Investigation on YSZ- and SiO2-Doped Mn-Fe Oxide Granules Based on Drop Technique for Thermochemical Energy Storage
Abstract
1. Introduction
2. Results and Discussion
2.1. Effect of Dopants on Redox Reaction Characteristics
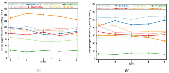
2.2. Redox Performance in Packed-Bed Reactor
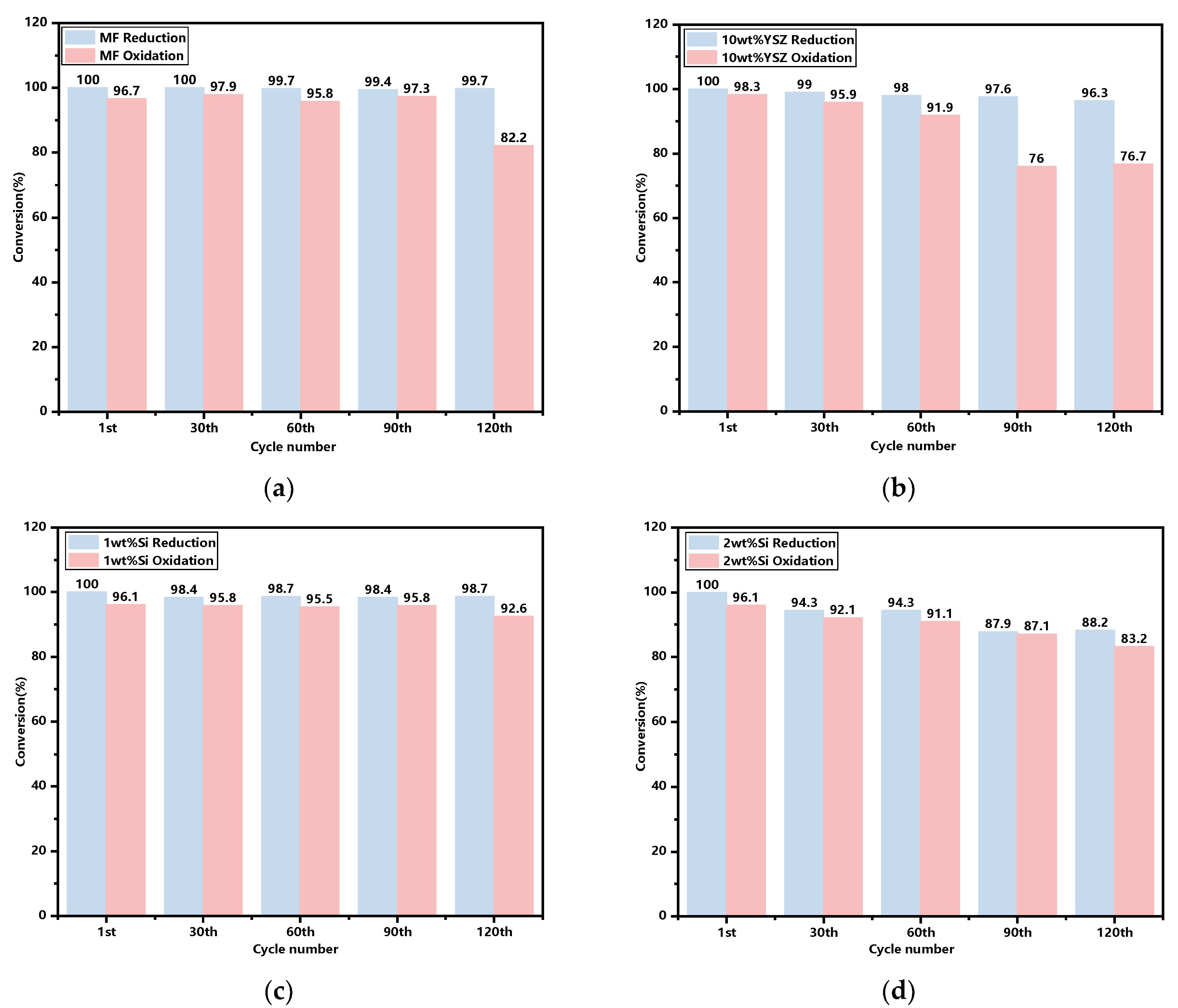
2.3. Long-Term Redox Cycles’ Performance Analysis
3. Materials and Methods
3.1. Granules Synthesis
3.2. Characterization of Granules
3.3. Redox Reactivity of Granules
4. Conclusions
Author Contributions
Funding
Institutional Review Board Statement
Informed Consent Statement
Data Availability Statement
Conflicts of Interest
References
- Yan, J.; Lu, L.; Ma, T.; Zhou, Y.; Zhao, C.Y. Thermal management of the waste energy of a stand-alone hybrid PV-wind-battery power system in Hong Kong. Energy Convers. Manag. 2020, 203, 112261. [Google Scholar] [CrossRef]
- Abdalla, A.N.; Nazir, M.S.; Tao, H.; Cao, S.; Ji, R.; Jiang, M.; Yao, L. Integration of energy storage system and renewable energy sources based on artificial intelligence: An overview. J. Energy Storage 2021, 40, 102811. [Google Scholar] [CrossRef]
- Yan, T.; Wang, R.Z.; Li, T.X.; Wang, L.W.; Fred, I.T. A review of promising candidate reactions for chemical heat storage. Renew. Sustain. Energy Rev. 2015, 43, 13–31. [Google Scholar] [CrossRef]
- Zhao, C.; Yan, J.; Tian, X.; Xue, X.; Zhao, Y. Progress in thermal energy storage technologies for achieving carbon neutrality. Carbon Neutrality 2023, 2, 10. [Google Scholar] [CrossRef]
- Wu, S.; Zhou, C.; Doroodchi, E.; Nellore, R.; Moghtaderi, B. A review on high-temperature thermochemical energy storage based on metal oxides redox cycle. Energy Convers. Manag. 2018, 168, 421–453. [Google Scholar] [CrossRef]
- Neises, M.; Tescari, S.; De Oliveira, L.; Roeb, M.; Sattler, C.; Wong, B. Solar-heated rotary kiln for thermochemical energy storage. Sol. Energy 2012, 86, 3040–3048. [Google Scholar] [CrossRef]
- Jafarian, M.; Arjomandi, M.; Nathan, G.J. Thermodynamic potential of molten copper oxide for high temperature solar energy storage and oxygen production. Appl. Energy 2017, 201, 69–83. [Google Scholar] [CrossRef]
- Fahim, M.A.; Ford, J.D. Energy storage using the BaO2 BaO reaction cycle. Chem. Eng. J. 1983, 27, 21–28. [Google Scholar] [CrossRef]
- Miguel, S.Á.D.; Gonzalez-Aguilar, J.; Romero, M. 100-Wh Multi-purpose Particle Reactor for Thermochemical Heat Storage in Concentrating Solar Power Plants. Energy Procedia 2014, 49, 676–683. [Google Scholar] [CrossRef]
- Block, T.; Knoblauch, N.; Schmücker, M. The cobalt-oxide/iron-oxide binary system for use as high temperature thermochemical energy storage material. Thermochim. Acta 2014, 577, 25–32. [Google Scholar] [CrossRef]
- Block, T.; Schmücker, M. Metal oxides for thermochemical energy storage: A comparison of several metal oxide systems. Sol. Energy 2016, 126, 195–207. [Google Scholar] [CrossRef]
- Agrafiotis, C.; Roeb, M.; Sattler, C. Exploitation of thermochemical cycles based on solid oxide redox systems for thermochemical storage of solar heat. Part 4: Screening of oxides for use in cascaded thermochemical storage concepts. Sol. Energy 2016, 139, 695–710. [Google Scholar] [CrossRef]
- Agrafiotis, C.; Block, T.; Senholdt, M.; Tescari, S.; Roeb, M.; Sattler, C. Exploitation of thermochemical cycles based on solid oxide redox systems for thermochemical storage of solar heat. Part 6: Testing of Mn-based combined oxides and porous structures. Sol. Energy 2017, 149, 227–244. [Google Scholar] [CrossRef]
- Wong, B. General Atomics Thermochemical Heat Storage for Concentrated Solar Power, Thermochemical System Reactor Design for Thermal Energy Storage; DOE/GO18145 TRN: US201209%%526; OSTI.GOV: San Diego, CA, USA, 2011. [Google Scholar] [CrossRef]
- Carrillo, A.J.; Serrano, D.P.; Pizarro, P.; Coronado, J.M. Thermochemical heat storage based on the Mn2O3/Mn3O4 redox couple: Influence of the initial particle size on the morphological evolution and cyclability. J. Mater. Chem. A 2014, 2, 19435–19443. [Google Scholar] [CrossRef]
- André, L.; Abanades, S.; Cassayre, L. High-temperature thermochemical energy storage based on redox reactions using Co-Fe and Mn-Fe mixed metal oxides. J. Solid State Chem. 2017, 253, 6–14. [Google Scholar] [CrossRef]
- Carrillo, A.J.; Serrano, D.P.; Pizarro, P.; Coronado, J.M. Improving the Thermochemical Energy Storage Performance of the Mn2O3/Mn3O4 Redox Couple by the Incorporation of Iron. ChemSusChem 2015, 8, 1947–1954. [Google Scholar] [CrossRef] [PubMed]
- Carrillo, A.J.; Serrano, D.P.; Pizarro, P.; Coronado, J.M. Understanding Redox Kinetics of Iron-Doped Manganese Oxides for High Temperature Thermochemical Energy Storage. J. Phys. Chem. C 2016, 120, 27800–27812. [Google Scholar] [CrossRef]
- Wokon, M.; Block, T.; Nicolai, S.; Linder, M.; Schmücker, M. Thermodynamic and kinetic investigation of a technical grade manganese-iron binary oxide for thermochemical energy storage. Sol. Energy 2017, 153, 471–485. [Google Scholar] [CrossRef]
- Wokon, M.; Kohzer, A.; Linder, M. Investigations on thermochemical energy storage based on technical grade manganese-iron oxide in a lab-scale packed bed reactor. Sol. Energy 2017, 153, 200–214. [Google Scholar] [CrossRef]
- Hamidi, M.; Bayon, A.; Wheeler, V.M.; Kreider, P.; Wallace, M.A.; Tsuzuki, T.; Catchpole, K.; Weimer, A.W. Reduction kinetics for large spherical 2:1 iron-manganese oxide redox materials for thermochemical energy storage. Chem. Eng. Sci. 2019, 201, 74–81. [Google Scholar] [CrossRef]
- Carrillo, A.J.; Gonzalez-Aguilar, J.; Romero, M.; Coronado, J.M. Solar Energy on Demand: A Review on High Temperature Thermochemical Heat Storage Systems and Materials. Chem. Rev. 2019, 119, 4777–4816. [Google Scholar] [CrossRef] [PubMed]
- Gan, D.; Sheng, H.; Zhu, P.; Xu, H.; Xiao, G. Long-term replenishment strategy of SiC-doped Mn-Fe particles for high-temperature thermochemical energy storage. Sol. Energy 2023, 262, 111842. [Google Scholar] [CrossRef]
- Zsembinszki, G.; Solé, A.; Barreneche, C.; Prieto, C.; Fernández, A.; Cabeza, L. Review of Reactors with Potential Use in Thermochemical Energy Storage in Concentrated Solar Power Plants. Energies 2018, 11, 2358. [Google Scholar] [CrossRef]
- Pagkoura, C.; Karagiannakis, G.; Zygogianni, A.; Lorentzou, S.; Konstandopoulos, A.G. Cobalt Oxide Based Honeycombs as Reactors/Heat Exchangers for Redox Thermochemical Heat Storage in Future CSP Plants. Energy Procedia 2015, 69, 978–987. [Google Scholar] [CrossRef]
- Xiang, D.; Gu, C.; Xu, H.; Xiao, G. Self-Assembled Structure Evolution of Mn-Fe Oxides for High Temperature Thermochemical Energy Storage. Small 2021, 17, 2101524. [Google Scholar] [CrossRef] [PubMed]
- Agrafiotis, C.; Roeb, M.; Schmücker, M.; Sattler, C. Exploitation of thermochemical cycles based on solid oxide redox systems for thermochemical storage of solar heat. Part 2: Redox oxide-coated porous ceramic structures as integrated thermochemical reactors/heat exchangers. Sol. Energy 2015, 114, 440–458. [Google Scholar] [CrossRef]
- Agrafiotis, C.; Tescari, S.; Roeb, M.; Schmucker, M.; Sattler, C. Exploitation of thermochemical cycles based on solid oxide redox systems for thermochemical storage of solar heat. Part 3: Cobalt oxide monolithic porous structures as integrated thermochemical reactors/heat exchangers. Sol. Energy 2015, 114, 459–475. [Google Scholar] [CrossRef]
- Preisner, N.C.; Block, T.; Linder, M.; Leion, H. Stabilizing Particles of Manganese-Iron Oxide with Additives for Thermochemical Energy Storage. Energy Technol. 2018, 6, 2154–2165. [Google Scholar] [CrossRef]
- Gigantino, M.; Sas Brunser, S.; Steinfeld, A. High-Temperature Thermochemical Heat Storage via the CuO/Cu2O Redox Cycle: From Material Synthesis to Packed-Bed Reactor Engineering and Cyclic Operation. Energy Fuels 2020, 34, 16772–16782. [Google Scholar] [CrossRef]
- Bielsa, D.; Oregui, M.; Arias, P.L. New insights into Mn2O3 based metal oxide granulation technique with enhanced chemical and mechanical stability for thermochemical energy storage in packed bed reactors. Sol. Energy 2022, 241, 248–261. [Google Scholar] [CrossRef]
- Bielsa, D.; Zaki, A.; Arias, P.L.; Faik, A. Improving the redox performance of Mn2O3/Mn3O4 pair by Si doping to be used as thermochemical energy storage for concentrated solar power plants. Sol. Energy 2020, 204, 144–154. [Google Scholar] [CrossRef]
- Yu, X.; Wang, L.; Chen, M.; Fan, X.; Zhao, Z.; Cheng, K.; Chen, Y.; Sojka, Z.; Wei, Y.; Liu, J. Enhanced activity and sulfur resistance for soot combustion on three-dimensionally ordered macroporous-mesoporous MnxCe1−xOδ/SiO2 catalysts. Appl. Catal. B Environ. 2019, 254, 246–259. [Google Scholar] [CrossRef]
- Han, Y.; Zhao, J.; Quan, Y.; Yin, S.; Wu, S.; Ren, J. Highly Efficient LaxCe1–xO2–x/2 Nanorod-Supported Nickel Catalysts for CO Methanation: Effect of La Addition. Energy Fuels 2021, 35, 3307–3314. [Google Scholar] [CrossRef]
- Onrubia-Calvo, J.A.; Pereda-Ayo, B.; De-La-Torre, U.; González-Velasco, J.R. Key factors in Sr-doped LaBO3 (B=Co or Mn) perovskites for NO oxidation in efficient diesel exhaust purification. Appl. Catal. B Environ. 2017, 213, 198–210. [Google Scholar] [CrossRef]
- Yilmaz, D.; Darwish, E.; Leion, H. Investigation of the combined Mn-Si oxide system for thermochemical energy storage applications. J. Energy Storage 2020, 28, 101180. [Google Scholar] [CrossRef]
- Zhang, Z.; Yu, J.; Zhang, J.; Ge, Q.; Xu, H.; Dallmann, F.; Dittmeyer, R.; Sun, J. Tailored metastable Ce–Zr oxides with highly distorted lattice oxygen for accelerating redox cycles. Chem. Sci. 2018, 9, 3386–3394. [Google Scholar] [CrossRef] [PubMed]
- Zou, D.; Yi, Y.; Song, Y.; Guan, D.; Xu, M.; Ran, R.; Wang, W.; Zhou, W.; Shao, Z. The BaCe0.16Y0.04Fe0.8O3−δ nanocomposite: A new high-performance cobalt-free triple-conducting cathode for protonic ceramic fuel cells operating at reduced temperatures. J. Mater. Chem. A 2022, 10, 5381–5390. [Google Scholar] [CrossRef]
- Zhou, J.; Xiang, D.; Zhu, P.; Deng, J.; Gu, C.; Xu, H.; Zhou, J.; Xiao, G. ZrO2-Doped Copper Oxide Long-Life Redox Material for Thermochemical Energy Storage. ACS Sustain. Chem. Eng. 2023, 11, 47–57. [Google Scholar] [CrossRef]
- German, R.M. Coarsening in Sintering: Grain Shape Distribution, Grain Size Distribution, and Grain Growth Kinetics in Solid-Pore Systems. Crit. Rev. Solid State Mater. Sci. 2010, 35, 263–305. [Google Scholar] [CrossRef]
- Huang, Y.; Zhu, P.; Xu, H.; Gu, C.; Zhou, J.; Xiao, G. Mn-based oxides modified with MnSiO3 for thermochemical energy storage. Chem. Eng. J. 2024, 483, 149437. [Google Scholar] [CrossRef]
- Sunde, T.O.L.; Grande, T.; Einarsrud, M.-A. Modified Pechini Synthesis of Oxide Powders and Thin Films. In Handbook of Sol-Gel Science and Technology; Springer: Berlin/Heidelberg, Germany, 2018; pp. 1089–1118. [Google Scholar]
- Jana, P.; de la Peña O’Shea, V.A.; Coronado, J.M.; Serrano, D.P. Cobalt based catalysts prepared by Pechini method for CO2-free hydrogen production by methane decomposition. Int. J. Hydrogen Energy 2010, 35, 10285–10294. [Google Scholar] [CrossRef]















| Sample | Estimated Mass Change (%) | Experimental Mass Change (%) | Tred/Tox (°C) | ΔTHysteresis (°C) | ΔHred/ΔHox (J/g) |
|---|---|---|---|---|---|
| MF | 3.37 | 3.37 | 983.3/830.3 | 153 | 123.4/−144 |
| 1 wt%Si | 3.33 | 3.09 | 990.9/877.1 | 113.8 | 90.12/−91.35 |
| 2 wt%Si | 3.30 | 2.80 | 989.5/875.2 | 114.3 | 74.95/−103 |
| 5 wt%Si | 3.20 | 1.87 | 992.3/868.3 | 124 | 51.22/−67.11 |
| 10 wt%Si | 3.03 | 1.27 | 991.9/883.4 | 108.5 | 37.97/−33.9 |
| 5 wt%YSZ | 3.19 | 3.21 | 997.7/840.3 | 157.4 | 85.14/−114.2 |
| 10 wt%YSZ | 3.03 | 2.96 | 988.1/835.6 | 152.5 | 77.19/−111.5 |
| 20 wt%YSZ | 2.69 | 2.64 | 1000.6/834.5 | 166.1 | 65.39/−101.4 |
| Sample | Average O2 Release/Uptake (μmol/g) | Theoretical Release/Uptake (%) | Reactor Average Reduction/Oxidation Duration (min) | TG Reduction/Oxidation Duration (min) |
|---|---|---|---|---|
| MF | 902.67/744.89 | 85.79/70.79 | 8.90/7.94 | 8.45/14.75 |
| 1 wt%Si | 831.82/838.86 | 79.86/80.53 | 8.43/8.22 | 7.83/9.27 |
| 2 wt%Si | 728.60/751.16 | 70.66/72.85 | 8.59/7.66 | 8.10/7.99 |
| 5 wt%Si | 505.46/475.34 | 50.57/47.55 | 6.60/9.42 | 9.06/7.55 |
| 10 wt%Si | 152.86/137.79 | 16.14/14.55 | 9.57/12.11 | 10.12/10.74 |
| 5 wt%YSZ | 899.68/845.40 | 90.01/84.58 | 10.57/15.79 | 9.63/9.52 |
| 10 wt%YSZ | 833.92/793.59 | 88.06/83.80 | 8.55/9.26 | 10.33/9.39 |
| 20 wt%YSZ | 729.35/702.36 | 86.65/83.44 | 6.68/13.25 | 10.33/8.33 |
| Sample | Bulk Density Fresh/Used (g/cm3) | Total Porosity Fresh/Used (%) | d50 Fresh/Used (μm) | Average Crushing Strength Fresh/Used (N) |
|---|---|---|---|---|
| MF | 0.99/0.98 | 30.87/29.43 | 1.3/30.18 | 0.36/0.11 |
| 1 wt%Si | 1.12/0.56 | 26.85/31.17 | 0.55/5.17 | 0.39/0.28 |
| 2 wt%Si | 1.08/0.41 | 29.22/40.92 | 0.43/2.89 | 0.92/0.47 |
| 10 wt%YSZ | 0.94/1.61 | 32.91/18.55 | 0.67/89.6 | 0.37/2.44 |
Disclaimer/Publisher’s Note: The statements, opinions and data contained in all publications are solely those of the individual author(s) and contributor(s) and not of MDPI and/or the editor(s). MDPI and/or the editor(s) disclaim responsibility for any injury to people or property resulting from any ideas, methods, instructions or products referred to in the content. |
© 2024 by the authors. Licensee MDPI, Basel, Switzerland. This article is an open access article distributed under the terms and conditions of the Creative Commons Attribution (CC BY) license (https://creativecommons.org/licenses/by/4.0/).
Share and Cite
Ma, Y.; Wang, K.; Liang, S.; Li, Z.; Wang, Z.; Shen, J. Investigation on YSZ- and SiO2-Doped Mn-Fe Oxide Granules Based on Drop Technique for Thermochemical Energy Storage. Molecules 2024, 29, 1946. https://doi.org/10.3390/molecules29091946
Ma Y, Wang K, Liang S, Li Z, Wang Z, Shen J. Investigation on YSZ- and SiO2-Doped Mn-Fe Oxide Granules Based on Drop Technique for Thermochemical Energy Storage. Molecules. 2024; 29(9):1946. https://doi.org/10.3390/molecules29091946
Chicago/Turabian StyleMa, Yan, Kai Wang, Sikai Liang, Zhongqing Li, Zhiyuan Wang, and Jun Shen. 2024. "Investigation on YSZ- and SiO2-Doped Mn-Fe Oxide Granules Based on Drop Technique for Thermochemical Energy Storage" Molecules 29, no. 9: 1946. https://doi.org/10.3390/molecules29091946
APA StyleMa, Y., Wang, K., Liang, S., Li, Z., Wang, Z., & Shen, J. (2024). Investigation on YSZ- and SiO2-Doped Mn-Fe Oxide Granules Based on Drop Technique for Thermochemical Energy Storage. Molecules, 29(9), 1946. https://doi.org/10.3390/molecules29091946

