Degradation of Glyphosate in Water by Electro-Oxidation on Magneli Phase: Application to a Nanofiltration Concentrate
Abstract
1. Introduction
2. Results and Discussion
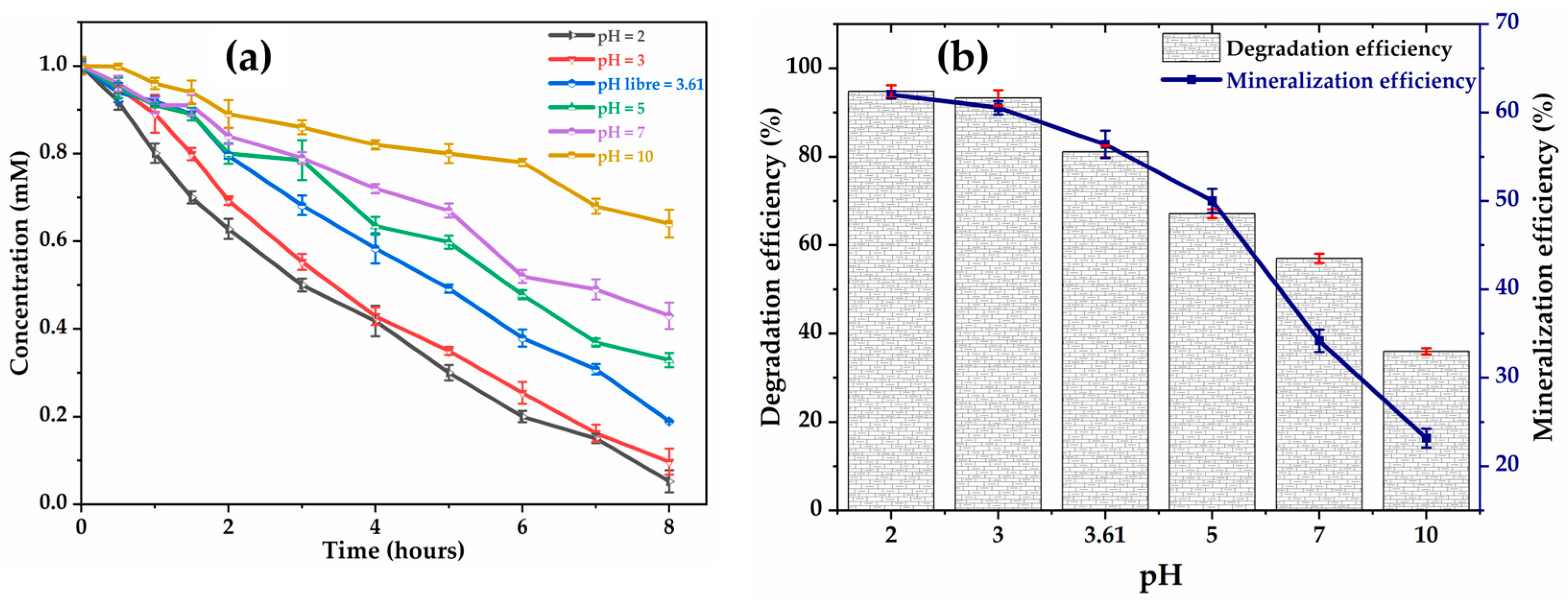
2.1. Effect of pH on Glyphosate Degradation and Mineralization
2.2. Effect of Current Density on Glyphosate Degradation
2.3. Effect of Current Density on Glyphosate Mineralization
2.4. Evaluation of Energy Consumption During the Degradation and Mineralization of Glyphosate
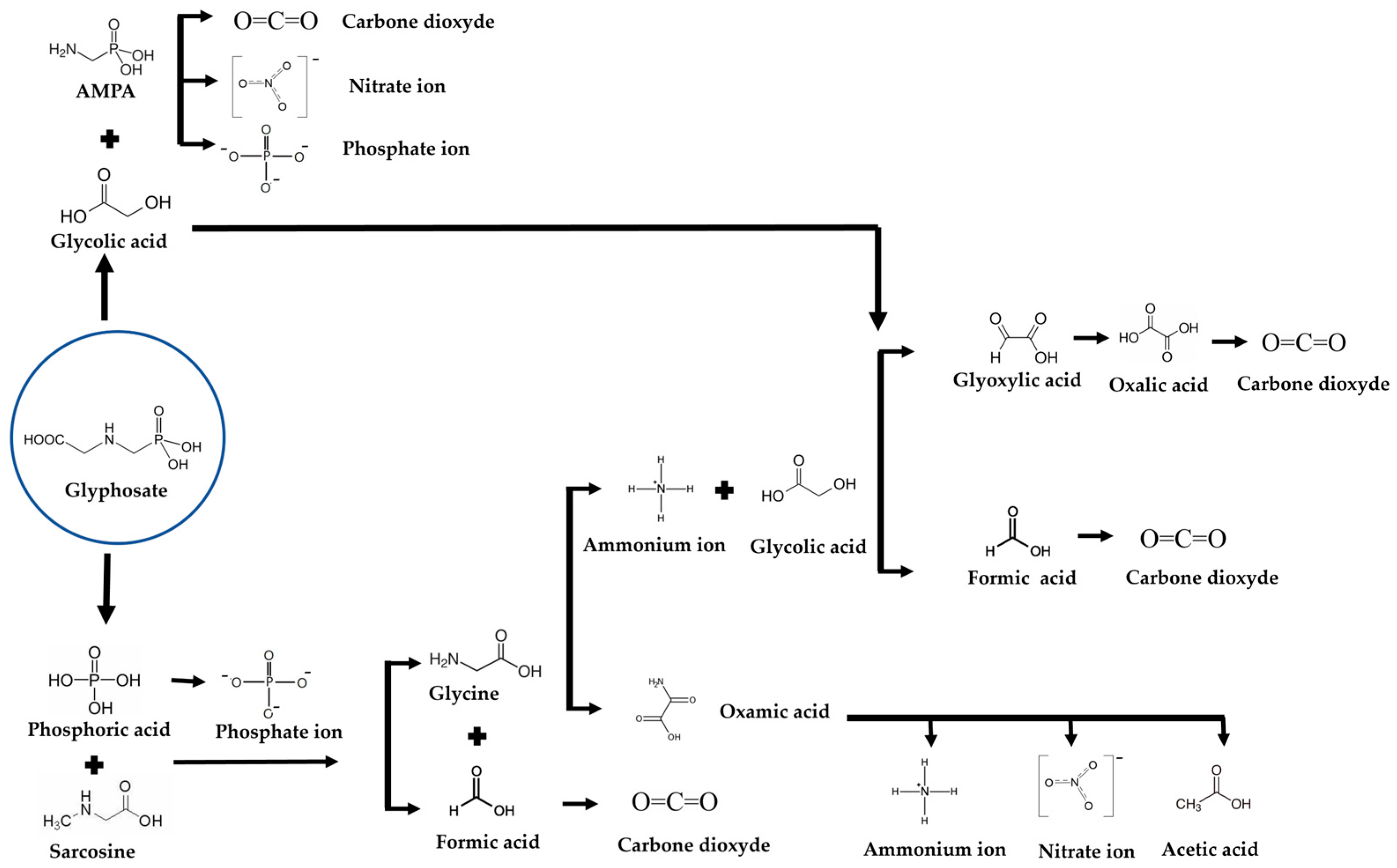
2.5. Identification of Intermediate and Proposed Degradation Pathways
2.6. Evolution of the Toxicity of Degradation By-Products
3. Electro-Oxidation of Nanofiltration Retentate
3.1. Comparison of Mineralization and Energy Consumption
3.2. Evolution of the Toxicity of Glyphosate-Contaminated Waters by Nanofiltration/Electro-Oxidation Coupling
4. Materials and Methods
4.1. Materials
4.2. Experimental Design
4.3. Equipment and Analytical Procedures
4.4. Specific Energy
5. Conclusions
Author Contributions
Funding
Institutional Review Board Statement
Informed Consent Statement
Data Availability Statement
Acknowledgments
Conflicts of Interest
References
- Ruszkowski, M.; Forlani, G. Deciphering the structure of Arabidopsis thaliana 5-enol-pyruvyl-shikimate-3-phosphate synthase: An essential step toward the discovery of novel inhibitors to supersede glyphosate. Comput. Struct. Biotechnol. J. 2022, 20, 1494–1505. [Google Scholar] [CrossRef]
- Zulet-González, A.; Barco-Antoñanzas, M.; Gil-Monreal, M.; Royuela, M.; Zabalza, A. Increased glyphosate-induced gene expression in the shikimate pathway is abolished in the presence of aromatic amino acids and mimicked by shikimate. Front. Plant Sci. 2020, 11, 459. [Google Scholar] [CrossRef]
- Leino, L.; Tall, T.; Helander, M.; Saloniemi, I.; Saikkonen, K.; Ruuskanen, S.; Puigbo, P. Classification of the glyphosate target enzyme (5-enolpyruvylshikimate-3-phosphate synthase) for assessing sensitivity of organisms to the herbicide. J. Hazard. Mater. 2021, 408, 124556. [Google Scholar] [CrossRef]
- Benbrook, C.M. Trends in glyphosate herbicide use in the United States and globally. Environ. Sci. Eur. 2016, 28, 3. [Google Scholar] [CrossRef]
- Battaglin, W.A.; Rice, K.C.; Focazio, M.J.; Salmons, S.; Barry, R.X. The occurrence of glyphosate, atrazine, and other pesticides in vernal pools and adjacent streams in Washington, DC, Maryland, Iowa, and Wyoming, 2005–2006. Environ. Monit. Assess. 2009, 155, 281–307. [Google Scholar] [CrossRef]
- Annett, R.; Habibi, H.R.; Hontela, A. Impact of glyphosate and glyphosate-based herbicides on the freshwater environment. J. Appl. Toxicol. 2014, 34, 458–479. [Google Scholar] [CrossRef]
- Ogunbiyi, O.D.; Akamo, D.O.; Oluwasanmi, E.E.; Adebanjo, J.; Isafiade, B.A.; Ogunbiyi, T.J.; Alli, Y.A.; Ayodele, D.T.; Oladoye, P.O. Glyphosate-based herbicide: Impacts, detection, and removal strategies in environmental samples. Groundw. Sustain. Dev. 2023, 22, 100961. [Google Scholar] [CrossRef]
- Singh, R.; Shukla, A.; Kaur, G.; Girdhar, M.; Malik, T.; Mohan, A. Systemic analysis of glyphosate impact on environment and human health. ACS Omega 2024, 9, 6165–6183. [Google Scholar] [CrossRef]
- Grunewald, K.; Schmidt, W.; Unger, C.; Hanschmann, G. Behavior of glyphosate and aminomethylphosphonic acid (AMPA) in soils and water of reservoir Radeburg II catchment (Saxony/Germany). J. Plant Nutr. Soil Sci. 2001, 164, 65–70. [Google Scholar] [CrossRef]
- Székács, A.; Darvas, B. Forty years with glyphosate. Herbic.-Prop. Synth. Control Weeds 2012, 14, 247–284. [Google Scholar]
- de Brito Rodrigues, L.; Costa, G.G.; Thá, E.L.; da Silva, L.R.; de Oliveira, R.; Leme, D.M.; Cestari, M.M.; Grisolia, C.K.; Valadares, M.C.; de Oliveira, G.A.R. Impact of the glyphosate-based commercial herbicide, its components and its metabolite AMPA on non-target aquatic organisms. Mutat. Res./Genet. Toxicol. Environ. Mutagen. 2019, 842, 94–101. [Google Scholar] [CrossRef]
- Adu-Yeboah, P.; Lowor, S.T.; Segbefia, M.A.; Konlan, S.; Pobee, P. Physiological and growth responses of cacao to glyphosate exposure. J. Environ. Sci. Health Part B 2023, 58, 91–99. [Google Scholar] [CrossRef]
- Bafei, E.P.M.; Metowogo, K.; Eklu-Gadegbeku, K. Study of the health impact of glyphosate misuse in two prefectures in Togo and evaluation of its bioaccumulation in yam. Occup. Dis. Environ. Med. 2021, 9, 199–213. [Google Scholar] [CrossRef]
- Van Bruggen, A.H.; He, M.M.; Shin, K.; Mai, V.; Jeong, K.; Finckh, M.; Morris, J., Jr. Environmental and health effects of the herbicide glyphosate. Sci. Total Environ. 2018, 616, 255–268. [Google Scholar] [CrossRef]
- Wei, X.; Pan, Y.; Zhang, Z.; Cui, J.; Yin, R.; Li, H.; Qin, J.; Li, A.J.; Qiu, R. Biomonitoring of glyphosate and aminomethylphosphonic acid: Current insights and future perspectives. J. Hazard. Mater. 2024, 463, 132814. [Google Scholar] [CrossRef]
- Villamar-Ayala, C.A.; Carrera-Cevallos, J.V.; Vasquez-Medrano, R.; Espinoza-Montero, P.J. Fate, eco-toxicological characteristics, and treatment processes applied to water polluted with glyphosate: A critical review. Crit. Rev. Environ. Sci. Technol. 2019, 49, 1476–1514. [Google Scholar] [CrossRef]
- Min, X.; Li, W.; Wei, Z.; Spinney, R.; Dionysiou, D.D.; Seo, Y.; Tang, C.-J.; Li, Q.; Xiao, R. Sorption and biodegradation of pharmaceuticals in aerobic activated sludge system: A combined experimental and theoretical mechanistic study. Chem. Eng. J. 2018, 342, 211–219. [Google Scholar] [CrossRef]
- Feng, L.; van Hullebusch, E.D.; Rodrigo, M.A.; Esposito, G.; Oturan, M.A. Removal of residual anti-inflammatory and analgesic pharmaceuticals from aqueous systems by electrochemical advanced oxidation processes. A review. Chem. Eng. J. 2013, 228, 944–964. [Google Scholar] [CrossRef]
- Ponnusami, A.B.; Sinha, S.; Ashokan, H.; Paul, M.V.; Hariharan, S.P.; Arun, J.; Gopinath, K.; Le, Q.H.; Pugazhendhi, A. Advanced oxidation process (AOP) combined biological process for wastewater treatment: A review on advancements, feasibility and practicability of combined techniques. Environ. Res. 2023, 237, 116944. [Google Scholar] [CrossRef]
- Kumari, P.; Kumar, A. Advanced oxidation process: A remediation technique for organic and non-biodegradable pollutant. Results Surf. Interfaces 2023, 11, 100122. [Google Scholar] [CrossRef]
- Nidheesh, P.V.; Couras, C.; Karim, A.V.; Nadais, H. A review of integrated advanced oxidation processes and biological processes for organic pollutant removal. Chem. Eng. Commun. 2022, 209, 390–432. [Google Scholar] [CrossRef]
- Liu, M.; Zhang, S.; Wang, Z. Advanced Oxidation Processes of Organic Contaminants. Toxics 2024, 12, 579. [Google Scholar] [CrossRef]
- Le, T.X.H.; Esmilaire, R.; Drobek, M.; Bechelany, M.; Vallicari, C.; Nguyen, D.L.; Julbe, A.; Tingry, S.; Cretin, M. Design of a novel fuel cell-Fenton system: A smart approach to zero energy depollution. J. Mater. Chem. A 2016, 4, 17686–17693. [Google Scholar] [CrossRef]
- dos Santos, A.J.; Fajardo, A.S.; Kronka, M.S.; Garcia-Segura, S.; Lanza, M.R. Effect of electrochemically-driven technologies on the treatment of endocrine disruptors in synthetic and real urban wastewater. Electrochim. Acta. 2021, 376, 138034. [Google Scholar] [CrossRef]
- Carrera-Cevallos, J.V.; Prato-Garcia, D.; Espinoza-Montero, P.J.; Vasquez-Medrano, R. Electro-oxidation of a commercial formulation of glyphosate on boron-doped diamond electrodes in a pre-pilot-scale single-compartment cell. Water Air Soil Pollut. 2021, 232, 69. [Google Scholar] [CrossRef]
- Zhang, K.; Wang, H.; Shao, G.; Liu, W.; Fan, B.; Lu, H.; Xu, H.; Zhang, R.; Yan, N.; Zhao, Y. Preparation and properties of boron-doped diamond composites fabricated by high-pressure and high-temperature sintering. Ceram. Int. 2019, 45, 9271–9277. [Google Scholar] [CrossRef]
- Vogel, T.; Meijer, J.; Zaitsev, A. Highly effective p-type doping of diamond by MeV-ion implantation of boron. Diam. Relat. Mater. 2004, 13, 1822–1825. [Google Scholar] [CrossRef]
- Stotter, J.; Zak, J.; Behler, Z.; Show, Y.; Swain, G.M. Optical and electrochemical properties of optically transparent, boron-doped diamond thin films deposited on quartz. Anal. Chem. 2002, 74, 5924–5930. [Google Scholar] [CrossRef]
- Neto, S.A.; De Andrade, A. Electrooxidation of glyphosate herbicide at different DSA® compositions: pH, concentration and supporting electrolyte effect. Electrochim. Acta 2009, 54, 2039–2045. [Google Scholar] [CrossRef]
- Kumar, A.; Barbhuiya, N.H.; Singh, S.P. Magnéli phase titanium sub-oxides synthesis, fabrication and its application for environmental remediation: Current status and prospect. Chemosphere 2022, 307, 135878. [Google Scholar] [CrossRef]
- Ganiyu, S.O.; Oturan, N.; Raffy, S.; Cretin, M.; Esmilaire, R.; van Hullebusch, E.; Esposito, G.; Oturan, M.A. Sub-stoichiometric titanium oxide (Ti4O7) as a suitable ceramic anode for electrooxidation of organic pollutants: A case study of kinetics, mineralization and toxicity assessment of amoxicillin. Water Res. 2016, 106, 171–182. [Google Scholar] [CrossRef]
- Chaplin, B.P. Critical review of electrochemical advanced oxidation processes for water treatment applications. Environ. Sci. Process. Impacts 2014, 16, 1182–1203. [Google Scholar] [CrossRef]
- Luo, Y.; Khoshyan, A.; Al Amin, M.; Nolan, A.; Robinson, F.; Fenstermacher, J.; Niu, J.; Megharaj, M.; Naidu, R.; Fang, C. Ultrasound-enhanced Magnéli phase Ti4O7 anodic oxidation of per-and polyfluoroalkyl substances (PFAS) towards remediation of aqueous film forming foams (AFFF). Sci. Total Environ. 2023, 862, 160836. [Google Scholar] [CrossRef]
- Wang, Y.; Li, L.; Huang, Q. Electrooxidation of per-and polyfluoroalkyl substances in chloride-containing water on surface-fluorinated Ti4O7 anodes: Mitigation and elimination of chlorate and perchlorate formation. Chemosphere 2022, 307, 135877. [Google Scholar] [CrossRef]
- Zwane, B.N.; Orimolade, B.O.; Koiki, B.A.; Mabuba, N.; Gomri, C.; Petit, E.; Bonniol, V.; Lesage, G.; Rivallin, M.; Cretin, M. Combined electro-fenton and anodic oxidation processes at a sub-stoichiometric titanium oxide (Ti4O7) ceramic electrode for the degradation of tetracycline in water. Water 2021, 13, 2772. [Google Scholar] [CrossRef]
- El Kateb, M.; Trellu, C.; Darwich, A.; Rivallin, M.; Bechelany, M.; Nagarajan, S.; Lacour, S.; Bellakhal, N.; Lesage, G.; Heran, M. Electrochemical advanced oxidation processes using novel electrode materials for mineralization and biodegradability enhancement of nanofiltration concentrate of landfill leachates. Water Res. 2019, 162, 446–455. [Google Scholar] [CrossRef]
- Sirés, I.; Brillas, E.; Oturan, M.A.; Rodrigo, M.A.; Panizza, M. Electrochemical advanced oxidation processes: Today and tomorrow. A review. Environ. Sci. Pollut. Res. 2014, 21, 8336–8367. [Google Scholar] [CrossRef]
- Xie, M.; Liu, Z.; Xu, Y. Removal of glyphosate in neutralization liquor from the glycine-dimethylphosphit process by nanofiltration. J. Hazard. Mater. 2010, 181, 975–980. [Google Scholar] [CrossRef]
- Tran, N.; Drogui, P.; Doan, T.L.; Le, T.S.; Nguyen, H.C. Electrochemical degradation and mineralization of glyphosate herbicide. Environ. Technol. 2017, 38, 2939–2948. [Google Scholar] [CrossRef]
- Xie, J.; Zhang, C.; Waite, T.D. Hydroxyl radicals in anodic oxidation systems: Generation, identification and quantification. Water Res. 2022, 217, 118425. [Google Scholar] [CrossRef]
- Dominguez, C.M.; Oturan, N.; Romero, A.; Santos, A.; Oturan, M.A. Lindane degradation by electrooxidation process: Effect of electrode materials on oxidation and mineralization kinetics. Water Res. 2018, 135, 220–230. [Google Scholar] [CrossRef]
- Jin, L.; Huang, Y.; Ye, L.; Huang, D.; Liu, X. Challenges and opportunities in the selective degradation of organophosphorus herbicide glyphosate. Iscience 2024, 27, 110870. [Google Scholar] [CrossRef]
- Ganiyu, S.O.; Le, T.X.H.; Bechelany, M.; Oturan, N.; Papirio, S.; Esposito, G.; van Hullebusch, E.; Cretin, M.; Oturan, M.A. Electrochemical mineralization of sulfamethoxazole over wide pH range using FeIIFeIII LDH modified carbon felt cathode: Degradation pathway, toxicity and reusability of the modified cathode. Chem. Eng. J. 2018, 350, 844–855. [Google Scholar] [CrossRef]
- Ogundele, O.; Oyegoke, D.; Anaun, T. Exploring the potential and challenges of electro-chemical processes for sustainable waste water remediation and treatment. Acadlore Trans. Geosci 2023, 2, 80–93. [Google Scholar] [CrossRef]
- Panizza, M.; Brillas, E.; Comninellis, C. Application of boron-doped diamond electrodes for wastewater treatment. J. Environ. Eng. Manag 2008, 18, 139–153. [Google Scholar]
- Jankulovska, M. Study of the Electrochemical Properties of Nanostructured TiO2 Electrodes. Ph.D. Thesis, University St. Kliment Ohridski, Bitola, North Macedonia, 2015. [Google Scholar]
- Espinoza-Montero, P.J.; Vega-Verduga, C.; Alulema-Pullupaxi, P.; Fernández, L.; Paz, J.L. Technologies employed in the treatment of water contaminated with glyphosate: A review. Molecules 2020, 25, 5550. [Google Scholar] [CrossRef]
- Lan, H.; Jiao, Z.; Zhao, X.; He, W.; Wang, A.; Liu, H.; Liu, R.; Qu, J. Removal of glyphosate from water by electrochemically assisted MnO2 oxidation process. Sep. Purif. Technol. 2013, 117, 30–34. [Google Scholar] [CrossRef]
- Lan, H.; He, W.; Wang, A.; Liu, R.; Liu, H.; Qu, J.; Huang, C. An activated carbon fiber cathode for the degradation of glyphosate in aqueous solutions by the Electro-Fenton mode: Optimal operational conditions and the deposition of iron on cathode on electrode reusability. Water Res. 2016, 105, 575–582. [Google Scholar] [CrossRef]
- McBeath, S.T.; Wilkinson, D.P.; Graham, N.J. Application of boron-doped diamond electrodes for the anodic oxidation of pesticide micropollutants in a water treatment process: A critical review. Environ. Sci. Water Res. Technol. 2019, 5, 2090–2107. [Google Scholar] [CrossRef]
- Brillas, E.; Sirés, I.; Oturan, M.A. Electro-Fenton process and related electrochemical technologies based on Fenton’s reaction chemistry. Chem. Rev. 2009, 109, 6570–6631. [Google Scholar] [CrossRef]
- El-Ghenymy, A.; Rodríguez, R.M.; Arias, C.; Centellas, F.; Garrido, J.A.; Cabot, P.L.; Brillas, E. Electro-Fenton and photoelectro-Fenton degradation of the antimicrobial sulfamethazine using a boron-doped diamond anode and an air-diffusion cathode. J. Electroanal. Chem. 2013, 701, 7–13. [Google Scholar] [CrossRef]
- Ndjeri, M.; Pensel, A.; Peulon, S.; Haldys, V.; Desmazières, B.; Chaussé, A. Degradation of glyphosate and AMPA (amino methylphosphonic acid) solutions by thin films of birnessite electrodeposited: A new design of material for remediation processes? Colloids Surf. A Physicochem. Eng. Asp. 2013, 435, 154–169. [Google Scholar] [CrossRef]
- Ouagued, I.; Cretin, M.; Petit, E.; Lesage, G.; Djafer, A.; Ouagued, A.; Lacour, S. Screening Refractory Dye Degradation by Different Advanced Oxidation Processes. Molecules 2025, 30, 712. [Google Scholar] [CrossRef]
- Le, T.X.H.; Van Nguyen, T.; Yacouba, Z.A.; Zoungrana, L.; Avril, F.; Petit, E.; Mendret, J.; Bonniol, V.; Bechelany, M.; Lacour, S. Toxicity removal assessments related to degradation pathways of azo dyes: Toward an optimization of electro-Fenton treatment. Chemosphere 2016, 161, 308–318. [Google Scholar] [CrossRef]
- Yacouba, Z.A.; Mendret, J.; Lesage, G.; Zaviska, F.; Brosillon, S. Removal of organic micropollutants from domestic wastewater: The effect of ozone-based advanced oxidation process on nanofiltration. J. Water Process Eng. 2021, 39, 101869. [Google Scholar] [CrossRef]
- Kimura, K.; Amy, G.; Drewes, J.E.; Heberer, T.; Kim, T.-U.; Watanabe, Y. Rejection of organic micropollutants (disinfection by-products, endocrine disrupting compounds, and pharmaceutically active compounds) by NF/RO membranes. J. Membr. Sci. 2003, 227, 113–121. [Google Scholar] [CrossRef]
- Gherardini, L.; Michaud, P.; Panizza, M.; Comninellis, C.; Vatistas, N. Electrochemical oxidation of 4-chlorophenol for wastewater treatment: Definition of normalized current efficiency (ϕ). J. Electrochem. Soc. 2001, 148, D78. [Google Scholar] [CrossRef]
- Balci, B.; Oturan, M.A.; Oturan, N.; Sirés, I. Decontamination of aqueous glyphosate,(aminomethyl) phosphonic acid, and glufosinate solutions by electro-Fenton-like process with Mn2+ as the catalyst. J. Agric. Food Chem. 2009, 57, 4888–4894. [Google Scholar] [CrossRef]
- Martinez-Huitle, C.A.; Ferro, S. Electrochemical oxidation of organic pollutants for the wastewater treatment: Direct and indirect processes. Chem. Soc. Rev. 2006, 35, 1324–1340. [Google Scholar] [CrossRef]
- Giesy, J.P.; Dobson, S.; Solomon, K.R. Ecotoxicological Risk Assessment for Roundup® Herbicide; Springer: New York, NY, USA, 2000. [Google Scholar]
- Van der Bruggen, B.; Vandecasteele, C.; Van Gestel, T.; Doyen, W.; Leysen, R. A review of pressure-driven membrane processes in wastewater treatment and drinking water production. Environ. Prog. 2003, 22, 46–56. [Google Scholar] [CrossRef]
- Romero, A.; Santos, A.; Tojo, J.; Rodríguez, A. Toxicity and biodegradability of imidazolium ionic liquids. J. Hazard. Mater. 2008, 151, 268–273. [Google Scholar] [CrossRef]
- ISO 11348-3:2007; Water Quality—Determination of the Inhibitory Effect of Water Samples on the Light Emission of Vibrio fischeri (Luminescent bacteria Test). Part 3: Method Using Freeze-Dried Bacteria. ISO: Geneva, Switzerland, 2007.
















| Electrode | R2 | ||
|---|---|---|---|
| Ti4O7 | 4 | 18.6 ± 0.7 | 0.98 |
| 6 | 26.4 ± 1.1 | 0.98 | |
| 10 | 51.6 ± 5.7 | 0.90 | |
| 14 | 65.3 ± 6.2 | 0.94 |
| Ions | Tank ) | Permeate ) | Retentate ) |
|---|---|---|---|
| Phosphate ) | 9.3 | 0.0 | 15.6 |
| Nitrate ) | 7.3 | 3.3 | 10.6 |
| Chlorure ) | 288.9 | 268.0 | 455.7 |
| Sulfate ) | 54.2 | 7.5 | 459.7 |
| Sodium ) | 153.3 | 123.7 | 265.7 |
| Ammonium ) | 2.0 | 0.9 | 3.1 |
| Potassium ) | 16.1 | 13.0 | 62.4 |
| Magnesium ) | 21.0 | 7.2 | 62.2 |
| Calcium ) | 50.5 | 20.1 | 141.4 |
| Glyphosate | 17.0 | 0.0 | 72.3 |
| TOC | 5.4 | 1.2 | 20.7 |
| pH | 7.49 | 7.63 | 8.45 |
| Conductivity (µS | 1480 | 1000 | 2380 |
| Compounds | |
|---|---|
| NaCl | 200 |
| 238.5 | |
| 200 | |
| Na2HPO42H2O | 9 |
| 75 | |
| 200 | |
| KCl | 30 |
| 5 | |
| 2 |
Disclaimer/Publisher’s Note: The statements, opinions and data contained in all publications are solely those of the individual author(s) and contributor(s) and not of MDPI and/or the editor(s). MDPI and/or the editor(s) disclaim responsibility for any injury to people or property resulting from any ideas, methods, instructions or products referred to in the content. |
© 2025 by the authors. Licensee MDPI, Basel, Switzerland. This article is an open access article distributed under the terms and conditions of the Creative Commons Attribution (CC BY) license (https://creativecommons.org/licenses/by/4.0/).
Share and Cite
Awesso, W.M.; Tchakala, I.; Tingry, S.; Lesage, G.; Mendret, J.; Dougna, A.A.; Petit, E.; Bonniol, V.; Alfa-Sika, M.S.-L.; Cretin, M. Degradation of Glyphosate in Water by Electro-Oxidation on Magneli Phase: Application to a Nanofiltration Concentrate. Molecules 2025, 30, 3153. https://doi.org/10.3390/molecules30153153
Awesso WM, Tchakala I, Tingry S, Lesage G, Mendret J, Dougna AA, Petit E, Bonniol V, Alfa-Sika MS-L, Cretin M. Degradation of Glyphosate in Water by Electro-Oxidation on Magneli Phase: Application to a Nanofiltration Concentrate. Molecules. 2025; 30(15):3153. https://doi.org/10.3390/molecules30153153
Chicago/Turabian StyleAwesso, Wiyao Maturin, Ibrahim Tchakala, Sophie Tingry, Geoffroy Lesage, Julie Mendret, Akpénè Amenuvevega Dougna, Eddy Petit, Valérie Bonniol, Mande Seyf-Laye Alfa-Sika, and Marc Cretin. 2025. "Degradation of Glyphosate in Water by Electro-Oxidation on Magneli Phase: Application to a Nanofiltration Concentrate" Molecules 30, no. 15: 3153. https://doi.org/10.3390/molecules30153153
APA StyleAwesso, W. M., Tchakala, I., Tingry, S., Lesage, G., Mendret, J., Dougna, A. A., Petit, E., Bonniol, V., Alfa-Sika, M. S.-L., & Cretin, M. (2025). Degradation of Glyphosate in Water by Electro-Oxidation on Magneli Phase: Application to a Nanofiltration Concentrate. Molecules, 30(15), 3153. https://doi.org/10.3390/molecules30153153

