Weakly-Activated Phenol Derivatives as New Green Electrophilic Partners in Suzuki–Miyaura and Related C-C Couplings
Abstract
1. Introduction
- ▪ O-aryl esters;
- ▪ Aryl carbonates;
- ▪ Aryl carbamates;
- ▪ Aryl ethers.
2. O-Aryl Esters (Aryl Carboxylates)
3. Aryl Carbamates
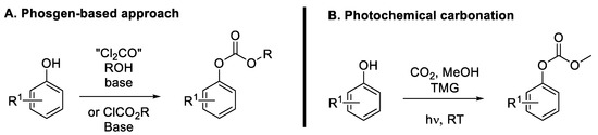
4. Aryl Carbonates
5. Aryl Ethers
5.1. Anisoles and Other O-Alkyl Ethers
5.2. 2-Pyridyl Ethers and Related Compounds
6. In Situ Activation of Phenols
6.1. Phosphonium Activation (PyBroP)
6.2. Trichlorotriazine Activation (TCT)
6.3. Dichloroimidazolinedione Activation (DCID)
6.4. Sulfonate Activation
6.5. Uronium Activation (TFFH)
7. Conclusions
Author Contributions
Funding
Conflicts of Interest
References
- Beletskaya, I.P.; Alonso, F.; Tyurin, V. The Suzuki-Miyaura reaction after the Nobel prize. Coord. Chem. Rev. 2019, 385, 137–173. [Google Scholar] [CrossRef]
- Miyaura, N.; Yamada, K.; Suzuki, A. A new stereospecific cross-coupling by the palladium-catalyzed reaction of 1-alkenylboranes with 1-alkenyl or 1-alkynyl halides. Tetrahedron Lett. 1979, 20, 3437–3440. [Google Scholar] [CrossRef]
- Farhang, M.; Akbarzadeh, A.R.; Rabanni, M.; Ghadiri, A.M. A retrospective-prospective review of Suzuki–Miyaura reaction: From cross-coupling reaction to pharmaceutical industry applications. Polyhedron 2022, 227, 116124. [Google Scholar] [CrossRef]
- Hu, Y.; Gao, Y.; Ye, J.; Ma, Z.; Feng, J.; Liu, X.; Lei, P.; Szostak, M. Suzuki–Miyaura Cross-Coupling of 2-Pyridyl Trimethylammonium Salts by N–C Activation Catalyzed by Air- and Moisture-Stable Pd–NHC Precatalysts: Application to the Discovery of Agrochemicals. Org. Lett. 2023, 25, 2975–2980. [Google Scholar] [CrossRef] [PubMed]
- Kotha, S.; Lahiri, K.; Kashinath, D. Recent applications of the Suzuki–Miyaura cross-coupling reaction in organic synthesis. Tetrahedron 2002, 58, 9633–9695. [Google Scholar] [CrossRef]
- Martin, R.; Buchwald, S.L. Palladium-Catalyzed Suzuki-Miyaura Cross Coupling Reactions Employing Dialkylbiaryl Phosphine Ligands. Acc. Chem. Res. 2008, 41, 1461–1473. [Google Scholar] [CrossRef] [PubMed]
- Fu, G.C. The Development of Versatile Methods for Palladium-Catalyzed Coupling Reactions of Aryl Electrophiles through the Use of P(t-Bu)3 and PCy3 as Ligands. Acc. Chem. Res. 2008, 41, 1555–1564. [Google Scholar] [CrossRef] [PubMed]
- Chen, L.; Ren, P.; Carrow, B.P. Tri(1-adamantyl) phosphine: Expanding the Boundary of Electron-Releasing Character Available to Organophosphorus Compounds. J. Am. Chem. Soc. 2016, 138, 6392–6395. [Google Scholar] [CrossRef]
- Szilvasi, T.; Veszprémi, T. Internal Catalytic Effect of Bulky NHC Ligands in Suzuki−Miyaura Cross-Coupling Reaction. ACS Catal. 2013, 3, 1984–1991. [Google Scholar] [CrossRef]
- Diao, H.; Shi, Z.; Liu, F. Biaryl Construction Based on Nickel-Catalyzed C–O Bond Activation. Synlett 2021, 32, 1494–1512. [Google Scholar] [CrossRef]
- Ahmed, A.; Mushtaq, I.; Chinnam, S. Suzuki–Miyaura cross-couplings for alkyl boron reagent: Recent developments—A review. Future J. Pharm. Sci. 2023, 9, 67–88. [Google Scholar] [CrossRef]
- Ashworth, I.W.; Campbell, A.D.; Cherryman, J.H.; Clark, J.; Crampton, A.; Eden-Rump, E.G.B.; Evans, M.; Jones, M.F.; McKeever-Abbas, S.; Meadows, R.E.; et al. Process Development of a Suzuki Reaction Used in the Manufacture of Lanabecestat. Org. Process Res. Dev. 2018, 22, 1801–1808. [Google Scholar] [CrossRef]
- Hooshmand, S.E.; Heidari, B.; Sedghi, R.; Varma, R.S. Recent advances in the Suzuki–Miyaura cross-coupling reaction using efficient catalysts in eco-friendly media. Green Chem. 2019, 21, 381–405. [Google Scholar] [CrossRef]
- Zhou, T.; Szostak, M. Palladium-catalyzed cross-couplings by C–O bond activation. Catal. Sci. Technol. 2020, 10, 5702–5739. [Google Scholar] [CrossRef]
- Zarate, C.; van Gemmeren, M.; Sommerville, R.J.; Martin, R. Phenol Derivatives: Modern Electrophiles in Cross-Coupling Reactions. In Advances in Organometallic Chemistry; Elsiever: Amsterdam, The Netherlands, 2016; Volume 66, pp. 143–222. [Google Scholar]
- Han, F.S. Transition-metal-catalyzed Suzuki–Miyaura cross-coupling reactions: A remarkable advance from palladium to nickel catalysts. Chem. Soc. Rev. 2013, 42, 5270–5298. [Google Scholar] [CrossRef] [PubMed]
- Baviskar, B.A.; Ajmire, P.V.; Chumbahle, D.S.; Khan, M.S.; Kuchake, V.G.; Singupuram, M.; Laddha, P.R. Recent advances in nickel catalyzed Suzuki-Miyaura cross coupling reaction via C-O & C-N bond activation. Sustain. Chem. Pharm. 2023, 32, 100953. [Google Scholar] [CrossRef]
- Diccianni, J.B.; Diao, T. Mechanisms of Nickel-Catalyzed Cross-Coupling Reactions. Trends Chem. 2019, 1, 830–844. [Google Scholar] [CrossRef]
- Quadrelli, E.A.; Centi, G.; Duplan, J.-L.; Perthoner, S. Carbon Dioxide Recycling: Emerging Large-Scale Technologies with Industrial Potential. ChemSusChem 2011, 4, 1194–1215. [Google Scholar] [CrossRef] [PubMed]
- Zhang, Z.; Zhao, Z.; Liu, M.; Liu, H.; Li, Q.; Xiang, J.; Wu, T.; Han, B. Acylation of phenols to phenolic esters with organic salts. Green Chem. 2022, 24, 9763–9771. [Google Scholar] [CrossRef]
- Quasdorf, K.W.; Tian, X.; Garg, N.K. Cross-Coupling Reactions of Aryl Pivalates with Boronic Acids. J. Am. Chem. Soc. 2008, 130, 14422–14423. [Google Scholar] [CrossRef] [PubMed]
- Guan, B.-T.; Wang, Y.; Li, B.-J.; Yu, D.-G.; Shi, Z.-J. Biaryl Construction via Ni-Catalyzed C-O Activation of Phenolic Carboxylates. J. Am. Chem. Soc. 2008, 130, 14468–14470. [Google Scholar] [CrossRef]
- Li, Z.; Zhang, S.-L.; Fu, Y.; Guo, Q.-X.; Liu, L. Mechanism of Ni-Catalyzed Selective C-O Bond Activation in Cross-Coupling of Aryl Esters. J. Am. Chem. Soc. 2009, 131, 8815–8823. [Google Scholar] [CrossRef] [PubMed]
- Molander, G.A.; Beaumard, F. Nickel-Catalyzed C-O Activation of Phenol Derivatives with Potassium Heteroaryltrifluoroborates. Org. Lett. 2010, 12, 4022–4025. [Google Scholar] [CrossRef]
- Li, B.-J.; Li, Y.-Z.; Lu, X.-Y.; Liu, J.; Guan, B.-T.; Shi, Z.-J. Cross-Coupling of Aryl/Alkenyl Pivalates with Organozinc Reagents through Nickel-Catalyzed C-O Bond Activation under Mild Reaction Conditions. Angew. Chem. Int. Ed. 2008, 47, 10124–10127. [Google Scholar] [CrossRef]
- Muto, K.; Yamaguchi, J.; Itami, K. Nickel-Catalyzed C−H/C−O Coupling of Azoles with Phenol Derivatives. J. Am. Chem.Soc. 2012, 134, 169–172. [Google Scholar] [CrossRef] [PubMed]
- Muto, K.; Yamaguchi, J.; Lei, A.; Itami, K. Isolation, Structure, and Reactivity of an Arylnickel(II) Pivalate Complex in Catalytic C−H/C−O Biaryl Coupling. J. Am. Chem. Soc. 2013, 135, 16384–16387. [Google Scholar] [CrossRef] [PubMed]
- Chaturvedi, D.; Mishra, N.; Mishra, V. Various Approaches for the Synthesis of Organic Carbamates. Curr. Org. Synth. 2007, 4, 308–320. [Google Scholar] [CrossRef]
- Chaturvedi, D. Perspectives on the synthesis of organic carbamates. Tetrahedron 2012, 68, 15–45. [Google Scholar] [CrossRef]
- Raucher, S.; Jones, D.S. A Convenient Method for the Conversion of Amines to Carbamates. Synth. Commun. 1985, 15, 1025–1031. [Google Scholar] [CrossRef]
- Gayke, M.; Hirapara, N.; Narode, H.; Bhosle, S.D.; Bhosale, R.S.; Yadav, J.S. Zinc Chloride-Catalyzed Synthesis of Carbamates: An Application for the Synthesis of the Anti-Alzheimer’s Drug Rivastigmine. ACS Omega 2022, 7, 36017–36027. [Google Scholar] [CrossRef] [PubMed]
- Varjosaari, S.E.; Suating, P.; Adler, M.J. One-Pot Synthesis of O-Aryl Carbamates. Synthesis 2016, 48, 43–47. [Google Scholar] [CrossRef]
- Satchell, D.P.N.; Satchell, R.S. Acylation by Ketens and Isocyanates. A Mechanistic Comparison. Chem. Soc. Rev. 1975, 4, 231–250. [Google Scholar] [CrossRef]
- Kočovský, P. Carbamates: A method of synthesis and some syntehtic applications. Tetrahedron Lett. 1986, 27, 5521–5524. [Google Scholar] [CrossRef]
- Reddy, N.V.; Kumar, G.S.; Kumar, P.S.; Kantam, M.L.; Reddy, K.R. Ligand-Assisted Copper-Catalyzed Oxidative Cross-Coupling of Simple Phenols with Formamides for the Synthesis of Carbamates. Synlett 2014, 25, 2133–2138. [Google Scholar] [CrossRef]
- Vala, M.K.; Sudhakar, C.; Adurthi, S.; Vanam, S. The synthesis of phenyl carbamates catalyzed by iron (II) bromide: An oxidative approach for cross-coupling of phenols with formamides. Synth. Commun. 2021, 52, 250–257. [Google Scholar] [CrossRef]
- Quasdorf, K.W.; Riener, M.; Petrova, K.V.; Garg, N.K. Suzuki−Miyaura Coupling of Aryl Carbamates, Carbonates, and Sulfamates. J. Am. Chem. Soc. 2009, 131, 17748–17749. [Google Scholar] [CrossRef] [PubMed]
- Antoft-Finch, A.; Blackburn, T.; Snieckus, V. N,N-Diethyl O-Carbamate: Directed Metalation Group and Orthogonal Suzuki−Miyaura Cross-Coupling Partner. J. Am. Chem. Soc. 2009, 131, 17750–17752. [Google Scholar] [CrossRef] [PubMed]
- Xu, L.; Li, B.-J.; Wu, X.-Y.; Guan, B.-T.; Wang, B.-Q.; Zhao, K.-Q.; Shi, Z.-J. Nickel-Catalyzed Efficient and Practical Suzuki−Miyaura Coupling of Alkenyl and Aryl Carbamates with Aryl Boroxines. Org. Lett. 2010, 12, 884–887. [Google Scholar] [CrossRef] [PubMed]
- Quasdorf, K.W.; Antoft-Finch, A.; Liu, P.; Silberstein, A.L.; Komaromi, A.; Blackburn, T.; Ramgren, S.D.; Houk, K.N.; Snieckus, V.; Garg, N.K. Suzuki−Miyaura Cross-Coupling of Aryl Carbamates and Sulfamates: Experimental and Computational Studies. J. Am. Chem. Soc. 2011, 133, 6352–6363. [Google Scholar] [CrossRef] [PubMed]
- Baghbanzadeh, M.; Pilger, C.; Kappe, C.O. Rapid Nickel-Catalyzed Suzuki−Miyaura Cross-Couplings of Aryl Carbamates and Sulfamates Utilizing Microwave Heating. J. Org. Chem. 2011, 76, 1507–1510. [Google Scholar] [CrossRef] [PubMed]
- Ogawa, H.; Yang, Z.-K.; Minami, H.; Kojima, K.; Saito, T.; Wang, C.; Uchiyama, M. Revisitation of Organoaluminum Reagents Affords a Versatile Protocol for C–X (X = N, O, F) Bond-Cleavage Cross-Coupling: A Systematic Study. ACS Catal. 2017, 7, 3988–3994. [Google Scholar] [CrossRef]
- Wang, Y.; Wu, S.-B.; Shi, W.-J.; Shi, Z.-J. C–O/C–H Coupling of Polyfluoroarenes with Aryl Carbamates by Cooperative Ni/Cu Catalysis. Org. Lett. 2016, 18, 2548–2551. [Google Scholar] [CrossRef] [PubMed]
- Shaikh, A.-A.G.; Sivaram, S. Organic Carbonates. Chem. Rev. 1996, 96, 951–976. [Google Scholar] [CrossRef] [PubMed]
- Saini, S.; Gour, N.K.; Khan, S.R.; Deka, R.C.; Jain, S.L. Light-induced synthesis of unsymmetrical organic carbonates from alcohols, methanol and CO2 under ambient conditions. Chem. Commun. 2021, 57, 12800–12803. [Google Scholar] [CrossRef] [PubMed]
- Kim, W.B.; Lee, J.S. A new process for the synthesis of diphenyl carbonate from dimethyl carbonate and phenol over heterogeneous catalysts. Catal. Lett. 1999, 59, 83–88. [Google Scholar] [CrossRef]
- Purohit, P.; Seth, K.; Kumar, A.; Chakraborti, A.K. C–O Bond Activation by Nickel–Palladium Hetero-Bimetallic Nanoparticles for Suzuki–Miyaura Reaction of Bioactive Heterocycle-Tethered Sterically Hindered Aryl Carbonates. ACS Catal. 2017, 7, 2452–2457. [Google Scholar] [CrossRef]
- Kuwano, R.; Shimizu, R. An Improvement of Nickel Catalyst for Cross-coupling Reaction of Arylboronic Acids with Aryl Carbonates by Using a Ferrocenyl Bisphosphine Ligand. Chem. Lett. 2011, 40, 913–915. [Google Scholar] [CrossRef]
- Williamsom, W. Theory of etherification. J. Chem. Soc. 1852, 4, 106–112. [Google Scholar]
- Wymann, W.E.; Davis, R.; Patterson, J.W.; Pfister, J.R. Selective alkylations of certain phenolic and enolic functions with lithium carbonate/alkyl halide. Synth. Commun. 1988, 18, 1379–1384. [Google Scholar] [CrossRef]
- Lee, J.C.; Yuk, J.Y.; Cho, S.H. Facile synthesis of alkyl phenyl ethers using cesium carbonate. Synth. Commun. 1995, 25, 1367–1370. [Google Scholar] [CrossRef]
- Winters, R.T.; Sercel, A.D.; Showalter, H.D.H. Efficient synthesis of peri-hydroxylated 9,10-anthracenedione ethers via alkylation of cesium phenolates. Synthesis 1988, 1988, 712–714. [Google Scholar] [CrossRef]
- Basak, A.; Nayak, K.; Chakraborti, A.K. Chemoselective O-methylation of phenols under non aqueous conditions. Tetrahedron Lett. 1998, 39, 4883–4886. [Google Scholar] [CrossRef]
- Tundo, P.; Selva, M. The Chemistry of Dimethyl Carbonate. Acc. Chem. Res. 2002, 35, 706–716. [Google Scholar] [CrossRef] [PubMed]
- Ouk, S.; Thiébaud, S.; Borredon, E.; Le Gars, P. Dimethyl carbonate and phenols to alkyl aryl ethers via clean Synthesis. Green Chem. 2002, 4, 431–435. [Google Scholar] [CrossRef]
- Fu, Z.H.; Ono, Y. Selective O-methylation of phenol with dimethyl carbonate over X-zeolites. Catal. Lett. 1993, 21, 43–47. [Google Scholar] [CrossRef]
- Rhodes, R.; Nightingale, P. Process for the Production of Aryl Alkyl Ethers. Patent WO 86/03485, 1986. CAS No 105:190655z. [Google Scholar]
- Bomben, A.; Selva, M.; Tundo, P.; Valli, L. A continuous-flow O-methylation of phenols with dimethyl carbonate in a continuously fed stirred tank reactor. Ind. Eng. Chem. Res. 1999, 38, 2075–2079. [Google Scholar] [CrossRef]
- Tundo, P.; Selva, M. Simplify gas-liquid phase transfer catalysis. Chemtech 1995, 25, 31–35. [Google Scholar]
- Selva, M.; Trotta, F.; Tundo, P. Esters and orthoesters as alkylating agents at high temperature: Application to continuous flow processes. J. Chem. Soc. Perkin Trans. 1992, 2, 519–522. [Google Scholar] [CrossRef]
- Tundo, P.; Moraglio, G.; Trotta, F. Gas liquid phase transfer catalysis: A new continuous flow method in organic synthesis. Ind. Eng. Chem. Res. 1989, 28, 881–890. [Google Scholar] [CrossRef]
- Tundo, P.; Trotta, F.; Moraglio, G.; Ligorati, F. Continuous-flow processes under gas-liquid phase-transfer catalysis (GL-PTC) conditions: The reaction of dialkylcabonates with phenols, alcohols and mercaptans. Ind. Eng. Chem. Res. 1988, 27, 1565–1571. [Google Scholar] [CrossRef]
- Ouk, S.; Thiébaud, S.; Borredon, E.; Le Gars, P. High performance method for O-methylation of phenol with dimethyl carbonate. Appl. Catal. A 2003, 241, 227–233. [Google Scholar] [CrossRef]
- Belov, P.; Campanella, V.L.; Smith, A.W.; Priefer, R. Microwave-assisted methylation of phenols with DMF-DMA. Tetrahedron Lett. 2011, 52, 2776–2779. [Google Scholar] [CrossRef]
- Maraš, N.; Polanc, S.; Koĉevar, M. Microwave-assisted methylation of phenols with tetramethylammonium chloride in the presence of K2CO3 or Cs2CO3. Tetrahedron 2008, 64, 11618–11624. [Google Scholar] [CrossRef]
- Bartlett, M.E.; Zhu, Y.; Bhagwat Gaffney, U.; Lee, J.; Wu, M.; Sharew, B.; Chavez, A.K.; Gorin, D.J. Cu-Catalyzed Phenol O-Methylation with Methylboronic Acid. Eur. J. Org. Chem. 2021, 2021, 5661–5664. [Google Scholar] [CrossRef]
- Tobisu, M.; Shimasaki, T.; Chatani, N. Nickel-Catalyzed Cross-Coupling of Aryl Methyl Ethers with Aryl Boronic Esters. Angew. Chem. Int. Ed. 2008, 47, 4866–4869. [Google Scholar] [CrossRef] [PubMed]
- Tobisu, M.; Yasutome, A.; Kinuta, H.; Nakamura, K.; Chatani, N. 1,3-Dicyclohexylimidazol-2-ylidene as a Superior Ligand for the Nickel-Catalyzed Cross-Couplings of Aryl and Benzyl Methyl Ethers with Organoboron Reagents. Org. Lett. 2014, 16, 5572–5575. [Google Scholar] [CrossRef] [PubMed]
- Schwarzer, M.C.; Konno, R.; Hojo, T.; Ohtsuki, A.; Nakamura, K.; Yasutome, A.; Takahashi, H.; Shimasaki, T.; Tobisu, M.; Chatani, N.; et al. Combined Theoretical and Experimental Studies of Nickel-Catalyzed Cross-Coupling of Methoxyarenes with Arylboronic Esters via C−O Bond Cleavage. J. Am. Chem. Soc. 2017, 139, 10347–10358. [Google Scholar] [CrossRef]
- Nakamura, K.; Tobisu, M.; Chatani, N. Nickel-Catalyzed Formal Homocoupling of Methoxyarenes for the Synthesis of Symmetrical Biaryls via C–O Bond Cleavage. Org. Lett. 2015, 17, 6142–6145. [Google Scholar] [CrossRef] [PubMed]
- Tobisu, M.; Takahira, T.; Ohtsuki, A.; Chatani, N. Nickel-Catalyzed Alkynylation of Anisoles via C−O Bond Cleavage. Org. Lett. 2015, 17, 680–683. [Google Scholar] [CrossRef] [PubMed]
- Tobisu, M.; Takahira, T.; Chatani, N. Nickel-Catalyzed Cross-Coupling of Anisoles with Alkyl Grignard Reagents via C–O Bond Cleavage. Org. Lett. 2015, 17, 4352–4355. [Google Scholar] [CrossRef]
- Liu, X.; Hsiao, C.-C.; Kalvet, I.; Leiendecker, M.; Guo, L.; Schoenebeck, F.; Rueping, M. Lewis Acid Assisted Nickel-Catalyzed Cross-Coupling of Aryl Methyl Ethers by C-O Bond-Cleaving Alkylation: Prevention of Undesired b-Hydride Elimination. Angew. Chem. Int. Ed. 2016, 55, 6093–6098. [Google Scholar] [CrossRef] [PubMed]
- Morioka, T.; Nishizawa, A.; Nakamura, K.; Tobisu, M.; Chatani, N. Nickel-catalyzed Cross-coupling of Anisole Derivatives with Trimethylaluminum through the Cleavage of Carbon–Oxygen Bonds. Chem. Lett. 2015, 44, 1729–1731. [Google Scholar] [CrossRef]
- Dai, W.-C.; Xu, S.-H.; Wang, Z.-X. Nickel-Catalyzed Cross-Coupling of Aryl 2-Pyridyl Ethers with Organozinc Reagents: Removal of the Directing Group via Cleavage of the Carbon–Oxygen Bonds. J. Org. Chem. 2021, 86, 2235–2243. [Google Scholar] [CrossRef]
- Fan, F.; Tang, J.; Luo, M.; Zeng, X. Chromium-Catalyzed Regioselective Kumada Arylative Cross-Coupling of C(aryl)–O Bonds with a Traceless Activation Strategy. J. Org. Chem. 2018, 83, 13549–13559. [Google Scholar] [CrossRef]
- Li, J.; Wang, Z.-X. Nickel-Catalyzed Transformation of Aryl 2-Pyridyl Ethers via Cleavage of the Carbon–Oxygen Bond: Synthesis of Mono-α-arylated Ketones. Synthesis 2018, 50, 3217–3223. [Google Scholar] [CrossRef]
- Tobisu, M.; Zhao, J.; Kinuta, H.; Furukawa, T.; Igarashi, T.; Chatani, N. Nickel-Catalyzed Borylation of Aryl and Benzyl 2-Pyridyl Ethers: A Method for Converting a Robust ortho-Directing Group. Adv. Synth. Catal. 2016, 358, 2417–2421. [Google Scholar] [CrossRef]
- Zeng, X.; Zhang, Y.; Liu, Z.; Geng, S.; He, Y.; Feng, Z. Iron-Catalyzed Borylation of Aryl Ethers via Cleavage of C–O Bonds. Org. Lett. 2020, 22, 2950–2955. [Google Scholar] [CrossRef] [PubMed]
- Li, X.-J.; Zhang, J.-L.; Geng, Y.; Jin, Z. Nickel-Catalyzed Suzuki–Miyaura Coupling of Heteroaryl Ethers with Arylboronic Acids. J. Org. Chem. 2013, 78, 5078–5084. [Google Scholar] [CrossRef]
- Etemadi-Davan, E.; Iranpoor, N. Efficient Ni-catalyzed conversion of phenols protected with 2,4,6-trichloro-1,3,5-triazine (TCT) to olefins. Chem. Commun. 2017, 53, 12794–12797. [Google Scholar] [CrossRef] [PubMed]
- Heravi, M.M.; Panahi, F.; Iranpoor, N. Nickel-Catalyzed Deoxycyanation of Activated Phenols via Cyanurate Intermediates with Zn(CN)2: A Route to Aryl Nitriles. Org. Lett. 2018, 20, 2753–2756. [Google Scholar] [CrossRef] [PubMed]
- Heravi, M.M.; Panahi, F.; Iranpoor, N. Nickel-catalyzed reductive amidation of aryl-triazine ethers. Chem. Commun. 2020, 56, 1992–1995. [Google Scholar] [CrossRef] [PubMed]
- Qiu, Z.; Li, C.J. Transformations of Less-Activated Phenols and Phenol Derivatives via C−O Cleavage. For a review on the activation of phenols. Chem. Rev. 2020, 120, 10454–10515. [Google Scholar] [CrossRef]
- Yu, D.-G.; Li, B.-J.; Zheng, S.-F.; Guan, B.-T.; Wang, B.-Q.; Shi, Z.-J. Direct Application of Phenolic Salts to Nickel-Catalyzed Cross-Coupling Reactions with Aryl Grignard Reagents. Angew. Chem. Int. Ed. 2010, 49, 4566–4570. [Google Scholar] [CrossRef]
- Yu, D.-G.; Shi, Z.-J. Mutual Activation: Suzuki–Miyaura Coupling through Direct Cleavage of the sp2 C-O Bond of Naphtholate. Angew. Chem. Int. Ed. 2011, 50, 7097–7100. [Google Scholar] [CrossRef] [PubMed]
- Li, S.-M.; Huang, J.; Chen, G.-J.; Han, F.-S. PdCl2(dppf)-catalyzed in situ coupling of 2-hydroxypyridines with aryl boronic acids mediated by PyBroP and the one-pot chemo- and regioselective construction of two distinct aryl–aryl bonds. Chem. Commun. 2011, 47, 12840–12842. [Google Scholar] [CrossRef] [PubMed]
- Chen, G.-J.; Huang, J.; Gao, L.-X.; Han, F.-S. Nickel-Catalyzed Cross-Coupling of Phenols and Arylboronic Acids Through an In Situ Phenol Activation Mediated by PyBroP. Chem. Eur. J. 2011, 17, 4038–4042. [Google Scholar] [CrossRef]
- Iranpoor, N.; Panahi, F.; Jamedi, F. Nickel-catalyzed one-pot synthesis of biaryls from phenols and arylboronic acids via C-O activation using TCT reagent. J. Organomet. Chem. 2015, 781, 6–10. [Google Scholar] [CrossRef]
- Iranpoor, N.; Panahi, F. Nickel-Catalyzed One-Pot Deoxygenation and Reductive Homocoupling of Phenols via C−O Activation Using TCT Reagent. Org. Lett. 2015, 17, 214–217. [Google Scholar] [CrossRef]
- Mokhtari, J.; Mirjafary, Z. Dichloroimidazolidinedione-activated one-pot Suzuki–Miyaura cross-coupling of phenols. Appl. Organometal. Chem. 2020, 34, e5383. [Google Scholar] [CrossRef]
- Chen, L.; Lang, H.; Fang, L.; Zhu, M.; Liu, J.; Yu, J.; Wang, L. Nickel-Catalyzed One-Pot Suzuki–Miyaura Cross-Coupling of Phenols and Arylboronic Acids Mediated by N,N-Ditosylaniline. Eur. J. Org. Chem. 2014, 2014, 4953–4957. [Google Scholar] [CrossRef]
- Wu, X.-F.; Neumann, H.; Beller, M. A General and Efficient Palladium-Catalyzed Alkoxycarbonylation of Phenols To Form Esters through In Situ Formed Aryl Nonaflates. Chem. Eur. J. 2012, 18, 3831–3834. [Google Scholar] [CrossRef]
- Hanley, P.S.; Ober, M.S.; Krasovskiy, A.L.; Whiteker, G.T.; Kruper, W.J. Nickel- and Palladium-Catalyzed Coupling of Aryl Fluorosulfonates with Aryl Boronic Acids Enabled by Sulfuryl Fluoride. ACS Catal. 2015, 5, 5041–5046. [Google Scholar] [CrossRef]
- Chen, Z.; Liu, Y.; Zeng, C.; Ren, C.; Li, H.; Jagadeesh, R.V.; Yuan, Z.; Li, X. Borylation of phenols using sulfuryl fluoride activation. Green Chem. 2023, 25, 7998–8006. [Google Scholar] [CrossRef]
- Zhao, C.; Fang, W.-Y.; Rakesh, K.P.; Qin, H.-L. Pd-Catalyzed one-pot dehydroxylative coupling of phenols with K4[Fe(CN)6] mediated by SO2F2: A practical method for the direct conversion of phenols to aryl nitriles. Org. Chem. Front. 2018, 5, 1835–1839. [Google Scholar] [CrossRef]
- Fang, W.-Y.; Leng, J.; Qin, H.-L. SO2F2-Mediated One-Pot Synthesis of Aryl Carboxylic Acids and Esters from Phenols through a Pd-Catalyzed Insertion of Carbon Monoxide. Chem. Asian J. 2017, 12, 2323–2331. [Google Scholar] [CrossRef] [PubMed]
- Liu, X.; Xu, B.; Su, W. Ni-Catalyzed Deoxygenative Borylation of Phenols Via O-Phenyluronium Activation. ACS Catal. 2022, 12, 8904–8910. [Google Scholar] [CrossRef]

































Disclaimer/Publisher’s Note: The statements, opinions and data contained in all publications are solely those of the individual author(s) and contributor(s) and not of MDPI and/or the editor(s). MDPI and/or the editor(s) disclaim responsibility for any injury to people or property resulting from any ideas, methods, instructions or products referred to in the content. |
© 2024 by the authors. Licensee MDPI, Basel, Switzerland. This article is an open access article distributed under the terms and conditions of the Creative Commons Attribution (CC BY) license (https://creativecommons.org/licenses/by/4.0/).
Share and Cite
Perney, J.; Humblot-Negri, A.; Vaca-Garcia, C.; Lemouzy, S.; Urrutigoïty, M. Weakly-Activated Phenol Derivatives as New Green Electrophilic Partners in Suzuki–Miyaura and Related C-C Couplings. Molecules 2025, 30, 51. https://doi.org/10.3390/molecules30010051
Perney J, Humblot-Negri A, Vaca-Garcia C, Lemouzy S, Urrutigoïty M. Weakly-Activated Phenol Derivatives as New Green Electrophilic Partners in Suzuki–Miyaura and Related C-C Couplings. Molecules. 2025; 30(1):51. https://doi.org/10.3390/molecules30010051
Chicago/Turabian StylePerney, Jules, Alexandre Humblot-Negri, Carlos Vaca-Garcia, Sébastien Lemouzy, and Martine Urrutigoïty. 2025. "Weakly-Activated Phenol Derivatives as New Green Electrophilic Partners in Suzuki–Miyaura and Related C-C Couplings" Molecules 30, no. 1: 51. https://doi.org/10.3390/molecules30010051
APA StylePerney, J., Humblot-Negri, A., Vaca-Garcia, C., Lemouzy, S., & Urrutigoïty, M. (2025). Weakly-Activated Phenol Derivatives as New Green Electrophilic Partners in Suzuki–Miyaura and Related C-C Couplings. Molecules, 30(1), 51. https://doi.org/10.3390/molecules30010051

