From Potential Prebiotic Synthons to Useful Chiral Scaffolds: A Synthetic and Structural Reinvestigation of 2-Amino-Aldononitriles
Abstract
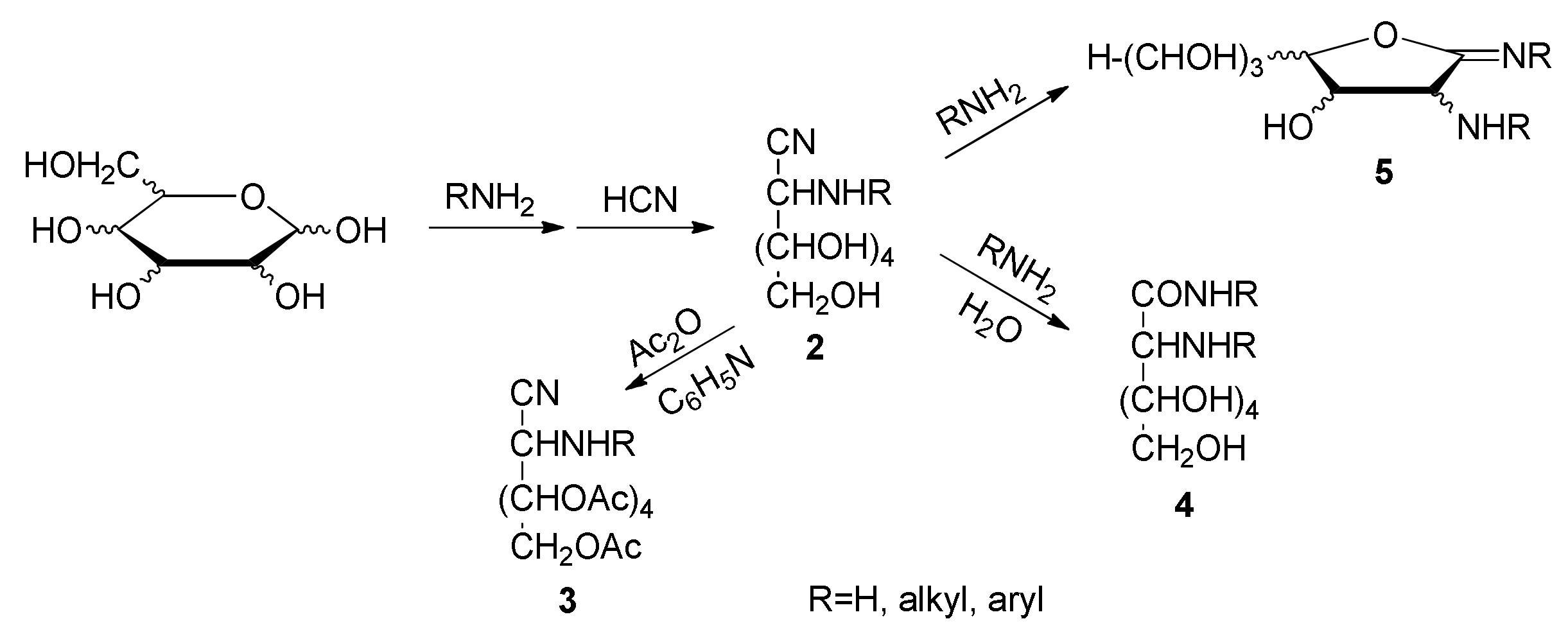
1. Introduction



2. Results and Discussion
2.1. Synthesis of Acylated Derivatives


2.2. Structural Elucidation
2.3. Peracetyl Alkylaminonitriles

2.4. Peracetyl Benzylaminonitriles
2.5. Perbenzoyl Alkylaminonitriles
2.6. Peracetyl Phenylaminonitriles
2.7. Peracetyl Aminonitriles
2.8. Structural Assessment via Mass Spectrometry
2.9. Conformational Analyses
3. Conclusions
4. Experimental Methodology
4.1. General Methods
4.2. X-ray Data Collection and Structural Refinement
4.3. Computational Details
4.4. Synthetic Procedures
- 3,4,5,6-Tetra-O-acetyl-2-deoxy-2-(N-ethylacetamido)-l-glucononitrile (11) [53]. Colorless needles, m.p. 103–105 °C, [α]D20 −49.0°; [α]57820 −51.4°; [α]54620 −58.5°, [α]43620 −100.6°, [α]36520 −160.5° (c 1.0, chloroform); IR (KBr) ṽmax/cm−1 2239 (C≡N), 1755, 1649 (C=O), 1274, 1262, 1206 (C-O-C), 1057, 1029 (C-O); Raman ṽmax/cm−1 2239 (C≡N), 1736 (C=O); 1H NMR (500 MHz, CDCl3) δ 5.57 (m, 2H, H-3, H-4), 5.48 (d, J2,3 = 9.0 Hz, 1H, H-2), 5.11 (ddd, J5,6 = 3.0 Hz, J5,6′ = 5.0 Hz, J4,5 = 8.5 Hz, H-5), 4.27 (dd, J5,6 = 3.0 Hz, J6,6′ = 12.5 Hz, 1H, H-6), 4.07 (dd, J5,6′ = 5.0 Hz, J6,6′ = 12.5 Hz, 1H, H-6′), 3.41 (m, 2H, CH2), 2.20, 2.12, 2.08, 2.07, 2.06, 2.05 (s, 15H, CH3), 1.35 (t, J = 7.0 Hz, 3H, CH3); 13C{1H} NMR (125 MHz, CDCl3) δ 170.88, 170.53, 169.69, 169.46, 169.36 (C=O), 114.78 (C≡N), 68.20, 68.04, 67.85 (C-3, C-4, C-5), 61.56 (C-6), 45.34 (C-2), 42.86 (CH2), 21.09, 20.73, 20.65, 20.52, 20.33, 14.48 (CH3). HRMS-(ESI-TOF) m/z [M + H]+ calcd. for C18H27N2O9: 415.1717. Found: 415.1706. m/z [M + NH4]+ calcd. for C18H30N3O9: 432.1982. Found: 432.1969. m/z [M2 + Na]+ calcd. for C36H52N4O18Na: 851.3174. Found: 851.3133.
- 3,4,5,6-Tetra-O-acetyl-2-deoxy-2-(N-n-propylacetamido)-l-glucononitrile (12) [53]. Colorless needles, m.p. 115–116 °C, [α]D20 −48.0°; [α]57820 −48.9°; [α]54620 −55.5°, [α]43620 −95.6°, [α]36520 −154.2° (c 0.4, chloroform); IR (KBr) ṽmax/cm−1 2233 (C≡N), 1750 (C=O ester), 1655 (C=O amide), 1415, 1360, 1258 and 1210 (C-O-C), 1057, 1030 (C-O); 1H NMR (400 MHz, CDCl3) δ 5.60 (t, 2H, H-3, H-4), 5.34 (d, J2,3 = 8.8 Hz, 1H, H-2), 5.14 (m, J5,6 = 3.2 Hz, J5,6′ = 4.8 Hz, H-5), 4.27 (dd, J5,6 = 3.0 Hz, J6,6′ = 12.0 Hz, 1H, H-6), 4.07 (dd, J5,6′ = 3.0 Hz, J6,6′ = 12.0 Hz, 1H, H-6′), 3.25 (m, 2H, CH2), 2.21, 2.22, 2.08, 2.07, 2.05 (s, 15H, CH3), 0.97 (t, J = 7.2 Hz, 3H, CH3); 13C{1H} NMR (100 MHz, CDCl3) δ 170.94, 170.54, 169.72, 169.44, 169.32 (C=O), 114.70 (C≡N), 68.15, 68.08, 67.87 (C-3, C-4, C-5), 61.57 (C-6), 45.94 (C-2), 50.21, 22.54 (CH2), 21.11, 20.74, 20.65, 20.52, 20.35, 11.19 (CH3).
- 3,4,5,6,7-Penta-O-acetyl-2-deoxy-2-(N-ethylacetamido)-d-glycero-l-gluco-heptononitrile (13) [51]. Colorless needles, m.p. 120–122 °C, [α]D20 −11.8°; [α]57820 −11.8°; [α]54620 −15.0°, [α]43620 −26.0° (c 0.5, chloroform); IR (KBr) ṽmax/cm−1 2255 (C≡N), 1749, 1662 (C=O), 1275, 1203 (C-O-C), 1067, 1036 (C-O); Raman ṽmax/cm−1 2254 (C≡N), 1743, 1661 (C=O); 1H-NMR (500 MHz, CDCl3) δ 5.57 (dd, J3,4 = 1.5 Hz, J2,3 = 10.0 Hz, 1H, H-3), 5.44 (dd, J3,4 = 1.5 Hz, J4,5 = 10.0 Hz, 1H, H-4), 5.38 (d, J2,3 = 10.0 Hz, 1H, H-2), 5.30 (dd, J5,6 = 2.0 Hz, J4,5 = 7.5 Hz, 1H, H-5), 5.23 (ddd, J5,6 = 1.5 Hz, J6,7 = 5.0 Hz, J6,7′ = 7.0 Hz, H-6), 4.28 (dd, J6,7 = 5.5 Hz, J7,7′ = 12.0 Hz, 1H, H-7), 3.85 (dd, J6,7′ = 7.0 Hz, J7,7′ = 11.5 Hz, 1H, H-7′), 3.39 (m, 2H, CH2), 2.21, 2.15, 2.14, 2.12, 2.06, 2.04 (s, 18H, CH3), 1.35 (t, J = 7.0 Hz, 3H, CH3); 13C{1H} NMR (100 MHz, CDCl3) δ 170.70, 170.40, 170.32, 169.74, 169.61, 169.44 (C=O), 114.81 (C≡N), 67.76, 67.40, 67.36, 66.84 (C-3, C-4, C-5, C-6), 61.85 (C-7), 45.16 (C-2), 42.94 (CH2), 21.06, 20.73, 20.61, 20.57, 20.49, 20.38, 14.51 (CH3). HRMS-(ESI-TOF) m/z [M + H]+ calcd. for C21H31N2O11: 487.1928. Found: 487.1904. m/z [M + NH4]+ calcd. for C21H34N3O11: 504.2193. Found: 504.2158.
- 3,4,5,6,7-Penta-O-acetyl-2-deoxy-2-(N-phenylamino)-d-glycero-d-altro-heptononitrile (17) [56]. White solid, m.p. 100–102 °C, [α]D20 −43.6°; [α]57820 −45.9°; [α]54620 −55.2°, [α]43620 −103.2°, [α]36520 −183.6° (c 0.5, chloroform); IR (KBr) ṽmax/cm−1 3349 (NH), 2229 (C≡N), 1771, 1747 (C=O), 1509 (NH), 1252, 1231, 1213 (C-O-C), 1061 (C-O); 1H NMR (500 MHz, CDCl3) δ 7.26 (m, 2H, H-arom), 6.91 (t, 1H, H-arom), 6.70 (d, 2H, H-arom), 5.62 (dd, J2,3 = 4.0 Hz, J3,4 = 7.0 Hz, 1H, H-3), 5.46 (dd, J4,5 = 3.5 Hz, J3,4 = 7.0 Hz, 1H, H-4), 5.40 (dd, J4,5 = 3.5 Hz, J5,6 = 7.0 Hz, 1H, H-5), 5.30 (ddd, J6,7 = 3.0 Hz, J6,7′ = 6.0 Hz, J5,6 = 7.0 Hz, 1H, H-6), 4.52 (dd, J2,3 = 4.0 Hz, J2,NH = 11.0 Hz, 1H, H-2), 4.37 (dd, J6,7 = 3.0 Hz, J7,7′ = 12.5 Hz, 1H, H-7), 4.11 (d, J2,NH = 11.0 Hz, 1H, NH), 4.10 (dd, J6,7′ = 6.0 Hz, J7,7′ = 12.5 Hz, 1H, H-7′), 2.23, 2.12, 2.07, 2.06, 2.05 (s, 15H, CH3); 13C{1H} NMR (100 MHz, CDCl3) δ 170.60, 170.01, 169.83, 169.53, 169.27, 169.11 (C=O), 143.96, 129.70, 120.91 (C-arom), 116.70 (C≡N), 114.46 (C-arom), 69.84, 69.65, 69.21 (C-3, C-4, C-5, C-6), 61.75 (C-7), 47.26 (C-2), 20.86, 20.67, 20.62 (CH3).
- 3,4,5,6,7-Penta-O-benzoyl-2-deoxy-2-(N-ethylbenzamido)-d-glycero-l-gluco-heptononitrile (18) [51]. White solid, m.p. 79–81 °C, [α]D20 −9.4°; [α]57820 −10.0°; [α]54620 −11.4°, [α]43620 −12.6° (c 0.5, chloroform) [Lit. [51] m. p. 80 °C, [α]D20 −23.9° (c 0.3, pyridine)]; IR (KBr) ṽmax/cm−1 1730, 1655 (C=O), 1259 (C-O-C), 1090, 1068, 1024 (C-O); Raman ṽmax/cm−1 2250 (C≡N), 1732, 1658 (C=O); 1H NMR (500 MHz, CDCl3) δ 8.10–7.00 (m, 30H, H-arom), 6.12 (bs, 2H, H-3, H-4), 6.04 (bs, 1H, H-5), 5.91 (s, 1H, H-6), 5.76 (bs, 1H, H-2), 4.60 (dd, J6,7 = 4.5 Hz, J7,7′ = 11.5 Hz, 1H, H-7), 4.48 (dd, J6,7′ = 7.0 Hz, J7,7′ = 11.5 Hz, 1H, H-7), 3.47 (bs, 1H, CH2), 3.26 (bs, 1H, CH2), 1.05 (bs, 3H, CH3); 13C{1H} NMR (100 MHz, CDCl3) δ 171.90, 171.85, 165.85, 165.37, 165.23, 165.01(C=O),134.45, 133.98, 133.88, 133.77, 133.36, 133.01, 130.13, 130.08, 130.03, 1298.88, 129.69, 129.27, 128.72, 128.66, 128.47, 128.44, 128.24, 126.41 (C-arom), 114.87 (C≡N), 69.70, 69.17, 68.68 (C-3, C-4, C-5, C-6), 62.86 (C-7), 47.52 (C-2), 43.44 (CH2), 14.01 (CH3). HRMS-(ESI-TOF) m/z [M + H]+ calcd. for C51H43N2O11: 859.2867. Found: 859.2833. m/z [M + NH4]+ calcd. for C51H46N3O11: 876.3132. Found: 876.3097.
- 3,4,5,6,7-Penta-O-benzoyl-2-deoxy-2-(N-ethylbenzamido)-d-glycero-d-galacto-heptononitrile (20) [51]. White solid, m. p. 166–168 °C, [α]D20 +6.9° (c 0.5, pyridine) [Lit. [51] m. p. 170 °C, [α]D24 +5.8° (c 0.37, pyridine)]; IR (KBr) ṽmax/cm−1 2243 (C≡N), 1742, 1720, 1639 (C=O), 1264 (C-O-C), 1093, 1069, 1026 (C-O); Raman ṽmax/cm−1 2250 (C≡N), 1746, 1639 (C=O); [α]D22 +4.2°; [α]57822 +4.2°; [α]54622 +4.2°; [α]43622 +4.6° (c 0.5, chloroform); 1H-NMR (500 MHz, CDCl3) δ 8.06–7.88 (m, 10H, H-arom), 7.60–7.24 (m, 20H, H-arom), 6.40 (bs, 2H, H-2, H-5), 6.07 (t, J3,4 = 5.5 Hz, 1H, H-4), 5.98 (dd, J2,3 = 2.5 Hz, J3,4 = 5.5 Hz,1H, H-3), 5.85 (ddd, J6,7 = 3.0 Hz, J6,7′ = 5.0 Hz, J5,6 = 8.0 Hz, 1H, H-6), 4.79 (dd, J6,7 = 3.0 Hz, J7,7′ = 12.5 Hz, 1H, H-7), 4.48 (dd, J6,7′ = 5.0 Hz, J7,7′ = 12.5 Hz, 1H, H-7′), 3.61 (m, 1H, CH2), 3.48 (m, 1H, CH2), 1.10 (t, J = 7.5 Hz, 3H, CH3); 13C{1H} NMR (125 MHz, CDCl3) 171.95, 166.03, 165.52, 165.33, 165.27, 165.09 (C=O),134.95, 133.69, 133.62, 133.58, 133.23, 133.02, 130.11, 129.98, 129.90, 129.84, 129.42, 129.11, 128.97, 128.76, 128.63, 128.58, 128.52, 128.43, 128.30, 126.49 (C-arom), 114.80 (C≡N), 70.69, 69.43, 69.02, 68.37 (C-3, C-4, C-5, C-6), 62.61 (C-7), 47.38 (C-2), 43.50 (CH2), 15.05 (CH3). HRMS-(ESI-TOF) m/z [M + H]+ calcd. for C51H43N2O11: 859.2822. Found: 859.2826. m/z [M + NH4]+ calcd. for C51H46N3O11: 876.3132. Found: 876.3081.
- 2-(Benzyloxycarbonyl)amino-2-deoxy-d-glycero-d-ido-heptononitrile (26) [52]. M. p. 200–202 °C (dec.), [α]D22 −25.4° (c 0.5, pyridine); IR (KBr) ṽmax/cm−1 3440, 3400–3200 (OH), 3300 (NH), 2250 (C≡N), 1695 (C=O amide I), 1535 (C=O amide II), 1285 (C-O-C), 1085, 1050, 1040 (C-O); 13C{1H} NMR (50 MHz, DMSO-d6) δ 155.93 (C=O), 136.62, 128.52 (2C), 128.07, 127.94 (2C) (aromatics), 118.71 (C≡N), 72.13, 71.98, 71.38, 68.87, 66.17, 63.26 (C-7), 45.85 (C-2).
- 2-(N-Benzylamino)-2-deoxy-d-glycero-l-gluco-heptononitrile (32) [49]. M. p. 130–132 °C (dec.), [α]D22 −25.4° (c 0.5, pyridine); IR (KBr) ṽmax/cm−1 3500–3100, 3020, 2230 (C≡N), 1610, 1500, 1430, 1090, 1050, 760, 700 (C-O); 13C{1H} NMR (50 MHz, DMSO-d6) δ 138.95, 128.62, 128.49, 127.27 (C-arom), 119.76 (C≡N), 72.56, 71.30, 70.78, 69.52 (C-3, C-4, C-5, C-6), 63.71 (C-7), 51.50 (CH2), 50.87 (C-2).
- 2-(N-Benzylamino)-2-deoxy-d-glycero-d-ido-heptononitrile (33) [49]. M. p. 200–202 °C (dec.), [α]D22 −81.6° (c 0.5, pyridine); IR (KBr) ṽmax/cm−1 3400–3200, 2230 (C≡N), 1610, 1500, 740, 690; 13C{1H} NMR (50 MHz, DMSO-d6) δ 138.95, 128.62, 128.49, 127.27 (C-arom), 119.76 (C≡N), 72.56, 71.30, 70.78, 69.52 (C-3, C-4, C-5, C-6), 63.71 (C-7), 51.50 (CH2), 50.87 (C-2).
- 3,4,5,6,7-Penta-O-acetyl-2-(N-benzylacetamido)-2-deoxy-d-glycero-l-gluco-heptononitrile (37). A suspension of 2-benzylamino-2-deoxy-d-glycero-l-gluco-heptononitrile (32) [49] (2.1 g, 7.1 mmol) in pyridine (10 mL) was treated with acetic anhydride (10 mL) and the mixture was kept for 24 h at room temperature. After this time, it was poured into ice–water, and a white solid was separated by stirring and scraping. It was filtered, washed with cold water, and dried under a vacuum on silica gel. Compound 37 was obtained as a colorless solid (3.6 g, 92%). Crystallized from ethanol, it formed colorless needles. M. p. 135–137 °C, [α]D20 −11.2° (c 2.0, pyridine) (Lit. [49] for 14, m. p. 83–85 °C); IR (KBr) ṽmax/cm−1 2247 (C≡N), 1754, 1672 (C=O), 1250, 1215 (C-O-C), 1033 (C-O); 1H NMR (500 MHz, CDCl3) δ 7.41 (m, 2H, H-arom), 7.34 (m, 1H, H-arom), 7.24 (d, 2H, H-arom), 5.58 (d, J3,4 = J4,5 = 9.5 Hz, 1H, H-4), 5.53 (d, J2,3 = J3,4 = 9.5 Hz, 1H, H-3), 5.38 (d, J2,3 = 9.5 Hz, 1H, H-2), 5.32 (dd, J5,6 = 2.0 Hz, J4,5 = 9.5 Hz, 1H, H-5), 5.23 (t, J6,7 = 5.5 Hz, 1H, H-6), 4.67 (d, J = 7.5 Hz, 1H, CH2), 4.44 (d, J = 8.0 Hz, 1H, CH2), 4.29 (dd, J6,7 = 5.5 Hz, J7,7′ = 12.0 Hz, 1H, H-7), 3.86 (dd, J6,7′ = 7.5 Hz, J7,7′ = 12.0 Hz, 1H, H-7′), 2.19, 2.17, 2.12, 2.11, 2.05, 1.99 (s, 18H, CH3); 13C{1H} NMR (125 MHz, CDCl3) δ 171.62, 170.43, 170.37, 169.83, 169.79, 169.42 (C=O), 135.36, 129.18, 128.10, 126.00 (C-arom), 114.32 (C≡N), 67.89, 67.83, 67.45, 66.92 (C-3, C-4, C-5, C-6), 61.89 (C-7), 51.78 (CH2), 46.81 (C-2), 21.81, 20.75, 20.63, 20.50 (CH3). Anal. Calcd. for C26H32N2O11: C, 56.93; H, 5.88; N, 5.11. Found: C, 56.84; H, 5.90; N, 5.23. HRMS-(ESI-TOF) m/z [M + H]+ calcd. for C26H33N2O11: 549.2084. Found: 549.2069. m/z [M + NH4]+ calcd. for C26H36N3O11: 566.2350. Found: 566.2330.
- 3,4,5,6,7-Penta-O-acetyl-2-(N-benzylacetamido)-2-deoxy-d-glycero-d-ido-heptononitrile (38). A suspension of 2-benzylamino-2-deoxy-d-glycero-d-ido-heptononitrile (33) [49] (0.50 g, 1.7 mmol) in pyridine (3.0 mL) was treated with acetic anhydride (2.5 mL) and the mixture was kept for 24 h at room temperature. After this time, it was poured into ice–water, and a white solid was separated by stirring and scraping. It was filtered, washed with cold water, and dried under a vacuum on silica gel. Compound 38 was obtained as an amorphous, colorless, partially melted solid (0.81 g, 87%). M. p. 42–46 °C, [α]D20 −10.0° (c 1.0, pyridine) (Lit. [49] for 15, m. p. room temperature ~25 °C; [α]D20 −9.6° (c 1.27, pyridine)); IR (KBr) ṽmax/cm−1 2240 (C≡N), 1750 (C=O acetate),1670 (C=O amide), 1375, 1210 (C-O-C), 1050 (C-O); 1H NMR (200 MHz, CDCl3) δ 7.42–7.23 (m, 5H, H-arom), 5.73 (dd, J3,4 = 7.0 Hz, J4,5 = 3.1 Hz, 1H, H-4 E-syn), 5.68 (m, 1H, H-3 Z-syn), 5.62 (d, J2,3 = 5.0 Hz, 1H, H-2 Z-syn), 5.50 (m, 2H, H-4, H-5 Z-syn), 5.23 (dd, J2,3 = 3.9 Hz, J3,4 = 7.3 Hz, 1H, H-3 E-syn), 5.19 (dd, J4,5 = 3.1 Hz, J5,6 = 7.8 Hz, 1H, H-5 E-syn), 5.02 (m, 2H, H-6 E-syn and Z-syn), 4.82 (d, J = 17.6 Hz, 1H, PhCH2 Z-syn), 4.58 (d, J = 17.6 Hz, 1H, PhCH2 Z-syn), 4.32 (dd, J6,7 = 4.2 Hz, J7,7 = 12.3 Hz, 1H, H-7 E-syn), 4.17 (m, 2H, H-7, H-7′ Z-syn), 4.16 (dd, J6,7′ = 2.1 Hz, J7,7′ = 12.3 Hz, 1H, H-7′ E-syn), 4.08 (d, J = 12.8 Hz, 1H, PhCH2 E-syn), 3.99 (d, J2,3 = 3.9 Hz, 1H, H-2 E-syn), 3.80 (d, J = 13.0 Hz, 1H, PhCH2 E-syn), 2.15, 2.13, 2.11, 2.10, 2.08, 2.06, 2.04, 1.99 (s, 36H, CH3); 13C{1H} NMR (50 MHz, CDCl3) δ 172.02 (C=O Z-syn), 170.63 (Z-syn), 170.33 (E-syn), 170.14 (E-syn), 169.66 (Z-syn), 169.61 (E-syn), 169.42 (Z-syn), 169.20 (E-syn) (C=O), 137.52 (E-syn), 135.49 (Z-syn), 129.03 (Z-syn), 128.60 (E-syn), 128.30 (E-syn), 127.91 (Z-syn), 127.76 (Z-syn), 126.03 (Z-syn) (C-arom), 116.96 (C≡N E-syn), 114.41 (C≡N Z-syn), 70.15 (E-syn), 69.27 (Z-syn), 68.91 (Z-syn), 68.63 (Z-syn), 68.08 (E-syn), 68.00 (Z-syn), 67.93 (Z-syn), 67.76 (E-syn) (C-3, C-4, C-5, C-6), 61.22 (C-7 Z-syn), 61.11 (C-7 E-syn), 52.08 (CH2 Z-syn), 51.43 (CH2 E-syn), 49.35 (C-2 E-syn), 46.94 (C-2 Z-syn), 21.76 (CH3 Z-syn), 20.62, 20.54, 20.46, 20.37, 20.31 (CH3). Anal. Calcd. for C26H32N2O11: C, 56.93; H, 5.88; N, 5.11. Found: C, 56.72; H, 5.67; N, 5.33.
- 2-Deoxy-2-phenylamino-d-glucononitrile (41). To a suspension of d-arabinose (10.0 g, 66.6 mmol) in ethanol (30.0 mL) and water (3.0 mL), aniline (8.0 mL, 87.6 mmol) was added and the mixture was refluxed until dissolution. The reddish solution was concentrated in vacuo to a thick oil, which was treated with ethyl ether. The ethereal layer was decanted and the treatment was repeated twice. The residue was dissolved in hot ethanol and crystallized into N-phenyl-d-arabinopyranosylamine. The solid was dissolved by heating and then cooled rapidly to room temperature, and then anhydrous hydrogen cyanide (7–8 mL) was added. After one hour at room temperature, it was stored in a refrigerator overnight. The resulting solid was filtered, washed with cold ethanol and diethyl ether, and dried under a vacuum over silica gel (9.75 g, 58%). An additional yield of crystals was obtained from the mother liquors (2.17 g, 13%) (total yield: 11.92 g, 71%). White solid, m. p. 150–152 °C; [α]D18 +129.2°; [α]57818 +133.9°; [α]54618 +156.0° (c 0.5, pyridine); IR (KBr) ṽmax/cm−1 3500–3100 (OH, NH), 2229 (C≡N), 1603, 1499, 754, 693 (phenyl), 1142, 1103, 1053, 1034 (C-O, C-N); 13C{1H} NMR (125 MHz, DMSO-d6) δ 144.64 (C≡N), 70.78, 70.24, 68.97 (C-3, C-4, C-5), 63.36 (C-6), 52.86 (C-2).
- 3,4,5,6-Tetra-O-acetil-2-deoxy-2-phenylamino-d-glucononitrile (42). A suspension of 2-deoxy-2-phenylamino-d-glucononitrile (41) (0.50 g, 2.0 mmol) in pyridine (3.5 mL) was treated with acetic anhydride (2.8 mL) and the mixture was kept under agitation for 24 h at 0 °C. After this time, it was poured into ice–water and, by stirring and scraping, a white solid was separated. It was filtered, washed with cold water, and dried under a vacuum over silica gel (0.74 g, 89%). Crystallization from 96% ethanol gave rise to a white microcrystalline powder. M. p. 135–136 °C; [α]D22 +415.4°; [α]57822 +416.4°; [α]54622 +423.0°; [α]43622 +461.4° (c 0.5, chloroform); IR (KBr) ṽmax/cm−1 3347 (NH), 2239 (C≡N), 1763, 1743 (C=O), 1215 (C-O-C), 1081, 1050 (C-O); Raman ṽmax/cm−1 2236 (C≡N), 1737 (C=O); 1H NMR (500 MHz, CDCl3) δ 7.26 (m, 2H, H-arom), 6.91 (t, 1H, H-arom), 6.78 (d, 2H, H-arom), 5.57 (dd, J3,4 = 1.5 Hz, J4,5 = 9.0 Hz, 1H, H-4), 5.28 (ddd, J5,6 = 3.0 Hz, J5,6′ = 4.0 Hz, J4,5 = 9.0 Hz, 1H, H-5), 5.25 (dd, J3,4 = 2.0 Hz, J2,3 = 6.0 Hz, 1H, H-3), 4.72 (dd, J2,3 = 6.0 Hz, JNH,2 = 11.0 Hz, 1H, H-2), 4.59 (d, JNH,2 = 11.0 Hz, 1H, NH), 4.28 (dd, J5,6 = 2.5 Hz, J6,6′ = 12.5 Hz, 1H, H-6), 4.23 (dd, J5,6′ = 3.5 Hz, J6,6′ = 12.5 Hz, 1H, H-6′), 2.23, 2.19, 2.08, 2.05 (s, 12H, CH3); 13C{1H} NMR (125 MHz, CDCl3) δ 171.79, 170.52, 170.22, 169.63 (C=O), 144.08, 129.72, 121.02 (C-arom), 116.67 (C≡N), 114.87 (C-arom), 68.15, 67.67, 66.95 (C-3, C-4, C-5), 61.50 (C-6), 46.00 (C-2), 21.03, 20.70, 20.67, 20.58 (CH3). Anal. Calcd. for C20H24N2O8: C, 57.14; H, 5.75; N, 6.66. Found: C, 56.97; H, 6.06; N, 6.63. HRMS-(ESI-TOF) m/z [M + H]+ calcd. for C20H25N2O8: 421.1611. Found: 421.1600.
- 3,4,5,6-Tetra-O-acetyl-2-deoxy-2-(N-phenylacetamido)-d-glucononitrile (43). To a suspension of 3,4,5,6-tetra-O-acetyl-2-deoxy-2-phenylamino-d-glucononitrile (42) (0.2 g, 0.5 mmol) in isopropenyl acetate (5.0 mL), a catalytic amount of p-toluenesulfonic acid was added and the mixture was refluxed for 8 h. Upon cooling, a white solid was separated, which was filtered and dried under a vacuum over silica gel (0.18 g, 81%), and had an m. p. of 195–196 °C. [α]D22 −3.1°; [α]57822 −3.6°; [α]54622 +1.0°; [α]43622 +23.4° (c 0.5, chloroform); IR (KBr) ṽmax/cm−1 2237 (C≡N), 1765, 1744, 1673 (C=O), 1280, 1262, 1224 (C-O-C), 1065, 1036 (C-O); Raman ṽmax/cm−1 2243 (C≡N), 1751, 1671 (C=O); 1H NMR (500 MHz, CDCl3) δ 7.48 (m, 3H, H-arom), 7.33 (d, 2H, H-arom), 5.72 (d, J2,3 = 8.5 Hz, 1H, H-2), 5.67 (dd, J3,4 = 3.0 Hz, J2,3 = 8.5 Hz, 1H, H-4), 5.51 (dd, J3,4 = 3.0 Hz, J4,5 = 8.5 Hz, 1H, H-4), 5.09 (ddd, J5,6 = 3.5 Hz, J5,6′ = 5.5 Hz, J4,5 = 8.5 Hz, 1H, H-5), 4.26 (dd, J5,6 = 3.5 Hz, J6,6′ = 12.5 Hz, 1H, H-6), 4.04 (dd, J5,6′ = 5.5 Hz, J6,6′ = 12.5 Hz, 1H, H-6′), 2.15, 2.05, 1.84 (s, 15H, CH3); 13C{1H} NMR (125 MHz, CDCl3) δ 171.04, 170.53, 169.82, 169.63, 169.23 (C=O), 139.64, 130.20, 129.61, 128.93 (C-arom), 114.40 (C≡N), 68.90, 68.80, 68.48 (C-3, C-4, C-5), 61.55 (C-6), 49.14 (C-2), 22.54, 20.79, 20.67, 20.57, 20.54 (CH3). Anal. Calcd. for C22H27N2O9: C, 57.14; H, 5.62; N, 6.06. Found: C, 57.09; H, 5.76; N, 5.73. HRMS-(ESI-TOF) m/z [M + H]+ calcd. for C22H27N2O9: 463.1717. Found: 463.1709. m/z [M + NH4]+ calcd, for C22H30N3O9: 480.1982. Found: 480.1974.
- 2-Amino-2-deoxy-d-glucose Oxime Hydrochloride (45). This compound was synthesized following the procedure described by Restelli and Deulofeu [61]. IR (KBr) ṽmax/cm−1 3500–2400 (OH, NH+), 1610 (C=N), 1530, 1410, 1100, 1080, 1040, 1010 (C-O), 750; 1H NMR (200 MHz, DMSO-d6) δ 11.38 (s, 1H, NOH), 8.00 (bs, 2H), 5.31 (bs, 1H), 4.68 (bs, 1H), 4.52 (bs, 1H), (OH, NH), 7.35 (d, J2,3 = 5.6 Hz, 1H, H-1), 3.86 (m, 2H), 3.47 (m, 5H), 3.25 (d, 1H); 13C{1H} NMR (50 MHz, DMSO-d6) δ 144.64 (C=N), 70.78, 70.24, 68.97 (C-3, C-4, C-5), 63.36 (C-6), 52.86 (C-2).
- 2-Acetamido-3,4,5,6-tetra-O-acetyl-2-deoxy-d-glucononitrile (47). This compound was synthesized by modifying the Restelli and Deulofeu procedure [61]. A suspension of 45 (1.0 g, 4.2 mmol) in pyridine (6.0 mL) was treated with acetic anhydride (6.0 mL). The mixture was stirred for 24 h at room temperature. After this time, it was poured into ice–water and extracted with dichloromethane (2 × 50 mL), and the organic phase was washed successively with 1M hydrochloric acid (2 × 50 mL), saturated sodium bicarbonate solution (2 × 50 mL), and distilled water, and dried with anhydrous MgSO4. The solvent was removed in vacuo to dryness and the resulting residue was crystallized from ethanol. After being stored in the refrigerator for several hours, it was filtered, washed with cold ethanol, and dried under a vacuum over silica gel (0.77 g, 43%). Colorless prisms from ethanol, m. p. 126–129 °C; [α]D +18.0°; [α]578 +18.2°; [α]546 +21.4°; [α]436 +40.2° (c 0.5, chloroform) [Lit. [61] m. p. 126 °C; [α]D20 +20.5° (c 4.7, chloroform)]; IR (KBr) ṽmax/cm−1 3237 (NH), 2243 (C≡N), 1753, 1730, 1675, 1645 (C=O), 1541 (NH), 1252, 1211 (C-O-C), 1079, 1065, 1051 (C-O); Raman ṽmax/cm−1 2243 (C≡N), 1753, 1728, 1643 (C=O); 1H NMR (400 MHz, CDCl3) δ 6.69 (d, JNH,2 = 9.8 Hz, 1H, NH), 5.45 (dd, J2,3 = 6.8 Hz, JNH,2 = 9.6 Hz, 1H, H-2), 5.36 (dd, J3,4 = 1.8 Hz, J4,5 = 9.2 Hz, 1H, H-4), 5.19 (dt, J5,6 = 4.0 Hz, J5,6′ = 6.4 Hz, J4,5 = 9.2 Hz, 1H, H-5), 5.10 (dd, J3,4 = 1.6 Hz, J2,3 = 6.8 Hz, 1H, H-3), 4.24 (m, 1H, H-6), 4.23 (m, 1H, H-6′), 2.23, 2.15, 2.08, 2.07, 2.05 (s, 15H, CH3); 13C{1H} NMR (100 MHz, CDCl3) δ 172.31, 170.37, 169.54, 169.39, 169.20 (C=O), 115.77 (C≡N), 67.51, 67.30, 67.00 (C-3, C-4, C-5), 61.42 (C-6), 39.22 (C-2), 22.92, 21.03, 20.68, 20.61, 20.37 (CH3). HRMS-(ESI-TOF) m/z [M + H]+ calcd. for C16H23N2O9: 387.1404. Found: 387.1406. m/z [M + NH4]+ calcd. for C16H26N3O9: 404.1669. Found: 404.1675.
- 2-Amino-2-deoxy-d-glycero-l-gluco-heptose Oxime Hydrochloride (49). This compound was obtained in a similar way to that described for the preparation of 45: through the treatment of 48 [67] with hydroxylamine. Crystallized from aqueous ethanol, it formed colorless prisms, m. p. 157–160 °C (dec.). The product was characterized through its NMR spectra, which were almost coincidental with those of 45. 1H NMR (200 MHz, DMSO-d6) δ 11.44 (s, 1H, NOH), 8.16 (bs, 2H), 5.27 (bs, 1H), 4.56 (bs, 1H), 4.35 (bs, 1H), 3.72 (m, 1H) (OH, NH), 7.40 (d, J2,3 = 5.2 Hz, 1H, H-1), 3.92 (m, 2H), 3.50 (m, 6H); 13C{1H} NMR (50 MHz, DMSO-d6) δ 144.55 (C=N), 69.74, 69.28, 69.14, 68.97 (C-3, C-4, C-5, C-6), 63.20 (C-7), 52.98 (C-2).
- 2-Acetamido-3,4,5,6,7-penta-O-acetyl-2-deoxy-d-glycero-l-gluco-heptononitrile (51). 2-Amino-2-deoxy-d-glycero-l-gluco-heptose oxime hydrochloride (49) (0.15 g, 0.6 mmol) in pyridine (1.0 mL) was treated with acetic anhydride (1.1 mL). The mixture was stirred for 24 h at room temperature. After this time, it was poured into ice–water and a white solid was separated by stirring and scraping. It was filtered, washed with cold water, and dried under a vacuum over silica gel (11.6%). The aqueous phase was extracted with dichloromethane (3 × 10 mL) and the organic phase was washed successively with 1M hydrochloric acid (2 × 10 mL), saturated sodium bicarbonate solution (2 × 10 mL), and distilled water, and dried with anhydrous MgSO4. The solvent was removed in vacuo to dryness and the resulting residue was crystallized from ethanol. After being stored in the refrigerator for several hours, it was filtered, washed with cold ethanol, and dried under a vacuum over silica gel (8.1%) (total yield 19.7%). Crystallized from ethanol, it formed colorless prisms, m. p. 154–156 °C; [α]D +22.8°; [α]578 +24.0°; [α]546 +25.5°; [α]436 +40.6° (c 0.5, chloroform); IR (KBr) ṽmax/cm−1 3278 (NH), 2251 (C≡N), 1743, 1690, 1674 (C=O), 1274, 1222 (C-O-C), 1077, 1046, (C-O); Raman ṽmax/cm−1 2245 (C≡N), 1734, 1679 (C=O); 1H NMR (500 MHz, CDCl3) δ 6.67 (d, JNH,2 = 9.5 Hz, 1H, NH), 5.47 (dd, J2,3 = 6.5 Hz, JNH,2 = 10.0 Hz, 1H, H-2), 5.44 (dd, J3,4 = 2.0 Hz, J4,5 = 10.0 Hz, 1H, H-4), 5.39 (ddd, J5,6 = 2.0 Hz, J6,7 = 5.0 Hz, J6,7′ = 7.5 Hz, 1H, H-6), 5.26 (dd, J5,6 = 1.5 Hz, J4,5 = 10.0 Hz, 1H, H-5), 4.91 (dd, J3,4 = 1.5 Hz, J2,3 = 6.5 Hz, 1H, H-3), 4.26 (dd, J6,7 = 5.0 Hz, J7,7′ = 12.0 Hz, 1H, H-7), 3.85 (dd, J6,7′ = 7.5 Hz, J7,7′ = 11.5 Hz, 1H, H-7′), 2.23, 2.17, 2.10, 2.09, 2.07, 2.02 (s, 18H, CH3); 13C{1H} NMR (125 MHz, CDCl3) δ 173.01, 170.31, 170.06, 169.61, 169.49, 169.07 (C=O), 115.75 (C≡N), 67.50, 67.09, 66.71, 66.50 (C-3, C-4, C-5, C-6), 61.90 (C-7), 38.97 (C-2), 22.95, 21.13, 20.62, 20.57, 20.45 (CH3). HRMS-(ESI-TOF) m/z [M + H]+ calcd. for C19H27N2O11: 459.1615. Found: 459.1629.
- 2-Deoxy-2-(N-isopropylamino)-d-glycero-l-gluco-heptononitrile (54) [50]. White solid crystallized from ethanol, m. p. 130–132 °C (dec.); [α]D −13.0° (c 0.5, pyridine); IR (KBr) ṽmax/cm−1 3500–3200 (OH, NH), 2210 (C≡N), 1280, 1090, 1040, 1020 (C-O); 13C{1H} NMR (50 MHz, DMSO-d6) δ 120.99 (C≡N), 71.69, 70.73 (2C), 69.83 (C-3, C-4, C-5, C-6), 63.95 (C-7), 52.16 (CH, isopropyl), 47.82 (C-2), 23.90, 22.47 (CH3).
- 2-Deoxy-2-(N-isopropylamino)-d-glycero-d-ido-heptononitrile (55) and 2-deoxy-2- (N-isopropylamino)-d-glycero-d-gulo-heptononitrile (60) [50]. White solid crystallized from methanol, m. p. 132–134 °C (dec.). Spectroscopic data of 55: 13C{1H} NMR (50 MHz, DMSO-d6) δ 120.29 (C≡N), 72.75, 71.20, 70.04, 69.63 (C-3, C-4, C-5, C-6), 63.67 (C-7), 49.16 (C-2), 46.56 (CH, isopropyl), 23.40, 21.11 (CH3, isopropyl). Spectroscopic data of 60: 13C{1H} NMR (50 MHz, DMSO-d6) 119.98 (C≡N), 71.81, 71.33, 69.63, 69.23 (C-3, C-4, C-5, C-6), 63.45 (C-7), 50.90 (C-2), 46.25 (CH isopr.), 23.57, 21.49 (CH3, isopropyl).
- N-Isopropyl-β-d-mannopyranosylamine (56). To a suspension of d-mannose (5.0 g, 27.7 mmol) in methanol (50 mL), isopropylamine (5.2 mL, 60.0 mmol) was added and the mixture was stirred and heated until dissolution. The solvent was partially evaporated, which often results in crystal formation. When the latter did not occur, the mixture was concentrated and the residue was solidified by triturating it with diethyl ether. The white solid was filtered, washed with ether, and dried in vacuo (5.96 g, 97%). Crystallized from absolute ethanol–diethyl ether, it showed an m. p. of 108–109 °C (dec.); [α]D20 −21° (c 0.5, NH4OH-H2O 1:9); [α]D20 −17° (c 0.5, HCl 2.5 M). IR (KBr) ṽmax/cm−1 3500–3000 (OH), 3280 (NH), 1075, 1045, 1025 (C-O). Anal. Calcd. for C9H19NO5: C, 48.86; H, 8.64; N, 6.33. Found: C, 48.66; H, 8.50; N, 6.11.
- d-glycero-d-galacto-Heptononitrile (57) [99]. Method (a): To a suspension of d-mannose (5.4 g, 30.0 mmol) in ethanol (50 mL), isopropylamine (5.2 mL, 60.0 mmol) was added and the mixture was heated until dissolution. After cooling to room temperature, anhydrous hydrogen cyanide (3.0 mL, 80 mmol) was added. A white crystalline solid separated, which was filtered, washed with cold ethanol and diethyl ether, and dried in vacuo (1.1 g, 17%). Crystallized from methanol, it showed an m. p. of 112–113 °C (dec.). Method (b): To a solution of the N-isopropyl-β-d-mannopyranosylamine (8.0 g, 36.0 mmol) in ethanol (32 mL), anhydrous hydrogen cyanide (2.8 mL, 74.6 mmol) was added. The reaction mixture was kept overnight in the refrigerator. The resulting white crystalline solid was filtered, washed with cold ethanol and diethyl ether, dried in vacuo (3.4 g, 45%), and recrystallized from methanol. The white solid had an m. p. of 113–115 °C (dec.); [α]D20 +10.4° (c. 0.5, pyridine) [Lit. [99] m. p. 122 °C; [α]D20 +10.5° (c. 0.5, pyridine)]. IR (KBr) ṽmax/cm−1 3500–3100 (OH), 2220 (C≡N), 1400, 1070, 1000 (C-O); 13C{1H} NMR (125 MHz, DMSO-d6) δ 171.72, 170.26, 170.19, 170.04, 169.47 (C=O), 117.87 (C≡N), 68.45, 67.23, 67.18, 65.93 (C-3, C-4, C-5, C-6), 61.79 (C-7), 47.17 (C-2).
- 3,4,5,6,7-Penta-O-acetyl-2-deoxy-2-(N-isopropylamino)-d-glycero-l-gluco-heptononitrile (58). To a suspension of 2-deoxy-2-(N-isopropylamino)-d-glycero-l-gluco-heptononitrile (54) (0.25 g, 1.0 mmol) in pyridine (1.7 mL), acetic anhydride (1.4 mL) was added and the mixture was kept under stirring until dissolution, and then at 0 °C for 24 h. After this time, the solution was poured onto ice–water and a white solid was separated, which was filtered and washed with cold water (0.38 g, 64%). Crystallized from 96% ethanol, the white solid presented an m. p. of 125–127 °C; [α]D22 +17.2° (c 1.5, pyridine). IR (KBr) ṽmax/cm−1 3330 (NH), 2980, 1740 (C=O), 1365, 1210 (C-O-C), 1040 (C-O); 1H NMR (200 MHz, CDCl3) δ 5.42–5.34 (m, 3H, H-4, H-5, H-6), 4.90 (d, J2,3 = 6.0 Hz, J3,4 = 0 Hz, 1H, H-3), 4.27 (dd, J6,7 = 5.0 Hz, J7,7′ = 11.7 Hz, 1H, H-7), 3.90 (d, J2,3 = 6.0 Hz, 1H, H-2), 3.86 (dd, J6,7′ = 7.2 Hz, J7,7′ = 11.7 Hz, 1H, H-7′), 2.97 (sep, J = 6.2 Hz, 1H, CH isopropyl), 2.18, 2.17, 2.11, 2.09, 2.02 (s, 15H, CH3), 1.13 (d, J = 6.2 Hz, 3H, CH3 isopropyl), 1.01 (d, J = 6.2 Hz, 3H, CH3 isopropyl); 13C{1H} NMR (50 MHz, CDCl3) δ 171.72, 170.26, 170.19, 170.04, 169.47 (C=O), 117.87 (C≡N), 68.45, 67.23, 67.18, 65.93 (C-3, C-4, C-5, C-6), 61.79 (C-7), 47.17 (C-2), 23.24, 21.15, 20.95, 20.53, 20.45, 20.36, 20.28 (CH3). Anal. Calcd. for C20H30N2O10: C, 52.40; H, 6.60; N, 6.11. Found: C, 52.21; H, 6.45; N, 5.90.
- 3,4,5,6,7-Penta-O-acetyl-2-deoxy-2-(N-isopropylamino)-d-glycero-d-ido-heptononitrile (59) and 3,4,5,6,7-penta-O-acetyl-2-deoxy-2-(N-isopropylamino)-d-glycero-d-gulo- heptononitrile (61). White solid obtained from 55/60, using the procedure described for 58, as a mixture of 59 and 61 in a proportion of ~80:20. IR (KBr) ṽmax/cm−1 3330 (NH), 2980, 1740 (C=O), 1365, 1210 (C-O-C), 1040 (C-O). Spectroscopic data of 59: 1H NMR (200 MHz, CDCl3) δ 5.66 (dd, J3,4 = 6.7 Hz, J4,5 = 3.0 Hz, 1H, H-4), 5.37 (dd, J4,5 = 3.0 Hz, J5,6 = 7.7 Hz, 1H, H-5), 5.23 (dd, J2,3 = 3.8 Hz, J3,4 = 6.7 Hz, 1H, H-3), 4.99 (ddd, J5,6 = 7.7 Hz, J6,7 = 3.2 Hz, J6,7′ = 4.0 Hz, 1H, H-6), 4.23 (dd, J6,7 = 3.2 Hz, J7,7″ = 12.2 Hz, H-7), 4.13 (dd, J6,7′ = 4.0 Hz, J7,7′ = 12.2 Hz, 1H, H-7′), 4.10 (d, J2,3 = 3.8 Hz, 1H, H-2), 3.04 (sep, 1H, CH, isopropyl), 2.17, 2.14, 2.08, 2.05 (s, 15H, CH3, acetate), 1.17 (d, J = 6.2 Hz, 3H, CH3, isopropyl), 1.10 (d, J = 6.2 Hz, 3H, CH3, isopropyl); 13C{1H} NMR (50 MHz, CDCl3) δ 170.00, 169.93, 169.78, 169.24, 168.95 (C=O), 117.26 (C≡N), 70.30, 67.73 (3C) (C-3, C-4, C-5, C-6), 60.66 (C-7), 47.56 (C-2), 46.53 (CH, isopropyl), 23.15, 20.79 (CH3, isopropyl), 20.39, 20.22, 20.13, 20.03, 19.94 (CH3, acetate). Spectroscopic data of 61: 13C{1H} NMR (50 MHz, CDCl3) δ 170.00, 169.93, 169.88, 169.61, 168.87 (C=O), 117.32 (C≡N), 69.21, 69.12, 68.45, 68.34 (C-3, C-4, C-5, C-6), 60.98 (C-7), 49.14 (C-2), 48.73 (CH, isopropyl), 22.97, 20.71 (CH3, isopropyl), 20.79, 20.71, 20.57, 20.22, 20.03 (CH3, acetate).
- 2,3,4,5,6,7-Hexa-O-acetyl-d-glycero-d-galacto-heptononitrile (63) [99]. To a stirred solution of d-glycero-d-galacto-heptononitrile (57) (1.0 g, 4.1 mmol) in pyridine (5 mL), cooled externally with an ice bath, acetic anhydride (4.0 mL, 27.1 mmol) was added gradually. The reaction mixture was kept overnight in the refrigerator and, subsequently, it was poured onto a water–ice mixture. The resulting solid was filtered, washed with water, and dried under a vacuum over silica gel (1.65 g, 53%). Crystallized from acetone–water, it showed an m. p. of 163–165 °C; [α]D22 +28.7°; [α]578 +29.3°; [α]546 +32.7°; [α]436 +55.3° (c 0.3, chloroform) (Lit. [99] m. p. 124–125 °C). 1H NMR (500 MHz, CDCl3) δ 5.52 (dd, J3,4 = 10.0 Hz, J4,5 = 2.0 Hz, 1H, H-4), 5.50 (dd, J2,3 = 3.0 Hz, J3,4 = 10.0 Hz, 1H, H-3), 5.38 (d, J2,3 = 3.0 Hz, 1H, H-2), 5.38 (dd, J4,5 = 2.0 Hz, J5,6 = 9.0 Hz, 1H, H-5), 5.02 (ddd, J5,6 = 9.0 Hz, J6,7 = 3.0 Hz, J6,7′ = 5.0 Hz, 1H, H-6), 4.20 (dd, J6,7 = 3.0 Hz, J7,7″ = 12.5 Hz, H-7), 4.00 (dd, J6,7′ = 5.0 Hz, J7,7′ = 12.5 Hz, 1H, H-7′), 2.17 (s, 6H, CH3 acetate), 2.10, 2.07, 2.05, 2.04 (s, 12H, CH3, acetate); 13C{1H} NMR (50 MHz, CDCl3) δ 170.48, 169.80, 169.56, 169.02, 168.76 (C=O), 113.92 (C≡N), 67.81 (C-6), 66.99, 66.89 (C-3,C-5), 66.48 (C-4), 61.75 (C-7), 59.40 (C-2), 20.80, 20.62, 20.48, 20.45, 20.11 (CH3, acetate). HRMS-(ESI-TOF) m/z [M + NH4]+ calcd. for C19H29N2O12: 477.1720. Found: 477.1730.
- 2,3,4,5,6,7-Hexa-O-benzoyl-d-glycero-d-galacto-heptononitrile (64) [99]. To a stirred solution of d-glycero-d-galacto-heptononitrile (1.0 g, 4.1 mmol) in pyridine (5 mL), cooled externally with an ice bath, benzoyl chloride (4.0 mL, 27.1 mmol) was added gradually. The reaction mixture was stored overnight in the refrigerator and, subsequently, it was poured onto a water–ice mixture and extracted with dichloromethane (3 × 20 mL). The organic layer was washed twice with 3M sulfuric acid; twice with saturated sodium bicarbonate solution; and finally with distilled water. The organic phase was dried with anhydrous sodium sulfate, filtered through activated charcoal, and evaporated to dryness. The residue was evaporated repeatedly with ethanol. The resulting crystalline solid was dried under a vacuum over calcium chloride (1.65 g, 41%). Crystallized from acetone–water, it showed an m. p. of 165 °C; [α]D22 +30.4° (c 2.0, chloroform) [Lit. [99] m. p. 161–162 °C; [α]D22 +30.3° (c. 2, chloroform)]. IR (KBr) ṽmax/cm−1 1715, 1690 (C=O), 1590, 1570, 1435 (phenyl), 1240 (C-O-C), 1070, 1045 (C-O); 1H NMR (200 MHz, CDCl3) δ 8.04–7.87 (m, 12H, H-arom), 7.56–7.25 (m, 18H, H-arom), 6.31 (dd, J3,4 = 7.9 Hz, J4,5 = 2,1 Hz, 1H, H-4), 6.20 (d, J4,5 = 2.2 Hz, J5,6 = 7.8 Hz, 2H, H-5), 6.13 (dd, J2,3 = 4.2 Hz, J3,4= 7.8 Hz, 1H, H-3), 5.96 (d, J2,3 = 4.2 Hz, 1H, H-2), 5.79 (m, 1H, H-6), 4.85 (dd, J6,7 = 3.4 Hz, J7,7′ = 12.4 Hz, 1H, H-7), 4.45 (dd, J6,7′ = 5.4 Hz, J7,7′ = 12.4 Hz, 1H, H-7′); 13C{1H} NMR (50 MHz, CDCl3) δ 165.87, 165.21, 164.98, 164.81, 164.57, 164.18 (C=O),134.01, 133.79, 133.25, 133.05, 130.00, 129.91, 129.68, 129.27, 129.09, 128.73, 128.54, 128.49, 128.28, 127.42 (C-arom), 114.05 (C≡N), 69.39, 68.81, 68.22 (C-3,4,5), 62.35 (C-7), 60.67 (C-2).
Supplementary Materials
Author Contributions
Funding
Informed Consent Statement
Data Availability Statement
Acknowledgments
Conflicts of Interest
References
- Grundke, C.; Vierengel, N.; Opatz, T. α-Aminonitriles: From Sustainable Preparation to Applications in Natural Product Synthesis. Chem. Rec. 2020, 20, 989–1016. [Google Scholar] [CrossRef] [PubMed]
- Strecker, A. Ueber die künstliche Bildung der Milchsäure und einen neuen, dem Glycocoll homologen Körper. Ann. Chem. Pharm. 1850, 75, 27–45. [Google Scholar] [CrossRef]
- Ullah, B.; Gupta, N.K.; Ke, Q.; Ullah, N.; Cai, X.; Liu, D. Organocatalytic Synthesis of α-Aminonitriles: A Review. Catalysts 2022, 12, 1149. [Google Scholar] [CrossRef]
- Kondo, Y.; Hirazawa, Y.; Kadota, T.; Yamada, K.; Morisaki, K.; Morimoto, H.; Ohshima, T. One-Pot Catalytic Synthesis of α-Tetrasubstituted Amino Acid Derivatives via In Situ Generation of N-Unsubstituted Ketimines. Org. Lett. 2022, 24, 6594–6598. [Google Scholar] [CrossRef] [PubMed]
- Kouznetsov, V.K.; Galvis, C.E.P. Strecker reaction and α-amino nitriles: Recent advances in their chemistry, synthesis, and biological properties. Tetrahedron 2018, 74, 773–810. [Google Scholar] [CrossRef]
- Liu, L.; Liu, Y.; Shen, X.; Zhang, X.; Deng, S.; Chen, Y. KOtBu-Mediated Reductive Cyanation of Tertiary Amides for Synthesis of α-Aminonitriles. J. Org. Chem. 2022, 87, 6321–6329. [Google Scholar] [CrossRef] [PubMed]
- Bandyopadhyay, D.; Velazquez, J.M.; Banik, B.K. A truly green synthesis of α-aminonitriles via Strecker reaction. Org. Med. Chem. Lett. 2011, 1, 11. [Google Scholar] [CrossRef] [PubMed]
- Jarusiewicz, J.; Choe, Y.; Yoo, K.S.; Park, C.P.; Jung, K.W. Efficient three-component Strecker reaction of aldehydes/ketones via NHC-amidate palladium(II) complex catalysis. J. Org. Chem. 2009, 74, 2873–2876. [Google Scholar] [CrossRef] [PubMed]
- Baeza, A.; Nájera, C.; Sansano, J.M. Solvent-Free Synthesis of Racemic α-Aminonitriles. Synthesis 2007, 1230–1234. [Google Scholar] [CrossRef]
- Das, B.; Ramu, R.; Ravikanth, B.; Reddy, K.R. (Bromodimethyl)sulfonium Bromide Catalyzed One-Pot Synthesis of α-Aminonitriles. Synthesis 2006, 1419–1422. [Google Scholar] [CrossRef]
- Surendra, K.; Krishnaveni, N.S.; Mahesh, A.; Rao, K.R. Supramolecular Catalysis of Strecker Reaction in Water under Neutral Conditions in the Presence of β-Cyclodextrin. J. Org. Chem. 2006, 71, 2532–2534. [Google Scholar] [CrossRef] [PubMed]
- Fukuda, Y.; Kondo, K.; Aoyama, T. Construction of Tetrasubstituted Carbon by an Organocatalyst: Cyanation Reaction of Ketones and Ketimines Catalyzed by a Nucleophilic N-Heterocyclic Carbene. Synthesis 2006, 2649–2652. [Google Scholar] [CrossRef]
- Yadav, J.S.; Reddy, B.V.S.; Eeshwaraiah, B.; Srinivas, M. Montmorillonite KSF clay catalyzed one-pot synthesis of α-aminonitriles. Tetrahedron 2004, 60, 1767–1771. [Google Scholar] [CrossRef]
- Ponnamperuma, C.; Woeller, F. α-Aminonitriles formed by an electric discharge through a mixture of anhydrous methane and ammonia. Biosystems 1967, 1, 156–158. [Google Scholar] [CrossRef] [PubMed]
- Chandha, M.S.; Molton, P.M.; Ponnamperuma, C. Aminonitriles: Possible role in chemical evolution. Orig. Life 1975, 6, 127–136. [Google Scholar] [CrossRef] [PubMed]
- Canavelli, P.; Islam, S.; Powner, M.W. Peptide ligation by chemoselective aminonitrile coupling in water. Nature 2019, 571, 546–549. [Google Scholar] [CrossRef]
- Seymour, F.R.; Plattner, R.D.; Slodki, M.E. Gas-liquid chromatography-mass spectrometry of methylated and deuteriomethylated per-O-acetyl-aldononitriles from D-mannose. Carbohydr. Res. 1975, 44, 181–198. [Google Scholar] [CrossRef]
- Seymour, F.R.; Chen, E.C.M.; Bishop, S.H. Identification of aldoses by use of their peracetylated aldononitrile derivatives: A G.L.C-M.S. approach. Carbohydr. Res. 1979, 73, 19–45. [Google Scholar] [CrossRef]
- Seymour, F.R.; Chen, E.C.M.; Stouffer, J.E. Identification of ketoses by use of their peracetylated oxime derivatives: A G.L.C.-M.S. approach. Carbohydr. Res. 1980, 83, 201–242. [Google Scholar] [CrossRef]
- Seymour, F.R.; Unruh, S.L.; Nehlich, D.A. Quantitation of free sugars in plant tissue by g.l.c. of their peracetylated aldononitrile and ketoxime derivatives. Carbohydr. Res. 1989, 191, 175–189. [Google Scholar] [CrossRef]
- Dmitriev, B.A.; Backinowsky, L.V.; Chizhov, O.S.; Zolotarev, B.M.; Kochetkov, N.K. Gas-liquid chromatography and mass spectrometry of aldononitrile acetates and partially methylated aldononitrile acetates. Carbohydr. Res. 1971, 19, 432–435. [Google Scholar] [CrossRef]
- Li, B.W.; Cochran, T.W.; Vercellotti, J.R. Chemical-ionization mass spectra of per-O-acetyl-aldononitriles and methylated aldononitrile acetates. Carbohydr. Res. 1977, 59, 567–570. [Google Scholar] [CrossRef]
- Chen, C.C.; McGinnis, D. The use of 1-methylimidazole as a solvent and catalyst for the preparation of aldononitrile acetates of aldoses. Carbohydr. Res. 1981, 90, 127–130. [Google Scholar] [CrossRef]
- Mawhinney, T.P.; Peather, M.S.; Barbero, G.J.; Martinez, J.R. The rapid, quantitative determination of neutral sugars (as aldononitrile acetates) and amino sugars (as O-methyloxime acetates) in glycoproteins by gas-liquid chromatography. Anal. Biochem. 1980, 101, 112–117. [Google Scholar] [CrossRef]
- Calvey, E.M.; Taylor, L.T.; Palmer, J.K. Supercritical fluid chromatography with fourier transform infrared detection of peracetylated aldononitrile derivatives and byproducts from monosaccharides. J. Sep. Sci. 1988, 11, 739–741. [Google Scholar] [CrossRef]
- Calvey, E.M.; Roach, J.A.G.; Taylor, L.T.; Palmer, J.K. Supercritical fluid chromatography with Fourier transform infrared and mass spectrometric detection of peracetylated nitrogen derivatives of monosaccharides. J. Microcolumn Sep. 1989, 1, 294–301. [Google Scholar] [CrossRef]
- Varma, R.; Varma, R.S.; Wardi, A.H. Separation of aldononitrile acetates of neutral sugars by gas-liquid chromatography and its application to polysaccharides. J. Chromatogr. 1973, 77, 222–227. [Google Scholar] [CrossRef]
- Varma, R.; Varma, R.S.; Allen, W.S.; Wardi, A.H. Gas chromatographic determination of neutral sugars from glycoproteins and acid mucopolysaccharides as aldononitrile acetates. J. Chromatogr. 1973, 86, 205–210. [Google Scholar] [CrossRef] [PubMed]
- Varma, R.; Varma, R.S. Simultaneous determination of neutral sugars and hexosamines in glycoproteins and acid mucopolysaccharides (glycosaminoglycans) by gas-liquid chromatography. J. Chromatogr. A 1976, 128, 45–52. [Google Scholar] [CrossRef]
- Guerrant, G.O.; Moss, C.W. Determination of monosaccharides as aldononitrile, O-methyloxime, alditol, and cyclitol acetate derivatives by gas-chromatography. Anal. Chem. 1984, 56, 633–638. [Google Scholar] [CrossRef]
- Zhang, X.; Amelung, W. Gas chromatographic determination of muramic acid, glucosamine, mannosamine, and galactosamine in soils. Soil Biol. Biochem. 1996, 28, 1201–1206. [Google Scholar] [CrossRef]
- He, H.; Xie, H.; Zhang, X. A novel GC/MS technique to assess 15N and 13C incorporation into soil amino sugars. Soil Biol. Biochem. 2006, 38, 1083–1091. [Google Scholar] [CrossRef]
- Liang, C.; Pedersen, J.A.; Balser, T.C. Aminoglycoside antibiotics may interfere with microbial amino sugar analysis. J. Chromatogr. A 2009, 1216, 5296–5301. [Google Scholar] [CrossRef] [PubMed]
- Turrión, M.B.; Glaser, B.; Zech, W. Effects of deforestation on contents and distribution of amino sugars within particle-size fractions of mountain soils. Biol. Fertil. Soils 2002, 35, 49–53. [Google Scholar] [CrossRef]
- Liang, C.; Balser, T.C. Mass spectrometric characterization of amino sugar aldononitrile acetate derivatives used for isotope enrichment assessment of microbial residues. Soil Biol. Biochem. 2010, 42, 904–909. [Google Scholar] [CrossRef]
- Liang, C.; Zhang, X.; Wei, L.; He, H.; Higbee, A.J.; Balser, T.C. Investigation of the molecular ion structure for aldononitrile acetate derivatized muramic acid. J. Microbiol. Methods 2011, 86, 224–230. [Google Scholar] [CrossRef] [PubMed]
- Liang, C.; Read, H.W.; Balser, T.C. GC-based Detection of Aldononitrile Acetate Derivatized Glucosamine and Muramic Acid for Microbial Residue Determination in Soil. J. Vis. Exp. 2012, 63, e3767. [Google Scholar]
- Garcia, A.D.; Leyva, V.; Bocková, J.; Pepino, R.L.; Meinert, C. Resolution and quantification of carbohydrates by enantioselective comprehensive two-dimensional gas chromatography. Talanta 2024, 271, 125728. [Google Scholar] [CrossRef] [PubMed]
- Niederer, I.B.; Manzardo, G.G.G.; Amadò, R. A reinvestigation of the derivatization of monosaccharides as aldononitrile peracetates. Carbohydr. Res. 1995, 278, 181–194. [Google Scholar] [CrossRef]
- Engelhard, E.; Mutters, R. Rapid differentiation of the species of the genus Bacteroides sensu strict by capillary gas chromatography of cellular carbohydrates. J. Appl. Bacteriol. 1991, 70, 216–220. [Google Scholar] [CrossRef]
- Bhattacharyya, N.K.; Jha, S.; Jha, S.; Bhutia, T.Y.; Adhikary, G. Dehydration of amides to nitriles: A review. Int. J. Chem. Eng. Appl. 2012, 4, 295–304. [Google Scholar]
- Hernández, R.; León, E.I.; Moreno, P.; Suárez, E. Radical Fragmentation of β-Hydroxy Azides. Synthesis of Chiral Nitriles. J. Org. Chem. 1997, 62, 8974–8975. [Google Scholar] [CrossRef]
- Castell, J.; Jaime, C.; López-Calahorra, F.; Santaló, N.; Velasco, D. Parameterization of cyano group MM2 constants in peracetylated aldononitriles. J. Org. Chem. 1988, 53, 5363–5366. [Google Scholar] [CrossRef]
- Velasco, D.; Castell, J.; López-Calahorra, F.; Jaime, C. Stereochemical elucidation of aldoses from the proton NMR spectrum of its peracetylated aldononitrile derivatives with the aid of MM2/3JHH calculations. J. Org. Chem. 1990, 55, 3526–3530. [Google Scholar] [CrossRef]
- López-Calahorra, F.; Velasco, D.; Castell, J.; Jaime, C. Conformational study of peracetylated aldononitriles. J. Org. Chem. 1990, 55, 3530–3536. [Google Scholar] [CrossRef]
- Zhu, Y.; Pan, Q.; Thibaudeau, C.; Zhao, S.; Carmichael, I.; Serianni, A.S. [13C, 15N]2-Acetamido-2-deoxy-d-aldoses and their methyl glycosides: Synthesis and NMR investigations of J-couplings involving 1H, 13C, and 15N. J. Org. Chem. 2006, 71, 466–479. [Google Scholar] [CrossRef] [PubMed]
- Horton, D. Monosaccharide Amino Sugars. In The Amino Sugars; Jeanloz, R.W., Ed.; Academic Press: New York, NY, USA, 1969; Volume IA, Chapter 1; pp. 18–23. [Google Scholar]
- Horton, D.; Wander, J.D. Amino Sugars. In The Carbohydrates; Pigman, W., Horton, D., Wander, J.D., Eds.; Academic Press: New York, NY, USA, 1980; Volume IB, Chapter 16; pp. 645–649. [Google Scholar]
- Galbis, J.A.; Fernández, J.I.; Areces, P. Síntesis de 2-alquilamino-2-desoxi-heptononitrilos: I. Síntesis de 2-bencilamino-2-desoxi-d-glicero-d-ido-heptononitrilo y 2-bencilamino-2-desoxi-d-glicero-d-galacto-heptononitrilo. An. Quim. 1976, 72, 820–822. [Google Scholar]
- Gómez, M.; Galbis, J.A.; Areces, P.; Fernández, J.I.; Ávalos, M.; Ramírez, J.M. Síntesis de 2-alquilamino-2-desoxi-heptononitrilos: II. Síntesis de 2-desoxi-2-propil (o isopropil)amino-heptononitrilos. An. Quim. 1978, 74, 633–636. [Google Scholar]
- Gómez, M.; Galbis, J.A.; Remón, J.I.; Jiménez, J.L. Síntesis de 2-alquilamino-2-desoxi-heptononitrilos: III. Síntesis de 2-desoxi-2-etilamino-heptononitrilos. An. Quim. 1978, 74, 651–653. [Google Scholar]
- Gómez, M.; Galbis, J.A.; Jiménez, J.L. Síntesis del 2-amino-2-desoxi-d-glicero-d-ido-heptononitrilo y de algunos de sus derivados. An. Quim. 1979, 75, 426–427. [Google Scholar]
- Galbis, J.A.; Palacios, J.C.; Jiménez, J.L.; Ávalos, M.; Fernández-Bolaños, J.M. Synthesis of 1-aryl-(glycofurano)imidazolidine-2-thiones from new 2-(alkylamino)-2-deoxyhexoses. Carbohydr. Res. 1984, 129, 131–141. [Google Scholar] [CrossRef]
- Galbis, J.A.; Palacios, J.C.; Jiménez, J.L.; Ávalos, M.; Fernández-Bolaños, J.M. 1-Aryl(glycofurano)imidazolidine-2-thiones derived from new 2-(alkylamino)-2-deoxyheptoses having d-glycero-d-galacto and d-glycero-d-talo configurations. Carbohydr. Res. 1984, 131, 71–82. [Google Scholar] [CrossRef]
- Galbis, J.A.; Jiménez, J.L.; Palacios, J.C.; Ávalos, M.; Fernández-Bolaños, J.M. 3-Alquil-1-aril(glicoheptofurano)- imidazolidina-2-tionas derivadas de nuevas 2-(alquilamino)-2-desoxi-heptosas de configuración D-glicero-L-gluco, D-glicero-L-mano, D-glicero-D-gulo y D-glicero-D-ido. An. Quim. 1986, 82, 11–17. [Google Scholar]
- Babiano, R.; Galbis, J.A. Preparación del hidrocloruro de 2-amino-2-desoxi-D-glicero-D-altro-heptosa a partir de D-alosa. An. Quim. 1986, 82, 92–95. [Google Scholar]
- Palacios, J.C.; Román, E.; Galbis, J.A. Limitations of the aminonitrile synthesis.New products from D-glucose, D-galactose, and D-mannose. Carbohydr. Res. 1985, 143, 117–128. [Google Scholar] [CrossRef]
- Kuhn, R.; Kirschenlohr, W. D-Galaktosamin aus D-Lyxose. Aminozucker-synthesen III. J. Liebigs Ann. Chem. 1956, 600, 126–134. [Google Scholar] [CrossRef]
- Kuhn, R.; Weiser, D.; Fischer, H. Aminozucker-Synthesen, XIX. Basen-katalysierte Umwandlungen der N-Phenyl-d-hexosaminsäurenitrile. Justus Liebigs Ann. Chem. 1959, 628, 207–239. [Google Scholar] [CrossRef]
- Kuhn, R.; Jochims, J.C. Aminozucker-Synthesen, XXV. Über die Epimerisierung N-substituierter 2-Amino-2-desoxy- hexonsäurenitrile. Chem. Ber. 1963, 96, 983–989. [Google Scholar] [CrossRef]
- Restelli de Labriola, E.; Deulofeu, V. Action of the Reagent Pyridine-Acetic Anhydride on d-α-Glucoheptose, d-Glucosamine and l-Fucose Oximes. J. Am. Chem. Soc. 1940, 62, 1611–1613. [Google Scholar] [CrossRef]
- Bueno, M.; Turmo, P.; Galbis, J.A. Synthesis of 1,2-diamino-1,2-dideoxy-D-glycero-L-manno-and -D-glycero-L-gluco-heptitol. Carbohydr. Res. 1991, 219, 241–246. [Google Scholar]
- Wolfrom, M.L.; Thompson, A.; Hooper, I.R. N-Methyl-L-glucosaminic Acid. J. Am. Chem. Soc. 1946, 68, 2343–2345. [Google Scholar] [CrossRef]
- Wolfrom, M.L.; Thompson, A. Derivatives of N-Methyl-L-glucosaminic Acid; N-Methyl-L-mannosaminic Acid. J. Am. Chem. Soc. 1947, 69, 1847–1849. [Google Scholar] [CrossRef] [PubMed]
- Kuhn, R.; Kirschenlohr, W. 2-Amino-2-desoxy-zucker durch katalytische Halbhydrierung von Amino-, Arylamino-und Benzylamino-nitrilen; D-und L-Glucosamin. Aminozucker-synthesen II. Justus Liebigs Ann. Chem. 1956, 600, 115–125. [Google Scholar] [CrossRef]
- Kuhn, R.; Jochims, J.C. Aminozucker-Synthesen, XV Epimerisierung von N-Benzyl-glucosaminsäurenitril Darstellung von Mannosamin aus Arabinose. Justus Liebigs Ann. Chem. 1959, 628, 172–186. [Google Scholar] [CrossRef]
- Galbis, J.A.; Pinto, R.M.; Román, E.; Gómez, M. Síntesis de 2-amino-2-desoxi-heptosas por el método del aminonitrilo. An. Quim. 1979, 75, 387–391. [Google Scholar]
- Pauchert, C.J. The Aldrich Library of Infrared Spectra, 3rd ed.; Aldrich Chemical Company: Milwaukee, WI, USA, 1981; p. 518. [Google Scholar]
- Nakanishi, K.; Solomon, P.H. Infrared Absorption Spectroscopy, 2nd ed.; Holden-Day: San Francisco, CA, USA, 1977; pp. 42, 64. [Google Scholar]
- Bellamy, L.J. The Infra-Red Spectra of Complex Molecules; Halsted Press: London, UK, 1975; Volume 1, pp. 294–298. [Google Scholar]
- Coxon, B.; Fletcher, H.G., Jr. Two Nitriles Derived from 2,3,4,6-Tetra-O-acetyl-α-D-glucopyranosyl Bromide. A 2-Cyano-2-methyl-1,3-dioxolane Derivative. J. Am. Chem. Soc. 1963, 85, 2637–2642. [Google Scholar] [CrossRef]
- Coxon, B.; Fletcher, H.G., Jr. The Structure of 2,3,4,6-Tetra-O-acetyl-β-D-galactopyranosyl Cyanide and Some Derivatives Therefrom. Synthesis of 1-Deoxy-D-galacto-heptulose. J. Am. Chem. Soc. 1964, 86, 922–926. [Google Scholar]
- Coxon, B. Studies of synthesis and conformation in the D-ribopyranose series. Tetrahedron 1966, 22, 2281–2302. [Google Scholar] [CrossRef]
- El Khadem, H.S.; El Ashry, E.S. Synthesis of a C-nucleoside analog of the antibiotic cordycepin. Carbohydr. Res. 1974, 32, 339–348. [Google Scholar] [CrossRef] [PubMed]
- Acton, E.M.; Fujiwara, A.N.; Goodman, L.; Henry, D.W. Synthetic C-nucleosides: 3-(α-and β-D-arabinofuranosyl)pyrazolo[4,3-d]pyrimidine-5,7-diones. Carbohydr. Res. 1974, 33, 135–151. [Google Scholar] [CrossRef] [PubMed]
- Huynh-Dinh, T.; Gouyette, C.; Igolen, J. Cyano-1 ceto-3 et -4 L-rhamnoses. Tetrahedron Lett. 1980, 21, 4499–4502. [Google Scholar] [CrossRef]
- Grynkiewicz, G.; Bemiller, J.N. Synthesis of 2,3-dideoxy-d-hex-2-enopyranosyl cyanides. Carbohydr. Res. 1982, 108, 229–235. [Google Scholar] [CrossRef]
- Deulofeu, V. The acylated nitriles of aldonic acids and their degradation. Adv. Carbohydr. Chem. 1949, 4, 119–151. [Google Scholar]
- Bourgeois, J.-M. Synthèse de sucres aminés ramifiés III. Synthèse et réactions de 1′α-amino-nitrile dérivé du di-O-isopropylidène-1,2:5,6-α-D-ribo-hexofurannosul-3-ose. Helv. Chim. Acta 1975, 58, 363–372. [Google Scholar] [CrossRef]
- Tu, A.T.; Lidde, W.K.; Lee, Y.C.; Myers, R.W. Characterisation of some anomeric pairs of per-O-acetylated aldohexopyranosyl cyanides by laser-Raman spectroscopy. Carbohydr. Res. 1983, 117, 291–297. [Google Scholar] [CrossRef]
- Myers, R.W.; Lee, Y.C. Synthesis and characterization of some anomeric pairs of per-O-acetylated aldohexopyranosyl cyanides (per-O-acetylated 2,6-anhydroheptononitriles). On the reaction of per-O-acetylaldohexopyranosyl bromides with mercuric cyanide in nitromethane. Carbohydr. Res. 1984, 132, 61–82. [Google Scholar] [CrossRef] [PubMed]
- Pretsch, E.; Bühlmann, P.; Affolter, C.; Herrera, A.; Martínez, R. Determinación Estructural de Compuestos Orgánicos; Springer-Verlag Ibérica: Madrid, Spain, 2001; p. 126. [Google Scholar]
- Deulofeu, V. A Rule for the Rotatory Direction of the Acetylated Aldonic Nitriles. Nature 1933, 131, 548. [Google Scholar] [CrossRef]
- El Khadem, H.S. (Ed.) Synthetic Methods for Carbohydrates; ACS Symposium Series; American Chemical Society: Washington, DC, USA, 1976; Volume 39, Chapter 5. [Google Scholar]
- El Khadem, H.S. A generalized, circular dichroism rule for nitrogen heterocycles attached to alditol residues. Carbohydr. Res. 1977, 59, 11–18. [Google Scholar] [CrossRef]
- El Khadem, H.S.; El Shafei, Z.M. A generalised rotation rule for heterocyclic and aromatic compounds. Tetrahedron Lett. 1963, 4, 1887–1889. [Google Scholar] [CrossRef]
- Avalos, M.; Babiano, R.; Cintas, P.; Clemente, F.R.; Gordillo, R.; Jiménez, J.L.; Palacios, J.C. Experimental and Theoretical Insights Regarding the Cycloaddition Reaction of Carbohydrate-Based 1,2-Diaza-1,3-butadienes and Acrylonitrile.A Model Case for the Behavior of Chiral Azoalkenes and Unsymmetric Olefins. J. Org. Chem. 2002, 67, 2241–2251. [Google Scholar] [CrossRef] [PubMed]
- Matamoros, E.; Cintas, P.; Palacios, J.C. Amphipathic 1,3-oxazolidines from N-alkyl glucamines and benzaldehydes: Stereochemical and mechanistic studies. New J. Chem. 2021, 45, 4365–4386. [Google Scholar] [CrossRef]
- Kuhn, R.; Kirschenlohr, W. Synthese von Aminozuckern durch Halbhydrierung von Amino-nitrilen. Angew. Chem. 1955, 67, 786. [Google Scholar] [CrossRef]
- Kuhn, R.; Kirschenlohr, W. Darstellung von N-Acetyl-lactosamin (4-β-D-Galaktopyranosyl-2-desoxy-2-acetamino- D-glucopyranose) aus Lactose. Aminozucker-synthesen IV. Justus Liebigs Ann. Chem. 1956, 600, 135–143. [Google Scholar] [CrossRef]
- Kuhn, R.; Bister, W. Aminozucker-Synthesen VIII. N-Substituierte D-und L-Glucosamine. Justus Liebigs Ann. Chem. 1957, 602, 217–227. [Google Scholar] [CrossRef]
- Kuhn, R.; Bister, W. Aminozucker-Synthesen XII. D-Idosamin und D-Gulosamin. Justus Liebigs Ann. Chem. 1958, 617, 92–108. [Google Scholar] [CrossRef]
- Kuhn, R.; Fischer, H. Aminozucker-Synthesen X. D-Talosamin. Justus Liebigs Ann. Chem. 1958, 612, 65–67. [Google Scholar] [CrossRef]
- Kuhn, R.; Fischer, H. Aminozucker-Synthesen XI. D-Altrosamin und D-Allosamin. Justus Liebigs Ann. Chem. 1958, 617, 88–91. [Google Scholar] [CrossRef]
- Kuhn, R.; Fischer, H. Aminozucker-Synthesen, XXII. Über D-Threosamin und D-Erythrosamin. Justus Liebigs Ann. Chem. 1961, 641, 152–160. [Google Scholar] [CrossRef]
- Kuhn, R.; Jochims, J.C. Aminozucker-Synthesen, XXI.N-[Fluorenyl-(9)]-und N-Diphenylmethyl-hexosaminsäurenitrile Eine neue Synthese von Allosamin und Talosamin. Justus Liebigs Ann. Chem. 1961, 641, 143–152. [Google Scholar] [CrossRef]
- Kuhn, R.; Baschang, G. Aminozucker-Synthesen, XVII Die vier Pentosamine (2-Amino-2-desoxy-pentosen) der d-Reihe. Justus Liebigs Ann. Chem. 1959, 628, 193–205. [Google Scholar] [CrossRef]
- Horton, D.; Liav, A. A synthesis of 2-amino-2,6-dideoxy-D-allose and -D-altrose hydrochlorides and their tetraacetyl derivatives. Carbohydr. Res. 1976, 47, 326–331. [Google Scholar] [CrossRef]
- Brigl, P.; Mühlschlegel, H.; Schinle, R. Kohlenhydrate, XI. Mitteil.: Über die al-Glucose. Ber. Dtsch. Chem. Ges. 1931, 64, 2921–2934. [Google Scholar] [CrossRef]
- Anslyn, E.; Dougherty, D.A. Modern Physical Organic Chemistry; University Science Books: Sausalito, CA, USA, 2006; p. 455. [Google Scholar]
- Charton, M.; Charton, B.I. Steric effects.11. Substituents at sulfur. J. Org. Chem. 1978, 43, 1161–1165. [Google Scholar] [CrossRef]
- Charton, M.; Charton, B.I. Steric effects.13. Composition of the steric parameter as a function of alkyl branching. J. Org. Chem. 1978, 43, 3995–4001. [Google Scholar] [CrossRef]
- Taft, R.W. Steric Effects in Organic Chemistry; Newman, M.S., Ed.; John Wiley & Sons, Inc.: New York, NY, USA, 1956; Chapter 13. [Google Scholar]
- Höfle, G.; Steglich, W.H.; Vorbrüggen, H. 4-Dialkylaminopyridines as Highly Active Acylation Catalysts. [New synthetic method (25)]. Angew. Chem. Int. Ed. Engl. 1978, 17, 569–583. [Google Scholar] [CrossRef]
- Berry, D.J.; DiGiovanna, C.V.; Metrick, S.S.; Murugan, R. Catalysis by 4-dialkylaminopyridines. Arkivoc 2001, 1, 201–226. [Google Scholar] [CrossRef]
- Xu, S.; Held, I.; Kempf, B.; Mayr, H.; Steglich, W.; Zipse, H. The DMAP-Catalyzed Acetylation of Alcohols-A Mechanistic Study (DMAP=4-(Dimethylamino)pyridine). Chem. Eur. J. 2005, 11, 4751–4757. [Google Scholar] [CrossRef] [PubMed]
- Avalos, M.; Babiano, R.; Barneto, J.L.; Cintas, P.; Clemente, F.R.; Jiménez, J.L.; Palacios, J.C. Conformation of Secondary Amides. A Predictive Algorithm That Correlates DFT-Calculated Structures and Experimental Proton Chemical Shifts. J. Org. Chem. 2003, 68, 1834–1842. [Google Scholar] [CrossRef] [PubMed]
- Lanyon-Hogg, T.; Ritzefeld, M.; Masumoto, N.; Magee, A.I.; Rzepa, H.S.; Tate, E.W. Modulation of Amide Bond Rotamers in 5-Acyl-6,7-dihydrothieno[3,2-c]pyridines. J. Org. Chem. 2015, 80, 4370–4377. [Google Scholar] [CrossRef] [PubMed]
- Biermann, C.J.; McGinnis, G.D. Analysis of Carbohydrates by GLC and MS; CRC Press Inc.: Boca Raton, FL, USA, 1989; p. 11. [Google Scholar]
- Szafranek, J.; Pfaffenberger, C.D.; Horning, E.C.C. The mass spectra of some per-O-acetylaldononitriles. Carbohydr. Res. 1974, 38, 97–105. [Google Scholar] [CrossRef] [PubMed]
- Zhao, Y.; Truhlar, D.G. The M06 suite of density functionals for main group thermochemistry, thermochemical kinetics, noncovalent interactions, excited states, and transition elements: Two new functionals and systematic testing of four M06-class functionals and 12 other functionals. Theor. Chem. Acc. 2008, 120, 215–241. [Google Scholar]
- Marenich, A.V.; Cramer, C.J.; Truhlar, D.G. Universal Solvation Model Based on Solute Electron Density and on a Continuum Model of the Solvent Defined by the Bulk Dielectric Constant and Atomic Surface Tensions. J. Phys. Chem. B 2009, 113, 6378–6396. [Google Scholar] [CrossRef] [PubMed]
- Horton, D.; Wander, J.D. Conformation of acyclic derivatives of sugars. XI. Conformations of the D-aldopentose diethyl and diphenyl dithioacetals in solution. J. Org. Chem. 1974, 39, 1859–1863. [Google Scholar] [CrossRef]
- Sweeting, M.; Coxon, B.; Varma, R. Conformational analysis of peracetylated hexononitriles. Carbohydr. Res. 1979, 72, 43–55. [Google Scholar] [CrossRef]
- Hooft, R. COLLECT: Data Collection Software; Nonius BV: Delft, The Netherlands, 1998. [Google Scholar]
- Otwinowski, Z.; Minor, W. Macromolecular Crystallography Part A. In Methods in Enzymology; Carter, C.W., Jr., Sweet, R.M., Eds.; Academic Press: New York, NY, USA, 1997; Volume 276, pp. 307–326. [Google Scholar]
- Sheldrick, G.M. A short history of SHELX. Acta Crystallogr. 2008, 64, 112–122. [Google Scholar] [CrossRef] [PubMed]
- Sheldrick, G.M. SHELXT-Integrated space-group and crystal-structure determination. Acta Crystallogr. Sect. A Found. Adv. 2015, 71, 3–8. [Google Scholar] [CrossRef] [PubMed]
- Watkin, D.M.; Prout, C.K.; Pearce, L.J. CAMERON (X-LIB version). A Molecular Graphics Package; Chemical Crystallography Laboratory, University of Oxford: Oxford, UK, 1996. [Google Scholar]
- Frisch, M.J.; Trucks, G.W.; Schlegel, H.B.; Scuseria, G.E.; Robb, M.A.; Cheeseman, J.R.; Montgomery, J.A., Jr.; Vreven, T.; Kudin, K.N.; Burant, J.C.; et al. Gaussian 03, Revision C.02; Gaussian, Inc.: Wallingford, CT, USA, 2004. [Google Scholar]
- Hehre, W.J.; Radom, L.; Schleyer, P.v.R.; Pople, J.A. Ab initio Molecular Orbital Theory; John Wiley & Sons, Inc.: New York, NY, USA, 1986. [Google Scholar]























| Experimental a | Gas Phase b | CHCl3 b,c | Solid b,d | |||
|---|---|---|---|---|---|---|
| Distances e | C≡N | 1.151 | 1.148 | 1.148 | 1.148 | |
| Dihedral angle f | H2 C2 C3 H3 | 184.78 | 171.87 | 174.93 | 176.89 | |
| H3 C3 C4 H4 | 47.57 | 47.046 | 49.46 | 51.47 | ||
| H4 C4 C5 H5 | 181.08 | 179.62 | 177.10 | 177.92 | ||
| H5 C5 C6 H6 | 302.17 | 308.77 | 306.44 | 312.33 | ||
| H6 C6 C7 H7 | 56.22 | 77.60 | 74.47 | 69.85 | ||
| H6 C6 C7 H7′ | 176.30 | 199.25 | 195.91 | 190.41 | ||
| H | Me | Et | nPr | iPr | tBu | Bn | Ph | |
|---|---|---|---|---|---|---|---|---|
| Es b | 1.24 | 0.00 | −0.07 | −0.36 | −0.47 | −1.54 | −0.38 | −2.55 |
| υ c | 0.00 | 0.52 | 0.56 | 0.68 | 0.76 | 1.24 | 0.70 | 2.15 |
| σ* | 0.49 | 0.00 | −0.10 | −0.12 | −0.19 | −0.30 | 0.22 | 0.60 |
| A | 0.0 | 1.70 | 1.75 | 2.15 | >4.5 | 3.0 |
| Experimental a | Gas Phase b | CHCl3 b,c | Solid b,d | ||
|---|---|---|---|---|---|
| Distances e | C≡N | 1.16 | 1.15 | 1.15 | 1.15 |
| O-H3 | 2.64 | 2.34 | 2.39 | 2.35 | |
| Dihedral angle f | H2 C2 C3 H3 | 188.88 | 172.08 | 174.36 | 170.29 |
| H3 C3 C4 H4 | 55.42 | 51.00 | 51.54 | 48.44 | |
| H4 C4 C5 H5 | 180.71 | 180.49 | 180.62 | 180.69 | |
| H5 C5 C6 H6 | 306.37 | 309.84 | 309.13 | 303.13 | |
| H6 C6 C7 H7 | 62.97 | 69.22 | 67.18 | 64.70 | |
| H6 C6 C7 H7′ | 181.68 | 189.80 | 188.28 | 186.57 |
| Experimental a | Gas Phase b | CHCl3 b,c | Solid b,d | ||
|---|---|---|---|---|---|
| Distances e | C≡N | 1.139 | 1.148 | 1.148 | 1.148 |
| Dihedral angle f | H2 C2 C3 H3 | 76.38 | 68.65 | 68.36 | 70.62 |
| H3 C3 C4 H4 | 309.63 | 301.92 | 302.275 | 308.06 | |
| H4 C4 C5 H5 | 180.74 | 187.74 | 187.716 | 179.43 | |
| H5 C5 C6 H6 | 295.71 | 291.05 | 290.322 | 286.47 | |
| H5 C5 C6 H6′ | 54.48 | 171.24 | 170.367 | 47.67 |
| Experiment a | Gas Phase b | CHCl3 b,c | Solid b,d | ||
|---|---|---|---|---|---|
| Distances e | C≡N | 1.142 | 1.148 | 1.148 | 1.148 |
| Dihedral angle f | H2 C2 C3 H3 | 56.45 | 79.95 | 77.22 | 70.92 |
| H3 C3 C4 H4 | 287.50 | 310.82 | 308.16 | 300.03 | |
| H4 C4 C5 H5 | 177.39 | 182.17 | 184.71 | 176.26 | |
| H5 C5 C6 H6 | 293.47 | 291.08 | 290.60 | 289.48 | |
| H5 C5 C6 H6′ | 53.04 | 170.54 | 170.21 | 50.72 |
| Rotamer | Gas Phase | Chloroform c | Coupling Constants e | |||
|---|---|---|---|---|---|---|
| ΔE | ΔG | ΔE | ΔG | Ja,b | (Hz) | |
| A1G+ Z | 0.00 | 0.00 | 0.00 | 0.00 | J2,3 | 10.0 |
| A1G+ E | 0.88 | 1.49 | 0.75 | 3.18 | J3,4 | 1.5 |
| B1G+ Z | 2.88 | 3.45 | 0.97 | 1.69 | J4,5 | 10.0 |
| B1G+ E | 3.79 | 5.12 | 3.71 | 5.21 | J5,6 | 2.0 |
| A1G− Z | 1.63 | 2.73 | 2.18 | 3.70 | J6,7 | 5.5 |
| A1G− E | 2.70 | 2.51 | 3.00 | 5.06 | J6,7′ | 7.0 |
| B1G− Z | 3.90 | 4.37 | 2.13 | 4.11 | J7,7′ | 12.0 |
| B1G− E | 7.18 | 7.13 | 7.28 | 9.90 | ||
| R-x d | 1.89 | 1.55 | ||||
| Conformer | Gas Phase | Chloroform c | Coupling Constants e | |||
|---|---|---|---|---|---|---|
| ΔE | ΔG | ΔE | ΔG | Ja,b | (Hz) | |
| A1G+ Z | 0.00 | 0.00 | 0.00 | 0.00 | J2,3 | 9.5 |
| A1G+ E | 1.31 | 0.91 | 1.85 | 2.40 | J3,4 | 0.0 |
| B1G+ Z | 2.43 | 1.85 | 0.98 | 1.30 | J4,5 | 9.5 |
| B1G+ E | 3.30 | 1.10 | 3.61 | 4.24 | J5,6 | 2.0 |
| A1G− Z | −0.29 | −0.16 | 1.02 | 1.50 | J6,7 | 5.5 |
| A1G− E | 1.40 | 2.66 | 2.46 | 3.14 | J6,7′ | 7.5 |
| B1G− Z | 1.34 | −0.30 | 0.74 | 2.09 | J7,7′ | 12.0 |
| B1G− E | 3.66 | 4.21 | 5.47 | 8.68 | ||
| R-x d | −1.19 | −0.45 | ||||
| Conformer | Gas Phase | Chloroform c | Coupling Constants e | |||
|---|---|---|---|---|---|---|
| ΔE | ΔG | ΔE | ΔG | Ja,b | (Hz) | |
| 1G+5G− | 0.00 | 0.00 | 0.00 | 0.00 | J2,3 | 9.5 |
| 1G−5G− | 3.64 | 2.93 | 2.38 | 2.40 | J3,4 | 0.0 |
| 5G− | 3.77 | 4.34 | 2.75 | 3.43 | J4,5 | 9.5 |
| R-x d | 2.74 | 2.46 | J5,6 | 2.0 | ||
| Conformer | Gas Phase | Chloroform c | Coupling Constants e | |||
|---|---|---|---|---|---|---|
| ΔE | ΔG | ΔE | ΔG | Ja,b | (Hz) | |
| 1G+5G− | 0.00 | 0.00 | 0.00 | 0.00 | J2,NH | 9.6 |
| 1G−5G− | 5.78 | 6.71 | 3.18 | 3.37 | J2,3 | 6.8 |
| 5G− | 3.31 | 4.05 | 1.75 | 3.04 | J3,4 | 1.8 |
| R-x d | 0.79 | 0.17 | J4,5 | 9.2 | ||
Disclaimer/Publisher’s Note: The statements, opinions and data contained in all publications are solely those of the individual author(s) and contributor(s) and not of MDPI and/or the editor(s). MDPI and/or the editor(s) disclaim responsibility for any injury to people or property resulting from any ideas, methods, instructions or products referred to in the content. |
© 2024 by the authors. Licensee MDPI, Basel, Switzerland. This article is an open access article distributed under the terms and conditions of the Creative Commons Attribution (CC BY) license (https://creativecommons.org/licenses/by/4.0/).
Share and Cite
Matamoros, E.; Light, M.E.; Cintas, P.; Palacios, J.C. From Potential Prebiotic Synthons to Useful Chiral Scaffolds: A Synthetic and Structural Reinvestigation of 2-Amino-Aldononitriles. Molecules 2024, 29, 1796. https://doi.org/10.3390/molecules29081796
Matamoros E, Light ME, Cintas P, Palacios JC. From Potential Prebiotic Synthons to Useful Chiral Scaffolds: A Synthetic and Structural Reinvestigation of 2-Amino-Aldononitriles. Molecules. 2024; 29(8):1796. https://doi.org/10.3390/molecules29081796
Chicago/Turabian StyleMatamoros, Esther, Mark E. Light, Pedro Cintas, and Juan C. Palacios. 2024. "From Potential Prebiotic Synthons to Useful Chiral Scaffolds: A Synthetic and Structural Reinvestigation of 2-Amino-Aldononitriles" Molecules 29, no. 8: 1796. https://doi.org/10.3390/molecules29081796
APA StyleMatamoros, E., Light, M. E., Cintas, P., & Palacios, J. C. (2024). From Potential Prebiotic Synthons to Useful Chiral Scaffolds: A Synthetic and Structural Reinvestigation of 2-Amino-Aldononitriles. Molecules, 29(8), 1796. https://doi.org/10.3390/molecules29081796

