New 4-(Morpholin-4-Yl)-3-Nitrobenzhydrazide Based Scaffold: Synthesis, Structural Insights, and Biological Evaluation
Abstract
1. Introduction
2. Results and Discussion
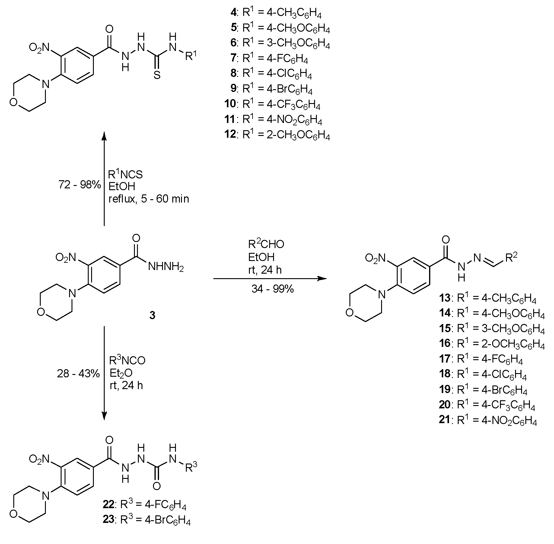
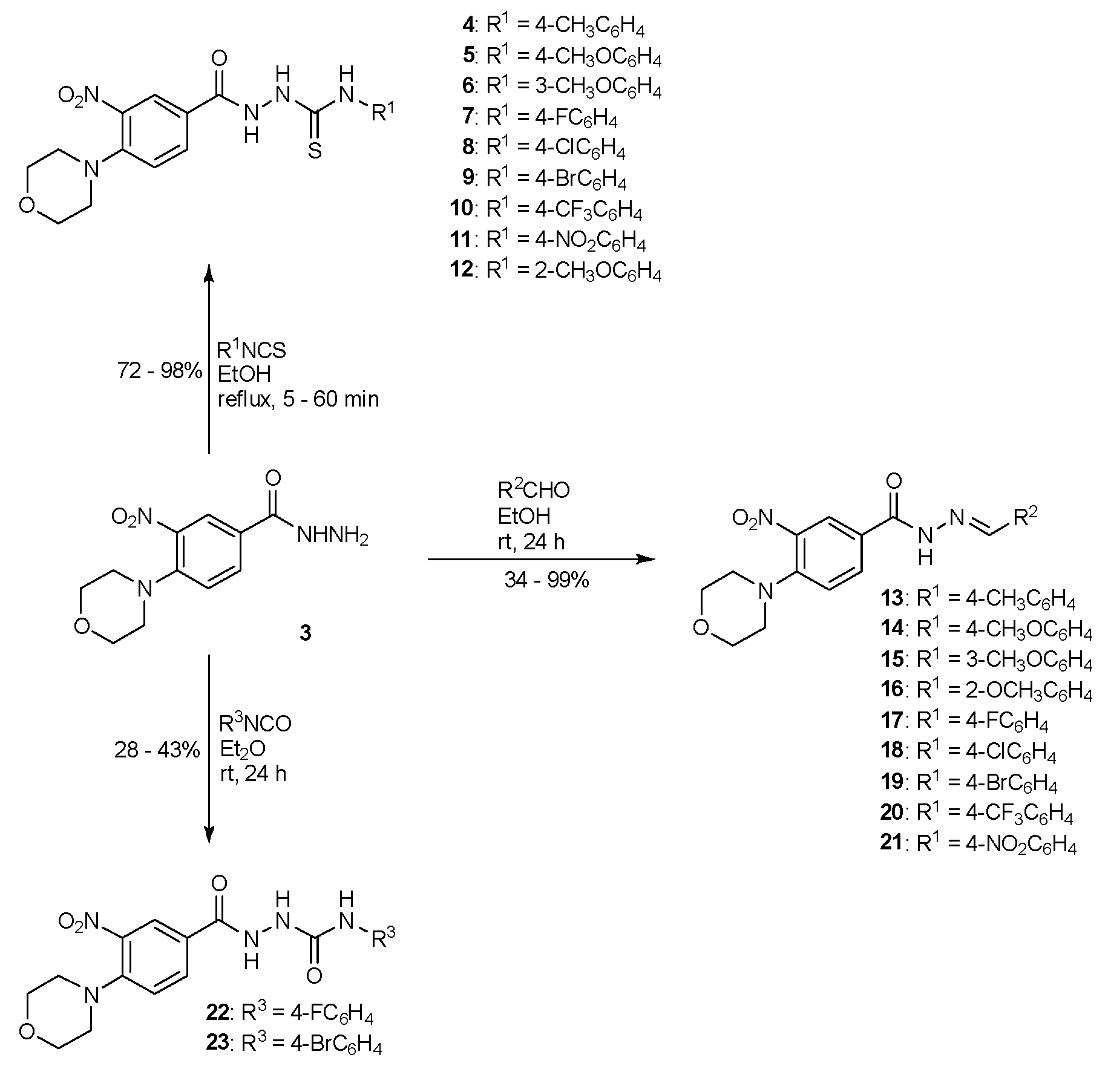
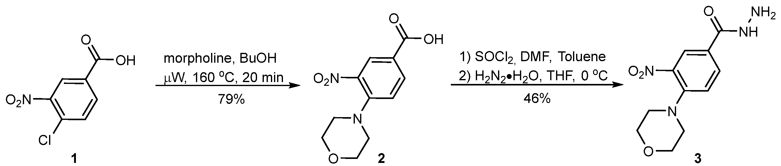
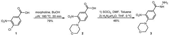
2.1. Chemistry
2.2. Antibacterial Evaluation
3. Materials and Methods
3.1. Chemicals and Instruments
3.1.1. Synthesis of Compound 3
3.1.2. Synthesis of Thiosemicarbazide Derivatives (4–12)
3.1.3. Synthesis of Hydrazone Derivatives (13–21)
3.1.4. Synthesis of Semicarbazide Derivatives (22, 23)
3.2. Microbiology
3.2.1. Microorganisms
3.2.2. Antibacterial Activity Assay
3.3. The Single Crystal X-Ray Diffraction Analysis
3.4. Quantum Chemical Calculations
4. Conclusions
Supplementary Materials
Author Contributions
Funding
Data Availability Statement
Conflicts of Interest
References
- Neu, H.C. The Crisis in Antibiotic Resistance. Science (1979) 1992, 257, 1064–1073. [Google Scholar] [CrossRef]
- Frieri, M.; Kumar, K.; Boutin, A. Antibiotic Resistance. J. Infect. Public Health 2017, 10, 369–378. [Google Scholar] [CrossRef] [PubMed]
- Demain, A.L. Antibiotics: Natural Products Essential to Human Health. Med. Res. Rev. 2009, 29, 821–842. [Google Scholar] [CrossRef] [PubMed]
- Shlaes, D.M. The Perfect Storm. In Antibiotics; Springer: Berlin/Heidelberg, Germany, 2010; pp. 1–7. [Google Scholar] [CrossRef]
- Walsh, C. Molecular Mechanisms That Confer Antibacterial Drug Resistance. Nature 2000, 406, 775–781. [Google Scholar] [CrossRef] [PubMed]
- Terreni, M.; Taccani, M.; Pregnolato, M. New Antibiotics for Multidrug-Resistant Bacterial Strains: Latest Research Developments and Future Perspectives. Molecules 2021, 26, 2671. [Google Scholar] [CrossRef]
- Siwek, A.; Sta̧czek, P.; Stefańska, J. Synthesis and Structure–Activity Relationship Studies of 4-Arylthiosemicarbazides as Topoisomerase IV Inhibitors with Gram-Positive Antibacterial Activity. Search for Molecular Basis of Antibacterial Activity of Thiosemicarbazides. Eur. J. Med. Chem. 2011, 46, 5717–5726. [Google Scholar] [CrossRef]
- Hirokawa, Y.; Kinoshita, H.; Tanaka, T.; Nakamura, T.; Fujimoto, K.; Kashimoto, S.; Kojima, T.; Kato, S. Pleuromutilin Derivatives Having a Purine Ring. Part 1: New Compounds with Promising Antibacterial Activity against Resistant Gram-Positive Pathogens. Bioorg. Med. Chem. Lett. 2008, 18, 3556–3561. [Google Scholar] [CrossRef]
- Xu, L.; Farthing, A.K.; Dropinski, J.F.; Meinke, P.T.; McCallum, C.; Leavitt, P.S.; Hickey, E.J.; Colwell, L.; Barrett, J.; Liu, K. Nocathiacin Analogs: Synthesis and Antibacterial Activity of Novel Water-Soluble Amides. Bioorg. Med. Chem. Lett. 2009, 19, 3531–3535. [Google Scholar] [CrossRef]
- Kabir, M.S.; Engelbrecht, K.; Polanowski, R.; Krueger, S.M.; Ignasiak, R.; Rott, M.; Schwan, W.R.; Stemper, M.E.; Reed, K.D.; Sherman, D.; et al. New Classes of Gram-Positive Selective Antibacterials: Inhibitors of MRSA and Surrogates of the Causative Agents of Anthrax and Tuberculosis. Bioorg. Med. Chem. Lett. 2008, 18, 5745–5749. [Google Scholar] [CrossRef]
- Bhat, M.A.; Khan, A.A.; Ghabbour, H.A.; Quah, C.K.; Fun, H.K. Synthesis, Characterization, x-Ray Structure and Antimicrobial Activity of N-(4-Chlorophenyl)-2-(Pyridin-4- Ylcarbonyl) Hydrazinecarbothioamide. Trop. J. Pharm. Res. 2016, 15, 1751–1757. [Google Scholar] [CrossRef]
- Janowska, S.; Stefańska, J.; Khylyuk, D.; Wujec, M. The Importance of Substituent Position for Antibacterial Activity in the Group of Thiosemicarbazide Derivatives. Molecules 2024, 29, 1333. [Google Scholar] [CrossRef]
- Acharya, P.T.; Bhavsar, Z.A.; Jethava, D.J.; Patel, D.B.; Patel, H.D. A Review on Development of Bio-Active Thiosemicarbazide Derivatives: Recent Advances. J. Mol. Struct. 2021, 1226, 129268. [Google Scholar] [CrossRef]
- Shiradkar, M.R.; Murahari, K.K.; Gangadasu, H.R.; Suresh, T.; Kalyan, C.A.; Panchal, D.; Kaur, R.; Burange, P.; Ghogare, J.; Mokale, V.; et al. Synthesis of New S-Derivatives of Clubbed Triazolyl Thiazole as Anti-Mycobacterium Tuberculosis Agents. Bioorg. Med. Chem. 2007, 15, 3997–4008. [Google Scholar] [CrossRef]
- Altun, A.; Kumru, M.; Dimoglo, A. Study of Electronic and Structural Features of Thiosemicarbazone and Thiosemicarbazide Derivatives Demonstrating Anti-HSV-1 Activity. J. Mol. Struct. Theochem. 2001, 535, 235–246. [Google Scholar] [CrossRef]
- Han, M.İ.; Ince, U.; Gündüz, M.G.; Küçükgüzel, G. Synthesis, Antimicrobial Evaluation, and Molecular Modeling Studies of New Thiosemicarbazide-Triazole Hybrid Derivatives of (S)-Naproxen. Chem. Biodivers. 2022, 19, e202100900. [Google Scholar] [CrossRef] [PubMed]
- Molnar, M.; Tomić, M.; Pavić, V. Coumarinyl Thiosemicarbazides as Antimicrobial Agents. Pharm. Chem. J. 2018, 51, 1078–1081. [Google Scholar] [CrossRef]
- Plech, T.; Wujec, M.; Siwek, A.; Kosikowska, U.; Malm, A. Synthesis and Antimicrobial Activity of Thiosemicarbazides, s-Triazoles and Their Mannich Bases Bearing 3-Chlorophenyl Moiety. Eur. J. Med. Chem. 2011, 46, 241–248. [Google Scholar] [CrossRef] [PubMed]
- Plech, T.; Paneth, A.; Kaproń, B.; Kosikowska, U.; Malm, A.; Strzelczyk, A.; Sta¸czek, P. Structure-Activity Relationship Studies of Microbiologically Active Thiosemicarbazides Derived from Hydroxybenzoic Acid Hydrazides. Chem. Biol. Drug Des. 2015, 85, 315–325. [Google Scholar] [CrossRef]
- Ameryckx, A.; Pochet, L.; Wang, G.; Yildiz, E.; Saadi, B.E.; Wouters, J.; Van Bambeke, F.; Frédérick, R. Pharmacomodulations of the Benzoyl-Thiosemicarbazide Scaffold Reveal Antimicrobial Agents Targeting d-Alanyl-d-Alanine Ligase in Bacterio. Eur J Med. Chem. 2020, 200, 112444. [Google Scholar] [CrossRef]
- Abhale, Y.K.; Shinde, A.; Deshmukh, K.K.; Nawale, L.; Sarkar, D.; Mhaske, P.C. Synthesis, Antitubercular and Antimicrobial Potential of Some New Thiazole Substituted Thiosemicarbazide Derivatives. Med. Chem. Res. 2017, 26, 2557–2567. [Google Scholar] [CrossRef]
- Nowicka, A.; Liszkiewicz, H.; Paulina, W.; Katedra, N.; Leków, Z.T. Schiff Bases-Selected Syntheses, Reactions and Biological Activity. Wiadomości Chem. 2014, 68, 3–4. [Google Scholar]
- Przybylski, P.; Huczynski, A.; Pyta, K.; Brzezinski, B.; Bartl, F. Biological Properties of Schiff Bases and Azo Derivatives of Phenols. Curr. Org. Chem. 2009, 13, 124–148. [Google Scholar] [CrossRef]
- Hassan, A.S.; Askar, A.A.; Nossier, E.S.; Naglah, A.M.; Moustafa, G.O.; Al-Omar, M.A. Antibacterial Evaluation, In Silico Characters and Molecular Docking of Schiff Bases Derived from 5-Aminopyrazoles. Molecules 2019, 24, 3130. [Google Scholar] [CrossRef] [PubMed]
- Arulmurugan, S.; Kavitha, H.P.; Venkatraman, B.R. Biological Activities of Schiff Base and Its Complexes: A Review. Rasayan J. Chem. 2010, 3, 385–410. [Google Scholar]
- Uluçam, G.; Okan, Ş.E.; Aktaş, Ş.; Yentürk, B. New Schiff-Base Ligands Containing Thiophene Terminals: Synthesis, Characterization and Biological Activities. J. Mol. Struct. 2021, 1230, 129941. [Google Scholar] [CrossRef]
- Xie, H.; Niu, C.; Chao, Z.; Mamat, N.; Akber Aisa, H. Synthesis and Activity of New Schiff Bases of Furocoumarin. Heterocycl. Comm. 2021, 26, 176–184. [Google Scholar] [CrossRef]
- Zeyrek, C.T.; Boyacıoğlu, B.; Demir, N.; Tümer, Y.; Kiraz, A.; Ünver, H.; Yıldız, M. Synthesis, Molecular Structure, Biological Activity, and Sensor Properties of (E)-2-[(3,5-Bis(Trifl Uoromethyl)Phenylimino)Methyl]-4,6-Dichlorophenol. Russ. J. Gen. Chem. 2021, 91, 279–284. [Google Scholar] [CrossRef]
- Tamer, T.M.; Hassan, M.A.; Omer, A.M.; Baset, W.M.A.; Hassan, M.E.; El-Shafeey, M.E.A.; Eldin, M.S.M. Synthesis, Characterization and Antimicrobial Evaluation of Two Aromatic Chitosan Schiff Base Derivatives. Process Biochem. 2016, 51, 1721–1730. [Google Scholar] [CrossRef]
- Raman, N.; Dhaveethu Raja, J.; Sakthivel, A. Synthesis, Spectral Characterization of Schiff Base Transition Metal Complexes: DNA Cleavage and Antimicrobial Activity Studies. J. Chem. Sci. 2007, 119, 303–310. [Google Scholar] [CrossRef]
- Ameri, A.; Khodarahmi, G.; Forootanfar, H.; Hassanzadeh, F.; Hakimelahi, G.H. Hybrid Pharmacophore Design, Molecular Docking, Synthesis, and Biological Evaluation of Novel Aldimine-Type Schiff Base Derivatives as Tubulin Polymerization Inhibitor. Chem. Biodivers 2018, 15, e1700518. [Google Scholar] [CrossRef]
- Bielejewski, M.; Kowalczuk, J.; Kaszyńska, J.; Łapiński, A.; Luboradzki, R.; Demchuk, O.; Tritt-Goc, J. Novel Supramolecular Organogels Based on a Hydrazide Derivative: Non-Polar Solvent-Assisted Self-Assembly, Selective Gelation Properties, Nanostructure, Solvent Dynamics. Soft Matter. 2013, 9, 7501. [Google Scholar] [CrossRef]
- Kumar, P.; Narasimhan, B.; Sharma, D.; Judge, V.; Narang, R. Hansch Analysis of Substituted Benzoic Acid Benzylidene/Furan-2-Yl-Methylene Hydrazides as Antimicrobial Agents. Eur. J. Med. Chem. 2009, 44, 1853–1863. [Google Scholar] [CrossRef] [PubMed]
- Verma, C.; Quraishi, M.A.; Rhee, K.Y. Corrosion Inhibition Relevance of Semicarbazides: Electronic Structure, Reactivity and Coordination Chemistry. Rev. Chem. Eng. 2023, 39, 1005–1026. [Google Scholar] [CrossRef]
- Sadowski, M.; Dresler, E.; Zawadzińska, K.; Wróblewska, A.; Jasiński, R. Syn-Propanethial S-Oxide as an Available Natural Building Block for the Preparation of Nitro-Functionalized, Sulfur-Containing Five-Membered Heterocycles: An MEDT Study. Molecules 2024, 29, 4892. [Google Scholar] [CrossRef] [PubMed]
- Sadowski, M.; Kula, K. Unexpected Course of Reaction Between (1E,3E)-1,4-Dinitro-1,3-butadiene and N-Methyl Azomethine Ylide—A Comprehensive Experimental and Quantum-Chemical Study. Molecules 2024, 29, 5066. [Google Scholar] [CrossRef]
- Golisade, A.; Herforth, C.; Quirijnen, L.; Maes, L.; Link, A. Improving an Antitrypanosomal Lead Applying Nucleophilic Substitution on a Safety Catch Linker. Bioorg. Med. Chem. 2002, 10, 159–165. [Google Scholar] [CrossRef]
- The European Committee on Antimicrobial Susceptibility Testing. Breakpoint Tables for Interpretation of MICs and Zone Diameters. Version 15.0. 2025. Available online: https://www.eucast.org (accessed on 1 May 2025).
- Michalak, K.; Winiarczyk, S.; Adaszek, Ł.; Kosikowska, U.; Andrzejczuk, S.; Garbacz, K.; Dobrut, A.; Jarosz, Ł.; Czupryna, W.; Pietras-Ożga, D. Antioxidant and Antimicrobial Properties of an Extract Rich in Proteins Obtained from Trametes Versicolor. J. Vet. Res. 2023, 67, 209–218. [Google Scholar] [CrossRef]
- Sheldrick, G.M. Integrated Space-Group and Crystal-Structure Determination. Acta Crystallogr. Found. Adv. 2015, 71, 3–8. [Google Scholar] [CrossRef]
- Dolomanov, O.V.; Bourhis, L.J.; Gildea, R.J.; Howard, J.A.K.; Puschmann, H. OLEX2: A Complete Structure Solution, Refinement and Analysis Program. J. Appl. Crystallogr. 2009, 42, 339–341. [Google Scholar] [CrossRef]
- Macrae, C.F.; Sovago, I.; Cottrell, S.J.; Galek, P.T.A.; McCabe, P.; Pidcock, E.; Platings, M.; Shields, G.P.; Stevens, J.S.; Towler, M.; et al. Mercury 4.0: From Visualization to Analysis, Design and Prediction. J. Appl. Crystallogr. 2020, 53, 226–235. [Google Scholar] [CrossRef]
- Frisch, M.J.; Trucks, G.W.; Schlegel, H.B.; Scuseria, G.E.; Robb, M.A.; Cheeseman, J.R.; Scalmani, G.; Barone, V.; Mennucci, B.; Petersson, G.A.; et al. Gaussian 09; Gaussian, Inc.: Wallingford, CT, USA, 2009. [Google Scholar]
- Sadowski, M.; Synkiewicz-Musialska, B.; Kula, K. (1E,3E)-1,4-Dinitro-1,3-Butadiene—Synthesis, Spectral Characteristics and Computational Study Based on MEDT, ADME and PASS Simulation. Molecules 2024, 29, 542. [Google Scholar] [CrossRef]
- Sadowski, M.; Dresler, E.; Wróblewska, A.; Jasiński, R. A New Insight into the Molecular Mechanism of the Reaction between 2-Methoxyfuran and Ethyl (Z)-3-Phenyl-2-Nitroprop-2-Enoate: An Molecular Electron Density Theory (MEDT) Computational Study. Molecules 2024, 29, 4876. [Google Scholar] [CrossRef] [PubMed]
- Dresler, E.; Wróblewska, A.; Jasiński, R. Energetic Aspects and Molecular Mechanism of 3-Nitro-substituted 2-Isoxazolines Formation via Nitrile N-Oxide [3+2] Cycloaddition: An MEDT Computational Study. Molecules 2024, 29, 3042. [Google Scholar] [CrossRef]
- Wróblewska, A.; Sadowski, M.; Jasiński, R. Selectivity and molecular mechanism of the Au(III)-catalyzed [3+2] cycloaddition reaction between Z-C,N-diphenylnitrone and nitroethene in the light of the molecular electron density theory computational stud. Chem. Heterocyclic Compd. 2024, 60, 639. [Google Scholar] [CrossRef]







| Gram-Positive Bacteria | Gram-Negative Bacteria | ||||||||||||
|---|---|---|---|---|---|---|---|---|---|---|---|---|---|
| S. aureus ATCC 29213 | S. aureus ATCC 1707 | S. epidermidis ATCC 12228 | M. luteus ATCC 10240 | E. faecalis ATCC 29212 | B. subtilis ATCC 6633 | B. cereus ATCC 10876 | E. coli ATCC 25922 | K. pneumoniae ATCC 13883 | P. aeruginosa ATCC 27853 | P. mirabilis ATCC 12453 | A. baumannii ATCC 19606 | S. Typhimurium ATCC 14028 | |
| Compounds | MIC [µg/mL] | ||||||||||||
| 4 | 1000 | 1000 | >1000 | 500 | 500 | >1000 | 1000 | >1000 | >1000 | 1000 | >1000 | 1000 | >1000 |
| 5 | >1000 | 1000 | >1000 | >1000 | 1000 | >1000 | >1000 | >1000 | >1000 | >1000 | >1000 | 1000 | >1000 |
| 7 | >1000 | 1000 | >1000 | >1000 | 500 | >1000 | >1000 | >1000 | >1000 | >1000 | >1000 | 1000 | >1000 |
| 8 | >1000 | >1000 | 250 | 1000 | 250 | >1000 | 1000 | 1000 | >1000 | >1000 | >1000 | 1000 | >1000 |
| 9 | >1000 | 1000 | 125 | 125 | 500 | >1000 | 250 | >1000 | >1000 | >1000 | >1000 | 1000 | >1000 |
| 10 | >1000 | 1000 | 62.5 | 31.25 | 62.5 | 62.5 | 31.25 | 500 | >1000 | >1000 | >1000 | 1000 | >1000 |
| 11 | 1000 | >1000 | >1000 | 500 | 250 | 1000 | 250 | >1000 | >1000 | 1000 | >1000 | 1000 | >1000 |
| 12 | >1000 | >1000 | >1000 | >1000 | 125 | >1000 | >1000 | 1000 | >1000 | 1000 | >1000 | >1000 | >1000 |
| 22 | 1000 | 1000 | 15.625 | 7.81 | 15.625 | 31.25 | 15.625 | 500 | 1000 | 1000 | 1000 | >1000 | 1000 |
| 23 | 500 | 1000 | 7.81 | 62.5 | 3.91 | >1000 | 125 | >1000 | 1000 | 1000 | 1000 | 1000 | 1000 |
| amoxicillin | 0.781 | >100 | 12.5 | 0.39 | 0.39 | 0.098 | >100 | >100 | >100 | >100 | 0.391 | 50 | 0.781 |
| colistin | 12.5 | <0.0488 | 31.25 | 0.781 | 100 | 0.39 | 100 | 50 | 0.391 | 0.195 | 100 | <0.0488 | <0.0488 |
![]() | ||
|---|---|---|
| Parameter | DFT (9) | Rtg (12) |
| R | 4-Br | 2-MeO |
| d12 [Å] | 1.425 | 1.422 |
| d23 [Å] | 1.347 | 1.343 |
| d34 [Å] | 1.683 | 1.665 |
| d35 [Å] | 1.360 | 1.360 |
| d56 [Å] | 1.366 | 1.382 |
| d67 [Å] | 1.374 | 1.334 |
| d78 [Å] | 1.213 | 1.235 |
| d79 [Å] | 1.493 | 1.486 |
![]() | ||
| Parameter | DFT (19) | Rtg (15) |
| R | 4-Br | 3-MeO |
| d35 [Å] | 1.273 | 1.270 |
| d56 [Å] | 1.358 | 1.381 |
| d67 [Å] | 1.369 | 1.342 |
| d78 [Å] | 1.215 | 1.227 |
| d79 [Å] | 1.497 | 1.493 |
![]() | ||
| Parameter | DFT | Rtg |
| d12 [Å] | 1.40 | 1.40 |
| d23 [Å] | 1.36 | 1.34 |
| d34 [Å] | 1.22 | 1.23 |
| d35 [Å] | 1.39 | 1.38 |
| d56 [Å] | 1.37 | 1.38 |
| d67 [Å] | 1.36 | 1.35 |
| d78 [Å] | 1.22 | 1.23 |
| d79 [Å] | 1.49 | 1.48 |
Disclaimer/Publisher’s Note: The statements, opinions and data contained in all publications are solely those of the individual author(s) and contributor(s) and not of MDPI and/or the editor(s). MDPI and/or the editor(s) disclaim responsibility for any injury to people or property resulting from any ideas, methods, instructions or products referred to in the content. |
© 2025 by the authors. Licensee MDPI, Basel, Switzerland. This article is an open access article distributed under the terms and conditions of the Creative Commons Attribution (CC BY) license (https://creativecommons.org/licenses/by/4.0/).
Share and Cite
Janowski, M.; Janowska, S.; Andrzejczuk, S.; Kosikowska, U.; Jasiński, R.; Mirosław, B.; Feldo, M.; Wujec, M.; Demchuk, O.M. New 4-(Morpholin-4-Yl)-3-Nitrobenzhydrazide Based Scaffold: Synthesis, Structural Insights, and Biological Evaluation. Molecules 2025, 30, 3343. https://doi.org/10.3390/molecules30163343
Janowski M, Janowska S, Andrzejczuk S, Kosikowska U, Jasiński R, Mirosław B, Feldo M, Wujec M, Demchuk OM. New 4-(Morpholin-4-Yl)-3-Nitrobenzhydrazide Based Scaffold: Synthesis, Structural Insights, and Biological Evaluation. Molecules. 2025; 30(16):3343. https://doi.org/10.3390/molecules30163343
Chicago/Turabian StyleJanowski, Michał, Sara Janowska, Sylwia Andrzejczuk, Urszula Kosikowska, Radomir Jasiński, Barbara Mirosław, Marcin Feldo, Monika Wujec, and Oleg M. Demchuk. 2025. "New 4-(Morpholin-4-Yl)-3-Nitrobenzhydrazide Based Scaffold: Synthesis, Structural Insights, and Biological Evaluation" Molecules 30, no. 16: 3343. https://doi.org/10.3390/molecules30163343
APA StyleJanowski, M., Janowska, S., Andrzejczuk, S., Kosikowska, U., Jasiński, R., Mirosław, B., Feldo, M., Wujec, M., & Demchuk, O. M. (2025). New 4-(Morpholin-4-Yl)-3-Nitrobenzhydrazide Based Scaffold: Synthesis, Structural Insights, and Biological Evaluation. Molecules, 30(16), 3343. https://doi.org/10.3390/molecules30163343




