 IC50 (μM) | ABTS Assay IC50 (μM) | pFe(III) |
|---|---|---|---|
| 12 | 18.97 ± 2.22 | 6.29 ± 0.57 | 20.24 ± 0.05 |
| 13 | 19.44 ± 0.31 | 1.31 ± 0.07 | 20.12 ± 0.40 |
| 14 | 29.22 ± 3.60 | 3.41 ± 1.15 | 20.06 ± 0.13 |
| 15 | 23.39 ± 4.64 | 8.12 ± 0.49 | 20.12 ± 0.26 |
| 16 | 8.94 ± 0.84 | 4.02 ± 0.34 | 19.00 ± 0.16 |
| 17 | 16.50 ± 1.16 | 6.74 ± 0.57 | 20.22 ± 0.16 |
| 18 | 12.48 ± 0.95 | 4.17 ± 0.51 | 20.58 ± 0.18 |
| 19 | 10.72 ± 0.5 | 1.73 ± 0.14 | 19.60 ± 0.29 |
| 20 | 15.38 ± 0.30 | 1.37 ± 0.01 | 20.05 ± 0.095 |
| 21 | 21.76 ± 1.58 | 2.21 ± 0.15 | 20.17 ± 0.16 |
| Reference: Resveratrol | 11.89 ± 2.52 | 0.76 ± 0.02 | - |
| Reference: Curcumin | 18.73 ± 0.32 | - | - |
| Reference: Deferiprone | - | - | 20.60 |
| Reference: Trolox | - | 3.89 ± 0.09 | - |
| Compound | EeAChE (IC50, μM) | DPPH Scavenging (EC50, μM) |
|---|---|---|
| 22 | 0.78 ± 0.01 µM | 249 ± 2 µM |
| 23 | 0.71 ± 0.03 µM | 213 ± 2 µM |
| 24 | 0.57 ± 0.05 µM | 204 ± 2 µM |
| Reference: Tacrine | 0.31 ± 0.02 µM | >1000 µM |
| Compound | Inhibition of Self-Mediated Aβ1–42 Aggregation (%) | DPPH Scavenging (EC50, μM) | AChE (µM) | BuChE (µM) | ORAC (µM of Trolox Equivalents) |
|---|---|---|---|---|---|
| 25 | 63.54 ± 4.79% | 249 ± 2 µM | 0.22 ± 0.06 µM | 15.98 ± 0.34 µM | 4.29 ± 0.65 µM |
| 26 | 74.16 ± 2.10% | 213 ± 2 µM | 0.056 ± 0.05 µM | 13.64 ± 0.27 µM | 5.24 ± 0.37 µM |
| 27 | 71.41 ± 3.04% | 204 ± 2 µM | 0.121 ± 0.06 µM | 12.87 ± 0.81 µM | 5.86 ± 0.98 µM |
| 28 | 68.97 ± 3.45% | >1000 µM | 0.142 ± 0.03 µM | 14.89 ± 0.98 µM | 5.09 ± 0.72 µM |
| Reference: Curcumin | 51.5 ± 2.68% | - | - | - | - |
| Reference: Donepezil | - | - | 0.049 ± 0.05 µM | 8.71 ± 1.36 µM | - |
| Compound | hMAO-A (μM) | hMAO-B (μM) | Self-Induced Aβ1–42 Aggregation Inhibition | ABTS | DPPH Scavenging Activities IC50 (μM) | Permeability (Pe × 10−6 cm s−1) |
|---|---|---|---|---|---|---|
| 29 | 4.42 ± 0.43 | 2.92 ± 0.11 | 66.0 ± 2.7 | 1.27 | 48.5 ± 2.7 | - |
| 30 | 0.673 ± 0.011 | 0.711 ± 0.013 | 60.1 ± 4.0 | 1.34 | 45.8 ± 1.2 | 4.16 ± 0.33 |
| 31 | 4.68 ± 0.66 | 17.4 ± 1.2 | 82.3 ± 6.6 | 1.36 | 55.3 ± 6.6 | - |
| 32 | 6.81 ± 0.36 | 11.2 ± 0.8 | 47.7 ± 5.5 | 0.82 | 84.3 ± 5.5 | - |
| 33 | 6.24 ± 0.67 | 3.18 ± 0.26 | 57.3 ± 1.1 | 1.19 | 78.5 ± 2.1 | - |
| 34 | 4.97 ± 0.41 | 0.851 ± 0.047 | 57.3 ± 2.1 | 0.30 | - | - |
| 35 | 3.78 ± 0.62 | 1.32 ± 0.18 | 73.5 ± 6.1 | 1.57 | 38.6 ± 2.0 | 9.95 ± 0.21 |
| Reference: Pargyline | - | 0.214 ± 0.036 | - | - | - | - |
| Reference: Iproniazid | 7.14 ± 0.38 | 8.54 ± 0.64 | - | - | - | - |
| Reference: Resveratrol | - | - | 67.3 ± 3.4 | - | 137 ± 4 | - |
| Reference: Curcumin | - | - | 50.2 ± 5.9 | 1.46 | 39.6 ± 2.1 | - |
| Compound | hMAO-A (μM) | hMAO-B (μM) | ORAC | Pe (×10−6 cm s−1) |
|---|---|---|---|---|
| 36 | 3.41 ± 0.02 | 0.31 ± 0.03 | 1.49 | 12.8 ± 0.7 |
| 37 | 5.53 ± 0.04 | 0.52 ± 0.05 | 1.78 | 12.1 ± 0.8 |
| 38 | 5.37 ± 0.03 | 0.21 ± 0.04 | 4.20 | 11.5 ± 0.5 |
| 39 | 1.02 ± 0.05 | 0.31 ± 0.02 | 3.81 | 11.7 ± 0.5 |
| 40 | 0.70 ± 0.01 | 0.31 ± 0.06 | 4.44 | - |
| 41 | 1.03 ± 0.06 | 0.43 ± 0.02 | 5.67 | 3.1 ± 0.3 |
| Reference: Clorgyline | 0.0041 | 1.32 ± 0.18 | - | - |
| Reference: Pargyline | - | 0.1880 | - | - |
| Reference: Selegiline | 70.2 ± 3.8 | 0.0185 ± 0.002 | - | - |
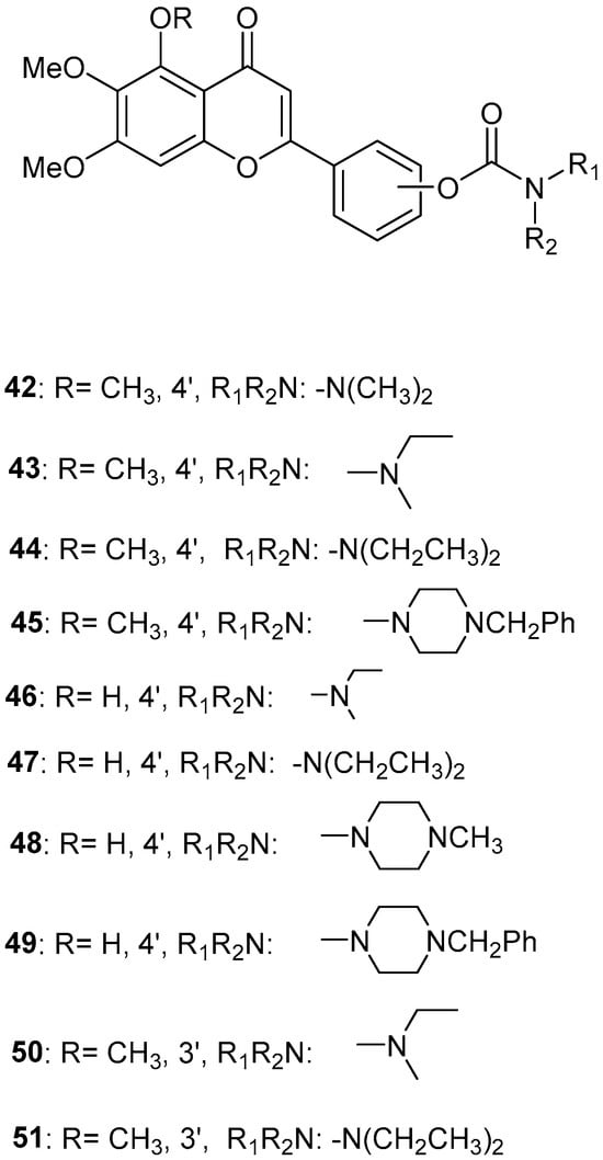
| Compound | AChE (μM) | BuChE (μM) | ORAC | Pe (×10−6 cm s−1) |
|---|---|---|---|---|
| 42 | 8.24 ± 0.32 | 7.3 ± 0.11 | 0.32 ± 0.01 | - |
| 43 | 1.54 ± 0.04 | 6.2 ± 0.21 | 0.34 ± 0.02 | - |
| 44 | 0.34 ± 0.03 | 8.2 ± 0.72 | 0.36 ± 0.01 | - |
| 45 | 1.04 ± 0.05 | 37.2 ± 0.23 | 0.32 ± 0.02 | - |
| 46 | 2.10 ± 0.05 | 38.1 ± 0.25 | 1.1 ± 0.05 | - |
| 47 | 0.57 ± 0.02 | 22.6 ± 0.22 | 1.3 ± 0.02 | 8.42 ± 0.37 |
| 48 | 5.0 ± 0.05 | >100 | 1.0 ± 0.03 | - |
| 49 | 9.25 ± 0.06 | >100 | 0.9 ± 0.01 | - |
| 50 | 7.37 ± 0.11 | 38.1 ± 0.12 | 0.32 ± 0.03 | - |
| 51 | 6.11 ± 0.07 | 30.1 ± 0.22 | 0.31 ± 0.01 | - |
| Reference: Rivastigmine | 5.6 ± 0.02 | 1.4 ± 0.01 | - | - |
| Compound | hrAChE IC50 (μM) | hrBuChE IC50 (μM) | hrMAO-A (μM) | AAPH (%) |
|---|---|---|---|---|
| 52 | 0.029 ± 0.003 | 0.039 ± 0.003 | 10.1 ± 1.1 | 50–60 |
| Reference: Donepezil | 0.009 ± 0.001 | 7.5 ± 0.8 | >1000 | - |
| Reference: Trolox | - | - | - | 100–120 |
| Compound | Metal-Related Properties |
|---|---|
![]() (4) | Chelating abilities toward Cu2+, Fe2+, Al3+ and Zn2+ using a UV spectrophotometer with wavelength ranging from 200 nm to 600 nm |
![]() (5) | Chelating abilities toward Cu2+, Fe2+, Al3+ and Zn2+ using a UV spectrophotometer with wavelength ranging from 200 nm to 600 nm |
![]() (6) | Chelating abilities toward Cu2+, Fe2+, Al3+ and Zn2+ using a UV spectrophotometer with wavelengths ranging from 200 nm to 600 nm |
![]() (11) | Chelating abilities toward Fe3+ and Cu2+ using a UV–vis spectrometric method with wavelength ranging from 200 to 500 nm. |
![]() (16) | pFe(III) values using a fluorescence-based method |
![]() (24) | Chelating abilities toward Fe2+, Cu2+ and Zn2+ by spectrophotometric absorption with wavelengths ranging from 250 to 500 nm. |
![]() (26) | Chelating abilities toward Cu2+ and Fe2+ by UV- visible spectrometry with wavelengths ranging from 200 to 500 nm. |
![]() (30) | Chelating abilities toward Cu2+ by UV-vis spectrometry with wavelengths ranging from 200 to 500 nm. |
![]() (38) | Chelating abilities toward Fe2+ and Zn2+ by UV–vis spectrometry with wavelengths ranging from 200 to 600 nm. |
![]() (47) | Chelating abilities toward Cu2+, Zn2+, Al3+ and Fe2+ by UV-vis spectrometry with wavelengths ranging from 200 to 480 nm. |
(52) | Chelating abilities toward Cu2+, Fe2+ and Zn2+ by UV-vis spectrometry with wavelengths ranging from 220 to 300 nm. |
Disclaimer/Publisher’s Note: The statements, opinions and data contained in all publications are solely those of the individual author(s) and contributor(s) and not of MDPI and/or the editor(s). MDPI and/or the editor(s) disclaim responsibility for any injury to people or property resulting from any ideas, methods, instructions or products referred to in the content. |
© 2025 by the authors. Licensee MDPI, Basel, Switzerland. This article is an open access article distributed under the terms and conditions of the Creative Commons Attribution (CC BY) license (https://creativecommons.org/licenses/by/4.0/).
Share and Cite
Charissopoulos, E.; Pontiki, E. Targeting Metal Imbalance and Oxidative Stress in Alzheimer’s Disease with Novel Multifunctional Compounds. Molecules 2025, 30, 3512. https://doi.org/10.3390/molecules30173512
Charissopoulos E, Pontiki E. Targeting Metal Imbalance and Oxidative Stress in Alzheimer’s Disease with Novel Multifunctional Compounds. Molecules. 2025; 30(17):3512. https://doi.org/10.3390/molecules30173512
Chicago/Turabian StyleCharissopoulos, Eleftherios, and Eleni Pontiki. 2025. "Targeting Metal Imbalance and Oxidative Stress in Alzheimer’s Disease with Novel Multifunctional Compounds" Molecules 30, no. 17: 3512. https://doi.org/10.3390/molecules30173512
APA StyleCharissopoulos, E., & Pontiki, E. (2025). Targeting Metal Imbalance and Oxidative Stress in Alzheimer’s Disease with Novel Multifunctional Compounds. Molecules, 30(17), 3512. https://doi.org/10.3390/molecules30173512












