Study on the Performance Test of Fe–Ce–Al/MMT Catalysts with Different Fe/Ce Molar Ratios for Coking Wastewater Treatment
Abstract
1. Introduction
2. Results and Discussion
2.1. Structural Analysis of Fe–Ce–Al/MMT Catalysts with Different Fe/Ce Molar Ratios
2.2. Surface Morphology Analysis of Fe–Ce–Al/MMT Catalysts with Different Fe/Ce Molar Ratios
2.3. Crystal Structure Analysis of Fe–Ce–Al/MMT Catalysts with Different Fe/Ce Molar Ratios
2.4. Analysis of Catalytic Performance of Fe–Ce–Al/MMT Catalysts with Different Fe/Ce Molar Ratios
2.5. Stability Experiment of Catalyst
2.6. Quality Analysis of Coking Wastewater
2.7. Response Surface Experimental Design
2.8. Analysis of Variance
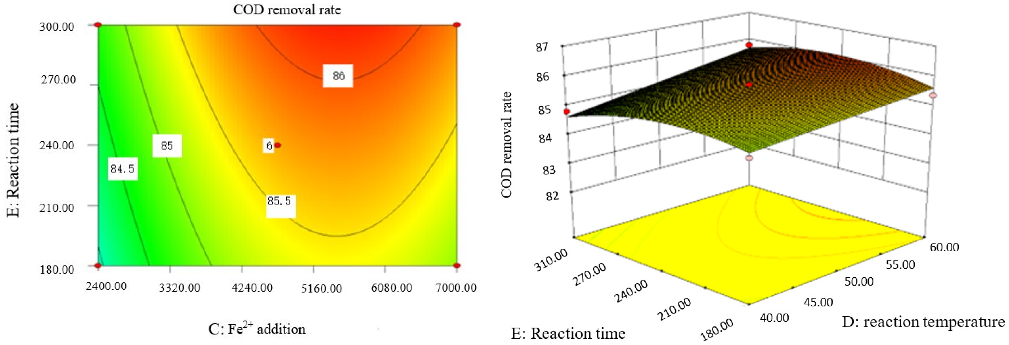
2.9. Analysis of Response Surface Diagram
3. Experiment
3.1. Preparation of Fe–Ce–Al/MMT Catalysts
3.2. Characterization and Evaluation of Catalysts
3.3. Detection of Phenol Removal Rate and Fe Ion Dissolution
3.4. Detection of COD
4. Conclusions
- (1)
- We analyzed the components of coking coal wastewater, and the content of phenols and their derivatives accounted for 70.9% (mainly phenol). In addition, it also includes acids, aromatic hydrocarbons, alkanes, nitrogen-containing compounds, and alcohols.
- (2)
- Through the variance analysis of response surface, its 3D diagram, and the corresponding contour map, it is obtained that the order of five influencing factors on the COD removal rate of coking wastewater is as follows: the amount of Fe2+ > reaction temperature > the amount of H2O2 > initial pH value > reaction time. The optimum technological conditions of response surface were as follows: initial pH value was 3.46, H2O2 dosage was 19.02 mL/L, Fe2+ dosage was 5475.39 mL/L, reaction temperature was 60 °C, and reaction time was 248.14min. The corresponding COD removal rate is 86.23%.
- (3)
- The optimum process conditions verified by experiments are an initial pH value of 3.5, a dosage of H2O2 of 20 mL/L, an addition amount of Fe2+ of 5500 mL/L, a reaction temperature of 60 °C, and a reaction time of 250 min. Under these experimental conditions, the COD removal rate of simulated phenol wastewater finally reached 86.3%.
Author Contributions
Funding
Institutional Review Board Statement
Informed Consent Statement
Data Availability Statement
Conflicts of Interest
References
- Poddar, R.; Acharjee, P.U.; Bhattacharyya, K.; Patra, S.K. Effect of irrigation regime and varietal selection on the yield, water productivity, energy indices and economics of rice production in the lower Gangetic Plains of Eastern India. Agric. Water Manag. 2022, 262, 107327. [Google Scholar] [CrossRef]
- Sun, J.X.; Sun, S.K.; Yin, Y.L.; Wang, Y.B.; Zhao, X.N.; Wu, P.T. Evaluating grain virtual water flow in China: Patterns and drivers from a socio-hydrology perspective. J. Hydrol. 2022, 606, 127412. [Google Scholar] [CrossRef]
- Niu, Z.T.; Ng, S.J.; Li, B.; Han, J.C.; Wu, X.F.; Huang, Y.F. Food waste and its embedded resources loss: A provincial level analysis of China. Sci. Total Environ. 2022, 823, 153665. [Google Scholar] [CrossRef] [PubMed]
- Kim, C.G.; Lee, H.S.; Yoon, T.I. Resource recovery of sludge as a micro-media in an activated sludge process. Adv. Environ. Res. 2003, 7, 629–633. [Google Scholar] [CrossRef]
- Zhang, D.; Chen, Y.G.; Zhao, Y.X.; Ye, Z.X. A new process for efficiently producing methane from waste activated sludge: Alkaline pretreatment of sludge followed by treatment of fermentation liquid in an EGSB reactor. Environ. Sci. Technol. 2011, 45, 803–808. [Google Scholar] [CrossRef]
- Jedlicka, F.; Jecha, D.; Bébar, L.; Oral, J.; Stehlík, P. Combined flue gas cleaning from persistent organic compounds and nitrogen oxides in the multifunction filter. Chem. Eng. Trans. 2012, 29, 1063–1068. [Google Scholar]
- Lee, B.J.; Jo, E.S.; Park, D.W.; Choi, J.F. Submerged arc plasma system combined with ozone oxidation for the treatment of wastewater containing non-degradable organic compounds. Front. Environ. Sci. Eng. 2021, 15, 90. [Google Scholar] [CrossRef]
- Santos, A.; Bernardo, M.; Vespeira, C.; Cantinho, P.; Minhalma, M. Cork industry wastewater characterization: Assessment of the biodegradability, reuse and of the relationship between BOD, COD and tannins with TOC. J. Water Reuse Desalination 2012, 2, 33–39. [Google Scholar] [CrossRef]
- Gao, X.Y.; Zhang, H.; Wang, Y.Q.; Wang, H.Y.; Tang, Y.; Hu, Y.; Lv, Y.L.; Bai, J.F. Study on preparation of a novel needle coke heterogeneous electro-Fenton cathode for coking wastewater treatment. Chem. Eng. J. 2023, 455, 140696. [Google Scholar] [CrossRef]
- Li, D.; Dang, Z.; Zhang, J. Study on two anammox start-up and operation strategies: Low-intensity direct current electric field and negative pressure. Chem. Eng. J. 2023, 435, 134791. [Google Scholar] [CrossRef]
- Guo, S.D.; Zhou, L.; Huang, Y.X.; Huang, X.H. Insight into the comparison of thermally and Fe (II) activated persulfate on sludge dewaterability and disintegration. Water Sci. Technol. 2021, 84, 1464–1476. [Google Scholar] [CrossRef] [PubMed]
- Xu, X.; Bai, Z.; Wang, T. Portable device for on-site detection of ammonia nitrogen. Inf. Process. Agric. 2022, 9, 475–484. [Google Scholar] [CrossRef]
- Suparman; Inpota, P.; Phonchai, A.; Wilairat, P.; Chantiwas, R. Rapid measurement of indole levels in Brassica vegetables using one millilitre binary organic extraction solvent and capillary electrophoresis-UV analysis. Phytochem. Anal. 2020, 31, 522–530. [Google Scholar] [CrossRef] [PubMed]
- Kim, Y.J.; Nam, C. Dye Adsorption on Plate-like Nanocrystalline Bi2WO6 Synthesized by Microwave Hydrothermal Methods. Bull. Chem. Soc. Jpn. 2020, 41, 332–335. [Google Scholar] [CrossRef]
- Rourke, J.P.; Pandey, P.A.; Moore, J.J.; Bates, M.; Kinloch, I.A.; Young, R.J.; Wilson, N.R. The real graphene oxide revealed: Stripping the oxidative debris from the graphene-like sheets. Angew. Chem. Int. Ed. 2011, 50, 3173–3177. [Google Scholar] [CrossRef] [PubMed]
- Ghaleghafi, E.; Rahmani, M.B. Room-temperature growth optimization and PL characteristic of polytype h/α-MoO3 thin films by chemical precipitation method. Phys. Scr. 2022, 97, 045811. [Google Scholar] [CrossRef]
- Han, W.; Yang, H.; Tong, L. Cyanide removal for ultrafine gold cyanide residues by chemical oxidation methods. Trans. Nonferrous Met. Soc. China 2022, 32, 4129–4138. [Google Scholar] [CrossRef]
- Wu, W.; Tian, D.; Liu, T.C.; Chen, J.B.; Huang, T.Y.; Zhou, X.F.; Zhang, Y.L. Degradation of organic compounds by peracetic acid activated with Co3O4: A novel advanced oxidation process and organic radical contribution. Chem. Eng. J. 2020, 394, 124938. [Google Scholar] [CrossRef]
- Shi, L.; Zhang, Y.M.; Zeng, C.Y.; Lai, X.Q.; Chen, S.L. Zero sludge discharge strategy for Fenton oxidation wastewater treatment technology: Biological regeneration and in-situ cyclic utilization—A feasibility study. J. Clean. Prod. 2022, 376, 134259. [Google Scholar] [CrossRef]
- Chen, W.M.; Gu, Z.P.; Ran, G.; Li, Q.B. Application of membrane separation technology in the treatment of leachate in China: A review. Waste Manag. 2021, 121, 127–140. [Google Scholar] [CrossRef] [PubMed]
- Herna, J.M.; Sampedro, J.G. Trehalose mediated inhibition of lactate dehydrogenase from rabbit muscle. The application of Kramers’ theory in enzyme catalysis. J. Phys. Chem. B 2018, 122, 4309–4317. [Google Scholar]
- Bashiri, F.; Khezri, S.M.; Kalantary, R.R.; Kakavandi, B. Enhanced photocatalytic degradation of metronidazole by TiO2 decorated on magnetic reduced graphene oxide: Characterization, optimization and reaction mechanism studies. J. Mol. Liq. 2020, 314, 113608. [Google Scholar] [CrossRef]
- Gai, H.J.; Li, D.H.; Song, H.B.; Zhao, X.X.; Xiao, M.; Zhu, Q.H.; Huang, T.T. Facile synthesis of highly dispersed Ru/functionalized CMK-3 catalyst with superior catalytic wet air oxidation (CWAO) performance of ammonia. Chem. Phys. Lett. 2022, 793, 139475. [Google Scholar] [CrossRef]
- Garcia-Costa, A.L.; Silveira, J.E.; Zazo, J.A.; Dionysiou, D.D.; Casas, J.A. Graphite as catalyst for UV-A LED assisted catalytic wet peroxide oxidation of ibuprofen and diclofenac. Chem. Eng. J. Adv. 2021, 6, 100090. [Google Scholar] [CrossRef]
- Molina, C.B.; Zazo, J.A.; Casas, J.A.; Rodriguez, J.J. CWPO of 4-CP and industrial wastewater with Al-Fe pillared clays. Water J. Res. 2010, 61, 2161–2168. [Google Scholar] [CrossRef] [PubMed]
- ZrncEvi, S.; Gomzi, Z. CWPO: An environmental solution for pollutant removal from wastewater. Ind. Eng. Chem. Res. 2005, 44, 6110–6114. [Google Scholar] [CrossRef]
- Xiang, L.; Royer, S.; Zhang, H.; Tatibouët, J.M.; Barrault, J.; Valange, S. Properties of iron-based mesoporous silica for the CWPO of phenol: A comparison between impregnation and co-condensation routes. J. Hazard. Mater. 2009, 172, 1175–1184. [Google Scholar] [CrossRef] [PubMed]
- Zazo, J.A.; Fraile, A.F.; Rey, A.; Bahamonde, A.; Casas, J.A.; Rodriguez, J.J. Optimizing calcination temperature of Fe/activated carbon catalysts for CWPO. Catal. Today 2009, 143, 341–346. [Google Scholar] [CrossRef]
- Munoz, M.; Domínguez, P.; Pedro, Z.M.; Casas, J.A.; Rodriguez, J.J. Naturally-occurring iron minerals as inexpensive catalysts for CWPO. Appl. Catal. B Environ. 2017, 203, 166–173. [Google Scholar] [CrossRef]
- Munoz, M.; Mora, F.J.; Pedro, Z.M.; Alvarez-Torrellas, S.; Casas, J.A. Application of CWPO to the treatment of pharmaceutical emerging pollutants in different water matrices with a ferromagnetic catalyst. J. Hazard. Mater. 2017, 331, 45–54. [Google Scholar] [CrossRef] [PubMed]
- Amri, N.; Nasuha, N.; Halim, S. Degradation of Reactive Black 5 dye by CWPO using Fe/mining sand under photo-Fenton process. AIP Conf. Proc. 2015, 1660, 070094. [Google Scholar]
- Wu, Y.; Zhang, H.; Yan, Y. Kinetics study of CWPO of phenol wastewater over Cu-ZSM- 665 5/PSSF catalysts prepared by ion-exchanged method. J. Chem. Technol. Biotechnol. 2022, 97, 1900–1908. [Google Scholar] [CrossRef]
- Thirumoorthy, K.; Gokulakrishnan, B.; Satishkumar, G.; Landau, M.V.; Man, M.W.; Oliviero, E. Al-Doped magnetite encapsulated in mesoporous carbon: A long-lasting Fenton catalyst for CWPO of phenol in a fixed-bed reactor under mild conditions. Catal. Sci. Technol. 2021, 11, 7368–7379. [Google Scholar] [CrossRef]
- Hu, S.; Zhang, X.; Qu, Z.; Jiang, H.; Liu, Y.; Huang, J.; Xing, W.; Chen, R. Insights into deactivation mechanism of Pd@ CN catalyst in the liquid-phase hydrogenation of phenol to cyclohexanone. J. Ind. Eng. Chem. 2011, 53, 333–340. [Google Scholar] [CrossRef]
- Gordon, D.E.; Hiatt, J.; Bouhaddou, M.; Rezelj, V.V.; Ulferts, S.; Braberg, H.; Jureka, A.S.; Obernier, K.; Guo, J.Z.; Batra, J.; et al. Comparative host-coronavirus protein interaction networks reveal pan-viral disease mechanisms. Science 2020, 370, eabe9403. [Google Scholar] [CrossRef] [PubMed]
- Luo, J.; Sun, Y.; Li, Q.; Kong, L. Research progress of meliaceous limonoids from 2011 to 2021. Nat. Prod. Rep. 2022, 39, 1325–1365. [Google Scholar] [CrossRef] [PubMed]
- Chen, J.; Zhang, L.; Zhu, J.; Wang, N.; Feng, J.; Yan, W. Adsorption of polythiophene/TiO2 composite for Zn (II), Pb (II) and Cu (II): Selectivity and synergistic effect investigation. Appl. Surf. Sci. 2016, 459, 318–326. [Google Scholar] [CrossRef]
- Li, X.; Zhao, Q.; Quan, X. New photocatalyst electrodes and their photocatalytic degradation properties of organics. Curr. Org. Chem. 2010, 14, 709–727. [Google Scholar] [CrossRef]
- Damma, D.; Boningari, T.; Smirniotis, P.G. High-temperature water-gas shift over Fe/Ce/Co spinel catalysts: Study of the promotional effect of Ce and Co. Mol. Catal. 2018, 451, 20–32. [Google Scholar] [CrossRef]
- Su, X.; Wang, X.; Li, L.; Li, N.; Liu, X.; Zhang, P. Study on the performance test of Fe–Ce–Al/MMT catalysts for phenol-containing wastewater. AIP Adv. 2023, 13, 105223. [Google Scholar] [CrossRef]
- GB 11914-1989; Water Quality. Determination of Chemical Oxygen Demand. Dichromate Method. National Technology Supervision Bureau: Shenzhen, China, 1990.

















| COD (mg/L) | Ammonia Nitrogen (mg/L) | Volatile Phenol (mg/L) | pH |
|---|---|---|---|
| 3434 | 549.3 | 483.0 | 8.2 |
| Catalyst | BET /m2/g | Pore Volume /cm3/g | Average Pore Size /nm | Pore Distribution % | ||
|---|---|---|---|---|---|---|
| <2 nm | 2–5 nm | 5–20 nm | ||||
| Fe–Ce–Al-1/9 | 153.7 | 0.1877 | 3.87 | 11.2 | 67.7 | 10.5 |
| Fe–Ce–Al-3/7 | 167.1 | 0.1852 | 3.83 | 10.0 | 73.5 | 11.3 |
| Fe–Ce–Al-5/5 | 178.3 | 0.1841 | 3.83 | 11.8 | 76.3 | 10.5 |
| Fe–Ce–Al-7/3 | 180.9 | 0.1858 | 3.80 | 10.7 | 78.4 | 9.9 |
| Fe–Ce–Al-1/9 | 165.5 | 0.1893 | 3.77 | 11.2 | 76.1 | 10.1 |
| Reaction Times | Fe Dissolution | Phenol Removal Efficiency |
|---|---|---|
| 1 | 3.59 | 90.12 |
| 2 | 3.48 | 89.33 |
| 3 | 3.25 | 88.56 |
| 4 | 3.04 | 89.32 |
| 5 | 3.02 | 88.56 |
| Peak Number | Name | Relative Amount | Retention Time | Absolute Intensity |
|---|---|---|---|---|
| 1 | toluene | 0.911 | 4.716 | 185,187.917 |
| 2 | xylene | 0.723 | 7.473 | 146,954.537 |
| 3 | styrene | 0.148 | 8.134 | 30,199.756 |
| 4 | benzene | 0.104 | 10.425 | 21,135.765 |
| 5 | pyridine | 0.365 | 11.625 | 74,198.729 |
| 6 | phenol | 38.752 | 13.786 | 7,875,554 |
| 7 | 1-octanol | 0.014 | 14.668 | 2747.649 |
| 8 | 2,5-xylenol | 1.128 | 16.537 | 229,241.762 |
| 9 | 2,3-xylenol | 1.972 | 17.186 | 400,766.626 |
| 10 | naphthalene | 0.086 | 17.66 | 17,569.104 |
| 11 | Methylphenol | 26.432 | 18.396 | 5,371,634.432 |
| 12 | Ethylphenol | 2.657 | 22.843 | 540,081.804 |
| 13 | benzenediol | 2.989 | 25.375 | 607,395.152 |
| 14 | lauric acid | 5.724 | 27.1256 | 1,163,259.684 |
| 15 | 1,2-phthalic acid | 11.071 | 35.286 | 2,249,983.509 |
| Name | Unit | Form | Standard Deviation | Horizontal Downline | Horizontal Upper Line |
|---|---|---|---|---|---|
| Initial pH value | Factor | 0 | 3 | 5 | |
| Dosage of H2O2 | mL/L | Factor | 0 | 13 | 26 |
| Addition amount of Fe2+ | mg/L | Factor | 0 | 2400 | 7000 |
| Reaction temperature | °C | Factor | 0 | 40 | 80 |
| Reaction time | min | Factor | 0 | 180 | 300 |
| Serial Number | Initial pH | H2O2 (mL/L) | Fe2+ (mL/L) | T (°C) | Time (min) | Response Value (%) |
|---|---|---|---|---|---|---|
| 1 | 4 | 19.5 | 4700 | 50 | 240 | 85.7 |
| 2 | 3 | 19.5 | 4700 | 40 | 240 | 85.28 |
| 3 | 4 | 26 | 7000 | 50 | 240 | 83.93 |
| 4 | 5 | 19.5 | 4700 | 50 | 300 | 84.72 |
| 5 | 4 | 26 | 4700 | 50 | 300 | 83.61 |
| 6 | 4 | 19.5 | 7000 | 60 | 240 | 85.51 |
| 7 | 4 | 13 | 4700 | 50 | 300 | 83.7 |
| 8 | 3 | 19.5 | 2400 | 50 | 240 | 84.34 |
| 9 | 4 | 19.5 | 4700 | 60 | 180 | 85.36 |
| 10 | 4 | 19.5 | 4700 | 50 | 240 | 85.71 |
| 11 | 5 | 19.5 | 7000 | 50 | 240 | 85.05 |
| 12 | 5 | 19.5 | 4700 | 50 | 180 | 85.51 |
| 13 | 3 | 19.5 | 4700 | 60 | 240 | 86.27 |
| 14 | 4 | 19.5 | 2400 | 60 | 240 | 84.39 |
| 15 | 4 | 13 | 4700 | 50 | 180 | 84.25 |
| 16 | 4 | 19.5 | 7000 | 50 | 300 | 84.99 |
| 17 | 4 | 13 | 7000 | 50 | 240 | 84.4 |
| 18 | 4 | 19.5 | 4700 | 50 | 240 | 85.7 |
| 19 | 4 | 19.5 | 4700 | 50 | 240 | 85.7 |
| 20 | 4 | 13 | 4700 | 60 | 240 | 85.2 |
| 21 | 5 | 19.5 | 2400 | 50 | 240 | 83.92 |
| 22 | 4 | 19.5 | 7000 | 50 | 180 | 85.17 |
| 23 | 3 | 19.5 | 4700 | 50 | 180 | 85.31 |
| 24 | 3 | 19.5 | 4700 | 50 | 300 | 85.14 |
| 25 | 5 | 19.5 | 4700 | 60 | 240 | 85.85 |
| 26 | 4 | 26 | 4700 | 40 | 240 | 83.74 |
| 27 | 3 | 26 | 4700 | 50 | 240 | 84.08 |
| 28 | 4 | 19.5 | 4700 | 40 | 300 | 84.81 |
| 29 | 4 | 19.5 | 4700 | 40 | 180 | 84.98 |
| 30 | 4 | 26 | 4700 | 50 | 180 | 83.78 |
| 31 | 4 | 19.5 | 2400 | 50 | 300 | 83.86 |
| 32 | 4 | 19.5 | 4700 | 50 | 240 | 85.7 |
| 33 | 4 | 26 | 2400 | 50 | 240 | 82.81 |
| 34 | 4 | 19.5 | 4700 | 60 | 300 | 85.79 |
| 35 | 4 | 19.5 | 2400 | 50 | 180 | 84.04 |
| 36 | 4 | 19.5 | 2400 | 40 | 240 | 84 |
| 37 | 3 | 13 | 4700 | 50 | 240 | 84.55 |
| 38 | 4 | 13 | 2400 | 50 | 240 | 83.28 |
| 39 | 5 | 13 | 4700 | 50 | 240 | 84.18 |
| 40 | 5 | 19.5 | 4700 | 40 | 240 | 84.86 |
| 41 | 5 | 26 | 4700 | 50 | 240 | 83.66 |
| 42 | 4 | 19.5 | 4700 | 50 | 240 | 85.7 |
| 43 | 4 | 26 | 4700 | 60 | 240 | 84.73 |
| 44 | 4 | 13 | 4700 | 40 | 240 | 84.22 |
| 45 | 3 | 19.5 | 7000 | 50 | 240 | 85.41 |
| 46 | 4 | 19.5 | 7000 | 40 | 240 | 85.08 |
| Source of Variance | Sum of Squares | Freedom | Mean | F | p |
|---|---|---|---|---|---|
| Model | 29.17 | 20 | 1.46 | 45.95 | <0.0001 |
| A—Initial pH value | 0.45 | 1 | 0.45 | 14.14 | 0.0009 |
| B—H2O2 | 0.72 | 1 | 0.72 | 22.63 | <0.0001 |
| C—Fe2+ | 4.95 | 1 | 4.95 | 155.97 | <0.0001 |
| D—Temperature | 2.35 | 1 | 2.35 | 73.99 | <0.0001 |
| E—Reaction time | 0.2 | 1 | 0.2 | 6.24 | 0.0194 |
| AB | 0 | 1 | 0 | 0 | 1 |
| AC | 9.000 × 104 | 1 | 9.000 × 104 | 0.028 | 0.8676 |
| AD | 0 | 1 | 0 | 0 | 1 |
| AE | 0.096 | 1 | 0.096 | 3.03 | 0.0942 |
| BC | 0 | 1 | 0 | 0 | 1 |
| BD | 2.500 × 105 | 1 | 2.500 ×105 | 7.876 × 104 | 0.9778 |
| BE | 0.036 | 1 | 0.036 | 1.14 | 0.2964 |
| CD | 4.00 × 104 | 1 | 4.00 × 104 | 0.013 | 0.9115 |
| CE | 0 | 1 | 0 | 0 | 1 |
| DE | 0.09 | 1 | 0.09 | 2.84 | 0.1047 |
| A2 | 0.26 | 1 | 0.26 | 8.08 | 0.0088 |
| B2 | 15.65 | 1 | 15.65 | 492.94 | <0.0001 |
| C2 | 6.01 | 1 | 6.01 | 189.32 | <0.0001 |
| D2 | 2.761 × 104 | 1 | 2.761 × 104 | 8.7 × 103 | 0.9264 |
| E2 | 1.59 | 1 | 1.59 | 50.01 | <0.0001 |
| Residual | 0.79 | 25 | 0.032 | ||
| Misfitting error | 0.79 | 20 | 0.04 | 2380.3 | <0.0001 |
| Pure error | 8.3333 × 105 | 5 | 1.667 × 105 | ||
| Total | 29.96 | 45 |
Disclaimer/Publisher’s Note: The statements, opinions and data contained in all publications are solely those of the individual author(s) and contributor(s) and not of MDPI and/or the editor(s). MDPI and/or the editor(s) disclaim responsibility for any injury to people or property resulting from any ideas, methods, instructions or products referred to in the content. |
© 2024 by the authors. Licensee MDPI, Basel, Switzerland. This article is an open access article distributed under the terms and conditions of the Creative Commons Attribution (CC BY) license (https://creativecommons.org/licenses/by/4.0/).
Share and Cite
Su, X.; Wang, X.; Li, N.; Li, L.; Tuerhong, Y.; Yu, Y.; Wang, Z.; Shen, T.; Su, Q.; Zhang, P. Study on the Performance Test of Fe–Ce–Al/MMT Catalysts with Different Fe/Ce Molar Ratios for Coking Wastewater Treatment. Molecules 2024, 29, 1948. https://doi.org/10.3390/molecules29091948
Su X, Wang X, Li N, Li L, Tuerhong Y, Yu Y, Wang Z, Shen T, Su Q, Zhang P. Study on the Performance Test of Fe–Ce–Al/MMT Catalysts with Different Fe/Ce Molar Ratios for Coking Wastewater Treatment. Molecules. 2024; 29(9):1948. https://doi.org/10.3390/molecules29091948
Chicago/Turabian StyleSu, Xiaoping, Xiangtong Wang, Ning Li, Longjian Li, Yilare Tuerhong, Yongchong Yu, Zhichao Wang, Tao Shen, Qiong Su, and Ping Zhang. 2024. "Study on the Performance Test of Fe–Ce–Al/MMT Catalysts with Different Fe/Ce Molar Ratios for Coking Wastewater Treatment" Molecules 29, no. 9: 1948. https://doi.org/10.3390/molecules29091948
APA StyleSu, X., Wang, X., Li, N., Li, L., Tuerhong, Y., Yu, Y., Wang, Z., Shen, T., Su, Q., & Zhang, P. (2024). Study on the Performance Test of Fe–Ce–Al/MMT Catalysts with Different Fe/Ce Molar Ratios for Coking Wastewater Treatment. Molecules, 29(9), 1948. https://doi.org/10.3390/molecules29091948
