Simple pH-Triggered Control over Hydrogel Formation by Acetyl Valine
Abstract
1. Introduction
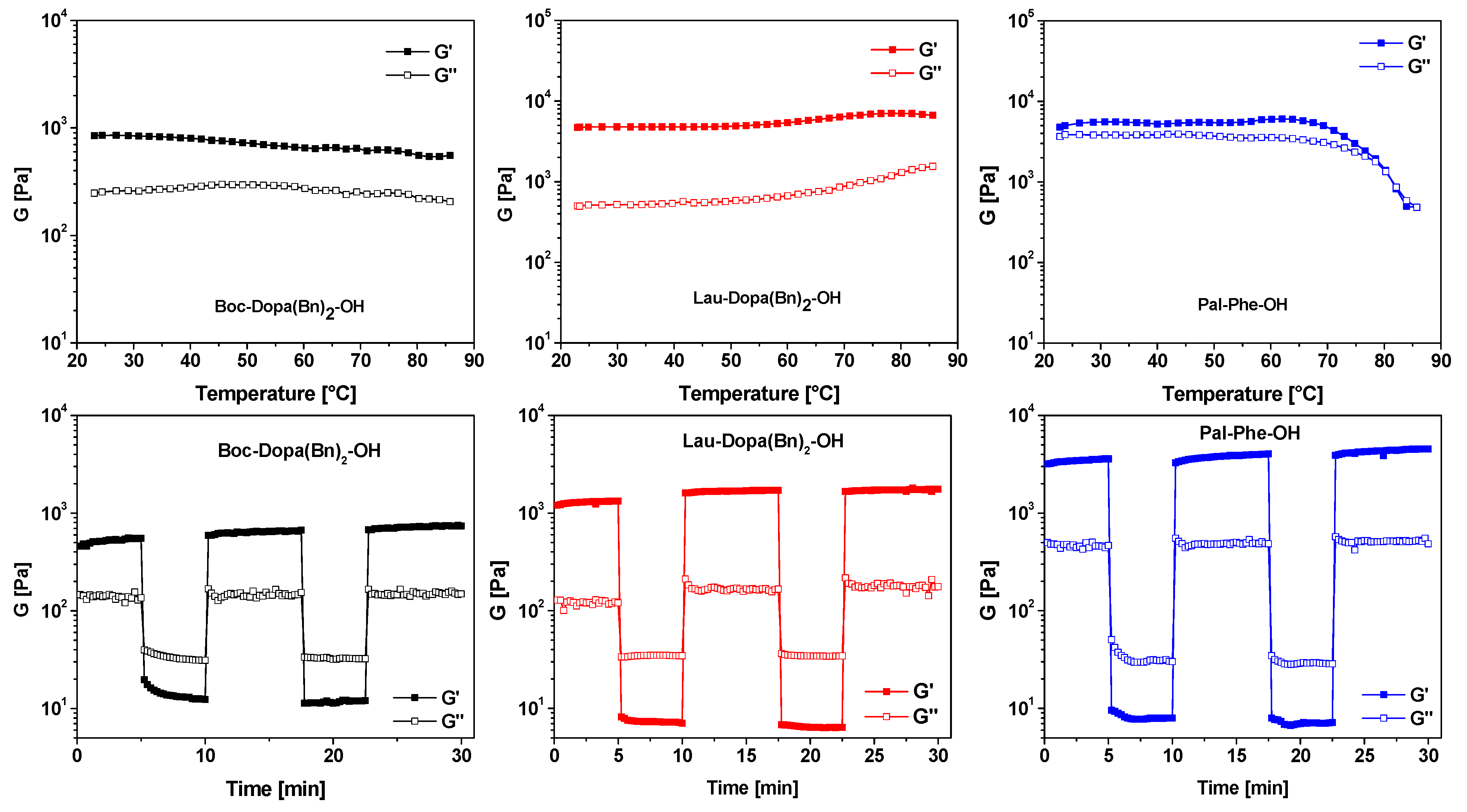
2. Results
3. Materials and Methods
4. Conclusions
Supplementary Materials
Author Contributions
Funding
Institutional Review Board Statement
Informed Consent Statement
Data Availability Statement
Conflicts of Interest
Abbreviations
| Ac-Val | acetyl-L-valine |
| Phe | phenylalanine |
| Dopa | 3,4-dihydroxyphenylalanine |
| Lau | lauroyl |
| Pal | palmitoyl |
| LMWGs | low-molecular-weight gelators |
| GdL | glucono-δ-lactone |
| Boc | tert-butyloxycarbonyl |
| SEM | Scanning electron microscopy |
| NMR | Nuclear Magnetic Resonance |
| LA | lactic acid |
| XRPD | X-ray powder diffraction |
| ATR-IR | attenuated total reflection infrared spectroscopy |
References
- Abraham, B.L.; Toriki, E.S.; Tucker, N.J.; Nilsson, B.L. Electrostatic Interactions Regulate the Release of Small Molecules from Supramolecular Hydrogels. J. Mater. Chem. B 2020, 8, 6366–6377. [Google Scholar] [CrossRef] [PubMed]
- Gaohua, L.; Miao, X.; Dou, L. Crosstalk of Physiological PH and Chemical PKa under the Umbrella of Physiologically Based Pharmacokinetic Modeling of Drug Absorption, Distribution, Metabolism, Excretion, and Toxicity. Expert Opin. Drug Metab. Toxicol. 2021, 17, 1103–1124. [Google Scholar] [CrossRef] [PubMed]
- Fallingborg, J. Intraluminal PH of the Human Gastrointestinal Tract. Dan. Med. Bull. 1999, 46, 183–196. [Google Scholar] [PubMed]
- Bogdanov, A.; Bogdanov, A.; Chubenko, V.; Volkov, N.; Moiseenko, F.; Moiseyenko, V. Tumor Acidity: From Hallmark of Cancer to Target of Treatment. Front. Oncol. 2022, 12, 979154. [Google Scholar] [CrossRef]
- Bae, J.H.; Kim, H.S. A PH-Responsive Protein Assembly through Clustering of a Charge-Tunable Single Amino Acid Repeat. ACS Appl. Mater. Interfaces 2024, 16, 47100–47109. [Google Scholar] [CrossRef]
- Harrison, T.D.; Ragogna, P.J.; Gillies, E.R. Phosphonium Hydrogels for Controlled Release of Ionic Cargo. Chem. Commun. 2018, 54, 11164–11167. [Google Scholar] [CrossRef]
- Giuri, D.; Cenciarelli, F.; Tomasini, C. Low-Molecular-Weight Gels from Amino Acid and Peptide Derivatives for Controlled Release and Delivery. J. Pept. Sci. 2024, 30, e3643. [Google Scholar] [CrossRef]
- Mahmood, T.; Sarfraz, R.M.; Mahmood, A.; Salem-Bekhit, M.M.; Ijaz, H.; Zaman, M.; Akram, M.R.; Taha, E.I.; Sahu, R.K.; Benguerba, Y. Preparation, In Vitro Characterization, and Evaluation of Polymeric PH-Responsive Hydrogels for Controlled Drug Release. ACS Omega 2024, 9, 10498–10516. [Google Scholar] [CrossRef]
- Awhida, S.; Draper, E.R.; McDonald, T.O.; Adams, D.J. Probing Gelation Ability for a Library of Dipeptide Gelators. J. Colloid Interface Sci. 2015, 455, 24–31. [Google Scholar] [CrossRef]
- Das, T.; Häring, M.; Haldar, D.; Díaz, D. Phenylalanine and Derivatives as Versatile Low-Molecular-Weight Gelators: Design, Structure and Tailored Function. Biomater. Sci. 2018, 6, 38–59. [Google Scholar] [CrossRef]
- Podder, D.; Chowdhury, S.R.; Nandi, S.K.; Haldar, D. Tripeptide Based Super-Organogelators: Structure and Function. New J. Chem. 2019, 43, 3743–3749. [Google Scholar] [CrossRef]
- Ravarino, P.; Domenico, N.D.; Barbalinardo, M.; Faccio, D.; Falini, G.; Giuri, D.; Tomasini, C. Fluorine Effect in the Gelation Ability of Low Molecular. Gels 2022, 8, 98. [Google Scholar] [CrossRef]
- Morris, K.L.; Chen, L.; Rodger, A.; Adams, D.J.; Serpell, L.C. Structural Determinants in a Library of Low Molecular Weight Gelators. Soft Matter 2015, 11, 1174–1181. [Google Scholar] [CrossRef]
- Cravotto, G.; Cintas, P. Molecular Self-Assembly and Patterning Induced by Sound Waves. The Case of Gelation. Chem. Soc. Rev. 2009, 38, 2684–2697. [Google Scholar] [CrossRef] [PubMed]
- Mahler, A.; Reches, M.; Rechter, M.; Cohen, S.; Gazit, E. Rigid, Self-Assembled Hydrogel Composed of a Modified Aromatic Dipeptide. Adv. Mater. 2006, 18, 1365–1370. [Google Scholar] [CrossRef]
- Chen, L.; McDonald, T.O.; Adams, D.J. Salt-Induced Hydrogels from Functionalised-Dipeptides. RSC Adv. 2013, 3, 8714–8720. [Google Scholar] [CrossRef]
- Yang, Z.; Liang, G.; Xu, B. Enzymatic Hydrogelation of Small Molecules. Acc. Chem. Res. 2008, 41, 315–326. [Google Scholar] [CrossRef]
- Maeda, H. Anion-Responsive Supramolecular Gels. Chem. Eur. J. 2008, 14, 11274–11282. [Google Scholar] [CrossRef]
- Tang, C.; Smith, A.M.; Collins, R.F.; Ulijn, R.V.; Saiani, A. Fmoc-Diphenylalanine Self-Assembly Mechanism Induces Apparent PK a Shifts. Langmuir 2009, 25, 9447–9453. [Google Scholar] [CrossRef]
- Rizwan, M.; Yahya, R.; Hassan, A.; Yar, M.; Azzahari, A.D.; Selvanathan, V.; Sonsudin, F.; Abouloula, C.N. PH Sensitive Hydrogels in Drug Delivery: Brief History, Properties, Swelling, and Release Mechanism, Material Selection and Applications. Polymers 2017, 9, 137. [Google Scholar] [CrossRef]
- Chen, Y.; Li, X.; Bai, J.; Shi, F.; Xu, T.; Gong, Q.; Yang, Z. A Supramolecular Hydrogel for Spatial-Temporal Release of Auxin to Promote Plant Root Growth. Chem. Commun. 2018, 54, 11721–11724. [Google Scholar] [CrossRef] [PubMed]
- Li, W. Supramolecular Nanofiber-Reinforced Puerarin Hydrogels as Drug Carriers with Synergistic Controlled Release and Antibacterial Properties. J. Mater. Sci. 2020, 55, 6669–6677. [Google Scholar] [CrossRef]
- Chen, X.; Liu, Z. A PH-Responsive Hydrogel Based on a Tumor-Targeting Mesoporous Silica Nanocomposite for Sustained Cancer Labeling and Therapy. Macromol. Rapid Commun. 2016, 37, 1533–1539. [Google Scholar] [CrossRef] [PubMed]
- Kang, J.H.; Turabee, M.H.; Lee, D.S.; Kwon, Y.J.; Ko, Y.T. Temperature and PH-Responsive in Situ Hydrogels of Gelatin Derivatives to Prevent the Reoccurrence of Brain Tumor. Biomed. Pharmacother. 2021, 143, 112144. [Google Scholar] [CrossRef]
- Wang, J.T.W.; Rodrigo, A.C.; Patterson, A.K.; Hawkins, K.; Aly, M.M.S.; Sun, J.; Al Jamal, K.T.; Smith, D.K. Enhanced Delivery of Neuroactive Drugs via Nasal Delivery with a Self-Healing Supramolecular Gel. Adv. Sci. 2021, 8, 2101058. [Google Scholar] [CrossRef]
- Zhao, C.; Wang, Y.; Shi, B.; Li, M.; Yan, W.; Yang, H. Tailoring Co-Assembly Loading of Doxorubicin in Solvent-Triggering Gel. J. Colloid Interface Sci. 2022, 626, 619–628. [Google Scholar] [CrossRef]
- Di Filippo, M.F.; Giuri, D.; Marchiori, G.; Maglio, M.; Pagani, S.; Fini, M.; Tomasini, C.; Panzavolta, S. Self-Assembling of Fibers inside an Injectable Calcium Phosphate Bone Cement: A Feasibility Study. Mater. Today Chem. 2022, 24, 100991. [Google Scholar] [CrossRef]
- Adams, D.J.; Butler, M.F.; Frith, W.J.; Kirkland, M.; Mullen, L.; Sanderson, P. A New Method for Maintaining Homogeneity during Liquid-Hydrogel Transitions Using Low Molecular Weight Hydrogelators. Soft Matter 2009, 5, 1856–1862. [Google Scholar] [CrossRef]
- Draper, E.R.; Mears, L.L.E.; Castilla, A.M.; King, S.M.; McDonald, T.O.; Akhtar, R.; Adams, D.J. Using the Hydrolysis of Anhydrides to Control Gel Properties and Homogeneity in PH-Triggered Gelation. RSC Adv. 2015, 5, 95369–95378. [Google Scholar] [CrossRef]
- Sinthuvanich, C.; Nagy-Smith, K.J.; Walsh, S.T.R.; Schneider, J.P. Triggered Formation of Anionic Hydrogels from Self-Assembling Acidic Peptide Amphiphiles. Macromolecules 2017, 50, 5643–5651. [Google Scholar] [CrossRef]
- Zanna, N.; Merlettini, A.; Tomasini, C. Self-Healing Hydrogels Triggered by Amino Acids. Org. Chem. Front. 2016, 3, 1699–1704. [Google Scholar] [CrossRef]
- Shariati Pour, S.R.; Oddis, S.; Barbalinardo, M.; Ravarino, P.; Cavallini, M.; Fiori, J.; Giuri, D.; Tomasini, C. Delivery of Active Peptides by Self-Healing, Biocompatible and Supramolecular Hydrogels. Molecules 2023, 28, 2528. [Google Scholar] [CrossRef]
- Gaucher, A.; Dutot, L.; Barbeau, O.; Hamchaoui, W.; Wakselman, M.; Mazaleyrat, J.P. Synthesis of Terminally Protected (S)-Β3-H-DOPA by Arndt-Eistert Homologation: An Approach to Crowned β-Peptides. Tetrahedron Asymmetry 2005, 16, 857–864. [Google Scholar] [CrossRef]
- Cenciarelli, F.; Pieraccini, S.; Masiero, S.; Falini, G.; Giuri, D.; Tomasini, C. Experimental Correlation between Apparent PKa and Gelation Propensity in Amphiphilic Hydrogelators Derived from L-Dopa. Biomacromolecules 2024, 25, 5058–5067. [Google Scholar] [CrossRef]
- Cenciarelli, F.; Giuri, D.; Pieraccini, S.; Masiero, S.; D’Agostino, S.; Tomasini, C. Phenylalanine-Based Amphiphilic Self-Assembled Materials: Gels or Crystals? Chem. Eur. J. 2025, 31, e202404586. [Google Scholar] [CrossRef] [PubMed]
- Schwaller, D.; Yilmazer, S.; Carvalho, A.; Collin, D.; Mésini, P.J. Impact of Polymorphism in Oleogels of N-Palmitoyl-l-Phenylalanine. Soft Matter 2023, 19, 4277–4285. [Google Scholar] [CrossRef] [PubMed]
- Mehra, R.R.; Tiwari, P.; Basu, A.; Duttkonar, A. In Search of Bioinspired Hydrogels from Amphiphilic Peptides: A Template for Nanoparticle Stabilization for the Sustained Release of Anticancer Drugs. New J. Chem. 2019, 43, 11666–11678. [Google Scholar] [CrossRef]
- Sutton, S.; Campbell, N.L.; Cooper, A.I.; Kirkland, M.; Frith, W.J.; Adams, D.J. Controlled Release from Modified Amino Acid Hydrogels Governed by Molecular Size or Network Dynamics. Langmuir 2009, 25, 10285–10291. [Google Scholar] [CrossRef]
- Jagrosse, M.L.; Agredo, P.; Abraham, B.L.; Toriki, E.S.; Nilsson, B.L. Supramolecular Phenylalanine-Derived Hydrogels for the Sustained Release of Functional Proteins. ACS Biomater. Sci. Eng. 2023, 9, 784–796. [Google Scholar] [CrossRef]
- Liu, H.; Bi, X.; Wu, Y.; Pan, M.; Ma, X.; Mo, L.; Wang, J.; Li, X. Cationic Self-Assembled Peptide-Based Molecular Hydrogels for Extended Ocular Drug Delivery. Acta Biomater. 2021, 131, 162–171. [Google Scholar] [CrossRef]
- Escuder, B.; LLusar, M.; Miravet, J.F. Insight on the NMR Study of Supramolecular Gels and Its Application to Monitor Molecular Recognition on Self-Assembled Fibers. J. Org. Chem. 2006, 71, 7747–7752. [Google Scholar] [CrossRef] [PubMed]
- Shapiro, Y.E. Structure and Dynamics of Hydrogels and Organogels: An NMR Spectroscopy Approach. Prog. Polym. Sci. 2011, 36, 1184–1253. [Google Scholar] [CrossRef]
- Nikoumanesh, E.; Poling-Skutvik, R. The Effect of Thixotropy on the Yield Transition in Reversible, Colloidal Gels. J. Chem. Phys. 2023, 159, 044905. [Google Scholar] [CrossRef]
- Ohsedo, Y.; Taniguchi, M.; Oono, M.; Saruhashi, K.; Watanabe, H. Long-Chain Alkylamide-Derived Oil Gels: Mixing Induced Onset of Thixotropy and Application in Sustained Drug Release. New J. Chem. 2015, 39, 6482–6490. [Google Scholar] [CrossRef]
- Wende, R.C.; Seitz, A.; Niedek, D.; Schuler, S.M.M.; Hofmann, C.; Becker, J.; Schreiner, P.R. The Enantioselective Dakin–West Reaction. Angew. Chem. 2016, 128, 2769–2773. [Google Scholar] [CrossRef]
- Flitcroft, C.E.; Jolliffe, K.A.; McErlean, C.S.P. Late-Stage, Stereoretentive, and Site-Selective Modification of Synthetic Peptides by Using Photoredox Catalysis. Chem. Eur. J. 2023, 29, e202301083. [Google Scholar] [CrossRef] [PubMed]







| Gelator | Trigger | Trigger Equiv. | G’ (KPa) | G” (KPa) | pH |
|---|---|---|---|---|---|
| A | GdL | 1.3 | 18.14 ± 3.82 | 3.82 ± 1.44 | 4.39 ± 0.10 |
| LA | 1.3 | 6.21 ± 0.93 | 1.41 ± 0.19 | 5.06 ± 0.03 | |
| Ac-Val | 1.3 | 10.64 ± 2.73 | 2.03 ± 0.53 | 4.28 ± 0.12 | |
| 1.15 | 7.54 ± 0.43 | 1.59 ± 0.13 | 4.67 ± 0.09 | ||
| 1.00 | 3.02 ± 0.59 | 0.59 ± 0.11 | 5.40 ± 0.05 | ||
| 0.85 | 1.06 ± 0.15 | 0.22 ± 0.05 | 6.07 ± 0.06 | ||
| 0.70 | 0.45 ± 0.10 | 0.07 ± 0.05 | 6.62 ± 0.11 | ||
| B | GdL | 1.3 | 13.71 ± 1.28 | 1.18 ± 0.24 | 4.33 ± 0.04 |
| LA | 1.3 | 10.35 ± 2.46 | 1.22 ± 0.25 | 4.48 ± 0.17 | |
| Ac-Val | 1.3 | 15.70 ± 1.01 | 1.79 ± 0.14 | 4.23 ± 0.05 | |
| 1.15 | 15.98 ± 1.06 | 1.44 ± 0.06 | 4.56 ± 0.13 | ||
| 1.00 | 9.48 ± 0.73 | 0.96 ± 0.06 | 5.18 ± 0.05 | ||
| 0.85 | 4.46 ± 0.30 | 0.42 ± 0.03 | 5.40 ± 0.04 | ||
| 0.70 | 3.26 ± 0.31 | 0.32 ± 0.03 | 6.57 ± 0.09 | ||
| C | GdL | 1.3 | 24.54 ± 3.22 | 5.44 ± 0.95 | 4.15 ± 0.03 |
| LA | 1.3 | 32.02 ± 1.96 | 6.89 ± 0.50 | 4.54 ± 0.05 | |
| Ac-Val | 1.3 | 32.87 ± 0.82 | 8.24 ± 0.26 | 4.09 ± 0.01 | |
| 1.15 | 32.97 ± 3.62 | 8.05 ± 0.73 | 4.40 ± 0.04 | ||
| 1.00 | 28.50 ± 2.83 | 5.68 ± 0.79 | 4.73 ± 0.03 | ||
| 0.85 | 11.71 ± 1.17 | 1.78 ± 0.14 | 5.36 ± 0.06 | ||
| 0.70 | 1.15 ± 0.41 | 0.17 ± 0.70 | 6.69 ± 0.10 |
Disclaimer/Publisher’s Note: The statements, opinions and data contained in all publications are solely those of the individual author(s) and contributor(s) and not of MDPI and/or the editor(s). MDPI and/or the editor(s) disclaim responsibility for any injury to people or property resulting from any ideas, methods, instructions or products referred to in the content. |
© 2025 by the authors. Licensee MDPI, Basel, Switzerland. This article is an open access article distributed under the terms and conditions of the Creative Commons Attribution (CC BY) license (https://creativecommons.org/licenses/by/4.0/).
Share and Cite
Stile, R.; Montroni, D.; Giuri, D.; Tomasini, C. Simple pH-Triggered Control over Hydrogel Formation by Acetyl Valine. Molecules 2025, 30, 3345. https://doi.org/10.3390/molecules30163345
Stile R, Montroni D, Giuri D, Tomasini C. Simple pH-Triggered Control over Hydrogel Formation by Acetyl Valine. Molecules. 2025; 30(16):3345. https://doi.org/10.3390/molecules30163345
Chicago/Turabian StyleStile, Roberta, Devis Montroni, Demetra Giuri, and Claudia Tomasini. 2025. "Simple pH-Triggered Control over Hydrogel Formation by Acetyl Valine" Molecules 30, no. 16: 3345. https://doi.org/10.3390/molecules30163345
APA StyleStile, R., Montroni, D., Giuri, D., & Tomasini, C. (2025). Simple pH-Triggered Control over Hydrogel Formation by Acetyl Valine. Molecules, 30(16), 3345. https://doi.org/10.3390/molecules30163345

