Dual-Functional AgNPs/Magnetic Coal Fly Ash Composite for Wastewater Disinfection and Azo Dye Removal
Abstract
1. Introduction
2. Results and Discussion
2.1. Characterization of AgNPs/MCFA
2.2. Effects of AgNO3 Concentration on Antibacterial Ability
2.3. Effect of Sintering Temperature and Sintering Time on Antibacterial Ability
2.4. The MIC of AgNPs/MCFA
2.5. Impact of AgNPs/MCFA on Bacterial Nucleic Acid Leakage, Protein Leakage, and Electrical Conductivity
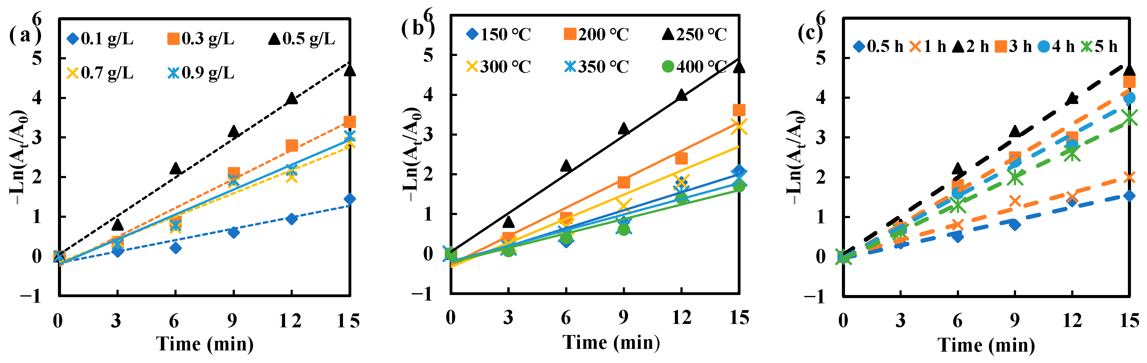
2.6. Antimicrobial Kinetics
2.7. Catalytic Performance of AgNPs/MCFA for Degradation of MO
2.8. Reusability of AgNPs/MCFA
2.9. Proposed Antibacterial and Degradation Mechanism of AgNPs/MCFA
3. Materials and Methods
3.1. Chemicals and Bacteria
3.2. Preparation of Composite Materials
3.2.1. Magnetization of CFA
3.2.2. Preparation of AgNPs/MCFA
3.3. Characterization of Materials
3.4. Determination of the Antibacterial Activity of AgNPs/MCFA
3.4.1. Size of the Antibacterial Zone
3.4.2. Minimum Inhibitory Concentration (MIC)
3.4.3. Nucleic Acid, Protein Leakage, and Electrical Conductivity
3.4.4. Determination of Antimicrobial Kinetics
3.5. The Catalytic Efficiency of AgNPs/MCFA
3.6. Reusability of AgNPs/MCFA
4. Conclusions
Supplementary Materials
Author Contributions
Funding
Institutional Review Board Statement
Informed Consent Statement
Data Availability Statement
Conflicts of Interest
Abbreviations
| MCFA | magnetized coal fly ash |
| AgNPs | silver nanoparticles |
| MO | methyl orange |
| CFA | coal fly ash |
| MIC | minimum inhibitory concentration |
| ROS | reactive oxygen species |
References
- Ma, H.D.; Yu, L.J.; Yang, L.M.; Yao, Y.J.; Shen, G.D.; Wang, Y.Z.; Li, B.; Meng, J.G.; Miao, M.H.; Zhi, C. Graphene oxide composites for dye removal in textile, printing and dyeing wastewaters: A review. Environ. Chem. Lett. 2025, 23, 165–193. [Google Scholar] [CrossRef]
- Song, J.T.; Chen, S.F.; Lyu, R.; Zhang, D.H.; Hong, J.P. Facile synthesis of hyperbranched magnetic nanospheres for highly efficient removal of methyl orange. New J. Chem. 2024, 48, 9945–9953. [Google Scholar] [CrossRef]
- Dai, J.Z.; Wu, Y.H.; Yao, Y.H.; Zhang, B. ZnO/TiO2 photocatalysts for degradation of methyl orange by low-power irradiation. Sci. Prog. 2025, 108, 1–25. [Google Scholar] [CrossRef]
- Chen, X.X.; Boffa, V.; Gaggero, E.; Meng, F.P.; Navone, R.; Sun, D.; Calza, P.; Nulati Yesibolati, M.; Kjær Kristensen, P.; Yue, Y.Z. Metal-organic framework-intercalated graphene oxide nanofiltration membranes for enhanced treatment of wastewater effluents. Chem. Eng. J. 2024, 486, 150207. [Google Scholar] [CrossRef]
- Wang, Z.T.; Hasan, J.; Wang, J.J.; Zhang, C.W.; Iqbal, W.; Chang, N.H.; Qin, C.G. Controllable synthesis and adsorption mechanism of flower-like MoS2/g-C3N4 nanocomposites for the removal of methylene blue in water. J. Nanopart. Res. 2022, 24, 83. [Google Scholar] [CrossRef]
- Xue, S.H.; Lin, P.Y.; Pang, Y.X.; Li, Z.X.; Zhou, M.S.; Qiu, X.Q.; Lou, H.M. A composite of AgNPs and lignin porous microspheres via in-situ reduction of Ag+ and its catalytic performance. Int. J. Biol. Macromol. 2024, 273, 132899. [Google Scholar] [CrossRef] [PubMed]
- Fatima, I.; Ajmal, M.; Naseem, A.; Ali, A.; Javed, F.; Hashmi, M.A.; Mahmood, K.; Ahmad, M.; Ullah, F.; Ahmad, Z. Fabrication of efficient and easily recyclable silver nanoparticles-anionic polymer hydrogel composite catalyst for rapid degradation of water pollutants. J. Appl. Polym. Sci. 2025, 142, e56841. [Google Scholar] [CrossRef]
- Ghasemi, M.; Govahi, M.; Litkohi, H.R. Green synthesis of silver nanoparticles (AgNPs) and chitosan-coated silver nanoparticles (CS-AgNPs) using Ferula gummosa Boiss gum extract: A green nano drug for potential applications in medicine. Int. J. Biol. Macromol. 2025, 291, 138619. [Google Scholar] [CrossRef]
- Lu, F.F.; Liu, Y.X.; Dai, Y.X.; Zhang, G.X.; Tong, Y.N. Preparation of nanosilver/polymer composites and evaluation of their antimicrobial and antitumor effect. RSC Adv. 2025, 15, 6357–6369. [Google Scholar] [CrossRef]
- Singh, J.; Perumal, V.; Singh, U.; Tripathi, D.K.; Sharma, S. Green synthesis of silver nanoparticles from bark extract of Terminalia arjuna and their application as next generation antibacterial agents. Curr. Nanosci. 2022, 18, 743–757. [Google Scholar] [CrossRef]
- Korkmaz, N.; Ceylan, Y.; İmamoğlu, R.; Kısa, D.; Şen, F.; Karadağ, A. Eco-friendly biogenic silver nanoparticles: Synthesis, characterization and biological applications. Int. J. Environ. Sci. Technol. 2024, 22, 3707–3716. [Google Scholar] [CrossRef]
- Eslam, I.E.; Seleem, E.G.; Moustafa, M.Z.; Abdelaleem, H.A. Characterization of biosynthesized silver nanoparticles by Haplophyllum tuberculatum plant extract under microwave irradiation and detecting their antibacterial activity against some wastewater microbes. Desalination Water Treat. 2020, 195, 275–285. [Google Scholar] [CrossRef]
- Zheng, L.Q.; Yu, X.D.; Xu, J.J.; Chen, H.Y. Reversible catalysis for the reaction between methyl orange and NaBH4 by silver nanoparticles. Chem. Commun. 2015, 51, 1050–1053. [Google Scholar] [CrossRef] [PubMed]
- Zhang, N.; Peng, S.S.; Liu, Z.Y.; Li, Y.; Huang, J.; Li, J.; Wan, H.R.; Zhou, S.; Gao, Z.J.; Chen, T. AgNPs decorated on the magnetic Fe3O4@PDA as efficient catalyst for organic pollutants removal and as effective antimicrobial agent for microbial inhibition. J. Alloys Compd. 2022, 928, 167257. [Google Scholar] [CrossRef]
- Yang, R.; Liang, B.; Han, D.; Guo, Z.S.; Yang, C.; Yang, J.P.; Qiu, Y.; Li, Q.Y.; Guo, S.B.; Shi, J.; et al. Synthesis and antibacterial activity of magnetic Fe3O4-loaded silver nanocomposites. J. Alloys Compd. 2024, 973, 172849. [Google Scholar] [CrossRef]
- Kebir-Medjhouda, A.Z.; Abdelkrim, S.; Zahraoui, M.; Mokhtar, A.; Maloufi, M.; Belkadi, A.; Djelad, A.; Belarbi, H.; Boukoussa, B.; Hasnaoui, M.A.; et al. Preparation and characterization of silver nanoparticles-magadiite materials. Application to reduction of toxic organic dyes. Silicon 2023, 15, 3767–3781. [Google Scholar] [CrossRef]
- Gil-Korilis, A.; Cojocaru, M.; Berzosa, M.; Gamazo, C.; Andrade, N.J.; Ciuffi, K.J. Comparison of antibacterial activity and cytotoxicity of silver nanoparticles and silver-loaded montmorillonite and saponite. Appl. Clay Sci. 2023, 240, 106968. [Google Scholar] [CrossRef]
- Altintig, E.; Sarici, B.; Karatas, S. Prepared activated carbon from hazelnut shell where coated nanocomposite with Ag+ used for antibacterial and adsorption properties. Environ. Sci. Pollut. Res. 2023, 30, 13671–13687. [Google Scholar] [CrossRef] [PubMed]
- Nagaraj, K.; Thankamuniyandi, P.; Kamalesu, S.; Lokhandwala, S.; Lokhandwala, S.; Sakthinathan, S.; Chiu, T.; Karuppiah, C. Green synthesis, characterization and efficient photocatalytic study of hydrothermal-assisted Ag@TiO2 nanocomposites. Inorg. Chem. Commun. 2023, 148, 110362. [Google Scholar] [CrossRef]
- Mushtaq, F.; Zahid, M.; Bhatti, I.A.; Nasir, S.; Hussain, T. Possible applications of coal fly ash in wastewater treatment. J. Environ. Manag. 2019, 240, 27–46. [Google Scholar] [CrossRef]
- Chen, Y.; Fan, Y.J.; Huang, Y.; Liao, X.L.; Xu, W.F.; Zhang, T. A comprehensive review of toxicity of coal fly ash and its leachate in the ecosystem. Ecotoxicol. Environ. Saf. 2024, 269, 115905. [Google Scholar] [CrossRef] [PubMed]
- Wang, S.Z.; Baxter, L. Comprehensive study of biomass fly ash in concrete: Strength, microscopy, kinetics and durability. Fuel Process. Technol. 2007, 88, 1165–1170. [Google Scholar] [CrossRef]
- Ge, J.C.; Yoon, S.K.; Choi, N.J. Application of fly ash as an adsorbent for removal of air and water pollutants. Appl. Sci. 2018, 8, 1116. [Google Scholar] [CrossRef]
- Yang, J.L.; Zhao, L.; Zhou, T.R.; Ma, S.H.; Wang, X.H. Catalytic oxidation activity of NO over mullite-supported amorphous manganese oxide catalyst. Materials 2023, 16, 3821. [Google Scholar] [CrossRef]
- Malpani, S.K.; Goyal, D.; Katara, S.; Rani, A. Green, efficient and economical coal fly ash based phosphomolybdic acid catalysts: Preparation, characterization and application. Chem. Pap. 2021, 75, 3017–3034. [Google Scholar] [CrossRef]
- Ge, J.C.; Kim, J.Y.; Yoon, S.K.; Choi, N.J. Fabrication of low-cost and high-performance coal fly ash nanofibrous membranes via electrospinning for the control of harmful substances. Fuel 2019, 237, 236–244. [Google Scholar] [CrossRef]
- Chen, Y.J.; Chen, R.F.; Chang, X.L.; Yan, J.Y.; Gu, Y.J.; Xi, S.; Sun, P.F.; Dong, X.P. Ozone catalysis degradation of sodium acetate via vacancy-driven radical oxidation over Fe-modified fly ash. Water 2023, 15, 3801. [Google Scholar] [CrossRef]
- Sun, G.C.; Zhang, J.Y.; Hao, B.L.; Li, X.; Yan, M.W.; Liu, K.Q. Feasible synthesis of coal fly ash based porous composites with multiscale pore structure and its application in Congo red adsorption. Chemosphere 2022, 298, 134136. [Google Scholar] [CrossRef]
- Wang, W.; Qi, L.Q.; Zhang, P.; Luo, J.C.; Li, J.X. Removal of COD in wastewater by magnetic coagulant prepared from modified fly ash. Environ. Sci. Pollut. Res. 2022, 29, 52175–52188. [Google Scholar] [CrossRef] [PubMed]
- Rodwihok, C.; Suwannakeaw, M.; Charoensri, K.; Wongratanaphisan, D.; Woo, S.W.; Kim, H.S. Alkali/zinc-activated fly ash nanocomposites for dye removal and antibacterial applications. Bioresour. Technol. 2021, 331, 125060. [Google Scholar] [CrossRef]
- Ma, Y.; Zhao, Z.H.; Fan, J.M.; Gu, Z.Y.; Zhang, B.; Yin, S. Ag-TON nanospheres coupled with fly ash cenospheres for wastewater treatment under visible light irradiation. Water Sci. Technol. 2018, 78, 2321–2327. [Google Scholar] [CrossRef]
- Subramanian, E.; Subbulekshmi, N.L. Enhanced heterogeneous wet hydrogen peroxide catalytic oxidation performance of fly ash-derived zeolite by CuO incorporation. Sci. Iran. 2017, 24, 1189–1202. [Google Scholar] [CrossRef][Green Version]
- Dubnika, A.; Loca, D.; Rudovica, V.; Parekh, M.B.; Berzina-Cimdina, L. Functionalized silver doped hydroxyapatite scaffolds for controlled simultaneous silver ion and drug delivery. Ceram. Int. 2017, 43, 3698–3705. [Google Scholar] [CrossRef]
- Chika, I.; Hritaal, S.; William, G.; Dominique, D.; Bhuiya, A.K.; Parvez, S.; Zmg, S.J.; Mohammed, M.R.; Faisal, I.C.; Jamal, U. Synthesis and characterization of silver nanoparticles and their promising antimicrobial effects. Chem. Phys. Impact 2024, 9, 100758. [Google Scholar] [CrossRef]
- Linker, R.; Kenny, A.; Shaviv, A.; Singher, L.; Shmulevch, I. Fourier Transform Infrared-attenuated total reflection nitrate determination of soil pastes using principal component regression, partial least squares, and cross-correlation. Appl. Spectrosc. 2004, 58, 516–520. [Google Scholar] [CrossRef] [PubMed]
- Uda, M.N.A.; Gopinath, S.C.B.; Hashim, U.; Halim, N.H.; Parmin, N.A.; Uda, M.N.A.; Anbu, P. Production and characterization of silica nanoparticles from fly ash: Conversion of agro-waste into resource. Prep. Biochem. Biotechnol. 2021, 51, 86–95. [Google Scholar] [CrossRef] [PubMed]
- Liu, Y.; Liao, J.J.; Chang, L.P.; Bao, W.R. Ag modification of SBA-15 and MCM-41 mesoporous materials as sorbents of thiophene. Fuel 2022, 311, 122537. [Google Scholar] [CrossRef]
- Gao, J.W.; Huang, Y.J.; Wang, S.; Zhu, Z.C.; Song, H.K.; Zhang, Y.Y.; Liu, J.; Qi, S.J.; Zhao, J.Q. Mineral transformation and solidification of heavy metals during co-melting of MSWI fly ash with coal fly ash. Environ. Sci. Pollut. Res. 2024, 31, 45793–45807. [Google Scholar] [CrossRef]
- Waldo-Mendoza, M.A.; Rivera-Garcia, N.A.; Robles-Martinez, M.; Mayorga-Colunga, P.C.; Martine-Montejano, R.C.; Perez, E. Effect of the interlayer distribution of ZnO decorated with Ag nanoparticles on the antimicrobial activity of multilayer poly(methyl methacrylate) films. J. Vinyl Addit. Technol. 2024, 30, 1621–1634. [Google Scholar] [CrossRef]
- Savvidou, M.G.; Kontari, E.; Kalantzi, S.; Mamma, D. Green synthesis of silver nanoparticles using the cell-free supernatant of Haematococcus pluvialis culture. Materials 2024, 17, 187. [Google Scholar] [CrossRef]
- Varghese, R.; Almalki, M.A.; Ilavenil, S.; Rebecca, J.; Choi, K.C. Silver nanopaticles synthesized using the seed extract of Trigonella foenum-graecum L. and their antimicrobial mechanism and anticancer properties. Saudi J. Biol. Sci. 2019, 26, 148–154. [Google Scholar] [CrossRef]
- Sulistyani, N.; Nurkhasanah; Angelita, L.; Rais, I.R.; Zakaria, Z.A. Role of flavonoid-rich fraction from Persea americana (Mill.) in bacterial leakage of Staphylococcus aureus. Pak. J. Pharm. Sci. 2022, 35, 1805–1811. [Google Scholar] [CrossRef] [PubMed]
- Seku, K.; Hussaini, S.S.; Hussain, M.; Siddiqui, M.A.; Golla, N.; Ravinder, D.; Reddy, G.B. Synthesis of Frankincense gum stabilized AgNPs by microwave irradiation and their catalytic, antioxidant, and antibacterial properties. Phys. E Low-Dimens. Syst. Nanostruct. 2022, 140, 115169. [Google Scholar] [CrossRef]
- Behrens, M.A.; Franzén, A.; Carlert, S.; Skantze, U.; Lindfors, L.; Olsson, U. On the Ostwald ripening of crystalline and amorphous nanoparticles. Soft Matter 2025, 21, 2349–2354. [Google Scholar] [CrossRef]
- Malik, A.; Nath, M. Synthesis of Ag/ZIF-7 by immobilization of Ag nanoparticles onto ZIF-7 microcrystals: A heterogeneous catalyst for the reduction of nitroaromatic compounds and organic dyes. J. Environ. Chem. Eng. 2020, 8, 104547. [Google Scholar] [CrossRef]
- Mahmoud, R.; Kotb, N.M.; Gadelhak, Y.; El-Ela, F.I.A.; Shehata, A.Z.; Othman, S.I.; Allam, A.A.; Rudayni, H.A.; Zaher, A. Investigation of ternary Zn-Co-Fe layered double hydroxide as a multifunctional 2D layered adsorbent for moxifloxacin and antifungal disinfection. Sci. Rep. 2024, 14, 806. [Google Scholar] [CrossRef]
- Mohsen, M.; Towan, K.; Marjan, T.; Mohammad, T.Y.; Parnian, T.; Aseman, L. Facile green synthesis of silver nanoparticles using Crocus Haussknechtii Bois bulb extract: Catalytic activity and antibacterial properties. Colloid Interface Sci. Commun. 2019, 33, 100211. [Google Scholar] [CrossRef]
- Ding, H.L.; Zhang, M.K.; Liu, Y.; Yao, Y.Z.; Mai, Z.H.; Zheng, H.X.; Song, B.; Fan, B.B.; Wang, H.L.; Lu, H.X. Synthesis of CS/Fe3O4/TiO2@MXene nanocomposite photocatalyst with excellent degradation and bacteriostatic properties by one-step hydrothermal method. Ceram. Int. 2024, 50, 46334–46346. [Google Scholar] [CrossRef]







| No. | Concentration (mg·mL−1) | Tested Bacteria | |
|---|---|---|---|
| E. coli | S. aureus | ||
| 1 | 64 | − | − |
| 2 | 32 | − | − |
| 3 | 16 | − | − |
| 4 | 8 | − | − |
| 5 | 4 | − | − |
| 6 | 2 | − | − |
| 7 | 1 | − | + |
| 8 | 0.5 | − | + |
| 9 | 0.25 | + | + |
Disclaimer/Publisher’s Note: The statements, opinions and data contained in all publications are solely those of the individual author(s) and contributor(s) and not of MDPI and/or the editor(s). MDPI and/or the editor(s) disclaim responsibility for any injury to people or property resulting from any ideas, methods, instructions or products referred to in the content. |
© 2025 by the authors. Licensee MDPI, Basel, Switzerland. This article is an open access article distributed under the terms and conditions of the Creative Commons Attribution (CC BY) license (https://creativecommons.org/licenses/by/4.0/).
Share and Cite
Gong, L.; Li, J.; Jin, R.; Li, M.; Peng, J.; Zhu, J. Dual-Functional AgNPs/Magnetic Coal Fly Ash Composite for Wastewater Disinfection and Azo Dye Removal. Molecules 2025, 30, 3155. https://doi.org/10.3390/molecules30153155
Gong L, Li J, Jin R, Li M, Peng J, Zhu J. Dual-Functional AgNPs/Magnetic Coal Fly Ash Composite for Wastewater Disinfection and Azo Dye Removal. Molecules. 2025; 30(15):3155. https://doi.org/10.3390/molecules30153155
Chicago/Turabian StyleGong, Lei, Jiaxin Li, Rui Jin, Menghao Li, Jiajie Peng, and Jie Zhu. 2025. "Dual-Functional AgNPs/Magnetic Coal Fly Ash Composite for Wastewater Disinfection and Azo Dye Removal" Molecules 30, no. 15: 3155. https://doi.org/10.3390/molecules30153155
APA StyleGong, L., Li, J., Jin, R., Li, M., Peng, J., & Zhu, J. (2025). Dual-Functional AgNPs/Magnetic Coal Fly Ash Composite for Wastewater Disinfection and Azo Dye Removal. Molecules, 30(15), 3155. https://doi.org/10.3390/molecules30153155
