Syntheses of 1,5-Benzothiazepines. Part 20. Syntheses of 8-Substituted-2,5-dihydro-2-(4-N-dimethylaminophenyl)-4-(4-methoxyphenyl)-1,5-benzothiazepines
Abstract
:Introduction
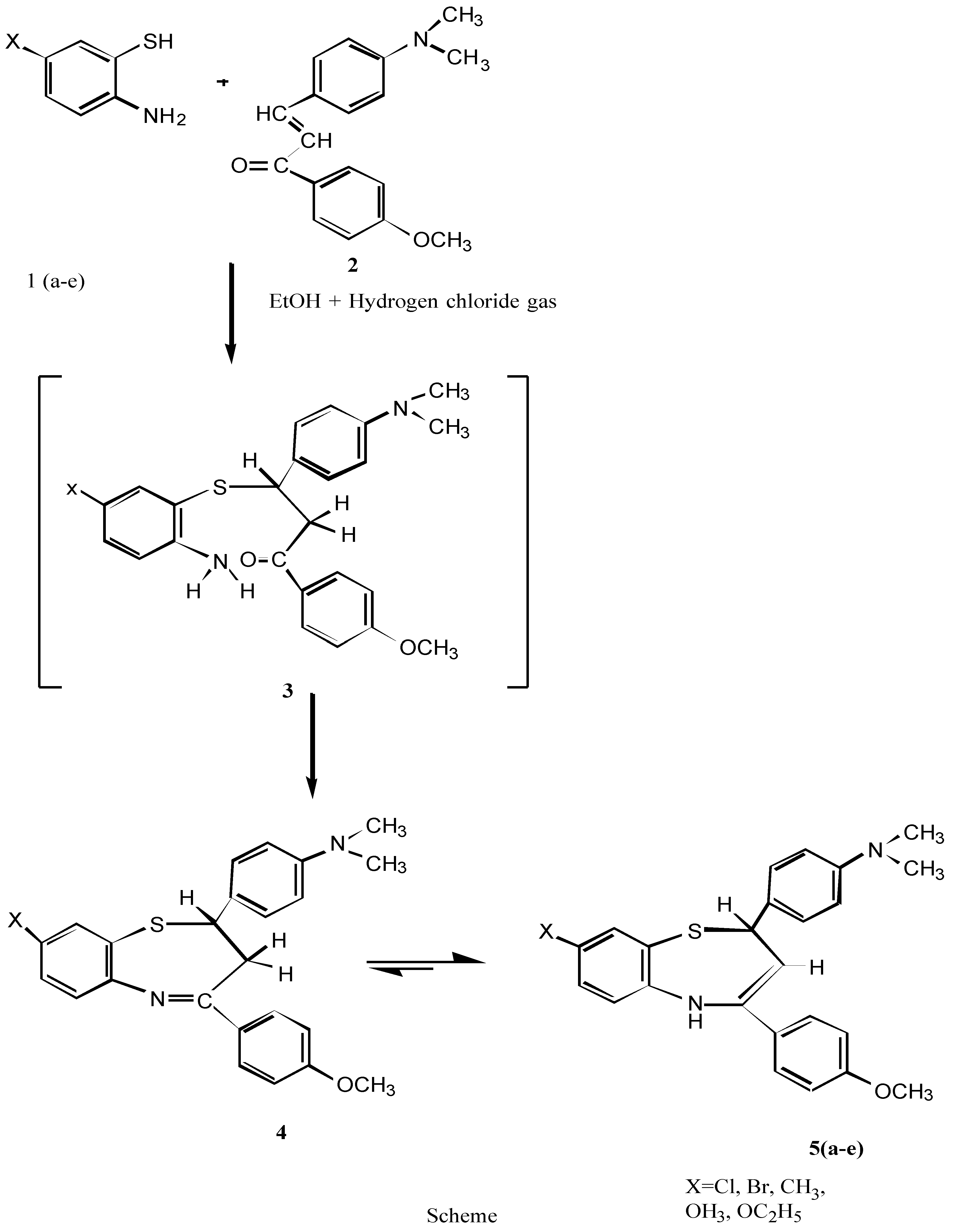
Results and Discussion
Spectral Studies
Experimental

General procedure for the preparation of 8-substituted-2-(4-dimethylaminophenyl)-4-(4-methoxyphenyl) -2,5-dihydro-1,5-benzothiazepines
Acknowledgement
References
- Belusa, J.; Hruskova, V.; Haas, Z.; Kaminska, Z.; Picha, F.; Dusek, J.; Trefulka, M.; Kysilka, V.; Wojnar, V. Czech, CS 274,213 (1992); Chem. Abstr. 1992, 118, 2459706.
- Vaghy, L. P.; Williams, S. J.; Schwartz, A. Am. J. Cardiol. 1987, 59, 9A. [PubMed]
- Bacon, K.B.; Westwick, J.; Camp, R.D.R. Biochem. Biophys, Res. Commun. 1989, 165(1), 349.
- Hirano, K.; Kamaide, H.; Abe, S.; Nakamusra, M. Br. J. Pharmac. 1990, 101, 173.
- Aoki, K.; Sato, K.; Kondo, S.; Vamamoto, M. Eur. J. Clin. Pharmacol. 1990, 25, 475.
- Burris, J.; Weir, M.; Oparil, S.; Weber, S.; Cady, W.; Stewart, W. JAMA, J. Aaam. Med. Assoc. 1990, 263, 1507.
- Weiss, K.; Fitscha, P.; Gazso, A.; Gludovacz, D.; Sinzinger, H. Prog. Clin. Biol. Res. 1989, 301, 353. [PubMed]
- Alonzo, D.; Allert, J.; Thomas, H.; Darbenzio, A.; Raymond, R.; Joseph, S.C. J. Cardivasc. Pharmacol. 1993, 21, 677.
- Myers, A.K.; Forman, G.; Duarte, A.P.T.; Penhos, J.; Ramwell, P. Proc. Soc. Exp Biol. Med. 1986, 183, 86.
- Stone, P.; Gibson, R.; Glaser, S.; Dewood, M.; Parker, J.; Kawanishi, D.; Crawford, M.; Messineo, F.; Shook, T.; Raby, K. Circulation 1990, 82, 1962. [PubMed]
- Kuzelova, M.; Svec, P. Cesk. Farm 1993, 42, 124, Chem. Abstr, 1994, 120, 45561w. [PubMed]
- Pant, U.C.; Chugh, M.; Pant, S.; Modwel, C. J. Indian Chem. Soc. 1992, 69, 342.
- Pant, U. C.; Gupta, A. K.; Singh, V. K. Indian J. Chem. 1983, 22(b), 1057.
- Pant, S.; Sharma, B. S.; Sharma, C. K.; Pant, U. C. J. Indian. Chem. Soc. 1996, 73, 83.
- Pant, S.; Pant, U. C. Indian. J. Chem. 1994, 33 b, 988.
- Pant, S.; Joshi, B.C.; Pant, U.C. Indian J. Chem. 1993, 32 B, 869.
- Pant, S.; Sharma, A.; Sharma, C. K.; Pant, U. C.; Goel, A.K. Indian J. Chem. 1996, 35B, 794.
- Upreti, M.; Pant, S.; Dandia, A.; Pant, U.C. Indian J. Chem. 1997, 36B, 1181.
- Pant, U. C.; Chugh, M.; Pant, S.; Modwel, C. J. Indian Chem. Soc. 1991, 68, 418.
- Pant, U. C.; Chugh, M.; Pant, S.; Modwel, C. J. Indian Chem Soc. 1992, 69, 342.
- Pant, U.C.; Gupta, A.K. Indian. J. Chem. 1981, 20, 157.
- Pant, S.; Bhatia, A.; Sharma, A.; Pant, U. C. Indian J. Chem. 1994, 33B, 885.
- Khanna, M. S.; Kumar, D.; Garg, C. P.; Kapoor, R. P. Indian J. Chem. 1995, 34B, 333.
- Mushfiq, M.; Mudgal, G. J. Chem. Res. Synop. 1992, 5, 168.
- Upreti, M.; Pant, S.; Dandia, A.; Pant, U. C. Phosphorous, Sulphur and Silion. 1996, 113, 165.
- Pant, U. C.; Upreti, M.; Pant, S.; Dandia, A.; Patnaik, G. K.; Goel, A. K. Phosphorous, Sulphur and Silicon 1997, in press.
- Lancelot, J.C.; Letois, B.; Saturnino, C.; De Caprariis, P.; Robba, M. Org. Prep. Proceed. Int. 1992, 24, 204.
- Sample Availability: Available from MDPI. 5a, MDPI 14710; 5c, MDPI 14711; 5d, MDPI 14710; 5e, MDPI 14710.
| Cpd. | X | M.p. (°C) | Rf | yield | Molecular formula (Mol. Wt.) | Elemental Analysis(%), Found (calcd.) | ||
|---|---|---|---|---|---|---|---|---|
| C | H | N | ||||||
| 5a | Cl | 102 | 0.79 | 57 | C24H23N2SO Cl | - | - | 6.40 |
| (422.5) | (68.16 | 5.44 | 6.62) | |||||
| 5b | Br | 160 | 0.74 | 61 | C24H23N2SO Br | - | - | 5.98 |
| (466) | (61.8 | 4.93 | 6.00) | |||||
| 5c | CH3 | 136 | 0.76 | 59 | C25H26N2SO | 74.09 | 6.39 | 6.12 |
| (402) | (74.62 | 6.46 | 6.96) | |||||
| 5d | OCH3 | 114 | 0.78 | 54 | C25H26N2SO2 | 71.22 | 6.34 | 6.15 |
| (418) | (71.77 | 6.22 | 6.69) | |||||
| 5e | OC2H5 | 120 | 0.69 | 53 | C26H28N2SO2 | 71.93 | 6.62 | 6.39 |
| (432) | (72.22 | 6.48 | 6.48) | |||||
| Cpd. | v (NH) | C2-H
(1H,d,J=7 | C3-H
(1H,d,J=7) | OCH3 (3H,s) | N(CH3)2 (6H,s) | CH3/OCH3/
OC2H5 | Aromatic |
|---|---|---|---|---|---|---|---|
| 5a | 34.65 | 5.68 | 6.04 | 3.56 | 2.44 | - | 6.12-7.40 |
| (1H,m) | |||||||
| 5b | 34.70 | 5.80 | 6.12 | 3.62 | 2.64 | - | 6.14-7.42 |
| (1H,m) | |||||||
| 5c | 3455 | 5.62 | 6.38 | 3.52 | 2.62 | 1.92 | 6.40-7.04 |
| (3H,s) | (1H,m) | ||||||
| 5d | 34.20 | 6.00 | 6.24 | 3.60 | 2.40 | 3.60 | 6.26-7.34 |
| (3H,s) | (1H,m) | ||||||
| 5e | 3415 | 5.82 | 6.01 | 3.48 | 2.76 | 1.20 (3H,t,J=7) 3.50 (2H,q, J=7) | 6.04-7.32(1H,m) |
© 1998 MDPI. All rights reserved. Molecules http://www.mdpi.org/molecules/
Share and Cite
Pant, S.; Singhal, B.; Upreti, M.; Pant, U.C. Syntheses of 1,5-Benzothiazepines. Part 20. Syntheses of 8-Substituted-2,5-dihydro-2-(4-N-dimethylaminophenyl)-4-(4-methoxyphenyl)-1,5-benzothiazepines. Molecules 1998, 3, 159-163. https://doi.org/10.3390/30600159
Pant S, Singhal B, Upreti M, Pant UC. Syntheses of 1,5-Benzothiazepines. Part 20. Syntheses of 8-Substituted-2,5-dihydro-2-(4-N-dimethylaminophenyl)-4-(4-methoxyphenyl)-1,5-benzothiazepines. Molecules. 1998; 3(6):159-163. https://doi.org/10.3390/30600159
Chicago/Turabian StylePant, Seema, Babita Singhal, Mani Upreti, and Umesh C. Pant. 1998. "Syntheses of 1,5-Benzothiazepines. Part 20. Syntheses of 8-Substituted-2,5-dihydro-2-(4-N-dimethylaminophenyl)-4-(4-methoxyphenyl)-1,5-benzothiazepines" Molecules 3, no. 6: 159-163. https://doi.org/10.3390/30600159
APA StylePant, S., Singhal, B., Upreti, M., & Pant, U. C. (1998). Syntheses of 1,5-Benzothiazepines. Part 20. Syntheses of 8-Substituted-2,5-dihydro-2-(4-N-dimethylaminophenyl)-4-(4-methoxyphenyl)-1,5-benzothiazepines. Molecules, 3(6), 159-163. https://doi.org/10.3390/30600159