Exploring Multivalent Architectures for Binding and Stabilization of N-Acetylgalactosamine 6-Sulfatase
Abstract
1. Introduction
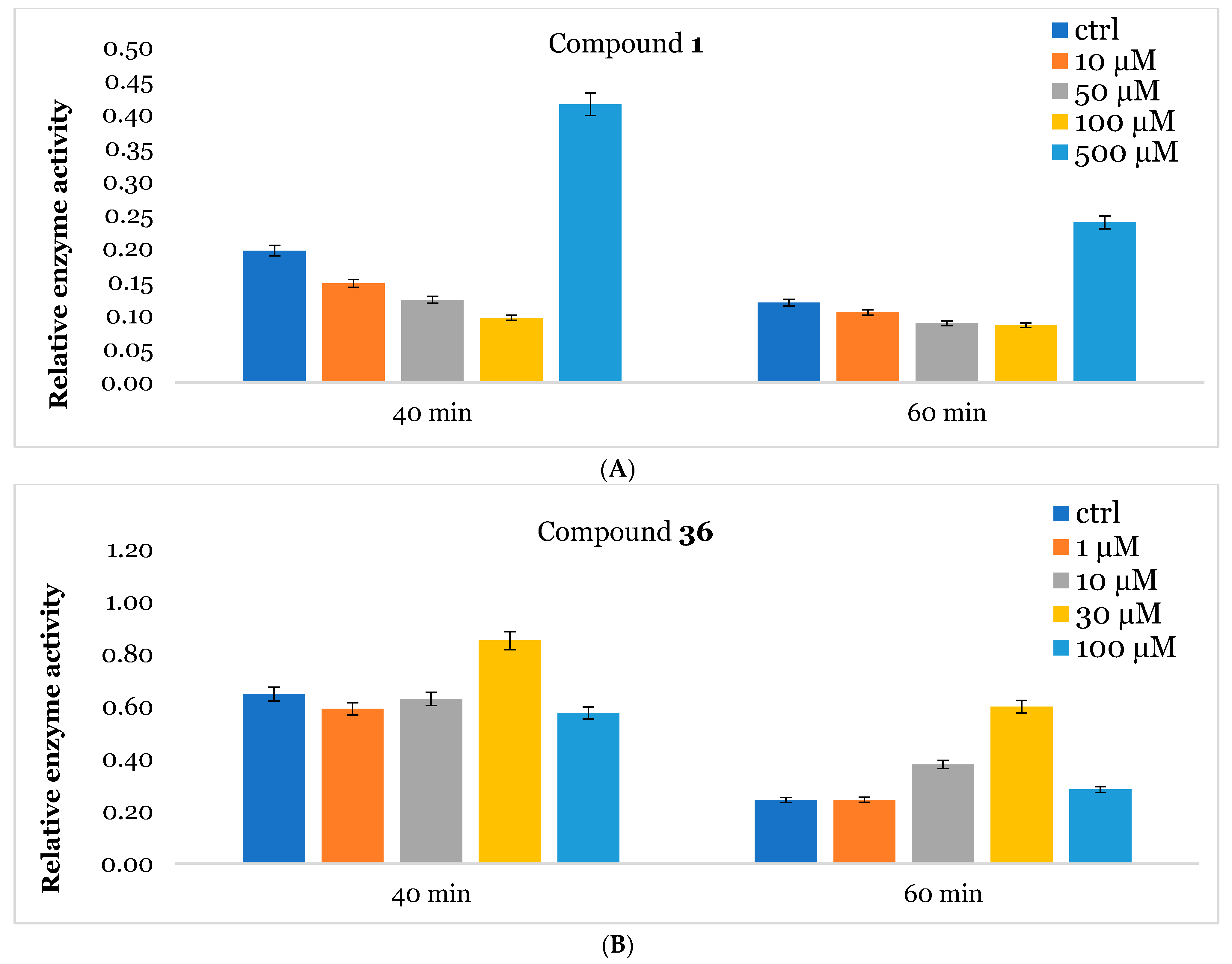
2. Results and Discussion
3. Biological Screening
4. Conclusions
Supplementary Materials
Author Contributions
Funding
Institutional Review Board Statement
Informed Consent Statement
Data Availability Statement
Acknowledgments
Conflicts of Interest
References
- Wittmann, V.; Pieters, R.J. Bridging lectin binding sites by multivalent carbohydrates. Chem. Soc. Rev. 2013, 42, 4492–4503. [Google Scholar] [CrossRef] [PubMed]
- Cecioni, S.; Imberty, A.; Vidal, S. Glycomimetics versus multivalent glycoconjugates for the design of high affinity lectin ligands. Chem. Rev. 2015, 115, 525–561. [Google Scholar] [CrossRef] [PubMed]
- Choi, S.-K. Synthetic Multivalent Molecules: Concepts and Biomedical Applications; Wiley: Hoboken, NJ, USA, 2004; ISBN 978-0-471-57770-6. [Google Scholar]
- González-Cuesta, M.; Ortiz Mellet, C.; García Fernández, J.M. Carbohydrate supramolecular chemistry: Beyond the multivalent effect. Chem. Commun. 2020, 56, 5207–5222. [Google Scholar] [CrossRef]
- Leslie, K.G.; Berry, S.S.; Miller, G.J.; Mahon, C.S. Sugar-Coated: Can Multivalent Glycoconjugates Improve upon Nature’s Design? J. Am. Chem. Soc. 2024, 146, 27215–27232. [Google Scholar] [CrossRef]
- Diot, J.; García-Moreno, M.I.; Gouin, S.G.; Ortiz Mellet, C.; Haupt, K.; Kovensky, J. Multivalent iminosugars to modulate affinity and selectivity for glycosidases. Org. Biomol. Chem. 2009, 7, 357–363. [Google Scholar] [CrossRef]
- Kanfar, N.; Bartolami, E.; Zelli, R.; Marra, A.; Winum, J.-Y.; Ulrich, S.; Dumy, P. Emerging trends in enzyme inhibition by multivalent nanoconstructs. Org. Biomol. Chem. 2015, 13, 9894–9906. [Google Scholar] [CrossRef]
- Peracha, H.; Sawamoto, K.; Averill, L.; Kecskemethy, H.; Theroux, M.; Thacker, M.; Nagao, K.; Pizarro, C.; Mackenzie, W.; Kobayashi, H.; et al. Molecular genetics and metabolism, special edition: Diagnosis, diagnosis and prognosis of Mucopolysaccharidosis IVA. Mol. Genet. Metab. 2018, 125, 18–37. [Google Scholar] [CrossRef]
- Algahim, M.F.; Almassi, G.H. Current and emerging management options for patients with Morquio A syndrome. Ther. Clin. Risk Manag. 2013, 9, 45–53. [Google Scholar]
- Solanki, G.A.; Martin, K.W.; Theroux, M.C.; Lampe, C.; White, K.K.; Shediac, R.; Lampe, C.G.; Beck, M.; Mackenzie, W.G.; Hendriksz, C.J.; et al. Spinal involvement in mucopolysaccharidosis IVA (Morquio-Brailsford or Morquio A syndrome): Presentation, diagnosis and management. J. Inher. Metab. Dis. 2013, 36, 339–355. [Google Scholar] [CrossRef] [PubMed]
- Sawamoto, K.; Gonzalez, J.V.A.; Piechnik, M.; Otero, F.J.; Couce, M.L.; Suzuki, Y.; Tomatsu, S. Mucopolysaccharidosis IVA: Diagnosis, treatment, and management. Int. J. Mol. Sci. 2020, 21, 1517–1543. [Google Scholar] [CrossRef]
- Haddley, K. Elosulfase alfa. Drugs Today 2014, 50, 475–483. [Google Scholar] [CrossRef] [PubMed]
- Sanford, M.; Lo, J.H. Elosulfase alfa: First global approval. Drugs 2014, 74, 713–718. [Google Scholar] [CrossRef]
- Liguori, L.; Monticelli, M.; Allocca, M.; Hay Mele, B.; Lukas, J.; Cubellis, M.V.; Andreotti, G. Pharmacological chaperones: A therapeutic approach for diseases caused by destabilizing missense mutations. Int. J. Mol. Sci. 2020, 21, 489–508. [Google Scholar] [CrossRef]
- Sánchez-Fernández, E.M.; García Fernández, J.M.; Ortiz Mellet, C. Glycomimetic-based pharmacological chaperones for lysosomal storage disorders: Lessons from Gaucher, GM1-gangliosidosis and Fabry diseases. Chem. Commun. 2016, 52, 5497–5515. [Google Scholar] [CrossRef]
- Boyd, R.E.; Lee, G.; Rybczynski, P.; Benjamin, E.R.; Khanna, R.; Wustman, B.A.; Valenzano, K.J. Pharmacological Chaperones as Therapeutics for Lysosomal Storage Diseases. J. Med. Chem. 2013, 56, 2705–2725. [Google Scholar] [CrossRef]
- Pereira, D.M.; Valentão, P.; Andrade, P.B. Tuning protein folding in lysosomal storage diseases: The chemistry behind pharmacological chaperones. Chem. Sci. 2018, 9, 1740–1752. [Google Scholar] [CrossRef]
- Convertino, M.; Das, J.; Dokholyan, N.V. Pharmacological Chaperones: Design and Development of New Therapeutic Strategies for the Treatment of Conformational Diseases. ACS Chem. Biol. 2016, 11, 1471–1489. [Google Scholar] [CrossRef]
- Khanna, R.; Flanagan, J.J.; Feng, J.; Soska, R.; Frascella, M.; Pellegrino, L.J.; Lun, Y.; Guillen, D.; Lockhart, D.J.; Valenzano, K.J. The Pharmacological Chaperone AT2220 Increases Recombinant Human Acid α-Glucosidase Uptake and Glycogen Reduction in a Mouse Model of Pompe Disease. PLoS ONE 2012, 7, e40776. [Google Scholar] [CrossRef]
- Shen, J.-S.; Edwards, N.J.; Hong, Y.B.; Murray, G.J. Isofagomine increases lysosomal delivery of exogenous glucocerebrosidase. Biochem. Biophys. Res. Commun. 2008, 369, 1071–1075. [Google Scholar] [CrossRef][Green Version]
- Porto, C.; Cardone, M.; Fontana, F.; Rossi, B.; Tuzzi, M.R.; Tarallo, A.; Barone, M.V.; Andria, G.; Parenti, G. The pharmacological chaperone N-butyldeoxynojirimycin enhances enzyme replacement therapy in Pompe disease fibroblasts. Mol. Ther. 2009, 17, 964–971. [Google Scholar] [CrossRef]
- Benjamin, E.R.; Khanna, R.; Schilling, A.; Flannagan, J.J.; Pellegrino, L.J.; Brignol, N.; Lun, Y.; Guillen, D.; Ranes, B.E.; Frascella, M.; et al. Co-administration With the Pharmacological Chaperone AT1001 Increases Recombinant Human α-Galactosidase A Tissue Uptake and Improves Substrate Reduction in Fabry Mice. Mol. Ther. 2012, 20, 717–726. [Google Scholar] [CrossRef] [PubMed]
- Parenti, G.; Fecarotta, S.; la Marca, G.; Rossi, B.; Ascione, S.; Donati, M.A.; Morandi, L.O.; Ravaglia, S.; Pichiecchio, A.; Ombrone, D.; et al. chaperone enhances blood α-glucosidase activity in Pompe disease patients treated with enzyme replacement therapy. Mol. Ther. 2014, 22, 2004–2012. [Google Scholar] [CrossRef]
- Schoser, B.; Roberts, M.; Byrne, B.J.; Sitaraman, S.; Jiang, H.; Laforêt, P.; Toscano, A.; Castelli, J.; Díaz-Manera, J.; Goldman, M.; et al. Safety and efficacy of cipaglucosidase alfa plus miglustat versus alglucosidase alfa plus placebo in late-onset Pompe disease (PROPEL): An international, randomised, double-blind, parallel-group, phase 3 trial. Lancet Neurol. 2021, 20, 1027–1037. [Google Scholar] [CrossRef]
- Bhattacharyya, S.; Feferman, L.; Tobacman, J.K. Dihydrotestosterone inhibits arylsulfatase B and Dickkopf Wnt signaling pathway inhibitor (DKK)-3 leading to enhanced Wnt signaling in prostate epithelium in response to stromal Wnt3A. Prostate 2019, 79, 689–700. [Google Scholar] [CrossRef]
- Müller, C.E.; Claff, T. Activated microglia nibbling glycosaminoglycans from spinal cord perineural nets: A new mechanism for neuropathic pain. Signal Transduct. Target. Ther. 2022, 7, 333–335. [Google Scholar] [CrossRef]
- Olarte-Avellaneda, S.; Cepeda Del Castillo, J.; Rojas-Rodriguez, A.F.; Sánchez, O.; Rodríguez-López, A.; Suárez García, D.A.; Salazar Pulido, L.M.; Alméciga-Díaz, C.J. Bromocriptine as a Novel Pharmacological Chaperone for Mucopolysaccharidosis IV. ACS Med. Chem. Lett. 2020, 11, 1377–1385. [Google Scholar] [CrossRef]
- Alméciga, C.J.; Hidalgo, O.A.; Olarte-Avellaneda, S.; Rodríguez-López, A.; Guzman, E.; Garzón, R.; Pimentel-Vera, L.N.; Puentes-Tellez, M.A.; Rojas-Rodriguez, A.F.; Gorshkov, K.; et al. Identification of Ezetimibe and Pranlukast as Pharmacological Chaperones for the Treatment of the Rare Disease Mucopolysaccharidosis Type IVA. J. Med. Chem. 2019, 62, 6175–6189. [Google Scholar] [CrossRef]
- Losada Díaz, J.C.; Cepeda del Castillo, J.; Rodriguez-López, E.A.; Alméciga-Díaz, C.J. Advances in the Development of Pharmacological Chaperones for the Mucopolysaccharidoses. Int. J. Mol. Sci. 2020, 21, 232–251. [Google Scholar] [CrossRef]
- Rivera-Colón, Y.; Schutsky, E.K.; Kita, A.Z.; Garman, S.C. The Structure of Human GALNS Reveals the Molecular Basis for Mucopolysaccharidosis IV A. J. Mol. Biol. 2012, 423, 736–751. [Google Scholar] [CrossRef]
- Compain, P.; Bodlenner, A. The multivalent effect in glycosidase inhibition: A new, rapidly emerging topic in glycoscience. Chem. Bio. Chem. 2014, 15, 1239–1251. [Google Scholar] [CrossRef]
- Gouin, S.G. Multivalent inhibitors for carbohydrate-processing enzymes: Beyond the “lock-and-key” concept. Chem. Eur. J. 2014, 20, 11616–11628. [Google Scholar] [CrossRef] [PubMed]
- Zelli, R.; Longevial, J.-F.; Dumy, P.; Marra, A. Synthesis and biological properties of multivalent iminosugars. New J. Chem. 2015, 30, 5050–5074. [Google Scholar] [CrossRef]
- Matassini, C.; Parmeggiani, C.; Cardona, F.; Goti, A. Are enzymes sensitive to the multivalent effect? Emerging evidence with glycosidases. Tetrahedron Lett. 2016, 57, 5407–5415. [Google Scholar] [CrossRef]
- Compain, P. Multivalent effect in glycosidase inhibition: The end of the beginning. Chem. Rec. 2020, 20, 10–22. [Google Scholar] [CrossRef]
- Martínez-Bailén, M.; Carmona, A.T.; Cardona, F.; Matassini, C.; Goti, A.; Kubo, M.; Kato, A.; Robina, I.; Moreno-Vargas, A.J. Synthesis of multimeric pyrrolidine iminosugar inhibitors of human β-glucocerebrosidase and α-galactosidase A: First example of a multivalent enzyme activity enhancer for Fabry disease. Eur. J. Med. Chem. 2020, 192, 112173. [Google Scholar] [CrossRef]
- D’Adamio, G.; Matassini, C.; Parmeggiani, C.; Catarzi, S.; Morrone, A.; Goti, A.; Paoli, P.; Cardona, F. Evidence for a multivalent effect in inhibition of sulfatases involved in lysosomal storage disorders (LSDs). RSC Adv. 2016, 6, 64847–64851. [Google Scholar] [CrossRef]
- Matassini, C.; D’Adamio, G.; Vanni, C.; Goti, A.F. Cardona Studies for the Multimerization of DAB-1-Based Iminosugars through Iteration of the Nitrone Cycloaddition/Ring-Opening/Allylation Sequence. Eur. J. Org. Chem. 2019, 4897–4905. [Google Scholar] [CrossRef]
- Matassini, C.; Vanni, C.; Goti, A.; Morrone, A.; Marradi, M.; Cardona, F. Multimerization of DAB-1 onto Au GNPs affords new potent and selective N-acetylgalactosamine-6-sulfatase (GALNS) inhibitors. Org. Biomol. Chem. 2018, 16, 8604–8612. [Google Scholar] [CrossRef]
- Buco, F.; Matassini, C.; Vanni, C.; Clemente, F.; Paoli, P.; Carozzini, C.; Beni, A.; Cardona, F.; Goti, A.; Moya, S.E.; et al. Gold nanoparticles decorated with monosaccharides and sulfated ligands as potential modulators of the lysosomal enzyme N-acetylgalactosamine-6-sulfatase (GALNS). Org. Biomol. Chem. 2023, 21, 9362–9371. [Google Scholar] [CrossRef]
- Kolb, H.C.; Finn, M.G.; Sharpless, K.B. Click Chemistry: Diverse Chemical Function from a few Good Reactions. Angew. Chem. Int. Ed. 2001, 40, 2004–2021. [Google Scholar] [CrossRef]
- Rostovtsev, V.C.; Green, L.G.; Fokin, V.V.; Sharpless, K.B. A Stepwise Huisgen Cycloaddition Process: Copper(I)-Catalyzed Regioselective “Ligation” of Azides and Terminal Alkynes. Angew. Chem. Int. Ed. 2002, 41, 2596–2599. [Google Scholar] [CrossRef]
- Tornøe, C.W.; Christensen, C.; Meldal, M. Peptidotriazoles on Solid Phase: [1,2,3]-Triazoles by Regiospecific Copper(I)-Catalyzed 1,3-Dipolar Cycloadditions of Terminal Alkynes to Azides. J. Org. Chem. 2002, 67, 3057–3064. [Google Scholar] [CrossRef] [PubMed]
- D’Adamio, G.; Parmeggiani, C.; Goti, A.; Moreno-Vargas, A.J.; Moreno-Clavijo, E.; Robina, I.; Cardona, F. 6-Azido hyacinthacine A2 gives a straightforward access to the first multivalent pyrrolizidine architectures. Org. Biomol. Chem. 2014, 12, 6250–6266. [Google Scholar] [CrossRef]
- Chabre, Y.M.; Contino-Pépin, C.; Placide, V.; Shiao, T.C.; Roy, R. Expeditive Synthesis of Glycodendrimer Scaffolds Based on Versatile TRIS and Mannoside Derivatives. J. Org. Chem. 2008, 73, 5602–5605. [Google Scholar] [CrossRef]
- Segura, M.; Sansone, F.; Casnati, A.; Ungaro, R. Synthesis of Lower Rim Polyhydroxylated Calix [4]arenes. Synthesis 2001, 2105–2112. [Google Scholar] [CrossRef]
- Mourer, M.; Hapiot, F.; Tilloy, S.; Monflier, E.; Menuel, S. Easily Accessible Mono-and Polytopic β-Cyclodextrin Hosts by Click Chemistry. Eur. J. Org. Chem. 2008, 5723–5730. [Google Scholar] [CrossRef]
- Papp, I.; Dernedde, J.; Enders, S.; Haag, R. Modular synthesis of multivalent glycoarchitectures and their unique selectin binding behavior. Chem. Commun. 2008, 5851–5853. [Google Scholar] [CrossRef]
- Martínez-Bailén, M.; Jiménez-Ortega, E.; Carmona, A.T.; Robina, I.; Sanz-Aparicio, J.; Talens-Perales, D.; Polaina, J.; Matassini, C.; Cardona, F.; Moreno-Vargas, A.J. Structural basis of the inhibition of GH1 β-glucosidases by multivalent pyrrolidine iminosugars. Bioorg. Chem. 2019, 89, 103026. [Google Scholar] [CrossRef]
- Chabre, Y.M.; Giguère, D.; Blanchard, B.; Rodrigue, J.; Rocheleau, S.; Neault, M.; Rauthu, S.; Papadopoulos, A.; Arnold, A.A.; Imberty, A.; et al. Combining glycomimetic and multivalent strategies toward designing potent bacterial lectin inhibitors. Chem. Eur. J. 2011, 17, 6545–6562. [Google Scholar] [CrossRef]
- Mirabella, S.; D’Adamio, G.; Matassini, C.; Goti, A.; Delgado, S.; Gimeno, A.; Robina, I.; Moreno-Vargas, A.J.; Šesták, S.; Jiménez-Barbero, J.; et al. Mechanistic Insight into the Binding of Multivalent Pyrrolidines to α-Mannosidases. Chem. Eur. J. 2017, 23, 14585–14596. [Google Scholar] [CrossRef]
- Matassini, C.; Mirabella, S.; Goti, A.; Robina, I.; Moreno-Vargas, A.J.; Cardona, F. Exploring architectures displaying multimeric presentations of a trihydroxypiperidine iminosugar. Beilstein J. Org. Chem. 2015, 11, 2631–2640. [Google Scholar] [CrossRef] [PubMed]
- Joosten, A.; Decroocq, C.; de Sousa, J.; Schneider, J.; Etamé, E.; Bodlenner, A.; Butters, T.D.; Compain, P. A systematic investigation of iminosugar click clusters as pharmacological chaperones for the treatment of Gaucher disease. ChemBioChem 2014, 15, 309–319. [Google Scholar] [CrossRef] [PubMed]
- Desvergnes, S.; Vallée, Y.; Py, S. Novel Polyhydroxylated Cyclic Nitrones and N-Hydroxypyrrolidines through BCl3-Mediated Deprotection. Org. Lett. 2008, 10, 2967–2970. [Google Scholar] [CrossRef]
- Ferhati, X.; Matassini, C.; Fabbrini, M.G.; Goti, A.; Morrone, A.; Cardona, F.; Moreno-Vargas, A.J.; Paoli, P. Dual targeting of PTP1B and glucosidases with new bifunctional iminosugar inhibitors to address type 2 diabetes. Bioorg. Chem. 2019, 87, 534–549. [Google Scholar] [CrossRef] [PubMed]
- Coutrot, F.; Busseron, E. Controlling the Chair Conformation of a Mannopyranose in a Large-Amplitude [2] Rotaxane Molecular Machine. Chem. Eur. J. 2009, 15, 5186–5190. [Google Scholar] [CrossRef]
- Miyagawa, A.; Yamamura, H. Synthesis of β-1,3-glucan mimics by β-1,3-glucan trisaccharyl monomer polymerization. Carbohydr. Polym. 2020, 227, 115105–115113. [Google Scholar] [CrossRef]
- Kushwaha, D.; Xu, P.; Kováč, P. Carbohydrates as potentially versatile core subcarriers for multivalent immunogens. RSC Adv. 2017, 7, 7591–7603. [Google Scholar] [CrossRef]
- Van Scherpenzeel, M.; Van den Berg, R.; Donker-Koopman, W.E.; Liskamp, R.M.J.; Aerts, J.M.F.G.; Overkleeft, H.S.; Pieters, R.J. Nanomolar affinity, iminosugar-based chemical probes for specific labeling of lysosomal glucocerebrosidase. Bioorg. Med. Chem. 2010, 18, 267–273. [Google Scholar] [CrossRef]
- Higa, C.M.; Tek, A.T.; Wojtecki, R.J.; Braslau, R. Nonmigratory Internal Plasticization of Poly(Vinyl Chloride) via Pendant Triazoles Bearing Alkyl or Polyether Esters. J. Polym. Sci. Part A Polym. Chem. 2018, 56, 2397–2411. [Google Scholar] [CrossRef]
- Matassini, C.; Mirabella, S.; Xhenti, F.; Faggi, C.; Robina, I.; Goti, A.; Moreno-Clavijo, E.; Moreno-Vargas, A.J.; Cardona, F. Polyhydroxyamino-Piperidine-Type Iminosugars and Pipecolic Acid Analogues from a D-Mannose-Derived Aldehyde. Eur. J. Org. Chem. 2014, 5419–5432. [Google Scholar] [CrossRef]
- Vanni, C.; Clemente, F.; Paoli, P.; Morrone, A.; Matassini, C.; Goti, A.; Cardona, F. 3,4,5-Trihydroxypiperidine Based Multivalent Glucocerebrosidase (GCase) Enhancers. ChemBioChem 2022, 23, e202200077. [Google Scholar] [CrossRef] [PubMed]
- Tanemura, K.; Suzuki, T. Aniline–terephthalaldehyde resin p-toluenesulfonic acid (ATRT) salt as efficient mild polymeric solid acid catalyst. Tetrahedron Letters 2013, 54, 6740–6743. [Google Scholar] [CrossRef]
- Krężel, A.; Bal, W. A formula for correlating pKa values determined in D2O and H2O. J. Inorg. Biochem. 2004, 98, 161–166. [Google Scholar] [CrossRef]
- Gottlieb, H.E.; Kotlyar, V.; Nudelman, A.J. NMR Chemical Shifts of Common Laboratory Solvents as Trace Impurities. Org. Chem. 1997, 62, 7512–7515. [Google Scholar] [CrossRef]
- Michihata, N.; Kaneko, Y.; Kasai, Y.; Tanigawa, K.; Hirokane, T.; Higasa, S.; Yamada, H. High-yield total synthesis of (-)-strictinin through intramolecular coupling of gallates. J. Org. Chem. 2013, 78, 4319–4328. [Google Scholar] [CrossRef]








| Compound | Entry | Valency | % Inhibition (1 mM) | IC50 (µM) | rp | rp/n |
|---|---|---|---|---|---|---|
![]() 34 (Ref. [37]) | 1 | 1 | 15 [a] | 3900 [a] | - | - |
![]() 35 (Ref. [37]) | 2 | 1 | 6 [a] | 5000 ± 200 [a] | - | - |
![]() 1 (Ref. [37]) | 3 | 9 | 94 [a] | 47 ± 5 [a] | 83 [b] 1.5 [c] | 9.2 [b] |
![]() 2 (Ref. [37]) | 4 | 9 | 85 [a] | 85 ± 8 [a] | 59 [d] 0.8 [c] | 6.5 [d] |
![]() 36 | 5 | 9 | 93 | 28 ± 5 | 139 [b] | 15.4 [b] |
![]() 38 | 6 | 9 | 68 | 70 ± 15 | - | - |
| Compound | % Inhibition (1 mM) | Compound | % Inhibition (1 mM) |
|---|---|---|---|
![]() 28 | 63 | ![]() 29 | 18 |
![]() 26 (Ref. [51]) | 73 | ![]() 27 | 46 |
![]() 51 (Ref. [55]) | 49 | ![]() 23 (Ref. [55]) | 35 |
![]() 30 (Ref. [51]) | 35 | ![]() 31 | 73 |
![]() 16 | 47 | ![]() 19 | 25 |
![]() 32 | 66 | ![]() 33 | 72 [a][b][c] |
![]() 52 (Ref. [44]) | 52 | ![]() 54 (Ref. [44]) | 9 |
![]() 53 (Ref. [44]) | 63 |
| Compound | % Inhibition (1 mM) | Compound | % Inhibition (1 mM) |
|---|---|---|---|
![]() 55 (Ref. [61]) | 33 | ![]() 57 (Ref. [62]) | 13 |
![]() 56 (Ref. [62]) | 37 | ![]() 58 (Ref. [52]) | 50 |
| Compound | Entry | Valency | % Inhibition (1 mM) | IC50 (µM) | rp | rp/n |
|---|---|---|---|---|---|---|
![]() 44 | 1 | 4 | 66 | - | - | - |
![]() 45 | 2 | 4 | 17 | - | - | - |
![]() 46 | 3 | 9 | 78 | 100 ± 20 | - | - |
![]() 47 | 4 | 9 | 27 | - | - | - |
![]() 50 | 5 | 9 | 35 | - | - | - |
![]() 48 | 6 | 1 | 16 | >>1 mM | - | - |
Disclaimer/Publisher’s Note: The statements, opinions and data contained in all publications are solely those of the individual author(s) and contributor(s) and not of MDPI and/or the editor(s). MDPI and/or the editor(s) disclaim responsibility for any injury to people or property resulting from any ideas, methods, instructions or products referred to in the content. |
© 2025 by the authors. Licensee MDPI, Basel, Switzerland. This article is an open access article distributed under the terms and conditions of the Creative Commons Attribution (CC BY) license (https://creativecommons.org/licenses/by/4.0/).
Share and Cite
Davighi, M.G.; Clemente, F.; D’Adamio, G.; Martínez-Bailén, M.; Morano, A.; Goti, A.; Morrone, A.; Matassini, C.; Cardona, F. Exploring Multivalent Architectures for Binding and Stabilization of N-Acetylgalactosamine 6-Sulfatase. Molecules 2025, 30, 2222. https://doi.org/10.3390/molecules30102222
Davighi MG, Clemente F, D’Adamio G, Martínez-Bailén M, Morano A, Goti A, Morrone A, Matassini C, Cardona F. Exploring Multivalent Architectures for Binding and Stabilization of N-Acetylgalactosamine 6-Sulfatase. Molecules. 2025; 30(10):2222. https://doi.org/10.3390/molecules30102222
Chicago/Turabian StyleDavighi, Maria Giulia, Francesca Clemente, Giampiero D’Adamio, Macarena Martínez-Bailén, Alessio Morano, Andrea Goti, Amelia Morrone, Camilla Matassini, and Francesca Cardona. 2025. "Exploring Multivalent Architectures for Binding and Stabilization of N-Acetylgalactosamine 6-Sulfatase" Molecules 30, no. 10: 2222. https://doi.org/10.3390/molecules30102222
APA StyleDavighi, M. G., Clemente, F., D’Adamio, G., Martínez-Bailén, M., Morano, A., Goti, A., Morrone, A., Matassini, C., & Cardona, F. (2025). Exploring Multivalent Architectures for Binding and Stabilization of N-Acetylgalactosamine 6-Sulfatase. Molecules, 30(10), 2222. https://doi.org/10.3390/molecules30102222
































