Abstract
The emergence of RNA viruses driven by global population growth and international trade highlights the urgent need for effective antiviral agents that can inhibit viral replication. Nucleoside analogs, which mimic natural nucleotides, have shown promise in targeting RNA-dependent RNA polymerases (RdRps). Starting from protected 5-iodouridine, we report the synthesis of hitherto unknown C5-substituted-(1,3-diyne)-uridines nucleosides and their phosphoramidate prodrugs. The modifications at C5 include 4-(trifluoromethyl)benzene (a), 4-pentyl-benzene (b), 3,5-dimethoxy-benzene (c), 4-(trifluoromethoxy)benzene (d), 3-aniline (e), 4-pyridine (f), 3-thiophene (g), C6H13 (h), 2-pyrimidine (i), cyclopropyl (j), and phenyl (k) groups. These compounds were synthesized using Sonogashira palladium-catalyzed reactions and nickel–copper-catalyzed C-H activation between various alkynes, yielding between 25% and 67%. The antiviral activities of obtained compounds were measured through HTS against RNA viruses including influenza H1N1 and H3N2, human respiratory syncytial virus (RSV), SARS-CoV-2, Zika, hepatitis C virus (HCV), Hepatitis E virus (HEV), as well as against coronavirus (HCoV-229E). Unfortunately, none of them showed promising antiviral activity, with less than 85% inhibition observed in the cell viability screening of infected cells.
1. Introduction
Emerging and re-emerging RNA viruses have driven efforts to discover new small molecules that can block their replication. As the global population grows and international trade increases, new viruses continue to emerge, particularly RNA viruses associated with severe diseases and epidemics in the 21st century. SARS-CoV, DENV, Chikungunya, and H1N1 influenza, among others, have resulted in significant global outbreaks [1,2]. The urgency to discover effective antiviral agents has never been greater. In this context, nucleoside analogs have demonstrated significant potential as a key class of antivirals against DNA and, more recently, RNA viruses, as they disrupt viral replication by mimicking natural nucleotides [3,4,5]. If nucleoside analogs can target several cellular enzymes, their primary and major antiviral target is the viral polymerases, specifically the RNA-dependent RNA polymerases (RdRps) in RNA viruses, which share a degree of structural similarity [6,7] that facilitates the discovery of broad-spectrum antivirals [8]. Sofosbuvir 1, a uridine analog prodrug bearing a bulky 2′-methyl group, is the standard of care for HCV treatment approved in 2013 [9]; molnupiravir 2 (EIDD-2108) [10] and lumicitabine 3 (ALS-8176) [11] are two nucleoside analog prodrugs bearing, respectively, a modification on the base moiety and on the sugar moiety at 2′ and 4′ positions (Figure 1). Those compounds are delivered as pronucleosides (for molnupiravir and lumicitabine, respectively); meanwhile, sofosbuvir is a nucleotide analog prodrug that belongs to the phosphoramidate class [12,13]. Among the various families of these analogs, C5-modified pyrimidine nucleosides [14] are particularly notable for their therapeutic potential mainly against DNA viruses [15] and as fluorescent probes [16]. C5 modifications often involve adding functional groups, such as halogens, nitro and amino groups, alkyl, aryl, or hydrophobic groups, which enhance the molecule’s antiviral and anticancer properties. For instance, brivudine 4 (5-(E)-bromovinyl-2′-deoxyuridine) [17] and its arabinose derivative (sorivudine, 5) [18] are potent drugs used to treat herpes simplex virus (HSV-1), varicella-zooster virus (VZV) and Epstein Barr virus (EBV) infections; meanwhile, floxuridine 6 (5-fluoro-2′-deoxyuridine) [19] is widely used in chemotherapy of colorectal, kidney, and stomach cancers. The 5-ethynyl-2′-deoxyuridine 7 [20] is also active against HSV-1 strain LYONS and KOS, whereas its ribosyl analogue 8 lacks antiviral activity but can be used for labeling of nascent RNA inside cells. Finally, our group has reported that 5-[4-(4-trifluoromethoxyphenyl)buta-1,3-diynyl]-2′-deoxyuridine 9 [21] exhibits activity against VZV, with an EC50 of 1 µM and a CC50 of 55 µM. These specific C5 modifications play a crucial role in enhancing the stability, specificity, and efficacy of the molecules, making C5-modified nucleoside analogs promising candidates in the development of new therapeutic agents.
Figure 1.
Some modified pyrimidine nucleoside antivirals and target compounds (16a–k and 19a–k) [21].
Based on the state of the art, C5 modifications of pyrimidines generally carry nonpolar groups. Thus, as part of our drug discovery program, we report here the synthesis and antiviral evaluation of novel C5-substituted-(1,3-diyne)-uridine derivatives 16a–k and their phosphoramidate analogs 19a–k.
2. Results and Discussion
2.1. Chemistry
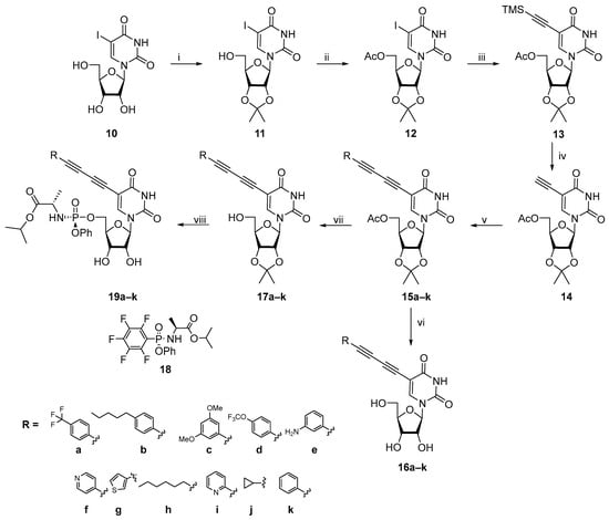
Based on our previous article [21], we elaborated on the synthesis of a small library of C5-substituted-1,3-diynyl-uridine by metal-catalyzed alkyne C-H activation on the C5-ethynyl intermediate 14 with various alkynes (Scheme 1). Starting from the commercially available 5-iodouridine (10), the 2′ and 3′ position were protected with an isopropylidene group using dry acetone and sulphuric acid in the presence of 4 Å molecular sieves to afford 11 in quantitative yield, (Scheme 1). After acylation of the 5′-OH group using acetic anhydride in pyridine, the fully-protected compound 12 is isolated in 90% yield. The first key reaction consists of a Sonogashira cross-coupling reaction [22,23], with trimethylsilylacetylene (TMS) in the presence of Et3N, CuI and PdCl2(PPh3)2 in anhydrous DMF, activated by microwave irradiation at 60 °C for 25 min, yielding the desired product 13 in 90%. Compound 13 was desilylated using TBAF for 2 h to yield pure 14 quantitatively.
Scheme 1.
Reagents and conditions: (i) dry acetone, H2SO4, 4 Å molecular sieves, r.t., 48 h, 99%; (ii) Ac2O, pyridine, r.t., 15 h, 90%; (iii) ethynyltrimethylsilane, CuI/PdCl2(PPh3)2, Et3N, dry DMF, MW, 60 °C, 25 min, 90%; (iv) TBAF, THF, r.t., 3 h, quant; (v) alkyne, NiCl2·6H2O, CuI, TMEDA, O2, THF, r.t., 24 h, 31–67%; (vi) HCl 37%, MeOH, r.t., 24 h, 51–88%; (vii) NH3/MeOH (7N), MeOH, r.t., 24 h, 71–100%; (viii) (a) 18, t-BuMgCl (1.7 M in THF), THF, 0 °C to r.t., 20 h; (b) HCl 37%, THF, r.t., 6 h, 28–84%.
Compound 14 was then subjected to Cadiot–Chodkiewicz cross-couplings [24,25,26] with various commercially available EDG- and EWG-substituted aromatic and non-aromatic alkynes to generate unsymmetrical buta-1,3-diynes 15a–k. Compared to other catalytic systems, the Cadiot–Chodkiewicz reaction favors the heterocoupling of different alkynes. The chosen terminal alkynes included 4-(trifluoromethyl)phenyl (a), 4-pentylphenyl (b), 3,5-dimethoxyphenyl (c), 4-(trifluoromethoxy)phenyl (d), 3-aminophenyl (e), 4-pyridyl (f), 3-thienyl (g), n-hexyl (h), 2-pyridyl (i), cyclopropyl (j), and phenyl (k), all explored using the same procedure. The Cadiot–Chodkiewicz cross-coupling reaction was performed under our optimized conditions [20], involving NiCl2·6H2O (5 mol%), CuI (5 mol%), and TMEDA (20 mol%) in THF under an oxygen atmosphere for 20 h at room temperature, yielding moderate to good yields (31–67%) of eleven analogues (15a–k). As observed in Table 1, the yield of the cross-coupling reaction depends on the acidity of the alkyne protons. Indeed, with deactivated aromatic alkynes or with aliphatic-substituted alkynes, the Cadiot–Chodkiewicz cross-coupling is less effective (entries 3, 6, 8, 10), resulting in decreased yields due to homodimerization of the aliphatic alkynes for the entries 8 and 10 and due to a low conversion for the entries 3 and 6.
Table 1.
Yields obtained for the Cadiot–Chodkiewicz cross-coupling.
Removal of the isopropylidene moiety from 15a–k using a large excess of 37% HCl in methanol for a minimum of 16 h afforded the desired final nucleosides (16a–k) in good to excellent yields (51–88%). To reach the phosphoramidate analogs, 15a–k were deacetylated in a methanolic ammonia solution (7N), yielding the expected nucleoside analogs 17a–k in good yields; extraction was sometimes necessary to remove the formed acetamide. The 5′-OH group of 17a–k was phosphorylated using a reported procedure employing t-BuMgCl (1.7 M in THF) and the commercially available chiral phosphoramide 18 in dry THF for 20 h. Afterward, after completion, 37% HCl was added to remove the isopropylidene, resulting in the desired final compounds 19a–k with yields ranging from low to good (28–84%), (see SI for NMR spectra), which were evaluated for their antiviral activities.
2.2. Antiviral Activity
The antiviral activity of the obtained compounds was evaluated through high-throughput screening (HTS) on various French technology platforms [27]. Phenotypic screenings were conducted using robotic approaches to identify potential antiviral drug candidates, with biological assays miniaturized into 384-well plates and analyzed via high-content fluorescence confocal microscopy. Compounds demonstrating ≥85% antiviral activity and ≤85% cytotoxicity at 10 μM in the first screening were identified as hits, which will then be validated through dose-response analyses and tests on cell lines to determine their IC50 and CC50.
For the H1N1 SOV NLuc virus, produced in MDCK cells, activity and toxicity of nucleoside analogs at 10 μM were assessed via immunostaining, with favipiravir as a reference. Similarly, RSV mCherry virus, produced in Vero E6 cells, was evaluated using RSV604 as the reference. SARS-CoV-2 (Delta strain) was produced in A549-hACE2 cells, and cells were treated with compounds at 10 μM before infection, with remdesivir used as a reference, while cytopathic effect (CPE) measured inhibition and viability. HCoV-229E (GFP-expressing) was produced in Huh-7 cells, with infected cells quantified using GFP and total cells measured with Hoechst staining; after a 30 min incubation with compounds at 10 μM, fluorescence was analyzed following a 24 h period. Hepatitis E virus (GFP replicon) in PLC/PRF/5 cells and hepatitis C virus (JFH1, gt2a strain) in Huh-7 cells were both analyzed for activity and toxicity at 10 μM using fluorescence and immunostaining, respectively. H3N2 virus in A549-TMPRSS2 cells underwent immunostaining-based evaluation at the same concentration. Zika virus, marked with NanoLuciferase and produced in Vero cells, was assessed by exposing cells to compounds at 10 μM for 2 h before infection, with reductions in NanoLuciferase levels indicating antiviral activity and toxicity measured after 48 h.
No hit was found to significantly reduce the viral replication with ≥85% activity and ≤85% cytotoxicity. The lack of antiviral effects may be due to insufficient cellular activation, weak binding to structurally cellular or viral enzymes involved in the nucleoside metabolism, caused by C5-modifications on the uracil moiety.
3. Experimental Section
3.1. Chemistry
Commercially available chemicals were of reagent grade and used as received. All reactions requiring anhydrous conditions were carried out using oven-dried glassware and under an atmosphere of dry Argon. The reactions were monitored by thin layer chromatography (TLC) analysis using silica gel plates (Kieselgel 60F254, E. Merck, Rahway, NJ, USA). Column chromatography was performed on Silica Gel 60 M (0.040–0.063 mm, E. Merck) or by flash chromatography Buchi with FlashPure EcoFlex silica cartridge. The 1H and 13C NMR spectra were recorded on Bruker Avance DPX 250 or Bruker Avance 400 Spectrometers (Bruker, Champs sur Marne, France) using deuterated solvents as internal standard. Chemical shifts are given in ppm, and multiplicities are reported as s (singlet), d (doublet), t (triplet), q (quartet), bs (broad signal), m (multiplet), and dd (doublet of doublet). Multiplicities were determined by the DEPT 135 sequence. Attributions of protons and carbons were made with the help of HSQC and HMBC 2D NMRs. High-resolution mass spectra were performed on a Bruker Q-TOF MaXis mass spectrometer (Bruker Daltonics, Bremen, Germany) by the “Fédération de Recherche” ICOA/CBM (FR2708) platform. Microwaves-assisted reactions were carried out in a Biotage Initiator microwave synthesis instrument (Biotage Sweden AB, Uppsala, Sweden) and temperatures were measured by IR-sensor. Melting points (mp [°C]) were determined on a Kofler bench apparatus (Servilab, Le Mans, France) and are uncorrected.
3.1.1. 5-Iodo-2′,3′-O-isopropylidene-uridine (11)
A round-bottom flask was charged with 5-iodouridine (10) (5 g, 13.52 mmol, 1 equiv.) and acetone (250 mL), and molecular sieves of 4 Å were added. The reaction mixture was cooled down to 0 °C, and H2SO4 (1.88 mL, 27.03 mmol, 2 equiv.) was added dropwise. The mixture was stirred for 48 h at room temperature. After the reaction completion, dry NaHCO3 was added until pH = 7. Salts and base were removed from reaction mixture by filtration under reduced pressure. The filtrate was concentrated under reduced pressure to obtain the desired compound (11) (5.50 g, 99% yield) as a yellow oil. CAS #: 19556-58-2. 1H NMR (400 MHz, MeOD) δ 8.36 (s, 1H, H6), 5.87 (d, J = 2.6 Hz, 1H, H1′), 4.90 (dd, J = 6.4, 2.4 Hz, 1H, H2′), 4.83 (dd, J = 6.5, 3.1 Hz, 1H, H3′), 4.24 (q, J = 3.7 Hz, 1H, H4′), 3.83–3.67 (m, 2H, H5′), 1.54 (s, 3H, CH3), 1.35 (s, 3H, CH3). 13C NMR (101 MHz, MeOD) δ 162.97, 152.32, 148.30, 115.06, 94.20, 88.70, 86.11, 82.18, 68.44, 62.94, 27.51, 25.51.
3.1.2. 5′-O-Acetyl-5-iodo-2′,3′-O-isopropylidene-uridine (12)
To a solution of (11) (6.26 g, 15.26 mmol, 1 equiv.) in pyridine (135 mL) was added Ac2O (7.08 mL, 76.32 mmol, 5 equiv.). The reaction was stirred at room temperature for 15 h. After the reaction completion, the mixture was cooled down to 0 °C then quenched with methanol (3.06 mL, 76.32 mmol, 5 equiv.) and stirred at room temperature for 3 h. The solvents were removed under reduced pressure using toluene for co-evaporation if necessary. The residue was purified by silica gel column chromatography (CH2Cl2/MeOH, 95:5), and the desired product (12) (6.10 g, 90% yield) was isolated as a yellow oil. CAS #: 161612-73-3 1H NMR (400 MHz, CDCl3) δ 8.51 (s, 1H, NH), 7.76 (s, 1H, H6), 5.74 (s, 1H, H1′), 4.90 (dd, J = 6.5, 2.1 Hz, 1H, H2′), 4.78 (dd, J = 6.9, 3.7 Hz, 1H, H3′), 4.40 (q, J = 4.4 Hz, 1H, H4′), 4.37–4.24 (m, 2H, H5′), 2.14 (s, 3H, OAc), 1.58 (s, 3H, CH3), 1.36 (s, 3H, CH3). 13C NMR (101 MHz, CDCl3) δ 170.47, 159.67, 149.50, 146.08, 115.00, 94.30, 85.22, 84.91, 80.92, 68.57, 64.10, 27.28, 25.45, 21.11, 0.14. HRMS-ESI (m/z) [M + H]+ calcd for C14H18IN2O7 453.0154, found 453.0153. Melting point: 182–184 °C (deg.).
3.1.3. 5′-O-Acetyl-2′,3′-O-isopropylidene-5-trimethylsilylethynyl-uridine (13)
In a dried microwave tube containing a solution of compound (12) (1.11 g, 2.45 mmol, 1 equiv.) in dry DMF (20 mL) under Argon was added ethynyltrimitylsilane (1.04 mL, 7.36 mmol, 3 equiv.) and Et3N (1.02 mL, 7.36 mmol, 3 equiv.). The reaction was stirred at room temperature for 15 min, then CuI (93 mg, 0.49 mmol, 0.2 equiv.) and Pd(PPh3)2Cl2 (171 mg, 0.24 mmol, 0.1 equiv.) were added, respectively. The reaction was heated at 60 °C under MW irradiations for 25 min. The solvent was evaporated, and the residue was extracted with EtOAc (3 × 25 mL). The organic layers were washed with brine, dried over MgSO4, filtrated, and concentrated under reduced pressure. The resulting crude product was then purified using silica gel flash chromatography (Petroleum Ether (PE)/EtOAc 7/3) to afford the desired compound (13) as a brown solid (4.56 g, 90% yield). mp 88–90 °C. 1H NMR (400 MHz, CDCl3) δ 9.52 (s, 1H, NH), 7.61 (d, J = 1.3 Hz, 1H, H6), 5.78 (d, J = 2.3 Hz, 1H, H1′), 4.87 (dd, J = 6.4, 2.1 Hz, 1H, H2′), 4.78 (dd, J = 6.5, 3.8 Hz, 1H, H3′), 4.39–4.34 (m, 1H, H4′), 4.33–4.23 (m, 2H, H5′), 2.11 (s, 3H, OAc), 1.55 (s, 3H, CH3), 1.33 (s, 3H, CH3), 0.19 (s, 9H, TMS). 13C NMR (101 MHz, CDCl3) δ 170.46, 161.32, 149.18, 144.47, 114.91, 100.74, 100.11, 94.93, 93.74, 85.00, 84.87, 80.72, 64.04, 27.20, 25.37, 20.97, −0.12. HRMS-ESI (m/z) [M + H]+ calcd for C19H26N2O7Si 423.1578, found 423.1582.
3.1.4. 5′-O-Acetyl-5-ethynyl-2′,3′-O-isopropylidene-uridine (14)
To a solution of (13) (4.51 g, 10.67 mmol, 1 equiv.) in THF (80 mL) was added TBAF (2.79 mL, 11.21 mmol, 1.05 equiv.). The mixture was stirred at room temperature for 2 h. After reaction completion, the solvent was removed under reduced pressure. The dried resulting solid was retaken in EtOAc and then washed with water (2 × 40 mL) and brine. After that, it was dried over MgSO4, filtrated, and concentrated under reduced pressure. The residue was purified by silica gel flash chromatography (PE/EtOAc 6/4). The resulting product (14) was obtained as a yellow solid (2.84 g, 76% yield). mp 182–184 °C (dec.) 1H NMR (400 MHz, CDCl3) δ 7.69 (s, 1H, H6), 5.78 (d, J = 2.2 Hz, 1H, H1′), 4.89 (dd, J = 6.4, 2.2 Hz, 1H, H2′), 4.79 (dd, J = 6.4, 4.0 Hz, 1H, H3′), 4.41 (q, J = 4.3 Hz, 1H, H4′), 4.35–4.25 (m, 2H, H5′), 3.19 (s, 1H, CC-H), 2.12 (s, 3H, OAc), 1.57 (s, 3H, CH3), 1.35 (s, 3H, CH3). 13C NMR (101 MHz, CDCl3) δ 170.48, 161.12, 148.90, 144.99, 115.00, 99.53, 94.13, 85.27, 85.02, 82.60, 80.80, 74.28, 64.08, 27.26, 25.42, 20.95. HRMS-ESI (m/z) [M + H]+ calcd for C16H19N2O7 351.1186, found 351.1187.
3.1.5. General Procedure for Cadiot–Chodkiewicz Cross-Coupling
A solution of NiCl2·6H2O (55.0 mg, 0.26 mmol, 0.5 equiv.), CuI (82.5 mg, 0.26 mmol, 0.5 equiv.), and TMEDA (0.06 mL, 0.26 mmol, 0.5 equiv.) in THF (10 mL) was stirred under oxygen atmosphere at room temperature for 5 min. Then, alkyne (2.60 mmol, 5 equiv.) was added to the reaction mixture. The starting material (14) (300 mg, 0.52 mmol, 1 equiv.) was dissolved in THF (5 mL) and slowly added. The mixture was allowed for 24 h at room temperature then evaporated in vacuo and purified by silica gel column chromatography with a mixture of Petroleum Ether (PE) and EtOAc.
5′-O-Acetyl-5-[4-[4-(trifluoromethyl)phenyl]buta-1,3-diynyl]-2′,3′-O-isopropylidene-uridine (15a). Yield 45% as a yellow solid. 1H NMR (400 MHz, CDCl3) δ 9.68 (s, 1H, NH), 7.80 (s, 1H, H6), 7.57 (s, 4H, Ar), 5.79 (s, 1H, H1′), 4.93 (d, J = 6.1 Hz, 1H, H2′), 4.80 (dd, J = 6.6, 3.7 Hz, 1H, H3′), 4.41 (dd, J = 8.6, 4.4 Hz, 1H, H4′), 4.33 (d, J = 5.8 Hz, 2H, H5′), 2.13 (s, 3H, OAc), 1.56 (s, 3H, CH3), 1.34 (s, 3H, CH3), 13C NMR (101 MHz, CDCl3) δ 170.54, 161.35, 148.94, 146.18, 132.88, 131.58, 131.26, 130.93, 130.61, 125.55, 125.51, 125.48, 125.44, 125.32, 125.15, 122.44, 114.96, 99.26, 94.36, 85.46, 85.04, 81.06, 80.84, 78.31, 75.78, 73.56, 64.09, 27.19, 25.35, 20.86, 9F NMR (376 MHz, CDCl3) δ −63.02.
5′-O-Acetyl-5-[4-(4-pentylphenyl)buta-1,3-diynyl]-2′,3′-O-isopropylidene-uridine (15b). Yield 47% as a pale yellow powder. 1H NMR (400 MHz, CDCl3) δ 8.77 (s, 1H, NH), 7.75 (s, 1H, H6), 7.40 (d, J = 7.3 Hz, 2H, Ar H2,6), 7.14 (d, J = 7.8 Hz, 2H, Ar H3,5), 5.80 (s, 1H, H1′), 4.89 (d, J = 6.4 Hz, 1H, H2′), 4.79 (dd, J = 6.5, 4.0 Hz, 1H, H3′), 4.41 (t, J = 4.2 Hz, 1H, H4′), 4.37–4.29 (m, 2H, H5′), 2.60 (t, J = 7.7 Hz, 2H, CH2 1), 2.16 (s, 3H, OAc), 1.64–1.53 (m, 5H, CH2 and CH3), 1.36 (s, 3H, CH3), 1.34–1.28 (m, 4H, 2CH2), 0.88 (t, J = 6.6 Hz, 3H, CH3 aliphatic). 13C NMR (101 MHz, CDCl3) δ 170.50, 160.87, 148.73, 145.26, 145.16, 132.66, 128.76, 118.52, 115.05, 99.98, 94.04, 85.33, 85.11, 83.38, 80.74, 79.26, 73.00, 71.60, 64.04, 36.12, 31.55, 30.94, 27.28, 25.43, 22.62, 20.92, 14.11.
5′-O-Acetyl-5-[4-(3,5-dimethoxyphenyl)buta-1,3-diynyl]-2′,3′-O-isopropylidene-uridine (15c). Yield 35% as a pale yellow powder. 1H NMR (400 MHz, CDCl3) δ 9.02 (s, 1H, NH), 7.76 (s, 1H, H6), 6.64 (s, 2H, Ar H2,6), 6.49 (h, J = 4.1, 2.1 Hz, 1H, Ar H4), 5.79 (d, J = 2.0 Hz, 1H, H1′), 4.91 (d, J = 6.2 Hz, 1H, H2′), 4.80 (dd, J = 6.1, 4.5 Hz, 1H, H3′), 4.41 (dd, J = 9.3, 4.5 Hz, 1H, H4′), 4.36–4.27 (m, 2H, H5′), 3.78 (s, 6H, OMe), 2.15 (s, 3H, OAc), 1.58 (s, 3H, CH3), 1.36 (s, 3H, CH3). 13C NMR (101 MHz, CDCl3) δ 170.51, 160.97, 160.70, 148.80, 145.55, 122.66, 115.01, 110.39, 103.35, 99.74, 94.19, 85.39, 85.09, 82.94, 80.79, 78.91, 73.09, 72.07, 64.06, 55.61, 27.25, 25.41, 20.91.
5′-O-Acetyl-5-[4-[4-(trifluoromethoxy)phenyl]buta-1,3-diynyl]-2′,3′-O-isopropylidene-uridine (15d). Yield 50% as a yellow solid. 1H NMR (400 MHz, CDCl3) δ 9.41 (s, 1H, NH), 7.78 (s, 1H, H6), 7.52 (d, J = 8.6 Hz, 2H, Ar H3,5), 7.16 (d, J = 8.3 Hz, 2H, Ar H2,6), 5.79 (s, 1H, H1′), 4.92 (d, J = 6.4 Hz, 1H, H2′), 4.80 (dd, J = 6.5, 3.9 Hz, 1H, H3′), 4.41 (dd, J = 9.0, 4.6 Hz, 1H, H4′), 4.38–4.28 (m, 2H, H5′), 2.14 (s, 3H, OAc), 1.57 (s, 3H, CH3), 1.35 (s, 3H, CH3). 13C NMR (101 MHz, CDCl3) δ 170.54, 161.24, 149.86, 149.84, 148.89, 145.87, 134.29, 121.71, 121.01, 120.18, 119.14, 114.98, 99.48, 94.30, 85.43, 85.06, 81.25, 80.81, 78.57, 74.38, 72.67, 64.09, 27.22, 25.37, 20.89, 0.10. 19F NMR (376 MHz, CDCl3) δ −57.75.
5′-O-Acetyl-5-[4-(3-aminophenyl)buta-1,3-diynyl]-2′,3′-O-isopropylidene-uridine (15e). Yield 55% as a dark green solid. 1H NMR (400 MHz, MeOD) δ 8.09 (s, 1H, H6), 7.07 (t, J = 7.8 Hz, 1H, Ar H6), 6.85–6.77 (m, 2H, Ar H2,5), 6.78–6.70 (m, 1H, Ar H4), 5.83 (d, J = 2.0 Hz, 1H, H1′), 5.05 (dd, J = 6.3, 2.0 Hz, 1H, H2′), 4.86 (d, J = 3.8 Hz, 1H, H3′), 4.38 (dd, J = 8.8, 4.4 Hz, 1H, H4′), 4.31 (d, J = 4.6 Hz, 2H, H5′), 2.11 (s, 3H, OAc), 1.54 (s, 3H, CH3), 1.35 (s, 3H, CH3). 13C NMR (101 MHz, MeOD) δ 172.25, 164.00, 150.78, 148.38, 130.32, 122.87, 119.31, 117.80, 115.36, 99.59, 95.50, 86.71, 86.11, 83.78, 82.33, 78.63, 73.55, 73.11, 65.17, 27.41, 25.48, 20.72.
5′-O-Acetyl-5-[4-(4-pyridyl)buta-1,3-diynyl]-2′,3′-O-isopropylidene-uridine (15f). Yield 31% as a brown foam. 1H NMR (400 MHz, MeOD) δ 8.56 (d, J = 5.1 Hz, 2H, Ar H3,5), 8.18 (s, 1H, H6), 7.50 (d, J = 4.5 Hz, 2H, Ar H2,6), 5.83 (s, 1H, H1′), 5.06 (dd, J = 6.3, 2.0 Hz, 1H, H2′), 4.88–4.84 (m, 1H, H3′), 4.39 (q, J = 4.5 Hz, 1H, H4′), 4.32 (d, J = 4.7 Hz, 2H, H5′), 2.10 (s, 3H, OAc), 1.54 (s, 3H, CH3), 1.35 (s, 3H, CH3). 13C NMR (101 MHz, MeOD) δ 172.18, 163.72, 150.70, 150.49, 149.51, 131.96, 127.67, 115.36, 98.68, 95.75, 86.83, 86.13, 82.38, 79.36, 79.05, 77.40, 77.23, 65.18, 27.41, 25.47, 20.71.
5′-O-Acetyl-5-[4-(3-thienyl)buta-1,3-diynyl]-2′,3′-O-isopropylidene-uridine (15g). Yield 67% as a brown oil. 1H NMR (400 MHz, CDCl3) δ 9.44 (s, 1H, NH), 7.75 (s, 1H, H6), 7.60–7.55 (m, 1H, Ha), 7.29–7.23 (m, 1H, Hc), 7.13 (d, J = 4.9 Hz, 1H, Hd), 5.79 (s, 1H, H1′), 4.91 (dt, J = 6.4, 1.5 Hz, 1H, H2′), 4.79 (dd, J = 6.5, 4.0 Hz, 1H, H3′), 4.40 (q, J = 4.3 Hz, 1H, H4′), 4.32 (t, J = 4.5 Hz, 2H, H5′), 2.13 (s, 3H, OAc), 1.56 (s, 3H, CH3), 1.34 (s, 3H, CH3). 13C NMR (101 MHz, CDCl3) δ 170.57, 161.24, 148.93, 145.57, 131.91, 130.25, 125.82, 120.56, 114.94, 99.70, 94.15, 85.36, 85.04, 80.76, 78.85, 78.06, 73.25, 72.00, 64.07, 50.85, 27.21, 25.37, 20.90.
5′-O-Acetyl-5-deca-1,3-diynyl-2′,3′-O-isopropylidene-uridine (15h). Yield 25% as an orange oil. 1H NMR (400 MHz, CDCl3) δ 9.14 (s, 1H, NH), 7.69 (s, 1H, H6), 5.78 (s, 1H, H1′), 4.91–4.86 (m, 1H, H2′), 4.78 (dd, J = 4.8, 3.2 Hz, 1H, H3′), 4.39 (q, J = 4.2 Hz, 1H, H4′), 4.36–4.26 (m, 2H, H5′), 2.31 (t, J = 7.0 Hz, 2H, CH2a), 2.13 (s, 3H, OAc), 1.57 (s, 3H, CH3), 1.52 (q, J = 7.2 Hz, 2H, CH2), 1.39 (d, J = 7.2 Hz, 2H, CH2), 1.35 (s, 3H, CH3), 1.32–1.24 (m, 4H, 2CH2), 0.88 (t, J = 6.5 Hz, 3H, CH3 aliphatic). 13C NMR (101 MHz, CDCl3) δ 170.53, 161.29, 148.91, 145.27, 114.97, 100.04, 93.93, 86.44, 85.26, 85.03, 80.71, 79.54, 65.08, 64.84, 64.05, 31.37, 28.63, 28.18, 27.24, 25.40, 22.61, 20.89, 19.66, 14.15, 0.11.
5′-O-Acetyl-5-[4-(2-pyridyl)buta-1,3-diynyl]-2′,3′-O-isopropylidene-uridine (15i). Yield 37% as a black foam. 1H NMR (400 MHz, CDCl3) δ 9.92 (s, 1H, NH), 8.60 (d, J = 4.9 Hz, 1H, Ar H2), 7.86 (s, 1H, H6), 7.68 (t, J = 7.7 Hz, 1H, Ar H5), 7.52 (d, J = 7.9 Hz, 1H, Ar H6), 7.32–7.26 (m, 1H, Ar H4), 5.83 (d, J = 1.8 Hz, 1H, H1′), 4.97 (dd, J = 7.2, 2.2 Hz, 1H, H2′), 4.88–4.79 (m, 1H, H3′), 4.48–4.39 (m, 1H, H4′), 4.34 (d, J = 5.1 Hz, 2H, H5′), 2.15 (s, 3H, OAc), 1.57 (s, 3H, CH3), 1.35 (s, 3H, CH3). 13C NMR (101 MHz, CDCl3) δ 170.54, 161.26, 150.32, 148.98, 146.48, 141.89, 136.33, 128.46, 123.79, 114.82, 99.10, 94.17, 85.38, 84.98, 81.22, 80.75, 78.19, 73.43, 73.35, 64.01, 27.15, 25.32, 20.87.
5′-O-Acetyl-5-(4-cyclopropylbuta-1,3-diynyl)-2′,3′-O-isopropylidene-uridine (15j). Yield 40% as a yellow solid. 1H NMR (400 MHz, CDCl3) δ 8.47 (s, 1H, NH), 7.67 (s, 1H, H6), 5.77 (d, J = 2.3 Hz, 1H, H1′), 4.86 (dd, J = 7.0, 2.5 Hz, 1H, H2′), 4.77 (dd, J = 7.0, 3.5 Hz, 1H, H3′), 4.40 (p, J = 4.5, 3.9 Hz, 1H, H4′), 4.37–4.26 (m, 2H, H5′), 2.13 (s, 3H, OAc), 1.57 (s, 3H, CH3), 1.35 (s, 3H, CH3), 0.91–0.79 (m, 5H, cyclopropyl). 13C NMR (101 MHz, CDCl3) δ 170.49, 160.87, 148.68, 145.09, 115.03, 100.10, 93.93, 89.50, 85.25, 85.08, 80.72, 79.88, 64.41, 64.03, 27.28, 25.43, 20.91, 9.28.
5′-O-Acetyl-5-(4-phenylbuta-1,3-diynyl)-2′,3′-O-isopropylidene-uridine (15k). Yield 66% as an orange oil. 1H NMR (400 MHz, CDCl3) δ 9.09 (s, 1H, NH), 7.76 (s, 1H, H6), 7.49 (d, J = 7.2 Hz, 2H, Ar H2,6), 7.41–7.28 (m, 3H, Ar H3,4,5), 5.80 (s, 1H, H1′), 4.91 (d, J = 6.0 Hz, 1H, H2′), 4.80 (dd, J = 6.8, 3.5 Hz, 1H, H3′), 4.41 (d, J = 4.4 Hz, 1H, H4′), 4.38–4.28 (m, 2H, H5′), 2.15 (s, 3H, OAc), 1.58 (s, 3H, CH3), 1.36 (s, 3H, CH3). 13C NMR (101 MHz, CDCl3) δ 170.52, 161.03, 148.83, 145.53, 132.69, 129.62, 128.60, 121.46, 115.01, 99.80, 94.13, 85.37, 85.08, 82.91, 80.76, 78.98, 73.58, 72.04, 64.06, 27.25, 25.41, 20.92.
3.1.6. General Procedure for Ribonucleosides 16a–k
A solution of compounds 15a–k (0.11 mmol, 1 equiv.), respectively, dissolved in MeOH (4 mL) with HCl (37%) (0.20 mL, 2.31 mmol, 21 equiv.) was stirred at room temperature for 24 h. After reaction completion, the solvent was removed under reduced pressure and the residue was diluted in EtOAc (25 mL) and neutralized using saturated NaHCO3. The mixture was extracted with EtOAc (3 × 15 mL). The organic layers were washed with brine, dried over MgSO4, filtrated, and concentrated under reduced pressure. The resulting crude product was then purified using silica gel flash chromatography (CH2Cl2/MeOH 95/5) to afford the desired compound.
5-[4-[4-(Trifluoromethyl)phenyl]buta-1,3-diynyl]-uridine (16a). Yield 71% as yellow powder. mp 214–216 °C (dec.). 1H NMR (400 MHz, MeOD) δ 8.65 (s, 1H, H6), 7.68 (d, J = 1.5 Hz, 4H, Ar), 5.89 (t, J = 1.3 Hz, 1H, H1′), 4.20 (d, J = 3.4 Hz, 2H, H2′,3′), 4.04 (s, 1H, H4′), 3.92 (dd, J = 12.4, 2.5 Hz, 1H, H5′), 3.77 (dd, J = 12.3, 2.5 Hz, 1H, H5′). 13C NMR (101 MHz, MeOD) δ 163.97, 151.12, 147.98, 133.97, 132.03, 131.70, 126.96, 126.64, 126.61, 126.57, 126.53, 123.93, 98.82, 91.39, 86.30, 80.83, 77.51, 76.79, 76.25, 76.04, 70.67, 61.57. 19F NMR (376 MHz, MeOD) δ −64.50. HRMS-ESI (m/z) [M + H]+ calcd for C20H16F3N2O6 437.0953, found 437.0955.
5-[4-(4-Pentylphenyl)buta-1,3-diynyl]-uridine (16b). Yield 69% as dark yellow powder. mp 116–118 °C. 1H NMR (400 MHz, MeOD) δ 8.58 (s, 1H, H6), 7.38 (d, J = 7.5 Hz, 2H, Ar H2,6), 7.17 (d, J = 7.4 Hz, 2H, Ar H3,5), 5.88 (s, 1H, H1′), 4.18 (s, 2H, H2′,3′), 4.03 (s, 1H, H4′), 3.90 (d, J = 11.9 Hz, 1H, H5′), 3.75 (d, J = 11.8 Hz, 1H, H5′), 2.60 (t, J = 7.6 Hz, 2H, CH2), 1.59 (p, J = 7.4 Hz, 2H, CH2), 1.37–1.22 (m, 4H, 2CH2), 0.88 (t, J = 6.7 Hz, 3H, CH3 aliphatic). 13C NMR (101 MHz, MeOD) δ 164.10, 151.14, 147.28, 146.15, 133.34, 129.76, 119.82, 99.38, 91.23, 86.30, 82.87, 78.21, 76.16, 73.96, 73.83, 70.71, 61.61, 36.79, 32.47, 32.00, 23.47, 14.28. HRMS-ESI (m/z) [M + H]+ calcd for C24H27N2O6 439.1880, found 439.1864.
5-[4-(3,5-Dimethoxyphenyl)buta-1,3-diynyl]-uridine (16c). Yield 52% as clear powder. mp 254–256 °C (dec.). 1H NMR (400 MHz, MeOD) δ 8.62 (s, 1H, H6), 6.64 (d, J = 1.9 Hz, 2H, Ar H2,6), 6.55 (t, J = 2.5 Hz, 1H, Ar H4), 5.89 (s, 1H, H1′), 4.19 (d, J = 3.3 Hz, 2H, H2′,3′), 4.04 (s, 1H, H4′), 3.91 (d, J = 12.7 Hz, 1H, H5′), 3.81 (d, J = 5.1 Hz, 1H, H5′), 3.78 (s, 6H, OMe). 13C NMR (101 MHz, MeOD) δ 162.30, 147.46, 143.09, 132.78, 123.97, 111.47, 104.92, 95.81, 86.02, 78.42, 70.59, 67.43, 62.53, 55.96. HRMS-ESI (m/z) [M + H]+ calcd for C21H21N2O8 429.1294, found 429.1292.
5-[4-[4-(Trifluoromethoxy)phenyl]buta-1,3-diynyl]-uridine (16d). Yield 87% as clear powder. mp 198–200 °C (dec.). 1H NMR (400 MHz, MeOD) δ 8.63 (s, 1H, H6), 7.60 (d, J = 8.8 Hz, 2H, Ar H3,5), 7.29 (d, J = 8.3 Hz, 2H, Ar H2,6), 5.89 (d, J = 2.7 Hz, 1H, H1′), 4.19 (d, J = 3.4 Hz, 2H, H2′,3′), 4.04 (p, J = 2.7 Hz, 1H, H4′), 3.92 (dd, J = 12.3, 2.5 Hz, 1H, H5′), 3.77 (dd, J = 12.2, 2.6 Hz, 1H, H5′). 13C NMR (101 MHz, MeOD) δ 164.02, 151.14, 150.92, 147.75, 135.34, 122.27, 121.93, 98.99, 91.34, 86.32, 80.93, 77.71, 76.24, 75.37, 75.15, 70.71, 61.60. 19F NMR (376 MHz, MeOD) δ −59.42. HRMS-ESI (m/z) [M + H]+ calcd for C20H16F3N2O7 453.0903, found 453.0904.
5-[4-(3-Aminophenyl)buta-1,3-diynyl]-uridine (16e). Yield 76% as yellow powder. mp 178–180 °C (dec.). 1H NMR (400 MHz, MeOD) δ 8.59 (s, 1H, H6), 7.07 (t, J = 7.8 Hz, 1H, Ar H3), 6.84–6.70 (m, 3H, Ar H4,5,6), 5.90 (d, J = 2.8 Hz, 1H, H1′), 4.19 (d, J = 3.7 Hz, 2H, H2′,3′), 4.04 (p, J = 2.5 Hz, 1H, H4′), 3.91 (dd, J = 12.2, 2.5 Hz, 1H, H5′), 3.77 (dd, J = 12.2, 2.6 Hz, 1H, H5′). 13C NMR (101 MHz, MeOD) δ 164.13, 151.21, 149.33, 147.31, 130.30, 123.01, 122.82, 119.27, 117.74, 99.42, 91.24, 86.36, 83.49, 78.31, 76.21, 73.77, 73.31, 70.80, 61.66. HRMS-ESI (m/z) [M + H]+ calcd for C19H18N3O6 384.1190, found 384.1190.
5-[4-(4-Pyridyl)buta-1,3-diynyl]-uridine (16f). Yield 97% as black powder. mp 248–250 °C (dec.). 1H NMR (400 MHz, DMSO) δ 8.66 (s, 1H, H6), 8.63 (s, 2H, Ar H3,5), 7.55 (s, 2H, Ar H2.6), 5.72 (d, J = 3.8 Hz, 1H, H1′), 5.53 (d, J = 5.0 Hz, 1H, OH2′), 5.38 (t, J = 4.9 Hz, 1H, OH5′), 5.18 (d, J = 5.4 Hz, 1H, OH3′), 4.10–3.94 (m, 2H, H2′,3′), 3.91–3.86 (m, 1H, H4’), 3.70 (dd, J = 8.6, 3.8 Hz, 1H, H5′), 3.60 (dd, J = 7.8, 3.6 Hz, 1H, H5’). 13C NMR (101 MHz, DMSO) δ 161.44, 157.06, 150.17, 149.38, 147.23, 126.00, 102.76, 96.14, 89.05, 84.74, 79.80, 79.31, 77.58, 77.31, 74.19, 68.95, 59.89. HRMS-ESI (m/z) [M + H]+ calcd for C18H16N3O6 370.1030, found 370.1034.
5-[4-(3-Thienyl)buta-1,3-diynyl]-uridine (16g). Yield 61% as yellow powder. mp 270–272 °C (dec.). 1H NMR (400 MHz, MeOD) δ 8.60 (s, 1H, H6), 7.73 (t, J = 1.7 Hz, 1H, Ha), 7.45 (dd, J = 5.2, 3.0 Hz, 1H, Hc), 7.16 (d, J = 5.0 Hz, 1H, Hd), 5.89 (d, J = 2.7 Hz, 1H, H1′), 4.19 (d, J = 3.4 Hz, 2H, H2′,3′), 4.04 (d, J = 2.8 Hz, 1H, H4′), 3.91 (dd, J = 12.1, 2.5 Hz, 1H, H5′), 3.76 (dd, J = 12.2, 2.5 Hz, 1H, H5′). 13C NMR (101 MHz, MeOD) δ 164.28, 151.37, 149.71, 147.42, 139.97, 132.81, 130.98, 127.26, 121.78, 99.29, 91.28, 86.34, 78.11, 78.05, 76.22, 74.40, 73.90, 70.77, 61.64. HRMS-ESI (m/z) [M + H]+ calcd for C17H15N2O6S 375.0649, found 375.0645.
5-Deca-1,3-diynyl-uridine (16h). Yield 46% as orange powder. mp 116–118 °C. 1H NMR (400 MHz, MeOD) δ 8.48 (s, 1H, H6), 5.87 (d, J = 2.8 Hz, 1H, H1′), 4.17 (d, J = 3.4 Hz, 2H, H2′,3′), 4.03 (d, J = 3.7 Hz, 1H, H4′), 3.89 (dd, J = 12.3, 2.5 Hz, 1H, H5′), 3.75 (dd, J = 12.1, 2.6 Hz, 1H, H5′), 2.34 (t, J = 6.9 Hz, 2H, CH2), 1.53 (p, J = 7.1 Hz, 2H, CH2), 1.41 (p, J = 7.0, 6.4 Hz, 2H, CH2), 1.34–1.29 (m, 4H, 2 CH2), 0.91 (t, J = 6.8 Hz, 3H, CH3). 13C NMR (101 MHz, MeOD) δ 164.22, 151.32, 146.85, 91.07, 86.20, 85.84, 79.41, 79.09, 78.76, 76.04, 70.70, 65.85, 61.62, 32.33, 29.49, 29.23, 23.49, 19.99, 14.36. HRMS-ESI (m/z) [M + H]+ calcd for C19H15N2O6 377.1709, found 377.1707.
5-[4-(2-Pyridyl)buta-1,3-diynyl]-uridine (16i). Yield 51% as black powder. mp 250–252 °C (dec.). 1H NMR (400 MHz, MeOD) δ 8.70 (s, 1H, H6), 8.54 (d, J = 4.2 Hz, 1H, Ar H3), 7.87 (dd, J = 15.5, 7.7 Hz, 1H, Ar H6), 7.63 (d, J = 7.9 Hz, 1H, Ar H5), 7.45 (dd, J = 7.6, 5.0 Hz, 1H, Ar H4), 5.89 (d, J = 2.7 Hz, 1H, H1′), 4.19 (d, J = 3.4 Hz, 2H, H2′,3′), 4.07–4.02 (m, 1H, H4′), 3.92 (dd, J = 12.3, 2.5 Hz, 1H, H5′), 3.77 (dd, J = 12.3, 2.5 Hz, 1H, H5′). 13C NMR (101 MHz, MeOD) δ 163.89, 151.04, 148.33, 138.65, 129.74, 125.53, 98.58, 91.38, 86.33, 80.75, 77.27, 76.25, 76.21, 74.74, 73.51, 70.66, 61.56, 59.60. HRMS-ESI (m/z) [M + H]+ calcd for C18H16N3O6 370.1032, found 370.1034.
5-(4-Cyclopropylbuta-1,3-diynyl)-uridine (16j). Yield 88% as white powder. mp 108–110 °C (dec.). 1H NMR (400 MHz, MeOD) δ 8.48 (s, 1H, H6), 5.87 (d, J = 2.9 Hz, 1H, H1′), 4.17 (d, J = 3.3 Hz, 2H, H2′,3′), 4.02 (d, J = 3.6 Hz, 1H, H4′), 3.89 (dd, J = 12.1, 2.6 Hz, 1H, H5′), 3.75 (dd, J = 12.3, 2.7 Hz, 1H, H5′), 1.47–1.37 (m, 1H, CHcyclopropyl), 0.93–0.86 (m, 2H, CH2), 0.77–0.70 (m, 2H, CH2). 13C NMR (101 MHz, MeOD) δ 164.30, 151.22, 147.02, 99.66, 91.17, 89.07, 86.33, 79.14, 76.13, 70.84, 66.55, 61.71, 61.05, 9.42, 0.74. HRMS-ESI (m/z) [M + H]+ calcd for C16H17N2O6 331.1079, found 331.1081.
5-(4-Phenylbuta-1,3-diynyl)-uridine (16k). Yield 62% as yellow powder. mp 184–186 °C (dec.). 1H NMR (400 MHz, MeOD) δ 8.62 (s, 1H, H6), 7.49 (d, J = 8.1 Hz, 2H, Ar H2,6), 7.44–7.38 (m, 2H, Ar H3,5), 7.36 (d, J = 6.5 Hz, 1H, Ar H4), 5.89 (d, J = 2.7 Hz, 1H, H1′), 4.19 (d, J = 2.5 Hz, 2H, H2′,3′), 4.06–4.02 (m, 1H, H4′), 3.91 (dd, J = 12.2, 2.5 Hz, 1H, H5′), 3.77 (dd, J = 12.3, 2.7 Hz, 1H, H5′). 13C NMR (101 MHz, MeOD) δ 164.08, 151.18, 147.50, 133.40, 130.58, 129.72, 122.79, 99.24, 91.30, 86.33, 82.56, 78.04, 76.23, 74.42, 70.76, 61.63. HRMS-ESI (m/z) [M + H]+ calcd for C19H17N2O6 369.1085, found 369.1081.
3.1.7. General Procedure for Acetyl Deprotection
Compounds 15a–k (0.24 mmol, 1 equiv.) were respectively dissolved in an excess of NH3/MeOH (7 N) (3.5 mL). The reaction mixture was stirred at room temperature for 24 h, and then volatiles were removed under reduced pressure. The residue was purified by silica gel column chromatography (CH2Cl2/MeOH 95/5) to give compounds 17a–k, respectively.
5-[4-[4-(Trifluoromethyl)phenyl]buta-1,3-diynyl]-2′,3′-O-isopropylidene-uridine (17a). Yield 80% as clear powder. 1H NMR (400 MHz, MeOD) δ 8.41 (s, 1H, H6), 7.68 (s, 4H, Ar), 5.90 (d, J = 2.6 Hz, 1H, H1′), 4.92 (dd, J = 6.4, 2.4 Hz, 1H, H2′), 4.84 (m, 1H, H3′), 4.28 (q, J = 3.7 Hz, 1H, H4′), 3.83 (dd, J = 12.0, 3.2 Hz, 1H, H5′), 3.74 (dd, J = 12.0, 4.2 Hz, 1H, H5′), 1.54 (s, 3H, CH3), 1.35 (s, 3H, CH3). 13C NMR (101 MHz, MeOD) δ 164.00, 150.90, 148.87, 134.01, 132.05, 131.73, 126.94, 126.61, 126.57, 126.53, 123.93, 115.02, 98.78, 94.59, 88.97, 86.40, 82.17, 80.90, 77.61, 76.74, 75.97, 62.90, 27.49, 25.49. 19F NMR (376 MHz, MeOD) δ −64.50.
5-[4-(4-Pentylphenyl)buta-1,3-diynyl]-2′,3′-O-isopropylidene-uridine (17b). Yield 71% as dark powder. 1H NMR (400 MHz, MeOD) δ 8.35 (s, 1H, H6), 7.40 (d, J = 7.8 Hz, 2H, Ar H2,6), 7.19 (d, J = 7.8 Hz, 2H, Ar H3,5), 5.90 (d, J = 2.6 Hz, 1H, H1′), 4.91 (dd, J = 6.4, 2.6 Hz, 1H, H2′), 4.87–4.85 (m, 1H, H3′), 4.27 (q, J = 3.6 Hz, 1H, H4′), 3.82 (dd, J = 11.9, 3.3 Hz, 1H, H5′), 3.74 (dd, J = 12.0, 4.2 Hz, 1H, H5′), 2.62 (t, J = 7.7 Hz, 2H, CH2), 1.62 (p, J = 7.4 Hz, 2H, CH2), 1.55 (s, 3H, CH3), 1.35 (s, 3H, CH3), 1.34–1.25 (m, 4H, 2CH2), 0.90 (t, J = 6.9 Hz, 3H, CH3 aliphatic). 13C NMR (101 MHz, MeOD) δ 164.15, 150.98, 148.20, 146.24, 133.43, 129.81, 119.90, 115.05, 99.40, 94.50, 88.89, 86.33, 83.01, 82.18, 78.39, 73.98, 73.87, 62.93, 36.84, 32.53, 32.04, 27.51, 25.52, 23.51, 14.32.
5-[4-(3,5-Dimethoxyphenyl)buta-1,3-diynyl]-2′,3′-O-isopropylidene-uridine (17c). Yield 75% as orange powder. 1H NMR (400 MHz, MeOD) δ 8.37 (s, 1H, H6), 6.65 (d, J = 2.3 Hz, 2H, Ar H2,6), 6.54 (t, J = 2.3 Hz, 1H, Ar H4), 5.90 (d, J = 2.6 Hz, 1H, H1′), 4.91 (dd, J = 6.3, 2.6 Hz, 1H, H2′), 4.28 (q, J = 3.6 Hz, 1H, H3′), 3.82 (dd, J = 11.9, 3.3 Hz, 1H, H4′), 3.78 (s, 6H, OMe), 3.77–3.73 (m, 2H, H5′), 1.54 (s, 3H, CH3), 1.35 (s, 3H, CH3). 13C NMR (101 MHz, MeOD) δ 162.28, 150.94, 148.42, 123.97, 115.03, 111.12, 103.74, 99.17, 94.55, 88.93, 86.36, 82.72, 82.18, 78.12, 74.33, 73.84, 62.92, 55.97, 27.50, 25.50.
5-[4-[4-(Trifluoromethoxy)phenyl]buta-1,3-diynyl]-2′,3′-O-isopropylidene-uridine (17d). Yield > 99% as dark orange powder. 1H NMR (400 MHz, DMSO) δ 11.82 (s, 1H, NH), 8.43 (s, 1H, H6), 7.74 (d, J = 7.4 Hz, 2H, Ar H3,5), 7.44 (d, J = 8.3 Hz, 2H, Ar H2,6), 5.84 (d, J = 2.3 Hz, 1H, H1′), 5.22 (d, J = 5.0 Hz, 1H, OH), 4.94 (dd, J = 6.2, 2.3 Hz, 1H, H2′), 4.76 (dd, J = 6.4, 3.4 Hz, 1H, H3′), 4.14 (q, J = 4.2 Hz, 1H, H4′), 3.70–3.54 (m, 2H, H5′), 1.49 (s, 3H, CH3), 1.29 (s, 3H, CH3). 13C NMR (101 MHz, DMSO) δ 161.59, 149.21, 147.53, 141.03, 134.50, 121.46, 121.17, 119.84, 118.76, 112.80, 96.46, 91.75, 87.23, 84.18, 80.15, 76.07, 76.06, 74.52, 61.02, 26.93, 25.11. 19F NMR (376 MHz, DMSO) δ −56.72.
5-[4-(3-Aminophenyl)buta-1,3-diynyl]-2′,3′-O-isopropylidene-uridine (17e). Yield 71% as dark powder. 1H NMR (400 MHz, MeOD) δ 8.35 (s, 1H, H6), 7.07 (t, J = 7.8 Hz, 1H, Ar H6), 6.84–6.77 (m, 2H, Ar H2,5), 6.74 (dd, J = 8.1, 2.3 Hz, 1H, Ar H4), 5.90 (d, J = 2.5 Hz, 1H, H1′), 4.91 (dd, J = 6.4, 2.5 Hz, 1H, H2′), 4.87–4.84 (m, 1H, H3′), 4.27 (q, J = 3.5 Hz, 1H, H4′), 3.82 (dd, J = 11.9, 3.2 Hz, 1H, H5′), 3.74 (dd, J = 12.0, 4.2 Hz, 1H, H5′), 1.55 (s, 3H, CH3), 1.35 (s, 3H, CH3). 13C NMR (101 MHz, MeOD) δ 164.15, 150.96, 149.35, 148.19, 130.30, 123.00, 122.83, 119.28, 117.73, 115.06, 99.41, 94.50, 88.89, 86.32, 83.55, 82.17, 78.42, 73.71, 73.29, 62.92, 27.50, 25.51.
5-[4-(4-Pyridyl)buta-1,3-diynyl]-2′,3′-O-isopropylidene-uridine (17f). Yield 75% as dark orange powder. 1H NMR (400 MHz, DMSO) δ 8.64 (d, J = 5.1 Hz, 2H, Ar H3,5), 8.47 (s, 1H, H6), 7.55 (d, J = 5.1 Hz, 2H, Ar H2,6), 5.83 (d, J = 2.3 Hz, 1H, H1′), 5.23 (t, J = 5.1 Hz, 1H, OH), 4.94 (dd, J = 6.2, 2.3 Hz, 1H, H2′), 4.76 (dd, J = 6.3, 3.4 Hz, 1H, H3′), 4.16 (q, J = 4.0 Hz, 1H, H4′), 3.69–3.53 (m, 2H, H5′), 1.48 (s, 3H, CH3), 1.29 (s, 3H, CH3). 13C NMR (101 MHz, DMSO) δ 161.42, 150.01, 149.11, 148.05, 128.56, 125.87, 112.81, 96.10, 91.86, 87.32, 84.24, 80.15, 78.83, 77.73, 77.52, 75.68, 61.01, 26.94, 25.12.
5-[4-(3-Thienyl)buta-1,3-diynyl]-2′,3′-O-isopropylidene-uridine (17g). Yield 89% as dark orange powder. 1H NMR (400 MHz, MeOD) δ 8.35 (s, 1H, H6), 7.74 (d, J = 3.0 Hz, 1H, Ar Ha), 7.47–7.43 (m, 1H, Ar Hc), 7.17 (d, J = 5.1 Hz, 1H, Hd), 5.90 (d, J = 2.5 Hz, 1H, H1′), 4.91 (dd, J = 6.3, 2.5 Hz, 1H, H2′), 4.87–4.84 (m, 1H, H3′), 4.27 (q, J = 3.7 Hz, 1H, H4′), 3.82 (dd, J = 12.0, 3.2 Hz, 1H, H5′), 3.74 (dd, J = 11.9, 4.2 Hz, 1H, H5′), 1.55 (s, 3H, CH3), 1.35 (s, 3H, CH3). 13C NMR (101 MHz, MeOD) δ 148.29, 132.85, 130.99, 127.23, 121.75, 115.05, 99.30, 94.51, 88.90, 86.33, 82.17, 78.24, 77.99, 74.04, 73.92, 62.92, 27.50, 25.51.
5-Deca-1,3-diynyl-2′,3′-O-isopropylidene-uridine (17h). Yield 73% as clear powder. 1H NMR (400 MHz, MeOD) δ 8.27 (s, 1H, H6), 5.88 (d, J = 2.6 Hz, 1H, H1′), 4.89 (dd, J = 6.5, 2.4 Hz, 2H, H2′,3′), 4.25 (q, J = 3.6 Hz, 1H, H4′), 3.80 (dd, J = 12.0, 3.3 Hz, 1H, H5′), 3.72 (dd, J = 12.0, 4.3 Hz, 1H, H5′), 2.36 (t, J = 6.9 Hz, 2H, CH2), 1.59–1.40 (m, 7H, CH3, 2CH2), 1.33 (d, J = 9.2 Hz, 7H, CH3, 2CH2), 0.92 (t, J = 6.7 Hz, 3H, CH3 aliphatic). 13C NMR (101 MHz, MeOD) δ 164.34, 150.98, 147.96, 115.08, 99.62, 94.38, 88.80, 86.24, 85.94, 82.16, 78.97, 67.13, 65.89, 62.91, 32.42, 29.58, 29.33, 27.50, 25.51, 23.59, 20.01, 14.35.
5-[4-(2-Pyridyl)buta-1,3-diynyl]-2′,3′-O-isopropylidene-uridine (17i). Yield 70% as dark orange powder. 1H NMR (400 MHz, MeOD) δ 8.54 (d, J = 5.0 Hz, 1H, Ar H3), 8.44 (s, 1H, H6), 7.86 (t, J = 7.8 Hz, 1H, Ar H5), 7.63 (d, J = 7.7 Hz, 1H, Ar H6), 7.44 (dd, J = 7.7, 5.0 Hz, 1H, Ar H4), 5.90 (d, J = 2.6 Hz, 1H, H1′), 4.92 (dd, J = 6.4, 2.5 Hz, 1H, H2′), 4.86 (d, J = 3.2 Hz, 1H, H3′), 4.29 (q, J = 3.5 Hz, 1H, H4′), 3.83 (dd, J = 12.0, 3.2 Hz, 1H, H5′), 3.74 (dd, J = 12.0, 4.1 Hz, 1H, H5′), 1.55 (s, 3H, CH3), 1.35 (s, 3H, CH3). 13C NMR (101 MHz, MeOD) δ 163.89, 151.05, 149.19, 142.69, 138.60, 133.03, 129.76, 125.52, 115.03, 98.55, 94.62, 89.00, 86.41, 82.18, 80.80, 77.38, 76.16, 74.70, 62.90, 27.49, 25.51.
5-(4-Cyclopropylbuta-1,3-diynyl)-2′,3′-O-isopropylidene-uridine (17j). Yield 81% as clear powder. 1H NMR (400 MHz, MeOD) δ 8.26 (s, 1H, H6), 5.88 (d, J = 2.6 Hz, 1H, H1′), 4.89 (dd, J = 6.5, 2.3 Hz, 1H, H2′), 4.83–4.80 (m, 1H, H3′), 4.25 (q, J = 3.7 Hz, 1H, H4′), 3.80 (dd, J = 11.9, 3.3 Hz, 1H, H5′), 3.72 (dd, J = 11.9, 4.2 Hz, 1H, H5′), 1.54 (s, 3H, CH3), 1.42 (tt, J = 8.7, 5.1 Hz, 1H, CH), 1.34 (s, 3H, CH3), 0.89 (dd, J = 8.0, 3.0 Hz, 2H, CH2), 0.77–0.71 (m, 2H, CH2). 13C NMR (101 MHz, MeOD) δ 164.32, 150.95, 147.97, 115.05, 99.62, 94.37, 89.12, 88.79, 86.24, 82.15, 79.23, 66.48, 62.91, 61.02, 27.50, 25.50, 9.44.
5-(4-Phenylbuta-1,3-diynyl)-2′,3′-O-isopropylidene-uridine (17k). Yield 82% as clear yellow powder. 1H NMR (400 MHz, MeOD) δ 8.37 (s, 1H, H6), 7.53–7.47 (m, 2H, Ar H2,6), 7.44–7.33 (m, 3H, Ar H3,4,5), 5.90 (d, J = 2.1 Hz, 1H, H1′), 4.91 (dd, J = 6.4, 2.5 Hz, 1H, H2′), 4.85 (d, J = 3.3 Hz, 1H, H3′), 4.27 (q, J = 3.5 Hz, 1H, H4′), 3.82 (dd, J = 11.9, 3.2 Hz, 1H, H5′), 3.74 (dd, J = 12.0, 4.2 Hz, 1H, H5′), 1.55 (s, 3H, CH3), 1.35 (s, 3H, CH3). 13C NMR (101 MHz, MeOD) δ 164.10, 150.95, 148.37, 133.42, 130.59, 129.71, 122.77, 115.05, 99.24, 94.53, 88.92, 86.34, 82.63, 82.18, 78.15, 74.39, 74.35, 62.92, 27.50, 25.51.
3.1.8. General Procedure for Ribonucleoside Phosphoramidate Pronucleotides 9a–k
In a round-bottom flask (dry and flashed), compounds 17a–k (0.14 mmol, 1 equiv.) were respectively dissolved in THF (6 mL) under inert atmosphere. The reaction mixture was cooled down to 0 °C, then t-BuMgCl (0.25 mL, 0.42 mmol, 3 equiv.) was added dropwise. After 1 h of stirring, commercially available phosphoramidate reagent 18 (193 mg, 0.42 mmol, 3 equiv.) was dissolved in 2 mL of THF then added dropwise to the mixture. The reaction was stirred at room temperature for 19 h. HCl (37%) (0.1 mL, 2.92 mmol, 21 equiv.) was then added, and the mixture was stirred for 6 h at room temperature. After completion, the solvent was evaporated, and the residue was diluted in EtOAc (30 mL) and neutralized using saturated NaHCO3. The mixture was extracted with EtOAc (3 × 15 mL). The organic layers were washed with brine, dried over MgSO4, filtrated, and concentrated under reduced pressure. The resulting crude product was then purified using silica gel flash chromatography (CH2Cl2/Acetone/MeOH 95/2.5/2.5) to give compounds 19a–k, respectively.
5-[4-[4-(Trifluoromethyl)phenyl]buta-1,3-diynyl]-uridine-5′-O-[phenyl-(isopropoxy-l-alaninyl)]-phosphate (19a). Yield 62% as yellow powder. mp 88–90 °C (dec.). 1H NMR (400 MHz, MeOD) δ 8.17 (s, 1H, H6), 7.69 (d, J = 8.2 Hz, 2H, Ar H3,5), 7.63 (d, J = 8.2 Hz, 2H, Ar H2,6), 7.38–7.27 (m, 4H, OPh), 7.15 (t, J = 7.1 Hz, 1H, OPh H4), 5.89 (d, J = 3.9 Hz, 1H, H1′), 4.95 (p, J = 6.3 Hz, 1H, Oi-Pr CH), 4.41 (ddd, J = 11.6, 5.5, 2.0 Hz, 1H, H5′), 4.34 (ddd, J = 11.7, 5.7, 3.1 Hz, 1H, H5′), 4.21–4.13 (m, 3H, H2′,3′,4′), 4.02–3.91 (m, 1H, CHNH), 1.34 (d, J = 7.1 Hz, 3H, CH3 Methyl), 1.21 (s, 3H, CH3 Oi-Pr), 1.19 (s, 3H, CH3 Oi-Pr). 13C NMR (101 MHz, MeOD) δ 174.36, 174.31, 163.77, 152.12, 151.03, 147.09, 134.02, 132.11, 131.24, 130.85, 126.91, 126.61, 126.57, 126.22, 121.52, 121.47, 99.37, 91.48, 84.19, 84.10, 81.06, 78.15, 76.84, 75.90, 75.53, 70.80, 70.26, 67.17, 67.12, 51.81, 21.96, 21.90, 20.76, 20.70. 31P NMR (162 MHz, MeOD) δ 3.86. 19F NMR (376 MHz, MeOD) δ −64.51. HRMS-ESI (m/z) [M + H]+ calcd for C32H32F3N3O10P 706.1782, found 706.1772.
5-[4-(4-Pentylphenyl)buta-1,3-diynyl]-uridine-5′-O-[phenyl-(isopropoxy-l-alaninyl)]-phosphate (19b). Yield 84% as yellow powder. mp 78–80 °C (dec.). 1H NMR (400 MHz, MeOD) δ 8.10 (s, 1H, H6), 7.37 (s, 1H, Ar H3), 7.35 (s, 1H, Ar H5), 7.34–7.27 (m, 4H, OPh), 7.19 (d, J = 8.2 Hz, 2H, Ar H2,6), 7.14 (t, J = 7.1 Hz, 1H, OPh H4), 5.89 (d, J = 4.1 Hz, 1H, H1′), 4.95 (p, J = 6.3 Hz, 1H, Oi-Pr CH), 4.41 (ddd, J = 11.8, 5.3, 1.8 Hz, 1H, H5′), 4.34 (ddd, J = 11.7, 5.8, 2.8 Hz, 1H, H5′), 4.21–4.13 (m, 3H, H2′,3′,4′), 4.02–3.93 (m, 1H, CHNH), 2.63 (t, J = 7.7 Hz, 2H, CH2), 1.62 (p, J = 7.5 Hz, 2H, CH2), 1.36–1.28 (m, 7H, CH3 Methyl, 2CH2), 1.20 (s, 3H, CH3 i-Pr), 1.19 (s, 3H, CH3 i-Pr), 0.91 (t, J = 6.9 Hz, 3H, CH3 aliphatic). 13C NMR (101 MHz, MeOD) δ 174.37, 174.32, 163.90, 152.10, 152.03, 151.09, 146.45, 146.30, 133.47, 130.84, 129.81, 126.21, 121.52, 121.48, 119.85, 99.91, 91.35, 84.20, 84.12, 83.27, 78.93, 75.49, 73.98, 73.96, 70.82, 70.26, 67.25, 67.20, 51.82, 36.85, 32.54, 32.08, 23.54, 21.96, 21.92, 14.35. 31P NMR (162 MHz, MeOD) δ 3.86. HRMS-ESI (m/z) [M + H]+ calcd for C36H43N3O10P 708.2686, found 708.2680.
5-[4-(3,5-Dimethoxyphenyl)buta-1,3-diynyl]-uridine-5′-O-[phenyl-(isopropoxy-l-alaninyl)]-phosphate (19c). Yield 60% as orange powder. mp 70–72 °C (dec.). 1H NMR (400 MHz, MeOD) δ 8.12 (s, 1H, H6), 7.38–7.28 (m, 4H, OPh), 7.15 (t, J = 7.3 Hz, 1H, OPh H4), 6.60 (d, J = 2.3 Hz, 2H, Ar H2,6), 6.55 (t, J = 2.3 Hz, 1H, Ar H4), 5.89 (d, J = 4.0 Hz, 1H, H1′), 4.96 (p, J = 6.2 Hz, 1H, Oi-Pr CH), 4.45–4.38 (m, 1H, H5′), 4.34 (td, J = 8.0, 6.7, 4.1 Hz, 1H, H5′), 4.17 (dd, J = 8.9, 4.3 Hz, 3H, H2′,3′,4′), 4.02–3.93 (m, 1H, CHNH), 3.77 (s, 6H, OMe), 1.35 (d, J = 7.1 Hz, 3H, CH3 Methyl), 1.20 (d, J = 6.2 Hz, 6H, 2CH3 i-Pr). 13C NMR (101 MHz, MeOD) δ 174.36, 174.31, 163.83, 162.25, 152.10, 152.03, 151.06, 146.65, 130.85, 126.22, 123.92, 121.53, 121.48, 111.16, 103.73, 99.73, 91.39, 84.19, 84.10, 82.99, 78.69, 75.52, 74.32, 73.95, 70.80, 70.27, 67.22, 67.17, 55.98, 51.82, 21.96, 21.91, 20.78, 20.72. 31P NMR (162 MHz, MeOD) δ 3.87. HRMS-ESI (m/z) [M + H]+ calcd for C33H36N3O12P 698.2108, found 698.2109.
5-[4-[4-(Trifluoromethoxy)phenyl]buta-1,3-diynyl]-uridine-5′-O-[phenyl-(isopropoxy-l-alaninyl)]-phosphate (19d). Yield 69% as clear yellow powder. mp 250–252 °C (dec.). 1H NMR (400 MHz, MeOD) δ 8.14 (s, 1H, H6), 7.55 (d, J = 9.0 Hz, 2H, Ar H3,5), 7.34 (t, J = 7.7 Hz, 2H, Ar H2,6), 7.29 (d, J = 8.3 Hz, 4H, OPh), 7.15 (t, J = 7.1 Hz, 1H, OPh H4), 5.88 (d, J = 3.8 Hz, 1H, H1′), 4.95 (p, J = 6.3 Hz, 1H, Oi-Pr CH), 4.41 (dd, J = 11.6, 5.4 Hz, 1H, H5′), 4.37–4.30 (m, 1H, H5′), 4.22–4.13 (m, 3H, H2′,3′,4′), 4.02–3.91 (m, 1H, CHNH), 1.35 (d, J = 7.1 Hz, 3H, CH3 Methyl), 1.21 (s, 3H, CH3 i-Pr), 1.19 (s, 3H, CH3 i-Pr). 13C NMR (101 MHz, MeOD) δ 174.37, 174.32, 163.79, 152.13, 152.06, 151.06, 150.97, 146.87, 135.39, 130.83, 126.20, 123.07, 122.26, 121.87, 121.51, 121.47, 120.52, 99.57, 91.49, 84.20, 84.11, 81.22, 78.37, 75.50, 75.43, 75.03, 70.82, 70.27, 67.21, 67.16, 51.83, 21.95, 21.90, 20.76, 20.70. 31P NMR (162 MHz, MeOD) δ 3.85. 19F NMR (376 MHz, MeOD) δ −59.42. HRMS-ESI (m/z) [M + H]+ calcd for C32H32F3N3O11P 722.1706, found 722.1702.
5-[4-(3-Aminophenyl)buta-1,3-diynyl]-uridine-5′-O-[phenyl-(isopropoxy-l-alaninyl)]-phosphate (19e). Yield 45% as yellow powder. mp 110–112 °C (dec.). 1H NMR (400 MHz, MeOD) δ 8.09 (s, 1H, H6), 7.38–7.27 (m, 4H, OPh), 7.16 (t, J = 7.1 Hz, 1H, OPh H4), 7.07 (t, J = 7.8 Hz, 1H, Ar H6), 6.78 (s, 1H, Ar H2), 6.75 (d, J = 8.0 Hz, 2H, Ar H3,4), 5.89 (d, J = 4.2 Hz, 1H, H1′), 4.96 (p, J = 6.3 Hz, 1H, Oi-Pr CH), 4.40 (ddd, J = 11.7, 5.4, 1.8 Hz, 1H, H5′), 4.34 (ddd, J = 11.8, 5.8, 2.7 Hz, 1H, H5′), 4.17 (dd, J = 9.5, 4.5 Hz, 3H, H2′,3′,4′), 4.03–3.93 (m, 1H, CHNH), 1.35 (d, J = 7.2 Hz, 3H, CH3 Methyl), 1.21 (s, 3H, CH3 i-Pr), 1.19 (s, 3H, CH3 i-Pr). 13C NMR (101 MHz, MeOD) δ 174.40, 174.35, 163.95, 152.07, 152.01, 151.13, 149.36, 146.40, 130.86, 130.29, 126.25, 122.94, 122.88, 121.52, 121.47, 119.30, 117.77, 99.96, 91.33, 84.22, 84.14, 83.86, 79.00, 75.47, 73.69, 73.40, 70.83, 70.29, 67.26, 67.21, 51.83, 21.96, 21.91, 20.76, 20.70. 31P NMR (162 MHz, MeOD) δ 3.87. HRMS-ESI (m/z) [M + H]+ calcd for C31H34N4O10P 653.2011, found 653.2007.
5-[4-(4-Pyridyl)buta-1,3-diynyl]-uridine-5′-O-[phenyl-(isopropoxy-l-alaninyl)]-phosphate (19f). Yield 35% as dark orange powder. mp 106–108 °C (dec.). 1H NMR (400 MHz, MeOD) δ 8.56 (d, J = 1.6 Hz, 1H, Ar H5), 8.55 (d, J = 1.7 Hz, 1H, Ar H3), 8.20 (s, 1H, H6), 7.43 (d, J = 1.7 Hz, 1H, Ar H6), 7.42 (d, J = 1.7 Hz, 1H, Ar H2), 7.35–7.27 (m, 4H, OPh), 7.15 (d, J = 7.2 Hz, 1H, OPh H4), 5.88 (d, J = 3.7 Hz, 1H, H1′), 4.95 (p, J = 6.3 Hz, 1H, Oi-Pr CH), 4.42 (ddd, J = 11.7, 5.5, 2.1 Hz, 1H, H5′), 4.37–4.31 (m, 1H, H5′), 4.21–4.14 (m, 3H, H2′,3′,4′), 3.95 (dd, J = 10.1, 7.1 Hz, 1H, CHNH), 1.34 (d, J = 7.1 Hz, 3H, CH3 Methyl), 1.21 (s, 3H, CH3 i-Pr), 1.19 (s, 3H, CH3 i-Pr). 13C NMR (101 MHz, MeOD) δ 174.35, 174.30, 163.67, 152.11, 152.05, 150.99, 150.45, 147.50, 132.04, 130.85, 127.65, 126.23, 121.52, 121.47, 99.04, 91.56, 84.17, 84.09, 79.36, 79.29, 77.72, 77.38, 75.54, 70.78, 70.26, 67.13, 67.08, 51.80, 21.96, 21.91, 20.75, 20.69. 31P NMR (162 MHz, MeOD) δ 3.86. HRMS-ESI (m/z) [M + H]+ calcd for C30H32N4O10P 639.1855, found 639.1851.
5-[4-(3-Thienyl)buta-1,3-diynyl]-uridine-5′-O-[phenyl-(isopropoxy-l-alaninyl)]-phosphate (19g). Yield 57% as orange powder. mp 94–96 °C (dec.). 1H NMR (400 MHz, MeOD) δ 8.10 (s, 1H, H6), 7.70 (d, J = 3.0 Hz, 1H, Ha), 7.45 (dd, J = 5.1, 2.9 Hz, 1H, Hc), 7.37–7.27 (m, 4H, OPh), 7.18–7.10 (m, 2H, OPh H4, Hd), 5.88 (d, J = 4.0 Hz, 1H, H1′), 4.96 (p, J = 6.3 Hz, 1H, Oi-Pr CH), 4.45–4.30 (m, 2H, H5′), 4.21–4.12 (m, 3H, H2′,3′,4′), 4.01–3.92 (m, 1H, CHNH), 1.35 (d, J = 7.1 Hz, 3H, CH3 Methyl), 1.21 (s, 3H, CH3 i-Pr), 1.19 (s, 3H, CH3 i-Pr). 13C NMR (101 MHz, MeOD) δ 174.38, 174.33, 163.87, 152.10, 152.03, 151.09, 146.53, 132.93, 131.00, 130.83, 127.24, 126.20, 121.72, 121.52, 121.47, 99.86, 91.40, 84.20, 84.12, 78.81, 78.27, 75.47, 74.02, 70.83, 70.27, 67.25, 67.20, 51.82, 21.96, 21.91, 20.76, 20.69. 31P NMR (162 MHz, MeOD) δ 3.85. HRMS-ESI (m/z) [M + H]+ calcd for C29H31N3O10PS 644.1456, found 644.1462.
5-Deca-1,3-diynyl-uridine-5′-O-[phenyl-(isopropoxy-l-alaninyl)]-phosphate (19h). Yield 28% as clear yellow powder. mp 92–94 °C (dec.). 1H NMR (400 MHz, MeOD) δ 8.02 (s, 1H, H6), 7.37 (t, J = 7.9 Hz, 2H, OPh), 7.29 (d, J = 7.7 Hz, 2H, OPh), 7.20 (t, J = 7.5 Hz, 1H, OPh H4), 5.86 (d, J = 4.4 Hz, 1H, H1′), 4.97 (p, J = 6.2 Hz, 1H, Oi-Pr CH), 4.41–4.29 (m, 2H, H5′), 4.19–4.10 (m, 3H, H2′,3′,4′), 4.01–3.92 (m, 1H, CHNH), 2.32 (t, J = 6.9 Hz, 2H, CH2), 1.51 (p, J = 6.8 Hz, 2H, CH2), 1.41 (q, J = 7.4 Hz, 2H, CH2), 1.34 (d, J = 6.7 Hz, 3H, CH3 Methyl), 1.31–1.25 (m, 4H, 2CH2), 1.23 (d, J = 2.3 Hz, 3H, CH3 i-Pr), 1.21 (d, J = 2.3 Hz, 3H, CH3 i-Pr), 0.91 (t, J = 6.8 Hz, 3H, CH3 aliphatic). 13C NMR (101 MHz, MeOD) δ 174.37, 174.32, 152.13, 152.06, 146.20, 130.83, 126.19, 121.54, 121.49, 100.11, 91.27, 86.29, 84.18, 84.09, 79.56, 75.37, 70.81, 70.25, 67.31, 67.26, 67.15, 65.95, 51.80, 32.44, 29.60, 29.29, 23.59, 21.98, 21.93, 20.77, 20.70, 20.06, 14.38. 31P NMR (162 MHz, MeOD) δ 3.80. HRMS-ESI (m/z) [M + H]+ calcd for C31H41N3O10P 646.2524, found 646.2524.
5-[4-(2-Pyridyl)buta-1,3-diynyl]-uridine-5′-O-[phenyl-(isopropoxy-l-alaninyl)]-phosphate (19i). Yield 49% as dark orange powder. mp 92–94 °C (dec.). 1H NMR (400 MHz, MeOD) δ 8.54 (d, J = 5.0 Hz, 1H, Ar H3), 8.17 (d, J = 1.5 Hz, 1H, H6), 7.85 (t, J = 7.7 Hz, 1H, Ar H5), 7.57 (d, J = 7.9 Hz, 1H, Ar H6), 7.44 (dd, J = 7.7, 5.1 Hz, 1H, Ar H4), 7.38–7.26 (m, 4H, OPh), 7.13 (t, J = 7.1 Hz, 1H, OPh H4), 5.88 (d, J = 2.7 Hz, 1H, H1′), 4.96 (p, J = 6.3 Hz, 1H, Oi-Pr CH), 4.41 (dd, J = 11.6, 5.7 Hz, 1H, H5′), 4.36–4.30 (m, 1H, H5′), 4.18 (t, J = 4.6 Hz, 3H, H2′,3′,4′), 4.01–3.90 (m, 1H, CHNH), 1.35 (d, J = 7.2 Hz, 3H, CH3 Methyl), 1.21 (s, 3H, CH3 i-Pr), 1.19 (s, 3H, CH3 i-Pr). 13C NMR (101 MHz, MeOD) δ 163.89, 151.05, 149.19, 142.69, 138.60, 129.76, 125.52, 115.03, 98.55, 94.62, 89.00, 86.41, 82.18, 80.80, 77.38, 76.16, 74.70, 62.90, 27.49, 25.51. 31P NMR (162 MHz, MeOD) δ 3.89. HRMS-ESI (m/z) [M + H]+ calcd for C30H32N4O10P 639.1814, found 639.1811.
5-(4-Cyclopropylbuta-1,3-diynyl)-uridine-5′-O-[phenyl-(isopropoxy-l-alaninyl)]-phosphate (19j). Yield 48% as clear powder. mp 142–144 °C. 1H NMR (400 MHz, MeOD) δ 8.00 (s, 1H, H6), 7.38 (t, J = 7.8 Hz, 2H, OPh), 7.28 (d, J = 8.0 Hz, 2H, OPh), 7.20 (t, J = 7.3 Hz, 1H, OPh H4), 5.86 (d, J = 4.3 Hz, 1H, H1′), 4.97 (p, J = 6.2 Hz, 1H, Oi-Pr CH), 4.40–4.29 (m, 2H, H5′), 4.19–4.10 (m, 3H, H2′,3′,4′), 4.00–3.91 (m, 1H, CHNH), 1.40 (td, J = 8.6, 4.5 Hz, 1H, CHcyclopropyl), 1.34 (d, J = 7.1 Hz, 3H, CH3 Methyl), 1.22 (dd, J = 6.8, 2.7 Hz, 6H, 2CH3 i-Pr), 0.88 (dt, J = 7.8, 3.4 Hz, 2H, CH2cyclopropyl), 0.73–0.66 (m, 2H, CH2cyclopropyl). 13C NMR (101 MHz, MeOD) δ 174.38, 174.33, 164.08, 152.11, 152.05, 151.10, 146.19, 130.83, 126.21, 121.52, 121.48, 100.17, 91.30, 89.46, 84.18, 84.10, 79.83, 75.38, 70.82, 70.27, 67.30, 67.25, 66.49, 61.11, 51.81, 21.97, 21.93, 20.74, 20.68, 9.46, 0.78. 31P NMR (162 MHz, MeOD) δ 3.81. HRMS-ESI (m/z) [M + H]+ calcd for C31H33N3O10P 638.1898, found 638.1898.
5-(4-Phenylbuta-1,3-diynyl)-uridine-5′-O-[phenyl-(isopropoxy-l-alaninyl)]-phosphate (19k). Yield 49% as orange powder. mp 88–90 °C. 1H NMR (400 MHz, MeOD) δ 8.12 (s, 1H, H6), 7.45 (dd, J = 8.2, 1.7 Hz, 2H, Ar), 7.42–7.34 (m, 3H, Ar), 7.34–7.26 (m, 4H, OPh), 7.14 (t, J = 7.0 Hz, 1H, OPh H4), 5.89 (d, J = 4.0 Hz, 1H, H1′), 4.96 (p, J = 6.3 Hz, 1H, Oi-Pr CH), 4.41 (ddd, J = 11.8, 5.3, 1.9 Hz, 1H, H5’), 4.34 (ddd, J = 11.8, 5.7, 2.7 Hz, 1H, H5′), 4.21–4.13 (m, 3H, H2′,3′,4′), 4.03–3.93 (m, 1H, CHNH), 1.35 (d, J = 7.1 Hz, 3H, CH3 Methyl), 1.20 (s, 3H, CH3 i-Pr), 1.19 (s, 3H, CH3 i-Pr). 13C NMR (101 MHz, MeOD) δ 174.37, 174.32, 163.92, 152.10, 152.03, 151.11, 146.60, 133.46, 130.83, 130.63, 129.70, 126.20, 122.71, 121.51, 121.47, 99.78, 91.38, 84.19, 84.11, 82.88, 78.71, 75.49, 74.51, 74.35, 70.81, 70.26, 67.24, 67.19, 51.82, 21.96, 21.91, 20.76, 20.70. 31P NMR (162 MHz, MeOD) δ 3.86. HRMS-ESI (m/z) [M + H]+ calcd for C28H33N3O10P 602.1896, found 602.1898.
3.2. Antiviral Activity Assays
3.2.1. Against SARS-CoV-2 Virus
Cell Lines, Cell Culture, and Reagents
The human pulmonary alveolar A549-hACE2 cells were engineered using a lentiviral vector from Flash Therapeutics (Toulouse, France) to express the human receptor ACE2. A549 cells obtained from ECACC (#86012804) were transduced and maintained in RPMI supplemented with 10% heat inactivated fetal bovine serum (FBS), 50 U/mL of penicillin, 50 µg/mL of streptomycin, 25 mM of HEPES, and 1 mM of sodium pyruvate at 37 °C with 5% CO2. Cells were then sorted by FACS in order to obtain an A549-hACE2 population stably expressing hACE2.
4. Conclusions
In conclusion, this study highlights the synthesis and antiviral evaluation of novel C5-substituted-(1,3-diyne)-uridine derivatives and their phosphoramidate pronucleotides. Despite structural variations and successful synthesis using Sonogashira and Cadiot–Chodkiewicz reactions, these compounds showed no significant (≥85% inhibition of infected cell viability) antiviral activity against selected RNA viruses with ≤85% toxicity. The lack of effectiveness may be attributed to challenges in cellular activation, poor binding affinity to diverse viral RdRps, and potential interference in enzymatic recognition due to C5-modifications.
Supplementary Materials
The following supporting information can be downloaded at: https://www.mdpi.com/article/10.3390/molecules30010096/s1, 1H-, 13C-, 19F-, and 31P-NMR spectra of all compounds.
Author Contributions
Conceptualization: L.A.A. and V.R.; Experiments: E.S., O.B. and K.A.; Supervision: L.A.A. and V.R.; Writing—review and editing: E.S. and L.A.A. Funding acquisition: L.A.A. All authors have read and agreed to the published version of the manuscript.
Funding
E.S. is grateful to the French Defense Innovation Agency (AID) and CNRS (GAVO program) for a Ph.D. scholarship. Authors thank MESR and CNRS (GAVO program) for partial financial support which made this study possible. ICOA UMR CNRS 7311 receives grants from the University of Orléans and from the CNRS as well as from FEDER (EX003677, EX011313, 2021-2027-00022860), Labex SYNORG (ANR-11-LABX-0029), and IRON (ANR-11-LABX-0018-01), and the SALSA platform for spectroscopic measurements.
Institutional Review Board Statement
Not applicable.
Informed Consent Statement
Not applicable.
Data Availability Statement
Data are contained within the article and Supplementary Materials.
Acknowledgments
The authors thank the VIROCRIB technology platform for antiviral evaluation.
Conflicts of Interest
The authors declare no conflict of interest.
Abbreviations: DNA: deoxyribonucleic acid; RNA, ribonucleic acid; EC50, compound concentration affording 50% inhibition of the viral cytopathicity; CC50, compound concentration affording 50% inhibition of cytotoxicity; MW, microwave; TMEDA, tetramethylenediamine; DMF, dimethylformamide; TBAF, tetrabutylammonium fluoride; THF, tetrahydrofuran; DMSO, dimethylsulfoxide; RdRp, RNA-dependent RNA polymerase; EDG, electron donating group; EWG, electron withdrawing group; PE, Petroleum Ether; HCV, hepatitis C virus; RSV, Respiratory Syncytial Virus; HEV, hepatitis E virus.
References
- Bloom, D.E.; Cadarette, D. Infectious Disease Threats in the Twenty-First Century: Strengthening the Global Response. Front. Immunol. 2019, 10, 549. [Google Scholar] [CrossRef]
- Grubaugh, N.D.; Ladner, J.T.; Lemey, P.; Pybus, O.G.; Rambaut, A.; Holmes, E.C.; Andersen, K.G. Tracking virus outbreaks in the twenty-first century. Nat. Microbiol. 2018, 4, 10–19. [Google Scholar] [CrossRef]
- Seley-Radtke, K.L.; Yates, M.K. The evolution of nucleoside analogue antivirals: A review for chemists and non-chemists. Part 1: Early structural modifications to the nucleoside scaffold. Antivir. Res. 2018, 154, 66–86. [Google Scholar] [CrossRef]
- Ojeda-Porras, A.C.; Roy, V.; Agrofoglio, L.A. Chemical Approaches to Carbocyclic Nucleosides. Chem. Rec. 2022, 22, e202100307. [Google Scholar] [CrossRef] [PubMed]
- Lin, X.; Liang, C.; Zou, L.; Yin, Y.; Wang, J.; Chen, D.; Lan, W. Advance of structural modification of nucleosides scaffold. Eur. J. Med. Chem. 2021, 214, 113233. [Google Scholar] [CrossRef] [PubMed]
- de Farias, S.T.; Dos Santos Junior, A.P.; Rêgo, T.G.; José, M.V. Origin and Evolution of RNA-Dependent RNA Polymerase. Front. Genet. 2017, 8, 125. [Google Scholar] [CrossRef]
- Venkataraman, S.; Prasad, B.V.L.S.; Selvarajan, R. RNA Dependent RNA Polymerases: Insights from Structure, Function and Evolution. Viruses 2018, 10, 76. [Google Scholar] [CrossRef] [PubMed]
- Maheden, K.; Todd, B.; Gordon, C.J.; Tchesnokov, E.P.; Götte, M. Inhibition of viral RNA-dependent RNA polymerases with clinically relevant nucleotide analogs. Enzymes 2021, 49, 315–354. [Google Scholar] [CrossRef] [PubMed]
- Sofia, M.J.; Bao, D.; Chang, W.; Du, J.; Nagarathnam, D.; Rachakonda, S.; Reddy, P.G.; Ross, B.S.; Wang, P.; Zhang, H.-R.; et al. Discovery of a β-d-2′-deoxy-2′-α-fluoro-2′-β-C-methyluridine nucleotide prodrug (PSI-7977) for the treatment of hepatitis C virus. J. Med. Chem. 2010, 53, 7202–7218. [Google Scholar] [CrossRef] [PubMed]
- Pagliano, P.; Sellitto, C.; Ascione, T.; Scarpati, G.; Folliero, V.; Piazza, O.; Franci, G.; Filippelli, A.; Conti, V. The preclinical discovery and development of molnupiravir for the treatment of SARS-CoV-2 (COVID-19). Expert Opin. Drug Discov. 2022, 17, 1299–1311. [Google Scholar] [CrossRef]
- Oey, A.; McClure, M.; Symons, J.A.; Chanda, S.; Fry, J.; Smith, P.F.; Luciani, K.; Fayon, M.; Chokephaibulkit, K.; Uppala, R.; et al. Lumicitabine, an orally administered nucleoside analog, in infants hospitalized with respiratory syncytial virus (RSV) infection: Safety, efficacy, and pharmacokinetic results. PLoS ONE 2023, 18, e0288271. [Google Scholar] [CrossRef] [PubMed]
- Mehellou, Y.; Balzarini, J.; McGuigan, C. Aryloxy phosphoramidate triesters: A technology for delivering monophosphorylated nucleosides and sugars into cells. ChemMedChem 2009, 4, 1779–1791. [Google Scholar] [CrossRef]
- Sofia, M.J. Nucleotide prodrugs for the treatment of HCV infection. Adv. Pharmacol. 2013, 67, 39–73. [Google Scholar] [CrossRef] [PubMed]
- Kozak, W.; Demkowicz, S.; Dasko, M.; Rachon, J.; Rak, J. Modifications at the C(5) position of pyrimidine nucleosides. Russ. Chem. Rev. 2020, 89, 281–310. [Google Scholar] [CrossRef]
- Kollatos, N.; Mitsos, C.; Manta, S.; Tzioumaki, N.; Giannakas, C.; Alexouli, T.; Panagiotopoulou, A.; Schols, D.; Andrei, G.; Komiotis, D. Design, Synthesis, and Biological Evaluation of Novel C5-Modified Pyrimidine Ribofuranonucleosides as Potential Antitumor or/and Antiviral Agents. Med. Chem. 2020, 16, 368–384. [Google Scholar] [CrossRef]
- Xiao, Q.; Ranasinghe, R.T.; Tang, A.M.P.; Brown, T. Naphthalenyl- and Anthracenyl-Ethynyl dT Analogues as Base Discriminating Fluorescent Nucleosides and Intramolecular Energy Transfer Donors in Oligonucleotide Probes. Tetrahedron 2007, 63, 3483–3490. [Google Scholar] [CrossRef]
- De Clercq, E. (E)-5-(2-bromovinyl)-2′-deoxyuridine (BVDU). Med Res Rev. 2005, 25, 1–20. [Google Scholar] [CrossRef] [PubMed]
- Whitley, R.J. Sorivudine: A promising drug for the treatment of varicella-zoster virus infection. Neurology 1995, 45, S73–S75. [Google Scholar] [CrossRef]
- Uchikubo, Y.; Hasegawa, T.; Mitani, S.; Kim, H.S.; Wataya, Y. Mechanisms of cell death induced by 5-fluoro-2′-deoxyuridine (FUdR)--necrosis or apoptosis after treated with FUdR. Nucleic Acids Symp. Ser. 2002, 2, 245–246. [Google Scholar] [CrossRef][Green Version]
- De Clercq, E.; Descamps, J.; Balzarini, J.; Giziewicz, J.; Barr, P.J.; Robins, M.J. Nucleic acid related compounds. 40. Synthesis and biological activities of 5-alkynyluracil nucleosides. J. Med. Chem. 1983, 26, 661–666. [Google Scholar] [CrossRef]
- Sari, O.; Roy, V.; Balzarini, J.; Snoeck, R.; Andrei, G.; Agrofoglio, L.A. Synthesis and antiviral evaluation of C5-substituted-(1,3-diyne)-2′-deoxyuridines. Eur. J. Med. Chem. 2012, 53, 220–228. [Google Scholar] [CrossRef] [PubMed]
- Sonogashira, K. Development of Pd–Cu Catalyzed Cross-Coupling of Terminal Acetylenes with Sp2-Carbon Halides. J. Organometal. Chem. 2002, 653, 46–49. [Google Scholar] [CrossRef]
- Petricci, E.; Radi, M.; Corelli, F.; Botta, M. Microwave-Enhanced Sonogashira Coupling Reaction of Substituted Pyrimidinones and Pyrimidine Nucleosides. Tetrahedron Lett. 2003, 44, 9181–9184. [Google Scholar] [CrossRef]
- Cadiot, P.; Chodiewicz, W. Coupling of acetylenes. In Chemistry of Acetylenes; Viehe, H.G., Ed.; Marcel Dekker: New York, NY, USA, 1969; pp. 597–647. [Google Scholar]
- Yin, W.; He, C.; Chen, M.; Zhang, H.; Lei, A. Nickel-catalyzed oxidative coupling reactions of two different terminal alkynes using O2 as the oxidant at room temperature: Facile syntheses of unsymmetric 1,3-diynes. Org. Lett. 2009, 11, 709–712. [Google Scholar] [CrossRef] [PubMed]
- Asha, S.; Anjana, S.; Thomas, A.M.; Thomas, M.E.; Rohit, K.R.; Krishnan, K.K.; Ujwaldev, S.M.; Anilkumar, G. A convenient route to 1,3-diynes using ligand-free Cadiot-Chodkiewicz coupling reaction at room temperature under aerobic conditions. Synth. Comm. 2019, 49, 256–265. [Google Scholar] [CrossRef]
- Hernández, S.; Feracci, M.; De Jesus, C.T.; El Kazzi, P.; Kaci, R.; Garlatti, L.; Mondielli, C.; Bailly, F.; Cotelle, P.; Touret, F.; et al. Identification of potent inhibitors of arenavirus and SARS-CoV-2 exoribonucleases by fluorescence polarization assay. Antivir. Res. 2022, 204, 105364. [Google Scholar] [CrossRef] [PubMed]
Disclaimer/Publisher’s Note: The statements, opinions and data contained in all publications are solely those of the individual author(s) and contributor(s) and not of MDPI and/or the editor(s). MDPI and/or the editor(s) disclaim responsibility for any injury to people or property resulting from any ideas, methods, instructions or products referred to in the content. |
© 2024 by the authors. Licensee MDPI, Basel, Switzerland. This article is an open access article distributed under the terms and conditions of the Creative Commons Attribution (CC BY) license (https://creativecommons.org/licenses/by/4.0/).


