Polyamide Microparticles with Immobilized Enological Pectinase as Efficient Biocatalysts for Wine Clarification: The Role of the Polymer Support
Abstract
1. Introduction
2. Results
2.1. Synthesis of Different Polyamide MPs
2.2. Morphological Studies by SEM
2.3. Noncovalent Immobilization of PEC on PA MP
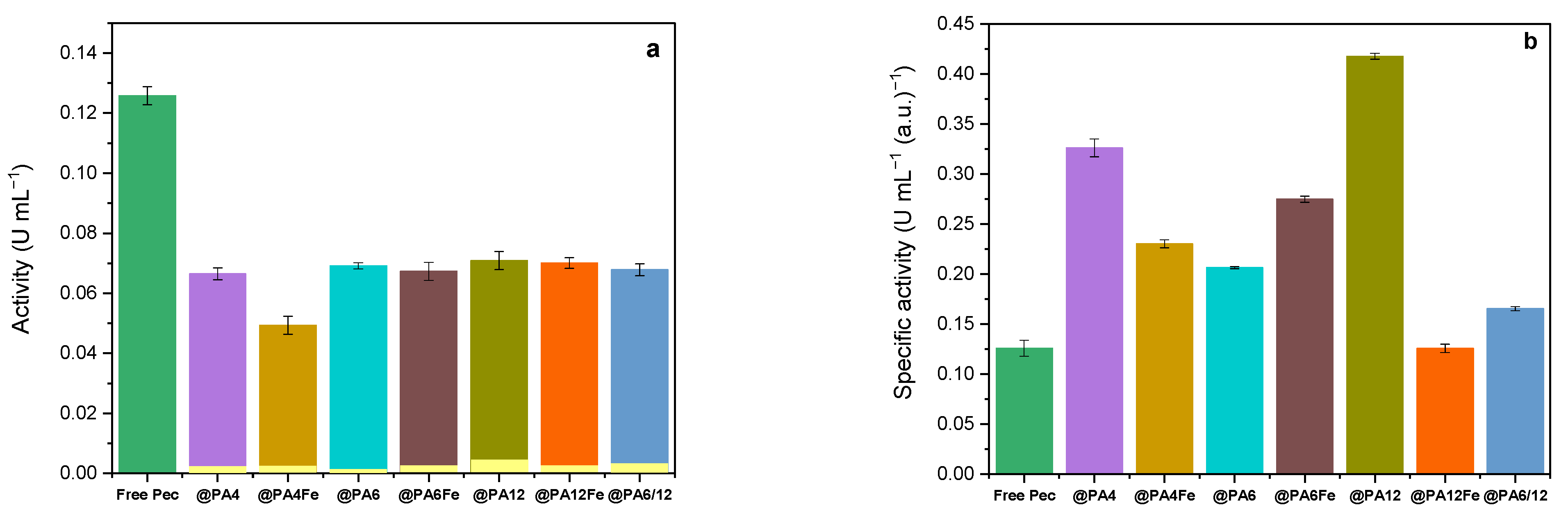
2.4. Activity by the DNS Methods
2.5. Kinetics Studies
2.6. Rosé Must Clarification
2.7. Color Retention After Clarification
2.8. Multiple Uses of Pec@PA Conjugates
2.9. Storage Stability of Pec@PA Conjugates
3. Materials and Methods
3.1. Reagents
3.2. Characterization Methods
3.3. Synthesis of PA6 Microparticles
3.4. Immobilization of Pectinase by Physical Absorption
3.5. Determination of the Total Amount of Protein
3.6. Pectinase Activity Assay
3.7. Kinetics of Pectin Degradation
3.8. Application of Immobilized Pectinase for Rosé Must Clarification
3.9. Color Analyses
3.10. Reusability Studies
3.11. Storage Stability Studies
4. Conclusions
Supplementary Materials
Author Contributions
Funding
Data Availability Statement
Acknowledgments
Conflicts of Interest
References
- Rodicio, R.; Heinisch, J. Carbohydrate Metabolism in Wine Yeasts. In Biology of Microorganisms on Grapes, in Must and in Wine, 2nd ed.; Konig, H., Unden, G., Frohlich, J., Eds.; Springer: Cham, Switzerland, 2017; pp. 189–214. [Google Scholar]
- Ottone, C.; Romero, O.; Aburto, C.; Illanes, A.; Wilson, L. Biocatalysis in the winemaking industry: Challenges and opportunities for immobilized enzymes. Compr. Rev. Food Sci. Food Saf. 2020, 19, 595–621. [Google Scholar] [CrossRef] [PubMed]
- Mojsoc, K. Use of enzymes in wine making: A review. Int. J. Mark. Technol. 2013, 3, 112–127. [Google Scholar]
- Pretorius, I.S. Tailoring wine yeast for the new millennium: Novel approaches to the ancient art of winemaking. Yeast 2000, 16, 675–729. [Google Scholar] [CrossRef] [PubMed]
- Ribéreau-Gayon, P.; Dubourdieu, D.; Donèche, B.; Lonvaud, A. White winemaking, chapter 13. In Handbook of Enology: The Microbiology of Wine and Vinifications, 2nd ed.; John Wiley & Sons, Ltd.: Hoboken, NJ, USA, 2006; Volume 1, pp. 421–429, 445–448. [Google Scholar]
- Espejo, F. Role of commercial enzymes in wine production: A critical review of recent research. J. Food Sci. Technol. 2021, 58, 9–21. [Google Scholar] [CrossRef] [PubMed]
- Kassara, S.; Li, S.; Smith, P.; Blando, F.; Bindon, K. Pectolytic enzyme reduces the concentration of colloidal particles in wine due to changes in polysaccharide structure and aggregation properties. Int. J. Biol. Macromol. 2019, 140, 546–555. [Google Scholar] [CrossRef] [PubMed]
- Jiang, X.; Lu, Y.; Liu, S.Q. Effects of pectinase treatment on the physicochemical and oenological properties of red dragon fruit wine fermented with Torulaspora delbrueckii. LWT 2020, 132, 109929. [Google Scholar] [CrossRef]
- Rocha, S.M.; Coutinho, P.; Delgadillo, I.; Cardoso, A.D.; Coimbra, M.A. Effect of enzymatic aroma release on the volatile compounds of white wines presenting different aroma potentials. J. Sci. Food Agric. 2005, 85, 199–205. [Google Scholar] [CrossRef]
- Jayani, R.S.; Saxena, S.; Gupta, R. Microbial pectinolytic enzymes: A review. Process Biochem. 2005, 40, 2931–2944. [Google Scholar] [CrossRef]
- Martín, M.C.; López, O.V.; Ciolino, A.E.; Morata, V.I.; Villar, M.A.; Ninago, M.D. Immobilization of enological pectinase in calcium alginate hydrogels: A potential biocatalyst for winemaking. Biocatal. Agric. Biotechnol. 2019, 18, 101091. [Google Scholar] [CrossRef]
- Benucci, I.; Lombardelli, C.; Cacciotti, I.; Liburdi, K.; Nanni, F.; Esti, M. Immobilized native plant cysteine proteases: Packed-bed reactor for white wine protein stabilization. J. Food Sci. Technol. 2016, 53, 1130–1139. [Google Scholar] [CrossRef] [PubMed]
- Barbosa, O.; Ortiz, C.; Berenguer-Murcia, Á.; Torres, R.; Rodrigues, R.C.; Fernandez-Lafuente, R. Strategies for the one-step immobilization–purification of enzymes as industrial biocatalysts. Biotechnol. Adv. 2015, 33, 435–456. [Google Scholar] [CrossRef] [PubMed]
- Yushkova, E.D.; Nazarova, E.A.; Matyuhina, A.V.; Noskova, A.O.; Shavronskaya, D.O.; Vinogradov, V.V.; Skvortsova, N.N.; Krivoshapkina, E.F. Application of Immobilized Enzymes in Food Industry. J. Agric. Food Chem. 2019, 67, 11553–11567. [Google Scholar] [CrossRef]
- Hosseini, S.S.; Khodaiyan, F.; Mousavi, S.M.E.; Kennedy, J.F.; Azimi, S.Z. A Health-Friendly Strategy for Covalent-Bonded Immobilization of Pectinase on the Functionalized Glass Beads. Food Bioprocess Technol. 2021, 14, 177–186. [Google Scholar] [CrossRef]
- Behram, T.; Pervez, S.; Nawaz, M.A.; Ahmad, S.; Jan, A.U.; Rehman, H.U.; Ahmad, S.; Khan, N.M.; Khan, F.A. Development of Pectinase Based Nanocatalyst by Immobilization of Pectinase on Magnetic Iron Oxide Nanoparticles Using Glutaraldehyde as Crosslinking Agent. Molecules 2023, 28, 404. [Google Scholar] [CrossRef]
- Rehman, H.U.; Nawaz, M.A.; Pervez, S.; Jamal, M.; Attaullah, M.; Aman, A.; Qader, A.U. Encapsulation of pectinase within polyacrylamide gel: Characterization of its catalytic properties for continuous industrial uses. Heliyon 2020, 6, e04578. [Google Scholar] [CrossRef]
- Rajdeo, K.; Harini, T.; Lavanya, K.; Fadnavis, N.W. Immobilization of pectinase on reusable polymer support for clarification of apple juice. Food Bioprod. Process. 2016, 99, 12–19. [Google Scholar] [CrossRef]
- Miao, Q.; Zhang, C.; Zhou, S.; Meng, L.; Huang, L.; Ni, Y.; Chen, L. Immobilization and Characterization of Pectinase onto the Cationic Polystyrene Resin. ACS Omega 2021, 6, 31683–31688. [Google Scholar] [CrossRef] [PubMed]
- Omelková, J.; Rexová-Benková, Ł.; Kubánek, V.; Veruovič, B. Endopolygalacturonase immobilized on a porous poly(6-caprolactame). Biotechnol. Lett. 1985, 7, 99–104. [Google Scholar] [CrossRef]
- Rexová-Benková, L.; Omelková, J.; Veruovič, B.; Kubánek, V. Mode of action of endopolygalacturonase immobilized by adsorption and by covalent binding via amino groups. Biotechnol. Bioeng. 1989, 34, 79–85. [Google Scholar] [CrossRef]
- Shukla, S.K.; Saxena, S.; Thakur, J.; Gupta, R. Immobilization of polygalacturonase from Aspergillus Niger onto glutaraldehyde activated Nylon-6 and its application in apple juice clarification. Acta Aliment. 2010, 39, 277–292. [Google Scholar] [CrossRef]
- Ben-Othman, S.; Rinken, T. Immobilization of Pectinolytic Enzymes on Nylon 6/6 Carriers. Appl. Sci. 2021, 11, 4591. [Google Scholar] [CrossRef]
- Lozano, P.; Manjón, A.; Iborra, J.L.; Gálvez, D.M. Characteristics of the immobilized pectin lyase activity from a commercial pectolytic enzyme preparation. Acta Biotechnol. 1990, 10, 531–539. [Google Scholar] [CrossRef]
- Diano, N.; Grimaldi, T.; Bianco, M.; Rossi, S.; Gabrovska, K.; Yordanova, G.; Godjevargova, T.; Grano, V.; Nicolucci, C.; Mita, L.; et al. Apple Juice Clarification by Immobilized Pectolytic Enzymes in Packed or Fluidized Bed Reactors. J. Agric. Food Chem. 2008, 56, 11471–11477. [Google Scholar] [CrossRef]
- Dencheva, N.; Denchev, Z.; Lanceros-Méndez, S.; Ezquerra, T.E. One-step in-situ synthesis of polyamide microcapsules with inorganic payload and their transformation into responsive thermoplastic composite materials. Macromol. Mater. Eng. 2016, 301, 119–124. [Google Scholar] [CrossRef]
- Oliveira, S.C.; Dencheva, N.V.; Denchev, Z.Z. Immobilization of Enological Pectinase on Magnetic Sensitive Polyamide Microparticles for Wine Clarification. Foods 2024, 13, 420. [Google Scholar] [CrossRef] [PubMed]
- Hong, M.; Chen, Y.-X. Completely Recyclable Biopolymers with Linear and Cyclic Topologies via Ring-Opening Polymerization of γ-Butyrolactone. Nat. Chem. 2016, 8, 42–49. [Google Scholar] [CrossRef] [PubMed]
- Brêda, C.; Dencheva, N.; Lanceros-Méndez, S.; Denchev, Z. Preparation and properties of metal-containing polyamide hybrid composites via reactive microencapsulation. J. Mater. Sci. 2016, 51, 10534–10554. [Google Scholar] [CrossRef]
- Miller, G.L. Use of Dinitrosalicylic Acid Reagent for Determination of Reducing Sugar. Anal. Chem. 1959, 31, 426–428. [Google Scholar] [CrossRef]
- Gummadi, S.N.; Panda, T. Analysis of Kinetic Data of Pectinases with Substrate Inhibition. J. Microbiol. Biotechnol. 2003, 13, 332–337. [Google Scholar]
- Haldane, J.B.S. Enzymes, Featured ed.; MIT Press: Cambridge, MA, USA, 1965; pp. 154–196. [Google Scholar]
- Edwards, V.H. Influence of high substrate concentration on microbial kinetics. Biotechnol. Bioeng. 1970, 27, 679–712. [Google Scholar] [CrossRef]
- Cleland, W.W. Substrate Inhibition, chapter 20. In Enzyme Kinetics and Mechanism—Part A: Initial Rate and Inhibition Methods; Academic Press: Cambridge, MA, USA, 1976; Volume 63, pp. 500–513. [Google Scholar]
- IOV (International Organization of Vine and Wine). Compendium of International Methods of Wine and Must Analysis—Chromatic Characteristics (Type-IV). OIV-MA-AS2-07B. 2022. Available online: https://www.oiv.int/standards/compendium-of-international-methods-of-wine-and-must-analysis (accessed on 16 October 2024).
- Faragó, P.; Gălătuș, R.; Hintea, S.; Boșca, A.B.; Feurdean, C.N.; Ilea, A. An Intra-Oral Optical Sensor for the Real-Time Identification and Assessment of Wine Intake. Sensors 2019, 19, 4719. [Google Scholar] [CrossRef] [PubMed]
- ISO 7027-1:2016, Water Quality—Determination of Turbidity, Part 1, Quantitative Methods. Available online: https://iso.org/standard/62801.html (accessed on 16 October 2024).
- Dencheva, N.; Braz, J.; Nunes, T.G.; Oliveira, F.D.; Denchev, Z. One-pot low temperature synthesis and characterization of hybrid poly(2-pyrrolidone) microparticles suitable for protein immobilization. Polymer 2018, 145, 402–415. [Google Scholar] [CrossRef]
- Boudrant, J.; Woodley, J.M.; Fernandez-Lafuente, R. Parameters necessary to define an immobilized enzyme preparation. Proc. Biochem. 2020, 90, 66–80. [Google Scholar] [CrossRef]












| Sample | Yield of Polymer, % | Oligomers 1, wt.% | Mη kDa 2 | Average Particle Size, µm | Average Pore Size, nm | Fe Content 4, wt.% |
|---|---|---|---|---|---|---|
| PA4 | 59.4 | 4.4 | 26.4 | 10–25 | 50–120 | - |
| PA4-Fe | 61.2 | 5.9 | - 3 | 10–40 | 120–250 | 1.0 [1.6] |
| PA6 | 56.0 | 2.0 | 33.7 | 50–150 | 300–500 | - |
| PA6-Fe | 58.8 | 2.4 | - | 50–200 | 200–300 | 3.0 [5.6] |
| PA12 | 42.0 | 3.2 | 33.8 | 50–700 | 250–900 | - |
| PA12-Fe | 58.5 | 3.4 | - | 50–80 | 750–1500 | 2.0 [4.2] |
| PA612 | 77.0 | 2.1 | 28.9 | 100–150 | 250–2000 | - |
| Biocatalyst | Parameters (a) | Model 1 | Model 2 | Model 3 |
|---|---|---|---|---|
| Free Pec | Vmax Km Ki | 1.956 ± 0.024 | 2.182 ± 0.071 | 1.933 ± 0.001 |
| 0.423 ± 0.009 | 0.423 ± 0.043 | 0.446 ± 0.041 | ||
| ≈3.0 | 5.520 ± 0.850 | 5.656 ± 0.687 | ||
| Adj. R2 | 0.995 | 0.958 | 0.997 | |
| Pec@PA4 | Vmax | 5.672 ± 0.020 | 9.364 ± 0.014 | 5.592 ± 0.101 |
| Km | 0.752 ± 0.010 | 1.444 ± 0.035 | 0.720 ± 0.020 | |
| Ki | 2.5–3.0 | 1.920 ± 0.060 | 4.838 ± 0.304 | |
| Adj. R2 | 0.989 | 0.965 | 0.994 | |
| Pec@PA4-Fe | Vmax | 4.193 ± 0.027 | 5.387 ± 0.015 | 5.981 ± 0.164 |
| Km | 0.662 ± 0.012 | 0.695 ± 0.012 | 0.684 ± 0.027 | |
| Ki | 2.0–3.0 | 2.390 ± 0.025 | 2.536 ± 0.100 | |
| Adj. R2 | 0.977 | 0.981 | 0.985 | |
| Pec@PA6 | Vmax | 4.669 ± 0.020 | 5.568 ± 0.005 | 7.679 ± 0.170 |
| Km | 0.863 ± 0.009 | 0.887 ± 0.002 | 0.868 ± 0.050 | |
| Ki | ≈2.5 | 2.359 ± 0.021 | 2.236 ± 0.131 | |
| Adj. R2 | 0.995 | 0.988 | 0.995 | |
| Pec@PA6-Fe | Vmax | 5.100 ± 0.020 | 6.136 ± 0.003 | 6.133 ± 0.644 |
| Km | 1.222 ± 0.008 | 1.297 ± 0.002 | 0.995 ± 0.020 | |
| Ki | ≈2.5–3.0 | 3.035 ± 0.060 | 3.491 ± 0.554 | |
| Adj. R2 | 0.995 | 0.998 | 0.984 | |
| Pec@PA12 | Vmax | 8.666 ± 0.019 | 8.335 ± 0.016 | 8.408 ± 0.196 |
| Km | 1.010 ± 0.007 | 0.869 ± 0.032 | 0.799 ± 0.030 | |
| Ki | ≈2.5 | 5.323 ± 0.066 | 4.354 ± 0.226 | |
| Adj. R2 | 0.988 | 0.990 | 0.990 | |
| Pec@PA12-Fe | Vmax | 1.872 ± 0.070 | 2.217 ± 0.040 | 2.395 ± 0.040 |
| Km | 0.820 ± 0.020 | 0.855 ± 0.030 | 0.821 ± 0.019 | |
| Ki | ≈2.5 | 3.737 ± 0.021 | 3.308 ± 0.167 | |
| Adj. R2 | 0.976 | 0.993 | 0.994 | |
| Pec@PA612 | Vmax | 1.931 ± 0.043 | 2.254 ± 0.020 | 1.924 ± 0.020 |
| Km | 0.372 ± 0.022 | 0.454 ± 0.010 | 0.448 ± 0.020 | |
| Ki | ≈5.0 | 5.708 ± 0.083 | 7.516 ± 0.539 | |
| Adj. R2 | 0.966 | 0.990 | 0.993 |
Disclaimer/Publisher’s Note: The statements, opinions and data contained in all publications are solely those of the individual author(s) and contributor(s) and not of MDPI and/or the editor(s). MDPI and/or the editor(s) disclaim responsibility for any injury to people or property resulting from any ideas, methods, instructions or products referred to in the content. |
© 2024 by the authors. Licensee MDPI, Basel, Switzerland. This article is an open access article distributed under the terms and conditions of the Creative Commons Attribution (CC BY) license (https://creativecommons.org/licenses/by/4.0/).
Share and Cite
Oliveira, S.C.; Araújo, S.M.; Dencheva, N.V.; Denchev, Z.Z. Polyamide Microparticles with Immobilized Enological Pectinase as Efficient Biocatalysts for Wine Clarification: The Role of the Polymer Support. Molecules 2025, 30, 114. https://doi.org/10.3390/molecules30010114
Oliveira SC, Araújo SM, Dencheva NV, Denchev ZZ. Polyamide Microparticles with Immobilized Enological Pectinase as Efficient Biocatalysts for Wine Clarification: The Role of the Polymer Support. Molecules. 2025; 30(1):114. https://doi.org/10.3390/molecules30010114
Chicago/Turabian StyleOliveira, Sandra C., Samuel M. Araújo, Nadya V. Dencheva, and Zlatan Z. Denchev. 2025. "Polyamide Microparticles with Immobilized Enological Pectinase as Efficient Biocatalysts for Wine Clarification: The Role of the Polymer Support" Molecules 30, no. 1: 114. https://doi.org/10.3390/molecules30010114
APA StyleOliveira, S. C., Araújo, S. M., Dencheva, N. V., & Denchev, Z. Z. (2025). Polyamide Microparticles with Immobilized Enological Pectinase as Efficient Biocatalysts for Wine Clarification: The Role of the Polymer Support. Molecules, 30(1), 114. https://doi.org/10.3390/molecules30010114

