Towards Understanding the Basis of Brucella Antigen–Antibody Specificity
Abstract
1. Introduction
2. Results
2.1. Docking Analysis
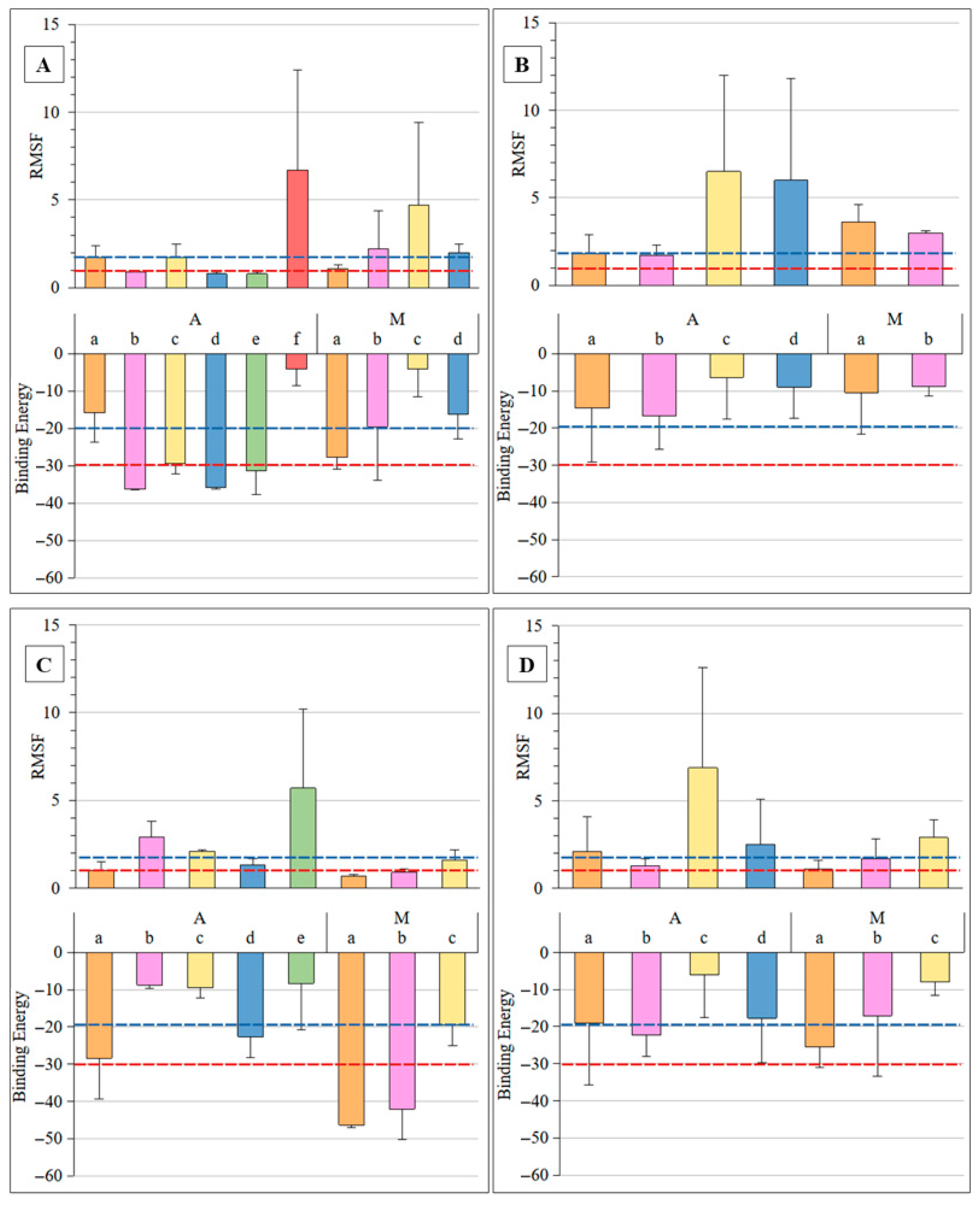
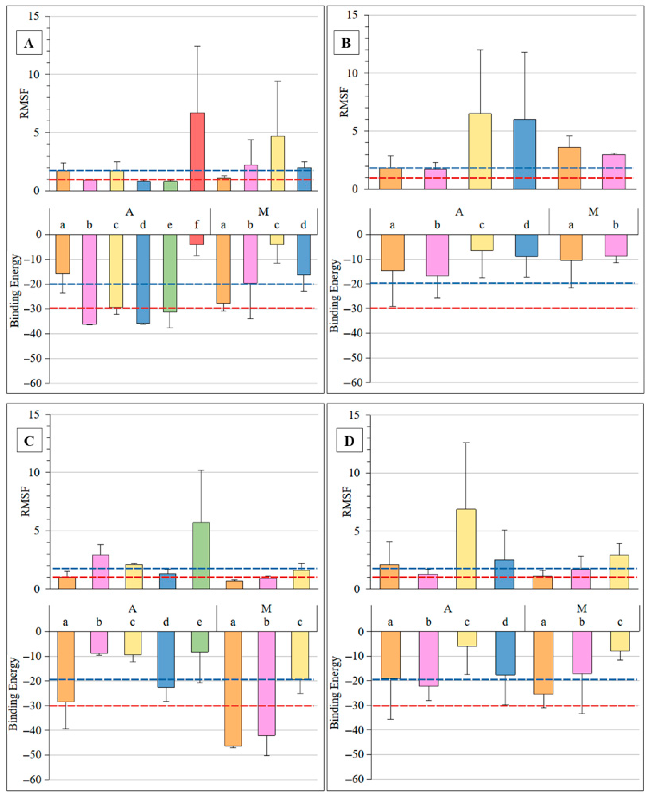
2.2. Ligand Stability
2.3. Interaction Energies
2.4. Binding Modes
2.5. Contribution to Binding from the Perspective of the Antibody
2.6. Contribution to Binding from the Perspective of the Antigen
2.7. Comparison of Preferred Binding Modes with Experimental Epitope Binding Data
3. Discussion
4. Methods
4.1. Brucella A and M Specific mAbs
4.1.1. Monoclonal Antibodies
4.1.2. Sequencing of mAbs
4.2. Modeling
4.2.1. Structure Preparation
4.2.2. Docking and Clustering
4.2.3. Molecular Dynamics (MD) Simulations
4.2.4. Simulation Data Analysis
5. Conclusions
Supplementary Materials
Author Contributions
Funding
Institutional Review Board Statement
Informed Consent Statement
Data Availability Statement
Conflicts of Interest
Abbreviations
| PS | Polysaccharide |
| mAb | Monoclonal Antibody |
| Rha4NFo | 4-formamido-4,6-dideoxy-⍺-D-mannopyrannose |
| GMQE | Global Model Quality Estimate |
| CDR | Complementarity-Determining Region |
| MMTSB | Multiscale Modeling Tools for Structural Biology |
| RMSF | Root Mean Square Fluctuation |
| RMSD | Root Mean Square Deviation |
| MD | Molecular Dynamics |
| MM | Molecular Mechanics |
| GBSA | Generalized Born and Surface Area |
References
- Maudlin, I.; Weber, S. The Control of Neglected Zoonotic Diseases: A Route to Poverty Alleviation; WHO/SDE/FOS/2006.1; World Health Organization: Geneva, Switzerland, 2006; p. 83. [Google Scholar]
- Corbel, M.J. Brucellosis in Humans and Animals; World Health Organization: Geneva, Switzerland, 2006. [Google Scholar]
- Wilson, G.; Miles, A. The serological differentiation of smooth strains of the Brucella group. Br. J. Exp. Pathol. 1932, 13, 1–13. [Google Scholar]
- Nielsen, K. Diagnosis of brucellosis by serology. Vet. Microbiol. 2002, 90, 447–459. [Google Scholar] [CrossRef]
- Miles, A.A.; Pirie, N.W. The properties of antigenic preparations from Brucella melitensis: The hydrolysis of the formamino linkage. Biochem. J. 1939, 33, 1709–1715. [Google Scholar] [CrossRef] [PubMed]
- Miles, A.A.; Pirie, N.W. The properties of antigenic preparations from Brucella melitensis: Hydrolysis and acetylation of the amino-polyhydroxy compound derived from the antigen. With an Addendum by J. St L. Philpot. Biochem. J. 1939, 33, 1716–1726. [Google Scholar] [CrossRef] [PubMed]
- Caroff, M.; Bundle, D.; Perry, M.; Cherwonogrodzky, J.; Duncan, J. Antigenic S-type lipopolysaccharide of Brucella abortus 1119-3. Infect. Immun. 1984, 46, 384–388. [Google Scholar] [CrossRef]
- Bundle, D.R.; Cherwonogrodzky, J.; Perry, M.B. Structural elucidation of the Brucella melitensis M antigen by high-resolution NMR at 500 MHz. Biochemistry 1987, 26, 8717–8726. [Google Scholar] [CrossRef]
- Meikle, P.J.; Perry, M.B.; Cherwonogrodzky, J.; Bundle, D. Fine structure of A and M antigens from Brucella biovars. Infect. Immun. 1989, 57, 2820–2828. [Google Scholar] [CrossRef] [PubMed]
- Kubler-Kielb, J.; Vinogradov, E. Reinvestigation of the structure of Brucella O-antigens. Carbohydr. Res. 2013, 378, 144–147. [Google Scholar] [CrossRef]
- Zaccheus, M.V.; Ali, T.; Cloeckaert, A.; Zygmunt, M.S.; Weintraub, A.; Iriarte, M.; Moriyón, I.; Widmalm, G. The epitopic and structural characterization of Brucella suis biovar 2 O-polysaccharide demonstrates the existence of a new M-negative C-negative smooth Brucella serovar. PLoS ONE 2013, 8, e53941. [Google Scholar] [CrossRef]
- Zygmunt, M.S.; Bundle, D.R.; Ganesh, N.V.; Guiard, J.; Cloeckaert, A. Monoclonal antibody-defined specific C epitope of Brucella O-polysaccharide revisited. Clin. Vaccine Immunol. 2015, 22, 979–982. [Google Scholar] [CrossRef]
- Bundle, D.R.; Gidney, M.; Perry, M.; Duncan, J.; Cherwonogrodzky, J. Serological confirmation of Brucella abortus and Yersinia enterocolitica O: 9 O-antigens by monoclonal antibodies. Infect. Immun. 1984, 46, 389–393. [Google Scholar] [CrossRef]
- Ganesh, N.V.; Sadowska, J.M.; Sarkar, S.; Howells, L.; McGiven, J.; Bundle, D.R. Molecular recognition of Brucella A and M antigens dissected by synthetic oligosaccharide glycoconjugates leads to a disaccharide diagnostic for brucellosis. J. Am. Chem. Soc. 2014, 136, 16260–16269. [Google Scholar] [CrossRef]
- Bundle, D.; Cherwonogrodzky, J.; Gidney, M.; Meikle, P.; Perry, M.; Peters, T. Definition of Brucella A and M epitopes by monoclonal typing reagents and synthetic oligosaccharides. Infect. Immun. 1989, 57, 2829–2836. [Google Scholar] [CrossRef] [PubMed]
- Guiard, J.; Paszkiewicz, E.; Sadowska, J.; Bundle, D.R. Design and synthesis of a universal antigen to detect brucellosis. Angew. Chem. Int. Ed. 2013, 52, 7181–7185. [Google Scholar] [CrossRef] [PubMed]
- Mandal, S.S.; Ganesh, N.V.; Sadowska, J.M.; Bundle, D.R. Synthetic glycoconjugates characterize the fine specificity of Brucella A and M monoclonal antibodies. Org. Biomol. Chem. 2017, 15, 3874–3883. [Google Scholar] [CrossRef]
- Rose, D.R.; Przybylska, M.; To, R.J.; Kayden, C.S.; Vorberg, E.; Young, N.M.; Bundle, D.R.; Oomen, R.P. Crystal structure to 2.45 Å resolution of a monoclonal Fab specific for the Brucella A cell wall polysaccharide antigen. Protein Sci. 1993, 2, 1106–1113. [Google Scholar] [CrossRef]
- Oomen, R.P.; Young, N.M.; Bundle, D.R. Molecular modeling of antibody–antigen complexes between the Brucella abortus O-chain polysaccharide and a specific monoclonal antibody. Protein Eng. Des. Sel. 1991, 4, 427–433. [Google Scholar] [CrossRef] [PubMed]
- Amon, R.; Grant, O.C.; Leviatan Ben-Arye, S.; Makeneni, S.; Nivedha, A.K.; Marshanski, T.; Norn, C.; Yu, H.; Glushka, J.N.; Fleishman, S.J.; et al. A combined computational-experimental approach to define the structural origin of antibody recognition of sialyl-Tn, a tumor-associated carbohydrate antigen. Sci. Rep. 2018, 8, 10786. [Google Scholar] [CrossRef]
- Vyas, N.K.; Vyas, M.N.; Chervenak, M.C.; Johnson, M.A.; Pinto, B.M.; Bundle, D.R.; Quiocho, F.A. Molecular Recognition of Oligosaccharide Epitopes by a Monoclonal Fab Specific for Shigella flexneri Y Lipopolysaccharide: X-ray Structures and Thermodynamics. Biochemistry 2002, 41, 13575–13586. [Google Scholar] [CrossRef]
- Li, X.; Grant, O.C.; Ito, K.; Wallace, A.; Wang, S.; Zhao, P.; Wells, L.; Lu, S.; Woods, R.J.; Sharp, J.S. Structural Analysis of the Glycosylated Intact HIV-1 gp120–b12 Antibody Complex Using Hydroxyl Radical Protein Footprinting. Biochemistry 2017, 56, 957–970. [Google Scholar] [CrossRef]
- Kenne, L.; Unger, P.; Wehler, T. Synthesis and nuclear magnetic resonance studies of some N-acylated methyl 4-amino-4,6-dideoxy-α-D-mannopyranosides. J. Chem. Soc. Perkin Trans. 1 1988, 5, 1183–1186. [Google Scholar] [CrossRef]
- Sood, A.; Gerlits, O.O.; Ji, Y.; Bovin, N.V.; Coates, L.; Woods, R.J. Defining the Specificity of Carbohydrate-Protein Interactions by Quantifying Functional Group Contributions. J. Chem. Inf. Model. 2018, 58, 1889–1901. [Google Scholar] [CrossRef] [PubMed]
- Hudson, K.L.; Bartlett, G.J.; Diehl, R.C.; Agirre, J.; Gallagher, T.; Kiessling, L.L.; Woolfson, D.N. Carbohydrate–Aromatic Interactions in Proteins. J. Am. Chem. Soc. 2015, 137, 15152–15160. [Google Scholar] [CrossRef]
- Cygler, M.; Rose, D.R.; Bundle, D.R. Recognition of a cell-surface oligosaccharide of pathogenic Salmonella by an antibody Fab fragment. Science 1991, 253, 442–445. [Google Scholar] [CrossRef] [PubMed]
- Jeffrey, P.D.; Bajorath, J.; Chang, C.Y.; Yelton, D.; Hellström, I.; Hellström, K.E.; Sheriff, S. The x-ray structure of an anti-tumour antibody in complex with antigen. Nat. Struct. Biol. 1995, 2, 466–471. [Google Scholar] [CrossRef] [PubMed]
- Vyas, N.K. Atomic features of protein-carbohydrate interactions. Curr. Opin. Struct. Biol. 1991, 1, 732–740. [Google Scholar] [CrossRef]
- Caroff, M.; Bundle, D.R.; Perry, M.B. Structure of the O-chain of the phenol-phase soluble cellular lipopolysaccharide of Yersinia enterocolitica serotype O: 9. Eur. J. Biochem. 1984, 139, 195–200. [Google Scholar] [CrossRef]
- Waterhouse, A.; Bertoni, M.; Bienert, S.; Studer, G.; Tauriello, G.; Gumienny, R.; Heer, F.T.; de Beer, T.A.P.; Rempfer, C.; Bordoli, L.; et al. SWISS-MODEL: Homology modelling of protein structures and complexes. Nucleic Acids Res. 2018, 46, W296–W303. [Google Scholar] [CrossRef]
- Grant, O.C.; Wentworth, D.; Holmes, S.G.; Kandel, R.; Sehnal, D.; Wang, X.; Xiao, Y.; Sheppard, P.; Grelsson, T.; Coulter, A.; et al. Generating 3D Models of Carbohydrates with GLYCAM-Web. BioRxiv 2025. [Google Scholar] [CrossRef]
- Pettersen, E.F.; Goddard, T.D.; Huang, C.C.; Couch, G.S.; Greenblatt, D.M.; Meng, E.C.; Ferrin, T.E. UCSF Chimera—A visualization system for exploratory research and analysis. J. Comput. Chem. 2004, 25, 1605–1612. [Google Scholar] [CrossRef]
- Morris, G.M.; Huey, R.; Lindstrom, W.; Sanner, M.F.; Belew, R.K.; Goodsell, D.S.; Olson, A.J. AutoDock4 and AutoDockTools4: Automated Docking with Selective Receptor Flexibility. J. Comput. Chem. 2009, 30, 2785–2791. [Google Scholar] [CrossRef]
- Nivedha, A.K.; Thieker, D.F.; Hu, H.; Woods, R.J. Vina-Carb: Improving Glycosidic Angles during Carbohydrate Docking. J. Chem. Theory Comput. 2016, 12, 892–901. [Google Scholar] [CrossRef] [PubMed]
- Nivedha, A.K.; Makeneni, S.; Foley, B.L.; Tessier, M.B.; Woods, R.J. Importance of ligand conformational energies in carbohydrate docking: Sorting the wheat from the chaff. J. Comput. Chem. 2014, 35, 526–539. [Google Scholar] [CrossRef]
- Feig, M.; Karanicolas, J.; Brooks, C.L. MMTSB Tool Set: Enhanced sampling and multiscale modeling methods for applications in structural biology. J. Mol. Graph. Model. 2004, 22, 377–395. [Google Scholar] [CrossRef]
- Wang, J.; Wolf, R.M.; Caldwell, J.W.; Kollman, P.A.; Case, D.A. Development and testing of a general amber force field. J. Comput. Chem. 2004, 25, 1157–1174. [Google Scholar] [CrossRef]
- Maier, J.A.; Martinez, C.; Kasavajhala, K.; Wickstrom, L.; Hauser, K.E.; Simmerling, C. ff14SB: Improving the accuracy of protein side chain and backbone parameters from ff99SB. J. Chem. Theory Comput. 2015, 11, 3696–3713. [Google Scholar] [CrossRef] [PubMed]
- Kirschner, K.N.; Yongye, A.B.; Tschampel, S.M.; González-Outeiriño, J.; Daniels, C.R.; Foley, B.L.; Woods, R.J. GLYCAM06: A generalizable biomolecular force field. Carbohydrates. J. Comput. Chem. 2008, 29, 622–655. [Google Scholar] [CrossRef] [PubMed]
- Mahoney, M.W.; Jorgensen, W.L. A five-site model for liquid water and the reproduction of the density anomaly by rigid, nonpolarizable potential functions. J. Chem. Phys. 2000, 112, 8910–8922. [Google Scholar] [CrossRef]
- Fadda, E.; Woods, R.J. On the Role of Water Models in Quantifying the Binding Free Energy of Highly Conserved Water Molecules in Proteins: The Case of Concanavalin A. J. Chem. Theory Comput. 2011, 7, 3391–3398. [Google Scholar] [CrossRef]
- Case, D.A.; Babin, V.; Berryman, J.T.; Betz, R.M.; Cai, Q.; Cerutti, D.S.; Cheatham, T.E., III; Darden, T.A.; Duke, R.E.; Gohlke, H.; et al. AMBER14; University of California: San Francisco, CA, USA, 2014. [Google Scholar]
- Roe, D.R.; Brooks, B.R. A protocol for preparing explicitly solvated systems for stable molecular dynamics simulations. J. Chem. Phys. 2020, 153, 054123. [Google Scholar] [CrossRef]
- Roe, D.R.; Cheatham, T.E., III. PTRAJ and CPPTRAJ: Software for Processing and Analysis of Molecular Dynamics Trajectory Data. J. Chem. Theory Comput. 2013, 9, 3084–3095. [Google Scholar] [CrossRef] [PubMed]
- Michaud-Agrawal, N.; Denning, E.J.; Woolf, T.B.; Beckstein, O. MDAnalysis: A toolkit for the analysis of molecular dynamics simulations. J. Comput. Chem. 2011, 32, 2319–2327. [Google Scholar] [CrossRef] [PubMed]
- Miller, B.R., III; McGee, T.D., Jr.; Swails, J.M.; Homeyer, N.; Gohlke, H.; Roitberg, A.E. MMPBSA.py: An Efficient Program for End-State Free Energy Calculations. J. Chem. Theory Comput. 2012, 8, 3314–3321. [Google Scholar] [CrossRef]
- Onufriev, A.; Bashford, D.; Case, D.A. Exploring protein native states and large-scale conformational changes with a modified generalized born model. Proteins 2004, 55, 383–394. [Google Scholar] [CrossRef]







Disclaimer/Publisher’s Note: The statements, opinions and data contained in all publications are solely those of the individual author(s) and contributor(s) and not of MDPI and/or the editor(s). MDPI and/or the editor(s) disclaim responsibility for any injury to people or property resulting from any ideas, methods, instructions or products referred to in the content. |
© 2025 by the authors. Licensee MDPI, Basel, Switzerland. This article is an open access article distributed under the terms and conditions of the Creative Commons Attribution (CC BY) license (https://creativecommons.org/licenses/by/4.0/).
Share and Cite
Sood, A.; Bundle, D.R.; Woods, R.J. Towards Understanding the Basis of Brucella Antigen–Antibody Specificity. Molecules 2025, 30, 2906. https://doi.org/10.3390/molecules30142906
Sood A, Bundle DR, Woods RJ. Towards Understanding the Basis of Brucella Antigen–Antibody Specificity. Molecules. 2025; 30(14):2906. https://doi.org/10.3390/molecules30142906
Chicago/Turabian StyleSood, Amika, David R. Bundle, and Robert J. Woods. 2025. "Towards Understanding the Basis of Brucella Antigen–Antibody Specificity" Molecules 30, no. 14: 2906. https://doi.org/10.3390/molecules30142906
APA StyleSood, A., Bundle, D. R., & Woods, R. J. (2025). Towards Understanding the Basis of Brucella Antigen–Antibody Specificity. Molecules, 30(14), 2906. https://doi.org/10.3390/molecules30142906

