Next Article in Journal
NaDES-Based Extracts by Microwave Activation from Laurus nobilis L. Leaves: Sustainable Multifunctional Ingredients for Potential Cosmetic and Pharmaceutical Applications
Previous Article in Journal
Synthesis of Substituted 1,4-Benzodiazepines by Palladium-Catalyzed Cyclization of N-Tosyl-Disubstituted 2-Aminobenzylamines with Propargylic Carbonates
 
 
Font Type:
Arial Georgia Verdana
Font Size:
Aa Aa Aa
Line Spacing:
Column Width:
Background:
Article

Ketone-Assisted Alkoxysilane Condensation to Form Siloxane Bonds

Centre of Molecular and Macromolecular Studies of Polish Academy of Sciences, Sienkiewicza 112, 90-363 Lodz, Poland
*
Authors to whom correspondence should be addressed.
Molecules 2025, 30(14), 3005; https://doi.org/10.3390/molecules30143005
Submission received: 19 June 2025 / Revised: 9 July 2025 / Accepted: 15 July 2025 / Published: 17 July 2025
(This article belongs to the Section Macromolecular Chemistry)

Abstract

Siloxane bond formation represents a fundamental reaction central to both silicone chemistry and its technological applications. This paper presents a novel ketone-assisted process for the condensation of alkoxy-functional silanes catalyzed by a cationic Ge(II) complex stabilized by pentamethylcyclopentadiene Cp*Ge(II)+. This process leads to the formation of siloxane bonds, with dialkoxy ketal as a byproduct. Unlike the analogous reaction involving aldehydes, the ketone-assisted process is reversible, resulting in the formation of a mixture of alkoxy-functionalized silane or siloxane, along with the corresponding disiloxane product. Additionally, the introduced ketone underwent only partial conversion to the corresponding ketal. Furthermore, it was demonstrated that the siloxane bond could be cleaved to form alkoxysilane in the presence of the ketal and a cationic Cp*Ge(II) complex acting as a catalyst.

Graphical Abstract

1. Introduction

We recently demonstrated that alkoxy-substituted silanes undergo a rapid and quantitative transformation into disiloxane and dialkyl acetal derivatives upon a reaction with stoichiometric amounts of aldehyde [1]. This novel condensation mechanism is catalyzed by a Ge(II)+ species, which is stabilized by pentamethylcyclopentadiene and paired with a weakly coordinating tetrakis(pentafluorophenyl)borate anion (Cp*Ge+ B(C6F5)4).
We refer to this reaction as de-alkoxylation condensation. Our detailed mechanistic studies led us to conclude that the aldehyde-assisted de-alkoxylation condensation is a two-step process involving the formation of a mixed acetal as an intermediate.
Divalent cationic Si(II) and Ge(II) compounds stabilized by the pentamethylcyclopentadiene ligand were prepared for the first time by the team of Prof. Jutzi more than 20 years ago [2,3,4]. An excellent review of the research in this field has been published recently [5]. Wacker’s team prepared several new analogous compounds and demonstrated their effectiveness as catalysts in various important reactions, such as the hydrosilylation of a carbon–carbon double bond reaction, coupling between hydrosilanes and alkoxysilanes, and oxidative coupling of hydrosilanes in the presence of aldehydes and ketones [6,7,8].
The use of aldehydes to facilitate the curing of alkoxy-functional silicone resins has been described in recent patent applications by Wacker Chemie [9,10]. Our studies have shown that a disadvantage of this new condensation process is the need for stoichiometric amounts of aldehydes, such as propionaldehyde or acetaldehyde. Given that low-molecular-weight aldehydes are relatively toxic [11,12,13], replacing the aldehyde with a less toxic ketone, such as acetone [13], would make this reaction more acceptable for potential commercial applications. To determine whether ketones are indeed capable of enabling de-alkoxylation condensation, we performed a mechanistic study of the de-alkoxylation reaction in the presence of acetone.
In this article, we present our findings on the de-alkoxylation condensation of model alkoxy-functional silanes catalyzed by Cp*Ge+ B(C6F5)4 in the presence of acetone. Additionally, we conducted further experiments to examine the de-alkoxylation reaction in the presence of acetophenone and benzophenone. To extend the scope of our study, we also investigated the cleavage of siloxane bonds by a corresponding ketal (2,2-dimethoxypropane) using a cationic Cp*Ge(II) complex as a catalyst.

2. Results

2.1. Study of the De-Alkoxylation Reaction in the Presence of Ketones

The de-alkoxylation reaction in the presence of acetone was investigated using model alkoxysilanes, such as PhMe2SiOMe and PhMe2SiOEt, in the presence of catalytic amounts of Cp*Ge+ B(C6F5)4. 1H NMR and 29Si NMR spectroscopy, as well as GC and GC/MS, were used as the main analytical techniques to identify the substrate conversion and product formation.
The reaction between 2 equivalents of PhMe2SiOMe and 1 equivalent acetone in the presence of 0.02 equivalent of Cp*Ge+ B(C6F5)4 did not result in the quantitative conversion of methoxy silane to the corresponding disiloxane, as previously observed in the analogous reaction with propionaldehyde [1]. The 1H NMR spectrum of the reaction mixture recorded after 24 h indicates an approximately 60% conversion of PhMe2SiOMe, as evidenced by two singlets at δ = 0.44 ppm (SiCH3) and 3.49 ppm (SiOCH3), to the corresponding disiloxane (singlet at δ = 0.42 ppm (SiCH3)). Additionally, acetone (singlet at δ = 2.17 ppm (CH3)) underwent a conversion to the 2,2-dimethoxypropane, as characterized by signals at δ = 1.36 ppm (CH3) and 3.22 ppm (OCH3) (Figure 1). Moreover, two other singlets observed at δ = 1.28 ppm (CH3) and δ = 3.26 ppm (OCH3) were assigned to a mixed ketal 2-methoxy-2-dimethylphenylsiloxypropane. The concentration of this mixed ketal was approximately 15 mol% relative to 2,2-dimethoxypropane. The presence of these two types of ketals was further confirmed by a GC/MS analysis of the reaction mixture (Figures S1 and S2). The 29Si NMR spectrum recorded after 3 days confirmed the presence of two major compounds: approximately 40 mol% of the starting PhMe2SiOMe (singlet at δ = 9.42 ppm) and the corresponding disiloxane (singlet at δ = −1.14 ppm) (Figure 2) [14,15].
The quantitative analysis of the reaction progress over time for the 2 equivalents of PhMe2SiOMe with 1 equivalent of acetone indicated that, indeed, the conversion of both reagents, PhMe2SiOMe and acetone, proceeded at the same rate. However, in the case of acetone, unlike the propionaldehyde [1], the de-alkoxylation process reached a plateau after about 6 h at approximately 60% conversion of methoxysilane (Figure 3). This phenomenon can be explained by the fact that the studied reaction in the presence of acetone is reversible and leads to equilibrium between reagents and products (Equation (1)). Based on the NMR data, the equilibrium constant for this process was estimated to be around 2.8.
Molecules 30 03005 i001
The reaction of the ethoxy-functional silane (PhMe2SiOEt) with acetone in the presence of 1 mol% Cp*Ge+ B(C6F5)4 proceeded similarly to its methyl-functional counterpart. However, the conversion of PhMe2SiOEt to the corresponding disiloxane (diphenyltetramethyldisiloxane) proceeded more slowly, probably due to steric hindrance imposed by the ethyl group. Nevertheless, the steric effect of the ethyl group did not affect the equilibrium position between the alkoxysilane and the disiloxane. Like the reaction of PhMe2SiOMe with acetone, the conversion of PhMe2SiOEt to disiloxane reached about 60% at equilibrium, although over a longer period of about 48 h (Figure S3).
The influence of the ketone structure on its reactivity in the de-alkoxylation reaction of PhMe2SiOMe was investigated for acetone, acetophenone, and benzophenone. Replacing a methyl group with a phenyl substituent significantly decreased the de-alkoxylation rate of the alkoxysilane (Figure 4). Furthermore, the phenyl-containing ketones exhibited a notably lower equilibrium conversion of alkoxysilane.
The observed effect of the phenyl substituent on the reactivity of the ketones in the series acetone, acetophenone, and benzophenone in the de-alkoxylation reaction can be explained by a combination of electronic and steric effects. The phenyl group contributes to resonance stabilization by delocalizing the electron density to the carbonyl system, thereby reducing the electrophilicity of the carbonyl carbon. As a result, ketones such as acetophenone and benzophenone exhibit lower reactivity compared with acetone. Moreover, the steric hindrance of the phenyl groups further inhibits nucleophilic attack, making the nucleophilic substitution at the carbonyl carbon in acetophenone and benzophenone slower than in acetone [16,17].
Quantum chemical CBS-QB3 calculations for the de-alkoxylation reaction of Me3SiOMe in the presence of aldehydes and ketones in DCM revealed that the process of de-alkoxylation with an aldehyde exhibited a significantly negative Gibbs free energy change (ΔG = −6.6 kcal/mol), which corresponded to an equilibrium constant in the order of 104–105. In contrast, the analogous reaction with acetone had a higher ΔG of −0.9 kcal/mol, which corresponded to an equilibrium constant of approximately 4 (Scheme 1, Table 1).
These results align with experimental findings, confirming that the de-alkoxylation condensation of alkoxysilanes in the presence of acetone is a reversible process that establishes equilibrium between alkoxysilane and siloxane. They also support a two-step reversible mechanism for this reaction, involving the formation of a disiloxane and its corresponding dialkyl ketal, as illustrated in Scheme 2. The proposed mechanism of de-alkoxylation condensation is discussed in detail based on theoretical calculations in Section 2.4.

2.2. Reaction of Hexamethyldisiloxane with 2,2-Dimethoxypropane in the Presence of Cp*Ge+ B(C6F5)4

For the reaction of PhMe2SiOMe with acetone to be a reversible process, the resulting ketal (2,2-dimethoxypropane (DMP)) must undergo the reverse reaction with disiloxane. To prove this hypothesis, the reaction of 1 equivalent of DMP with 1 equivalent of hexamethyldisiloxane (MM) was investigated in the presence of 1 mol% of Cp*Ge+ B(C6F5)4. After 24 h, when the reaction had reached equilibrium, the 1H NMR spectrum of the mixture revealed the presence of MM, Me3SiOMe, DMP, and acetone. Additionally, small amounts of a mixed ketal, (MeO)(Me3SiO)C(CH3)2, were detected (Figure 5). At this point, the conversion of DMP was approximately 44%. The 29Si NMR spectrum recorded after 4 days of reaction displayed two distinct singlets: one at δ = 7.22 ppm, which was assigned to MM, and another at δ = 18.87 ppm, which corresponded to the Me3SiOMe [14,15]. The integrated signal intensities indicate a molar ratio of Me3SiOMe to MM of approximately 0.85 to 1 (Figure 6).
The results above confirm that the de-alkoxylation reaction that involved the acetone was a reversible process and that DMP in the presence of Cp*Ge+ B(C6F5)4 could break the siloxane bond. It must have been a two-step process (Scheme 3). Quantum chemical calculations indicated that most of the Cp*Ge+ cation interacted with DMP molecules in the MM and DMP mixture, with ΔG = −4.5 kcal/mol. In the thus formed Cp*Ge+-DMP complex, the ketal carbon of DMP was activated for nucleophilic attack by siloxane oxygen, leading to the formation of a mixed ketal and Me3SiOMe. The resulting mixed ketal underwent an intramolecular elimination reaction, which yielded acetone and an additional Me3SiOMe molecule (Scheme 3).

2.3. Reaction of Trimethylsilyl-Terminated Oligosiloxanes with 2,2-Dimethoxypropane (DMP) in the Presence of Cp*Ge+ B(C6F5)4

To gain deeper insight into the cleavage of siloxane bonds by DMP, its reactions with a series of trimethylsilyl-terminated oligosiloxanes Me3SiO(SiMe2O)xSiMe3 (where x = 1, 2, 3, 4) were investigated in the presence of Cp*Ge+ B(C6F5)4. In this manuscript, shorthand notations of siloxane oligomers were introduced to simplify their formulas, which are commonly used by silicone chemists (Scheme 4) [18]. Accordingly, Me3SiO(SiMe2O)xSiMe3 was abbreviated as MDxM.
In the first experiment, the reaction of Me3SiO(SiMe2O)4SiMe3 (MD4M) with an equimolar concentration of DMP in the presence of 0.8 mol% of Cp*Ge+ B(C6F5)4 was studied. The conversion of MD4M and DMP and the formation of oligomeric siloxanes were monitored by GC (Figure 7). The chemical identity of the observed peaks was confirmed in a separate GC/MS experiment (Figure S4). The process occurred in two distinct stages. During the first stage, the conversion rates of both reagents were approximately similar. However, after approximately 60 min, the conversion rate of DMP slowed significantly, where they eventually reached a plateau at around 0.5 mol/L (60% conversion) after 200 min. Meanwhile, the concentration of MD4M continued to decrease until it stabilizes at an equilibrium concentration of approximately 0.1 mol/L (Figure 8). Interestingly, under these conditions, the preferential formation of MD4OMe and Me3SiOSiMe3 (MM) was observed during the initial stage of the process (Figure 9). These results indicate that the cleavage of the terminal siloxane bond in MD4M by DMP, which led to the formation of MD4OMe, Me3SiOMe (MOMe), and acetone, was the fastest reaction in this system. The resulting MOMe appeared to be highly reactive under these conditions and rapidly underwent acetone-assisted condensation to form MM and other M-stopped siloxanes. However, after reaching the maximum concentration at about 60 min of reaction, the concentration of the monoalkoxy oligosiloxane (MD4OMe) started to decline. This process was accompanied by the formation of various oligomeric alkoxy-functional and M-stopped siloxanes. The reaction observed seemed to reach an equilibrium after about 8 h. The predominant products were two series of linear oligosiloxanes, MDxM and MDxOMe. Additionally, cyclic siloxanes (mostly D4 and D5) and dimethoxy-stopped oligosiloxanes (MeODxOMe) were formed, though their concentrations remained lower. The 29Si NMR spectrum recorded after 7 days confirmed the presence of several products (Figure 10). The singlet at δ = 18.53 ppm was assigned to Me3SiOMe, while the singlet at δ = 7.55 ppm corresponded to Me3SiOSiMe3. An unresolved multiplet centered at δ = 7.10 ppm was attributed to the Me3SiO groups connected to various oligosiloxanes, whereas another unresolved multiplet at δ = −11.4 ppm was associated with the MeOSiMe2 groups within different oligosiloxanes. Additionally, distinct singlets at δ = −19.4 ppm and δ = −21.11 ppm were assigned to cyclic D4 and D5, respectively, and an unresolved multiplet centered at δ = −21.8 ppm corresponded to various -SiMe2O- units [15]. The formation of various MDxM, MDxOMe, and cyclic oligosiloxanes can be explained by a siloxane bond disproportionation process, which was also catalyzed by Cp*Ge+ B(C6F5)4 (Scheme 5).
Thus, in the studied reaction of DMP with MD4M catalyzed by Cp*Ge+ B(C6F5)4, a fast cleavage reaction of the terminal siloxane bond by DMP took place, which led to the formation of monoalkoxy oligosiloxane MD4OMe. To explain this phenomenon, the relative nucleophilicities of oxygen atoms in the short trimethylsilyl-terminated PDMS chains (Me3Si(OSiMe2)3OMe) were evaluated by DFT calculations using SiH3+ as the reference Lewis acid (Scheme 6).
The density function theory (DFT) calculations revealed that the relative nucleophilicities of oxygen atoms in short linear oligosiloxanes of the formula Me3Si(OSiMe2)xOMe (MDxOMe) were not equal. The oxygen adjacent to the terminal Me3Si group exhibited higher nucleophilicity compared with the oxygen atom bonded to two SiMe2O units (Scheme 6). Similarly, in MD4M, the oxygen atom linked to the terminal trimethylsilyl group was expected to be the most nucleophilic in the nucleophilic substitution reaction at the activated carbon center of DMP, which was complexed by Cp*Ge+ B(C6F5)4. This nucleophilic attack was anticipated to result in cleavage of the siloxane bond, which led to the formation of MD4OMe, Me3SiOMe, and acetone, as illustrated in Scheme 5. The enhanced reactivity of the terminal (M-stopped) siloxane bond was previously observed in the cationic oligomerization of linear siloxanes [19]. The resulting Me3SiOMe was likely the most reactive alkoxy-functional compound, where it underwent rapid conversion to MM via a de-alkoxylation process in the presence of acetone, as experimentally observed (Figure 9). However, even at equilibrium, a significant amount of Me3SiOMe remained in the reaction mixture (Figure 10). The MD4OMe oligomer, initially formed in excess, subsequently underwent siloxane bond disproportionation reactions and acetone assisted de-alkoxylation condensation, which led to the formation of various linear siloxane oligomers with the general formulas MDxM and MDxOMe (Scheme 5).
The scope of these studies was further expanded to investigate the reactions between DMP and other M-stopped short linear siloxanes, including MDM, MD2M, and MD3M. The reactions were carried out at a 1:1 molar ratio of DMP to MDxM, where x = 1, 2, 3, and 1 mol% of Cp*Ge+ B(C6F5)4 served as the catalyst. These transformations followed the same pathway as the reaction between DMP and MD4M, as illustrated in Figures S5–S7. The cleavage of the terminal siloxane bond was the fastest step in these reactions, irrespective of the number of D units. This process resulted in the formation of excess MDOMe in the reaction with MDM, MD2OMe in the reaction with MD2M, and MD3OMe in the reaction with MD3M. As previously observed in the reaction of DMP with MD4M, the concentration of the initially formed in excess mono-alkoxy siloxane gradually decreased as the reaction progressed. Meanwhile, other M-stopped and alkoxy-functional siloxanes emerged and eventually reached equilibrium concentrations after several hours.

2.4. Mechanistic Study of Ketone-Assisted De-Alkoxylation via DFT and CBS-QB3 Calculations

The experimental findings support the proposed mechanism for the de-alkoxylation reaction in the presence of a ketone, as outlined in Scheme 2. To further elucidate this process, DFT calculations were performed. It seemed reasonable to assume that the mechanism of de-alkoxylation involving ketones would closely resemble that reported for aldehydes [1]. Therefore, the geometries of stationary points found for the reaction with propionaldehyde, after necessary modification, were used as starting points for searching the stationary structures in the reaction with acetone. To simplify the DFT calculations, the presence of the weakly nucleophilic anion B(C6F5)4 was omitted. For the same reason, the methyl groups in the cyclopentadiene ligand were replaced by hydrogens. However, a comparison between the DFT calculations and experimental data revealed a significant discrepancy. The DFT calculations predicted the Gibbs free energy change (ΔG) for the acetone-assisted de-alkoxylation reaction of PhMe2SiOMe to be approximately 5.6 kcal/mol, which corresponded to an equilibrium constant of about 10−4. However, experimental results indicate a much higher equilibrium constant of approximately 2.8, corresponding to a ΔG of ca. −0.6 kcal/mol.
To verify the DFT calculation results, the CBS-QB3 composite method was employed to recalculate the thermochemistry for key reactions and equilibria occurring in the reaction system. This robust and cost-effective approach offers high accuracy across various chemical applications (often within 1–2 kcal/mol of experimental values) by integrating multiple calculation steps and empirical corrections [20]. The comparison of the results obtained using the DFT and CBS-QB3 methods are presented in Table 1.
The above results show that the DFT calculations were in some cases (for example, for the thermodynamics of the overall reactions with EtCHO (reaction A) and Me2CO (reaction B)) significantly less accurate than the CBS-QB3 calculations. Thus, when the thermochemistry of chemical equilibria is discussed, we usually refer to the CBS-QB3 results. Furthermore, the comparison of the CBS-QB3 results for the gas phase and for the DCM solution showed that the solvent effect could be estimated as 1–2.5 kcal/mol. To most accurately represent the real reaction system, we used the values obtained for the reaction in solution. However, the free energy profile for the proposed condensation mechanism was calculated by the DFT method for two reasons. First, CBS-QB3 calculations are significantly more computationally expensive; second, we aimed to preserve compatibility with our previous report to enable a direct comparison between aldehyde and ketone.
The DFT calculations for the gas-phase conditions indicate that CpGe+ interacts more strongly with methoxy silane than with propionaldehyde, which yielded an equilibrium constant (Keq) of 2.7 for reaction C (Table 1). The CBS-QB3 method predicted an even larger Keq for this equilibrium in DCM. Given that acetone is a stronger nucleophile than propionaldehyde due to the electron-donating effects of its two methyl groups, one would expect the equilibrium of reaction D (Table 1) to shift toward the CpGe+–acetone complex. Indeed, the gas-phase DFT calculations confirmed this expectation, where they yielded a Keq value of 0.2. Consequently, the concentration of the CpGe+–acetone complex was approximately 5 times higher than that of the CpGe+ complex with Me3SiOMe. However, the CBS-QB3 method predicted a significantly larger Keq value of 7 for this system in DCM, indicating that only approximately 30 mol% of CpGe+ interacted with acetone. It seems that the energy of the CpGe+–acetone interaction was somewhat underestimated due either to the deficiency of the CBS-QB3 method itself or to inaccuracy in the solvent effect estimation.
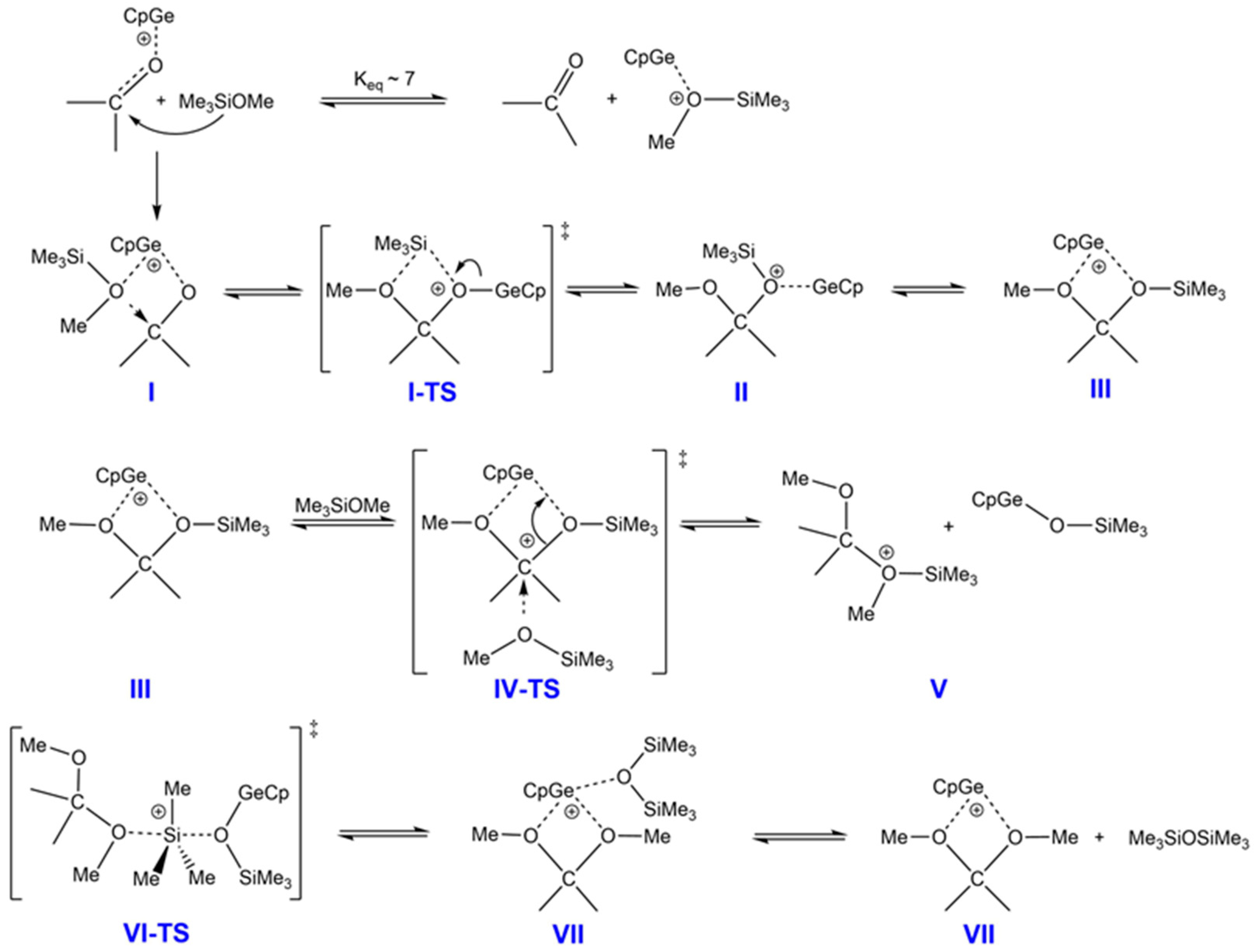
Based on the DFT results for reaction D, further investigation was conducted into the mechanism of the de-alkoxylation process. This reaction follows a widely accepted mechanism in the literature in which a nucleophile—specifically an alkoxy silane—attacks the carbon center of acetone [17], which is activated by its interaction with the cationic CpGe(II)+ complex (Scheme 7).
The initial condensation step involves the nucleophilic attack of methoxysilane on the carbonyl carbon, which is activated by a germanium cation (I). This species is in equilibrium with a complex of methoxysilane and the CpGe+ catalyst. Although this latter complex is more abundant, calculations suggest that the attack of acetone on silicon, when activated by the germanium cation, involves a higher energy barrier. Consequently, the silyl group is transferred to the carbonyl oxygen (forming intermediate II) leading to the formation of a mixed methoxy–siloxy ketal (intermediate III). Subsequently, another methoxy silane molecule attacks, substituting for the trimethylsiloxy–germanium intermediate (V). This intermediate then undergoes a rearrangement, leading to the cleavage of a trimethylsilyl group and the formation of the Ge mixed complex (VII), followed by the final formation of disiloxane and the germanium–DMP complex (VIII). The corresponding Gibbs free energy profile for the stationary points on the reaction pathway is presented in Figure 11 and the corresponding relative enthalpies and Gibbs free energies are shown in Table 2. The calculated structures of the stationary points and transition states are presented in Figure S8. The formation of the CpGe+–DMP complex was further supported by a 1H NMR experiment. The 1H NMR spectrum of a reaction mixture that contained 1 equivalent of CpGe+ B(C6F5)4 and 100 equivalents of DMP exhibited a slight upfield chemical shift of the methyl protons on the Cp* ring, which is consistent with complex formation (Figure S9).
It is apparent that the de-alkoxylation reaction with aldehyde exhibited lower energy barriers than the reaction with ketone and, consequently, was predicted to be considerably faster (Figure 11). It was also more thermodynamically favorable (see the CBS-QB3 values for a more precise evaluation), which confirmed that the reaction proceeded practically to completion, in contrast to the reaction with ketone.

3. Materials and Methods

3.1. Materials

Phenyldimethylsilane (Fluorochem, 98%) and 2,2-dimethoxypropane (Merck KGaA, Darmstadt, Germany, 97%), were used without further purification. Acetone (Merck KGaA, Darmstadt, Germany, 97%) was dried and purified by distillation. Pd/C (5%) was purchased from Merck KGaA, Darmstadt, Germany. Hexamethyldisiloxane, MDM, MD2M, MD3M, and MD4M were purchased from ABCR GmbH, Karlsruhe, Germany. Cp*Ge+ B(C6F5)4 catalyst was obtained from Wacker Chemie AG, Munich, Germany and was used without further purification. All solvents—DCM, Et2O, hexane, and toluene—were dried using standard procedures.

3.2. Synthesis Alkoxysilanes and Siloxanes

Model alkoxy-functional silanes and siloxanes were synthesized using a similar procedure to that outlined below for dimethylphenylethoxysilane (PhMe2SiOEt). In a round-bottomed flask equipped with a reflux condenser and addition funnel, 8.89 g (0.064 mol) of PhMe2SiH, 8 mL of hexane, and 0.131 g of 5% Pd/C were introduced. The reaction was conducted under an inert argon atmosphere. Subsequently, 7.24 g (0.156 mol) of EtOH in 7 mL of hexane was added dropwise to the reaction mixture. After 15 min, GC analysis confirmed complete conversion of the silane. The mixture was then filtered through celite to remove the catalyst, and hexane was evaporated under vacuum, which yielded 8.28 g (74.02%) of crude product. The GC analysis verified the formation of PhMe2SiOEt and the complete conversion of the substrate. The crude reaction product was then distilled using a small Vigreux column, which yielded 7.95 g of PhMe2SiOEt with approximately 95% purity (GC), at a boiling point of 180 °C/15 mmHg. 1HNMR (400 MHz, CDCl3): δ = 0.41 ppm (s, 6H), δ = 1.06 ppm (s, 3H, OCH3), δ = 7.42 ppm (m, 3H, para and meta), δ = 7.63 ppm (m, 2H, CH ortho). 29Si NMR (79.46 MHz, CDCl3): δ = 9.04 ppm (s, SiOMe).

3.3. NMR Spectroscopy

1H and 29Si NMR spectra in CDCl3 and CD2Cl2 were obtained with a Bruker, Billerica, MA, USA 400 MHz spectrometer operated at 400 and 79.46 MHz, respectively. The 29Si NMR spectra were recorded with broadband proton decoupling. Heteronuclear gated decoupling with a 20 s delay technique was used to acquire the 29Si NMR spectra.

3.4. Gas Chromatography–Mass Spectrometry (GC/MS)

GC/MS analysis was performed using a Shimadzu, Kyoto, Japan, QP2010 ultra-apparatus equipped with a Zebron ZB-5MSi Capillary GC Column (30 m × 0.25 mm × 0.25 μm), Phenomenex, Torrance, CA, USA. The carrier gas was helium. The following temperature program was used: hold at 50 °C for 3 min, heat to 250 °C at a rate of 10 °C/min, hold at 250 °C for 20 min, and heat to 280 °C at a rate of 20 °C/min. The quadrupole mass spectrometer, Shimadzu QP2010 Ultra, with electron ionization was connected to a GC system.

3.5. Gas Chromatography

Gas chromatography analyses were performed using an Agilent 8860 GC System (Agilent Technologies, Inc., Santa Clara, CA, USA) equipped with a thermal conductivity detector and HP-1 capillary column (Agilent Technologies, Inc., Santa Clara, CA, USA) with diameter 0.53 mm and length 30 m. The carrier gas was helium, with flow rate 10 mL/min, detector temperature 250 °C, injector temperature 250 °C, and the following column temperature program: hold 5 min at a 40 °C isotherm, heat to 240 °C at a rate of 10 °C/min and hold at 240 °C for 10 min.

3.6. Study of the De-Alkoxylation of Model Alkoxysilanes in the Presence of Acetone

In a typical experiment, 58 mg (2 equivalents) of PhMe2SiOMe and 10.1 mg (1 equivalent) of acetone were placed in an NMR tube along with 500 µL of deuterated DCM. The first 1H NMR spectrum was recorded. Subsequently, 0.02 equivalents of Cp*Ge+ B(C6F5)4, dissolved in DCM, was added, and a second 1H NMR spectrum was collected approximately 5 min later. Additional 1H NMR spectra were acquired at time intervals of 30 min, 1 h, 3 h, 6 h, 24 h, and 48 h. In some experiments, extra samples were taken and analyzed by GC-MS. The final sample was analyzed by 29Si NMR. 29Si NMR (79.46 MHz, CDCl3): δ = 9.04 ppm (s, SiOMe), δ = −1.05 ppm (s, SiOSi).

3.7. Study of the Reaction MDxM + DMP, Where x = 0, 1, 2, 3, 4

In a typical experiment, 0.446 g (1.0 mmol) of MD4M, 0.5 g (0.32 mL) of dried DCM, and 0.035 g (0.31 mmol) of octane (used as an internal standard) were placed in a small glass vial equipped with a magnetic stirrer and a rubber septum. A time-zero sample was withdrawn through the septum using a hypodermic syringe and analyzed by GC. Next, 100 µL of a 0.05 mol/L solution of Cp*Ge+ B(C6F5)4 (0.01 mmol) in DCM was introduced into the stirred solution at 25 °C via a syringe through the septum, marking the start of the reaction. Samples of the reaction mixture were then withdrawn at specified time intervals using a hypodermic syringe and subjected to GC analysis equipped with a TCD detector. The concentrations of MDxM and other siloxane oligomers were determined using the internal standard method with n-octane. The retention times and the chemical identity of the resulting siloxane oligomers were determined by GC-MS. Their concentrations were analyzed using the internal standard method with n-octane. Molar response factors for the siloxane oligomers were established in separate experiments using MDₓM solutions of known composition. The final sample was analyzed by 29Si NMR. 29Si NMR (79.46 MHz, CDCl3): δ = 18.48 ppm (s, Me3SiOMe), δ = 7.54 ppm (s, MM), δ = 7.2 ppm (m, Me3Si-O-), δ = −1.05 ppm (s, Me2Si(OMe)2), δ = −11.43 ppm (m, MeO-SiMe2-O-), δ = −19.41 ppm (s, (Me2SiO)4), δ = −21.11 ppm (s, (Me2SiO)5), δ = −21.91 ppm (m, -O-SiMe2-O-).

3.8. Theoretical Methods

All electronic structure calculations in this work were carried out using the Gaussian 16 software package [21]. The geometries of the bases and base pair model systems were optimized using the hybrid B3LYP density functional [22] corrected for dispersion interactions using the Grimme D3 empirical term with Becke–Johnson damping [23,24], with the Def2TZVP basis set in the gas phase. This level of theory is denoted as B3LYP-D3BJ/Def2TZVP. The Def2xxVP family of basis sets was chosen because it covers a wide range of elements up to Rn and was proved to give consistent and reliable results [25]. All stationary points were identified as stable minima or transition states by frequency calculations. The vibrational analysis provided thermal enthalpy and entropy corrections at 298 K within the rigid rotor/harmonic oscillator/ideal gas approximation [21]. Thermochemical corrections were scaled by a factor of 0.985, as suggested in (https://comp.chem.umn.edu/freqscale/version3b2.htm, accessed on 25 January 2025). The integration grid was set to ultrafine. The solvation effect was estimated using the implicit solvation model (Conductor-like Polarizable Continuum Model (CPCM)) [26]. For the solution, a correction for the change in the standard state (1 atm→1 mol/L, ΔG°→* = 1.89 kcal/mol) was taken into account. More accurate reference thermochemical calculations were performed using the high-level compound CBS-QB3 method [20].

4. Conclusions

The de-alkoxylation condensation of alkoxy-functional silanes in the presence of a ketone was investigated using GC, 1H NMR, 29Si NMR, and GC-MS. This reaction catalyzed Cp*Ge+ B(C6F5)4. Unlike the previously studied analogous de-alkoxylation of model alkoxysilanes (PhMe2SiOMe) in the presence of an aldehyde, the acetone-assisted process was not quantitative. Instead, it led to the formation of an equilibrium mixture that contained alkoxysilane, the corresponding disiloxane, a ketal (2,2-dimethoxypropane, DMP), and unreacted acetone. Additionally, small amounts of the intermediate mixed ketal, Me2C(OMe)(OSiMe2Ph), were detected by 1H NMR and GC-MS.
For the ketone-assisted de-alkoxylation reaction to be reversible, the cleavage of the siloxane bond by a ketal molecule in the presence of catalytic amounts of Cp*Ge+ B(C6F5)4 must be possible. Indeed, the cleavage of hexamethyldisiloxane (MM) by DMP was confirmed under these conditions. This study was further extended to investigate the reactions of short linear trimethylsilyl-terminated siloxanes (MDM, MD2M, MD3M, and MD4M) with DMP. It was determined that the terminal siloxane bond was the most reactive, which led to the excess formation of methoxy-functional oligosiloxane (MDxOMe), where x = 0, 1, 2, 3, 4, and Me3SiOMe at the onset of the process. Over time, the concentration of this kinetic oligosiloxane product decreased due to subsequent siloxane bond disproportionation reactions and acetone-assisted de-alkoxylation reaction, which were also catalyzed by Cp*Ge+ B(C6F5)4. The 29Si NMR spectrum of the final mixture indicates the presence of an equilibrium mixture that consisted of trimethylsilyl-terminated and alkoxy-terminated linear oligosiloxanes, as well as Me3SiOMe; MM; and cyclic siloxanes, such as D4 and D5.
Based on experimental results and quantum chemical calculations using DFT and CBS-QB3 methods, a mechanism for the ketone-assisted de-alkoxylation process was proposed. The reaction involves nucleophilic attack by the alkoxysilane on the carbonyl carbon of the ketone, which is activated through interaction with Cp*Ge+ B(C6F5)4. The resulting mixed ketal undergoes a subsequent nucleophilic substitution reaction by a second alkoxysilane molecule, leading to the formation of disiloxane and a ketal molecule. The reverse reaction, in which the siloxane oxygen performs a nucleophilic attack on the ketal carbon within the ketal–Cp*Ge+ B(C6F5)4 complex, ultimately results in the cleavage of the siloxane bond.
The presented findings indicate that the acetone-assisted de-alkoxylation reaction may have potential applications in controlling the crosslinking of alkoxy-functional siloxane resins, as well as in promoting degradation of the siloxane network upon addition of DMP in the presence of a catalytic amount of Cp*Ge+ B(C6F5)4.

Supplementary Materials

The following supporting information can be downloaded from https://www.mdpi.com/article/10.3390/molecules30143005/s1. Figure S1. GCMS analysis of the reaction mixture that contained 2 equivalents of PhMe2SiOMe, 1 equivalent of acetone, and 0.01 equivalents Cp*Ge+B(C6F5)4, completed after 3 days of reaction. Figure S2. MS fragmentation pattern of the signals assigned to 2,2-dimethoxypropane (Rt = 3.1 min) and 2-methoxy-2-dimethylphenylsiloxypropane (Rt = 14.9 min). Figure S3. 29Si NMR spectrum of the reaction mixture that contained 2 equivalents of PhMe2SiOEt, 1 equivalent of acetone, and 0.01 equivalents Cp*Ge+B(C6F5)4, recorded after 48 h of reaction. Figure S4. GC/MS analysis with peak assignments of the reaction of [MD4M] = 1.2 mol/L with [DMP] = 1.2 mol/L in the presence of [Cp*Ge+B(C6F5)4] = 0.0092 mol/L at t = 24 h. Figure S5. Substrate conversion and products formation versus time for the reaction of [MD3M] = 1.1 mol/L with [DMP] = 1.1 mol/L in the presence of [Cp*Ge+ B(C6F5)4] = 0.0092 mol/L. Solid lines represent MDXM oligomers; dashed lines represent MDxOMe oligomers. Figure S6. Substrate conversion and products formation versus time for the reaction of [MD2M] = 1.2 mol/L with [DMP] = 1.2 mol/L in the presence of [Cp*Ge+B(C6F5)4] = 0.0088 mol/L. Solid lines represent MDXM oligomers; dashed lines represent MDxOMe oligomers. Figure S7. Substrate conversion and products formation versus time for the reaction of [MDM] = 0.98 mol/L with [DMP] = 1.09 mol/L in the presence of [Cp*Ge+B(C6F5)4] = 0.0095 mol/L. Solid lines represent MDXM oligomers; dashed lines represent MDxOMe oligomers. Figure S8. Calculated structures of the stationary points and the transition states of the de-alkoxylation reaction catalyzed by CpGe+. Colors of elements: white—H, grey—C, steel grey—Si, darker steel grey—Ge, red—O. Figure S9. Comparison of the 1H NMR spectrum of CpGe+ B(C6F5)4 with that of a mixture that contained 1 equivalent of CpGe+ B(C6F5)4 and 100 equivalents of DMP.

Author Contributions

Conceptualization, S.R.; methodology, S.R. and M.C.; validation, S.R., M.C., U.M., M.K. and J.K.; formal analysis, S.R., M.C., U.M. and M.K.; investigation, M.C., U.M., M.K. and J.K.; resources, S.R. and U.M.; data collection, U.M., M.K., J.K. and M.C.; writing—original draft preparation, S.R. and M.C.; writing—review and editing, S.R., M.C., U.M. and M.K.; supervision, S.R.; project administration, S.R. and U.M.; funding acquisition, S.R. All authors have read and agreed to the published version of the manuscript.

Funding

This research was funded by Wacker Chemie AG, Munich, Germany.

Institutional Review Board Statement

Not applicable.

Informed Consent Statement

Not applicable.

Data Availability Statement

The data presented in this study are available on request from the corresponding author.

Acknowledgments

This paper is dedicated to Julian Chojnowski on the occasion of his 90th birthday. The authors thank Wolfram Schindler and Niklas Kinzel (Wacker Chemie AG) for valuable discussions and suggestions. The authors thank Wacker Chemie AG for the support and donation of the Cp*Ge+ B(C6F5)4 catalyst. MC gratefully acknowledges the Polish high-performance computing infrastructure PLGrid (HPC Center: ACK Cyfronet AGH) for providing computer facilities and support within computational grant no. PLG/2024/017314. Purchase of the Avance Neo 400 NMR spectrometer, used to obtain results included in this publication, was supported by the funds from the EU Regional Operational Program of the Lodz Region, (RPLD.01.01.00-10-0008/18).

Conflicts of Interest

The authors declare no conflicts of interest.

Correction Statement

This article has been republished with a minor correction to the Acknowledgments. This change does not affect the scientific content of the article.

References

  1. Rubinsztajn, S.; Mizerska, U.; Kurjata, J.; Kwiatkowska, M.; Cypryk, M. Aldehyde-assisted alkoxysilane condensation to form siloxane bond: A new process for curing alkoxy-functional silicone resins. Molecules 2025, 30, 714. [Google Scholar] [CrossRef] [PubMed]
  2. Jutzi, P.; Hielscher, B. Preparation of tin and germanium metallocenes from tetravalent precursors. Organometallics 1986, 5, 1201–1204. [Google Scholar] [CrossRef]
  3. Jutzi, P. Cyclopentadienyl complexes with main-group elements as central atoms—A decade of research. J. Organomet. Chem. 1990, 400, 1–17. [Google Scholar] [CrossRef]
  4. Jutzi, P. The Pentamethylcyclopentadienylsilicon (II) Cation: Synthesis, characterization, and reactivity. Chem. Eur. J. 2014, 20, 9192–9207. [Google Scholar] [CrossRef] [PubMed]
  5. Piorecka, K. Cyclopentadienyl coordinated cationic compounds of group 14 important in catalysis. Coord. Chem. Rev. 2025, 539, 216749. [Google Scholar] [CrossRef]
  6. Fritz-Langhals, E. Silicon (II) Cation Cp* Si:+ X–: A new class of efficient catalysts in organosilicon chemistry. Org. Process Res. Dev. 2019, 23, 2369–2377. [Google Scholar] [CrossRef]
  7. Fritz-Langhals, E.; Werge, S.; Kneissl, S.; Piroutek, P. Novel Si (II)+ and Ge (II)+ Compounds as efficient catalysts in organosilicon chemistry: Siloxane coupling reaction. Org. Process Res. Dev. 2020, 24, 1484–1495. [Google Scholar] [CrossRef]
  8. Fritz-Langhals, E. Main Group Catalysis: Cationic Si (II) and Ge (II) compounds as catalysts in organosilicon chemistry. Reactions 2021, 2, 442–456. [Google Scholar] [CrossRef]
  9. Fritz-Langhals, E. Process of preparing siloxane. WO2022037793A1, 21 August 2020. [Google Scholar]
  10. Fritz-Langhals, E. Process for preparing siloxanes. U.S. Patent US20230287018A1, 14 September 2023. [Google Scholar]
  11. Vijayraghavan, S.; Saini, N. Aldehyde-associated mutagenesis—Current state of knowledge. Chem. Res. Toxicol. 2023, 36, 983–1001. [Google Scholar] [CrossRef] [PubMed]
  12. LoPachin, R.M.; Gavin, T. Molecular mechanisms of aldehyde toxicity: A chemical perspective. Chem. Res. Toxicol. 2014, 27, 1081–1091. [Google Scholar] [CrossRef] [PubMed]
  13. Patnaik, P. A Comprehensive Guide to the Hazardous Properties of Chemical Substances; John Wiley & Sons: Hoboken, NJ, USA, 2007. [Google Scholar]
  14. Williams, E.A.; Cargioli, J.D. Silicon-29 NMR spectroscopy. Annu. Rep. NMR Spectrosc. 1979, 9, 221–318. [Google Scholar]
  15. Kintzinger, J.P.; Marsmann, H.; Marsmann, H. 29si-Nmr Spectroscopic Results. In Oxygen-17 and Silicon-29; Springer: Berlin/Heidelberg, Germany, 1981; pp. 65–235. [Google Scholar]
  16. Smith, M.B. March’s Advanced Organic Chemistry: Reactions, Mechanisms, and Structure; John Wiley & Sons: Hoboken, NJ, USA, 2020. [Google Scholar]
  17. Carey, F.A.; Sundberg, R.J. Advanced Organic Chemistry: Part a: Structure and Mechanisms; Springer Science & Business Media: New York, NJ, USA, 2007. [Google Scholar]
  18. Noll, W. Chemistry and Technology of Silicones; Elsevier: Amsterdam, The Netherlands, 2012. [Google Scholar]
  19. Chojnowski, J.; Scibiorek, M. Cationic polymerization of siloxanes kinetically controlled oligomerization in hexamethylcyclotrisiloxane–linear dimethylsiloxane systems. Die Makromol. Chem. Macromol. Chem. Phys. 1976, 177, 1413–1431. [Google Scholar] [CrossRef]
  20. Montgomery Jr, J.A.; Frisch, M.J.; Ochterski, J.W.; Petersson, G.A. A complete basis set model chemistry. VI. Use of density functional geometries and frequencies. Chem. Phys. 1999, 110, 2822–2827. [Google Scholar] [CrossRef]
  21. Frisch, M.E.; Trucks, G.W.; Schlegel, H.B.; Scuseria, G.E.; Robb, M.; Cheeseman, J.R.; Scalmani, G.; Barone, V.P.; Petersson, G.A.; Nakatsuji, H.J.R.A.; et al. Gaussian 16 Rev. C.01; Gaussian, Inc.: Wallingford, CT, USA, 2016. [Google Scholar]
  22. Becke, A.D. Density-functional thermochemistry. III. the role of exact exchange. J. Chem. Phys. 1993, 98, 5648–5652. [Google Scholar] [CrossRef]
  23. Grimme, S.; Antony, J.; Ehrlich, S.; Krieg, H. A consistent and accurate ab initio parametrization of density functional dispersion correction (DFT-D) for the 94 elements H-Pu. J. Chem. Phys. 2010, 132, 154104/1–154104/19. [Google Scholar] [CrossRef] [PubMed]
  24. Grimme, S.; Ehrlich, S.; Goerigk, L. Effect of the damping function in dispersion corrected density functional theory. J. Comput. Chem. 2011, 32, 1456–1465. [Google Scholar] [CrossRef] [PubMed]
  25. Weigend, F.; Ahlrichs, R. Balanced basis sets of split valence, triple zeta valence and quadruple zeta valence quality for H to Rn: Design and assessment of accuracy. Phys. Chem. Chem. Phys. 2005, 7, 3297–3305. [Google Scholar] [CrossRef] [PubMed]
  26. Barone, V.; Cossi, M. Quantum calculation of molecular energies and energy gradients in solution by a conductor solvent model. J. Phys. Chem. A 1998, 102, 1995–2001. [Google Scholar] [CrossRef]
Figure 1. 1H NMR spectrum of the reaction mixture that contained 2 equivalents of PhMe2SiOMe, 1 equivalent of acetone, and 0.02 equivalents of Cp*Ge+ B(C6F5)4, as recorded after 24 h of reaction.
Figure 1. 1H NMR spectrum of the reaction mixture that contained 2 equivalents of PhMe2SiOMe, 1 equivalent of acetone, and 0.02 equivalents of Cp*Ge+ B(C6F5)4, as recorded after 24 h of reaction.
Molecules 30 03005 g001
Figure 2. 29Si NMR spectrum of the reaction mixture that contained 2 equivalents of PhMe2SiOMe, 1 equivalent of acetone, and 0.02 equivalents of Cp*Ge+ B(C6F5)4, as recorded after 3 days of reaction.
Figure 2. 29Si NMR spectrum of the reaction mixture that contained 2 equivalents of PhMe2SiOMe, 1 equivalent of acetone, and 0.02 equivalents of Cp*Ge+ B(C6F5)4, as recorded after 3 days of reaction.
Molecules 30 03005 g002
Figure 3. Comparison of alkoxysilane conversion over time in de-alkoxylation reactions: The green dashed line represents the conversion of 2 equivalents of PhMe2SiOMe in its reaction with 1 equivalent of propionaldehyde, catalyzed by 1 mol% of Cp*Ge+ B(C6F5)4 [1]. The red solid line shows the PhMe2SiOMe conversion, while the blue solid line represents the acetone conversion in the de-alkoxylation reaction of 2 equivalents of PhMe2SiOMe with 1 equivalent of acetone, also catalyzed by 1 mol% of Cp*Ge+ B(C6F5)4 in DCM.
Figure 3. Comparison of alkoxysilane conversion over time in de-alkoxylation reactions: The green dashed line represents the conversion of 2 equivalents of PhMe2SiOMe in its reaction with 1 equivalent of propionaldehyde, catalyzed by 1 mol% of Cp*Ge+ B(C6F5)4 [1]. The red solid line shows the PhMe2SiOMe conversion, while the blue solid line represents the acetone conversion in the de-alkoxylation reaction of 2 equivalents of PhMe2SiOMe with 1 equivalent of acetone, also catalyzed by 1 mol% of Cp*Ge+ B(C6F5)4 in DCM.
Molecules 30 03005 g003
Figure 4. Effect of the ketone structure on the rate of PhMe2SiOMe conversion in the de-alkoxylation reactions in the presence of acetone (blue line), acetophenone (red line), and benzophenone (green line): [PhMe2SiOMe] = 1.0 mol/L and [Ketone] = 0.5 mol/L in the presence by 1 mol% of Cp*Ge+ B(C6F5)4 in deuterated DCM.
Figure 4. Effect of the ketone structure on the rate of PhMe2SiOMe conversion in the de-alkoxylation reactions in the presence of acetone (blue line), acetophenone (red line), and benzophenone (green line): [PhMe2SiOMe] = 1.0 mol/L and [Ketone] = 0.5 mol/L in the presence by 1 mol% of Cp*Ge+ B(C6F5)4 in deuterated DCM.
Molecules 30 03005 g004
Scheme 1. CBS-QB3 calculations for the de-alkoxylation reaction of Me3SiOMe in the presence of aldehyde and ketone in DCM.
Scheme 1. CBS-QB3 calculations for the de-alkoxylation reaction of Me3SiOMe in the presence of aldehyde and ketone in DCM.
Molecules 30 03005 sch001
Scheme 2. Proposed two-step de-alkoxylation condensation of alkoxysilanes in the presence of a stoichiometric amount of acetone.
Scheme 2. Proposed two-step de-alkoxylation condensation of alkoxysilanes in the presence of a stoichiometric amount of acetone.
Molecules 30 03005 sch002
Figure 5. 1H NMR spectrum of the reaction mixture that contained 1 mol/L of DMP, 1 mol/L of MM, and 0.01 mol/L of Cp*Ge+ B(C6F5)4, as recorded after 24 h of reaction at RT.
Figure 5. 1H NMR spectrum of the reaction mixture that contained 1 mol/L of DMP, 1 mol/L of MM, and 0.01 mol/L of Cp*Ge+ B(C6F5)4, as recorded after 24 h of reaction at RT.
Molecules 30 03005 g005
Figure 6. 29Si NMR spectrum of the reaction mixture that contained 1 mol/L of DMP, 1 mol/L of MM, and 0.01 mol/L of Cp*Ge+ B(C6F5)4, as recorded after 4 days of reaction at RT.
Figure 6. 29Si NMR spectrum of the reaction mixture that contained 1 mol/L of DMP, 1 mol/L of MM, and 0.01 mol/L of Cp*Ge+ B(C6F5)4, as recorded after 4 days of reaction at RT.
Molecules 30 03005 g006
Scheme 3. Siloxane bond cleavage in MM by DMP in the presence of Cp*Ge+ B(C6F5)4.
Scheme 3. Siloxane bond cleavage in MM by DMP in the presence of Cp*Ge+ B(C6F5)4.
Molecules 30 03005 sch003
Scheme 4. Shorthand notations of silicone units used in this manuscript.
Scheme 4. Shorthand notations of silicone units used in this manuscript.
Molecules 30 03005 sch004
Figure 7. GC analysis of the reaction mixture of [MD4M] = 1.2 mol/L with [DMP] = 1.2 mol/L in the presence of [Cp*Ge+ B(C6F5)4] = 0.0092 mol/L recorded at t = 0, t = 20 min, and t = 240 min.
Figure 7. GC analysis of the reaction mixture of [MD4M] = 1.2 mol/L with [DMP] = 1.2 mol/L in the presence of [Cp*Ge+ B(C6F5)4] = 0.0092 mol/L recorded at t = 0, t = 20 min, and t = 240 min.
Molecules 30 03005 g007
Figure 8. Conversion of MD4M (red dashed line) and DMP (black solid line) versus time in the reaction of [MD4M] = 1.2 mol/L with [DMP] = 1.2 mol/L in the presence of [Cp*Ge+ B(C6F5)4] = 0.0092 mol/L.
Figure 8. Conversion of MD4M (red dashed line) and DMP (black solid line) versus time in the reaction of [MD4M] = 1.2 mol/L with [DMP] = 1.2 mol/L in the presence of [Cp*Ge+ B(C6F5)4] = 0.0092 mol/L.
Molecules 30 03005 g008
Figure 9. Substrate conversion and products formation versus time for the reaction of [MD4M] = 1.2 mol/L with [DMP] = 1.2 mol/L in the presence of [Cp*Ge+ B(C6F5)4] = 0.0092 mol/L. Solid lines represent MDXM oligomers; dashed lines represent MDxOMe oligomers.
Figure 9. Substrate conversion and products formation versus time for the reaction of [MD4M] = 1.2 mol/L with [DMP] = 1.2 mol/L in the presence of [Cp*Ge+ B(C6F5)4] = 0.0092 mol/L. Solid lines represent MDXM oligomers; dashed lines represent MDxOMe oligomers.
Molecules 30 03005 g009
Figure 10. 29Si NMR of the reaction mixture that contained [MD4M] = 1.2 mol/L and [DMP] = 1.2 mol/L in the presence of [Cp*Ge+ B(C6F5)4] = 0.0092 mol/L, as recorded after 7 days of reaction at RT.
Figure 10. 29Si NMR of the reaction mixture that contained [MD4M] = 1.2 mol/L and [DMP] = 1.2 mol/L in the presence of [Cp*Ge+ B(C6F5)4] = 0.0092 mol/L, as recorded after 7 days of reaction at RT.
Molecules 30 03005 g010
Scheme 5. Reactions observed in the system MD4M + DMP in the presence of catalytic amount of Cp*Ge+ B(C6F5)4.
Scheme 5. Reactions observed in the system MD4M + DMP in the presence of catalytic amount of Cp*Ge+ B(C6F5)4.
Molecules 30 03005 sch005
Scheme 6. Relative DFT enthalpies and Gibbs free energies (kcal/mol) for the hypothetical complexes between the linear alkoxy-functional siloxane Me3Si(OSiMe2)3OMe and SiH3+.
Scheme 6. Relative DFT enthalpies and Gibbs free energies (kcal/mol) for the hypothetical complexes between the linear alkoxy-functional siloxane Me3Si(OSiMe2)3OMe and SiH3+.
Molecules 30 03005 sch006
Scheme 7. Proposed mechanism of the ketone-assisted de-alkoxylation reaction in the presence of CpGe+ catalyst.
Scheme 7. Proposed mechanism of the ketone-assisted de-alkoxylation reaction in the presence of CpGe+ catalyst.
Molecules 30 03005 sch007
Figure 11. DFT-calculated Gibbs free energy profile for the reaction between Me3SiOMe and Me2CO catalyzed by CpGe+ in the gas phase. For comparison, the profile for the reaction of Me3SiOMe + EtCHO was reproduced from our previous publication [1].
Figure 11. DFT-calculated Gibbs free energy profile for the reaction between Me3SiOMe and Me2CO catalyzed by CpGe+ in the gas phase. For comparison, the profile for the reaction of Me3SiOMe + EtCHO was reproduced from our previous publication [1].
Molecules 30 03005 g011
Table 1. Comparison of DFT and CBS-QB3 values of enthalpy, Gibbs free energy (kcal/mol), and Keq for key reactions and equilibria in the reaction systems studied.
Table 1. Comparison of DFT and CBS-QB3 values of enthalpy, Gibbs free energy (kcal/mol), and Keq for key reactions and equilibria in the reaction systems studied.
ReactionMethodΔHΔGKeq
(A) EtCHO + 2 Me3SiOMe ⇌ EtCH(OMe)2 + Me3SiOSiMe3DFT a−14.9−1.615
CBS-QB3 b−16.8−6.66 × 104
(B) Me2CO + 2 Me3SiOMe ⇌ Me2C(OMe)2 + Me3SiOSiMe3DFT−9.25.68 × 10−5
CBS-QB3−12.3−0.94.1
(C) CpGe+-EtCHO + Me3SiOMe ⇌ CpGe+-MeOSiMe3 + EtCHODFT−2.3−0.62.7
CBS-QB3−2.9−1.513
(D) CpGe+-Me2CO + Me3SiOMe ⇌ CpGe+-MeOSiMe3 + Me2CODFT−0.21.00.2
CBS-QB3−2.7−1.17
(E) CpGe+-Me2C(OMe)2 + M2 ⇌ CpGe+-M2 + Me2C(OMe)2DFT5.17.53.2 × 10−6
CBS-QB33.44.55 × 10−4
(a) DFT values given for the gas phase conditions (for consistency with the previous report) [1]. (b) CBS-QB3 values given for CH2Cl2 solution (for consistency with the experimental conditions).
Table 2. Relative DFT enthalpies and Gibbs free energies (kcal/mol) of stationary points along the reaction path in the gas phase for the proposed mechanism (sum of the Gibbs free energies of free reactants arbitrarily set to zero).
Table 2. Relative DFT enthalpies and Gibbs free energies (kcal/mol) of stationary points along the reaction path in the gas phase for the proposed mechanism (sum of the Gibbs free energies of free reactants arbitrarily set to zero).
ReactionΔHrelΔGrel
CpGe+ + Me2CO + MeOSiMe3 (free substrates)00
CpGe+–Me2CO + MeOSiMe3−18.7−10.7
CpGe+–MeOSiMe3 + Me2CO−18.9−9.7
I−33.9−12.1
I-TS−7.220.0
II−22.43.5
CpGe+–Me2C(OMe)(OSiMe3) (III)−26.8−0.4
CpGe+ + Me2C(OMe)(OSiMe3) (intermediate)−3.011.5
IV-TS−26.99.1
V−29.64.1
VI-TS−15.925.8
VII−45.1−8.4
VIII, CpGe+–Me2C(OMe)2 + Me3SiOSiMe3−31.9−7.2
CpGe+ + Me2C(OMe)2 + Me3SiOSiMe3 (products)−9.25.6 *
(*) This value was apparently overestimated, as indicated by kinetic data and by calculations using the more accurate CBS-QB3 method. While the computational expense precluded a full CBS-QB3 recalculation of the energy profile, the present DFT values offer a valuable comparison with those previously reported for the analogous reaction with propionaldehyde [1].
Disclaimer/Publisher’s Note: The statements, opinions and data contained in all publications are solely those of the individual author(s) and contributor(s) and not of MDPI and/or the editor(s). MDPI and/or the editor(s) disclaim responsibility for any injury to people or property resulting from any ideas, methods, instructions or products referred to in the content.

Share and Cite

MDPI and ACS Style

Rubinsztajn, S.; Cypryk, M.; Kurjata, J.; Kwiatkowska, M.; Mizerska, U. Ketone-Assisted Alkoxysilane Condensation to Form Siloxane Bonds. Molecules 2025, 30, 3005. https://doi.org/10.3390/molecules30143005

AMA Style

Rubinsztajn S, Cypryk M, Kurjata J, Kwiatkowska M, Mizerska U. Ketone-Assisted Alkoxysilane Condensation to Form Siloxane Bonds. Molecules. 2025; 30(14):3005. https://doi.org/10.3390/molecules30143005

Chicago/Turabian Style

Rubinsztajn, Sławomir, Marek Cypryk, Jan Kurjata, Małgorzata Kwiatkowska, and Urszula Mizerska. 2025. "Ketone-Assisted Alkoxysilane Condensation to Form Siloxane Bonds" Molecules 30, no. 14: 3005. https://doi.org/10.3390/molecules30143005

APA Style

Rubinsztajn, S., Cypryk, M., Kurjata, J., Kwiatkowska, M., & Mizerska, U. (2025). Ketone-Assisted Alkoxysilane Condensation to Form Siloxane Bonds. Molecules, 30(14), 3005. https://doi.org/10.3390/molecules30143005

Article Metrics

Back to TopTop