Abstract
Primarily owing to the pronounced fluorescence exhibited by its reduced form, resazurin (also known as alamarBlue®) is widely employed as a redox sensor to assess cell viability in in vitrostudies. In an effort to broaden its applicability for in vivo studies, molecular adjustments are necessary to align optical properties with the near-infrared imaging window while preserving redox properties. This study delves into the theoretical characterisation of a set of fluorinated resazurin derivatives proposed by Kachur et al., 2015 examining the influence of fluorination on structural and electrochemical properties. Assuming that the conductor-like polarisable continuum model mimics the solvent effect, the density functional level of theory combining M06-2X/6-311G* was used to calculate the redox potentials. Furthermore, (TD-)DFT calculations were performed with PBE0/def2-TZVP to evaluate nucleophilic characteristics, transition states for fluorination, relative energies, and fluorescence spectra. With the aim of exploring the potential of resazurin fluorinated derivatives as redox sensors tailored for in vivo applications, acid–base properties and partition coefficients were calculated. The theoretical characterisation has demonstrated its potential for designing novel molecules based on fundamental principles.
1. Introduction
Over the last decades, resazurin (7-hydroxy-3-oxo-3H-phenoxazine 10-oxide, also known as alamarBlue®) [1,2] has found extensive application in research focused on cell viability and cytotoxicity in a wide range of biological and environmental systems [3]. It is one of the most cited substances in cytotoxicity and viability tests in cancer research and drug screening [4]. Its utility extends to monitoring various facets of cellular health [1,5], including programmed cell death [6,7], cell cycle regulation [8,9,10], the toxicology of new drugs [11,12,13,14], cytotoxicity [15,16,17,18], environmental hazard assessments [19,20,21], and antibiotic sensitivity tests [22,23,24]. Resazurin has also been used in different microorganisms and cell types, such as fibroblasts [25,26], immortalised and cancer cell lines [5,27], mouse and human lymphocyte cultures [28,29], neuronal cell cultures [30,31,32], and various animal cell lines [33,34].
Resazurin is blue in colour with an absorption maximum at 570 nm in water, due to a – transition [35,36], and exhibits minimal fluorescence compared to its reduced analogue form, resorufin (7-hydroxy-3H-phenoxazin-3-one, illustrated in Figure 1). Resorufin has an absorption maximum shifted to red at in water, and its fluorescence intensity is more than five times higher than that of the parent resazurin [36]. The reduction from resazurin to resorufin occurs through intracellular metabolisation, driven by the action of the coenzymes NADH dehydrogenase or NADPH dehydrogenase [5,36]. This process requires the permeation of resazurin through the cellular membrane. The presented redox-sensor mechanism forms the basis for the resazurin cell viability test. Living cells metabolise the non-toxic resazurin, and the process can be monitored through the fluorescence emission of resorufin, which is also harmless to living cells [5].
Figure 1.
Resazurin and resorufin chemical structures labelling the carbon atoms.
Translating the application of resazurin from in vitro studies to in vivo methods presents certain difficulties, mainly because the optical properties of resazurin and its reduced form, resorufin, fall outside the near-infrared (NIR) imaging window [37,38]. The NIR imaging window, also known as the phototherapeutic window, is defined by a range of wavelengths where light exhibits greater penetration into body tissues [39,40,41]. Within the 650 to range, the absorption of biological molecules such as haemoglobin, oxyhaemoglobin, water, melanin, fat, bilirubin, or vitamin B12 is minimal. Consequently, light can travel through tissues with fewer perturbations, allowing for the application of in vivo imaging and phototherapeutic methods [39,40].
Kachur et al. [38] reported the synthesis of a new class of compounds, fluorinated resazurin derivatives, aimed at in vivo applications. Arroyo et al. [37] tested some of these new compounds for the ex vivo and in vivo detection of tumour metabolic activity using Cerenkov luminescence imaging. Even more ambitious in vivo applications can be envisioned if the direct excitation of resorufin derivatives, inducing its fluorescence emission, is possible in the NIR imaging window. As resorufin is produced through a metabolic mechanism in cells and since tumour cells exhibit enhanced metabolic behaviour compared to normal cells, reprogramming their metabolic fluxes in response to the large demands of NADH and NADPH, highly fluorescent resazurin derivatives that maintain the properties of the redox sensor, would be promising for the in vivo detection of tumours [37,42,43].
The development of new derivatives of resazurin may allow for the translation of this probe into in vivo applications. Two approaches may be envisaged in these developments. The first is trial and error, in which new compounds are synthesised and the properties of the final products are evaluated a posteriori. A new cycle of synthesis must be performed if the properties of the novel compounds are outside the acceptable range. The second approach for the development of new probes is to use the prediction capabilities of theoretical methods to obtain the target molecules in a novel way. When the computational cost is balanced with the precision, such methods are useful for generating multiple target compounds with different properties, which may be used in new organic synthesis. Recently, such a strategy has been used to predict redox potentials and intramolecular electron transfer processes with great success [44,45].
Understanding how an organic compound is (de-)protonated in an aqueous solution is also of relevance because it significantly influences various chemical properties. The protonated form of an organic compound can exhibit traits of solubility, adsorption, and toxicity that are notably different from those of its neutral counterpart.
Knowing that the use of resazurin derivatives as cellular probes requires specific redox potentials and fluorescence emission, the main objective of this work is to study, from a theoretical point of view, the physicochemical properties of the derivatives proposed by Kachur et al. [38] in order to rationalise the use of density functional theory and time-dependent DFT in this application. In this particular case, the influence of fluorine atoms on the key properties that guide the cellular viability test of resazurin and its possible translation into in vivo applications is analysed. This will be the basis for future work in the development of new cellular probes.
2. Results and Discussion
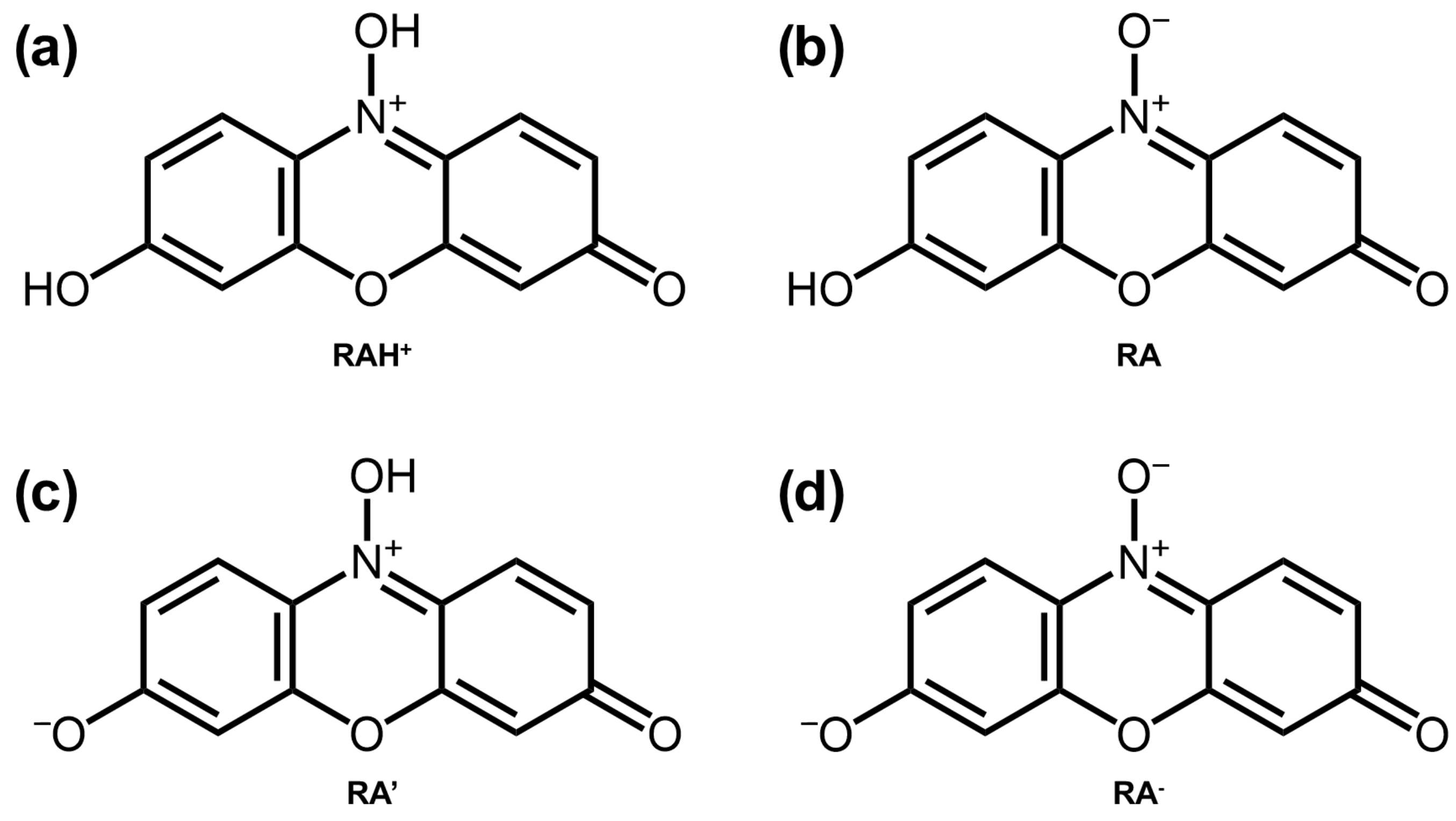
The commonly depicted molecular structure of resazurin that is described in the literature is illustrated in Figure 1, which presents a zwitterionic compound characterised by a partial positive charge on the nitrogen atom and a negative charge on the oxygen directly bound. However, in protic solvents, resazurin may take alternative forms that involve either the protonation of the oxygen bound to nitrogen or the deprotonation of the hydroxyl group. These different molecular configurations are illustrated in Figure 2.
Figure 2.
Different forms of resazurin: (a) protonated; (b,c) zwitterionic; and (d) deprotonated.
2.1. Fluorination Reactions
The derivatives of resazurin, monofluorinated RA (MFRA), difluorinated RA (DFRA), and trifluorinated (TFRA) reported by Kachur et al. [38] were synthesised by electrophilic fluorination reactions under acidic conditions. These reactions were carried out in acetic acid, and the fluorine source used was a gaseous mixture of –Ne. Fluorine atoms are introduced into the ortho position relative to the phenolic hydroxyl group, resulting in 4- and 2-monofluororeasazurin. For the interpretation of these synthetic processes, the charge distribution between the nonsubstituted carbon atoms of protonated resazurin (see Figure 2a) was calculated at the DFT level using PBE0/def2-TZVP. For each possible fluorination (see the label in Figure 1), the equilibrium geometry was obtained and the charge was calculated using the natural bond order theory [46]. In a comparative analysis reported in Table 1, three different nucleophilic behaviours may be observed for the first fluorination. The first behaviour indicates that carbons 4 and 5 are the most nucleophilic, thus facilitating an electrophilic fluorine attack. Carbons 2 and 8 follow, and carbons 1 and 7 have the lowest nucleophilic character. The reported synthesis indicates a predominance for monofluorination at the ortho positions of the hydroxyl group, specifically at carbons 2 and 4, with the latter prevailing in a ratio of 1:4. Furthermore, a minor fraction of the fluorinated compound is reported in carbon 1. The data presented in Table 1 confirm the increased nucleophilic reactivity of carbon 4, along with carbon 5. However, the resulting product of the latter remains undisclosed in the experimental synthesis. Furthermore, as reported in Table 2, the Gibbs free energy of 5-MFRA+ is lower than that of 4-MFRA+.
Table 1.
Natural population analysis charge of the carbon atoms on different protonated precursors.
Table 2.
Relative Gibbs free energies in of different structural isomers.
To analyse the selectivity of the fluorinations, the reaction transition states were located, and their energy barriers are reported in Table 3. Figure 3 shows a typical transition state for the attack on carbon 5 (except Figure 3e,f which show the attacks on carbons 4 and 2, respectively) for the different fluorinations, with the corresponding values of the imaginary frequency. The lower barrier is found to be for the fluorination of carbon 5, followed by carbons 2 and 4, with a barrier high of ∼. For the remaining attacks, the energy values are between 6 and 10 times higher than those of carbon 5. The production of 5-MFRA+ is expected to dominate over 2-MFRA+ and 4-MFRA+. It may be speculated that the absence of observations of the species 5-MFRA+ may be due to a fast second fluorination, leading to the observed 2,5-MFRA+ and 4,5-MFRA+. To verify that the transition states correspond to fluorination, the intrinsic reaction coordinate was calculated and is shown in Figure 4. The barriers reported connect the van der Walls minimum for the attack of to resazurin, originating at the intermediate with both F and H atoms bonded to carbon. This is prior to the exit of the hydrogen atom, for which no potential barrier was found. When comparing 2-MFRA+ and 4-MFRA+, the dynamical process is characterised by similar energy barriers. The 1:4 ratio can be attributed to the competing kinetics of the difluorination and trifluorination processes that favour the consumption of 2-MFRA+ due to the lower barrier values. The absence of 7-MFRA+ and 8-MFRA+ may be due to the low nucleophilic character of carbons 7 and 8, along with the high-energy barriers (6–7 kcal mol−1). The vestigial presence of 1-MFRA+ is contrary to the expected since the nucleophilic character of carbon 1 is low and the energy barrier is the highest.
Table 3.
Energy barriers in for the fluorination reactions.
Figure 3.
Transition states for the different fluorination reactions: (a) monoflurination x-MFRA+, (b) diflourination 2,x-DFRA+, (c) diflourination x,4-DFRA+, (d) triflourination 2,5,x-TFRA+, (e) triflourination 2,5,x-TFRA+, (f) triflourination 4,5,x-TFRA+. Also reported are the different imaginary frequency for each transition (‡) state.
Figure 4.
Minimum energy path for the 1 (in red) and 5 (in black) fluorination reactions.
Concerning the difluorinated compounds, and focusing exclusively on the precursors 2-MFRA and 4-MFRA that have been identified by Kachur et al. [38], the examination of the nucleophilic character of the carbons (Table 1) and energy barriers (Table 3) agree with the experimental findings (2,4-DFRA, 2,5-DFRA, and 4,5-DFRA). The isomer 2,8-DFRA+ has a relative energy between the ones of the compounds experimentally obtained; however, the nucleophilic character of carbon 8 in 2-MFRA+ is lower than the other possibilities, namely carbons 1, 4, and 5.
The trifluorinated compound identified in the experimental synthesis was 2,4,5-TFRA+. When comparing the nucleophilic character of carbons in the three different observed difluorinated compounds (Table 1), it becomes evident that carbon 7 exhibits the lowest nucleophilicity among the three isomers. The probable synthesis route for 2,4,5-TFRA+ involves the precursor compounds 2,4-DFRA+ and 2,5-DFRA+, considering the nucleophilic character of carbons 5 and 4, respectively, and the associated energy barriers, which are the lowest. Examining the relative energies of various trifluorinated compounds, Table 2 reveals that the experimentally observed 2,4,5-TFRA+ is the most stable species. Based on the nucleophilicity of the carbon atoms and the relative energy of the different isomers, the occurrence of 2,5,8-TFRA+ and 1,2,5-TFRA+ would be plausible; however, the barriers are high, which may be the reason for the non-observation reported in the synthesis by Kachur et al. [38].
2.2. pH Dependence
The ultimate goal of studying fluorinated resazurin derivatives is to synthesise them and use them in vivo as fluorescent probes. In addition to spectroscopic and redox properties, the pH dependence of the proposed resazurin derivatives significantly influences their suitability for in vivo applications. Knowing that the pH of human blood usually falls within the range of 7.35 to 7.45 [47], being slightly basic in nature, the relative concentration of the different forms of resazurin must be evaluated. For acid–base properties, the method reported in Refs. [48,49,50,51,52] was used.
Figure 5 illustrates the relative concentration profiles of different forms of resazurin as a function of pH. At , the dominant species is the deprotonated form (Figure 2d, representing almost 80% of the total. The zwitterionic form, as illustrated in Figure 2b, follows with a concentration of almost 20%. The forms illustrated in Figure 2a,c manifest with minor concentrations of 0.07% and 0.76%, respectively. To be metabolised by the cell, resazurin must permeate the cell membrane. Given that neutral compounds exhibit greater membrane permeability than charged compounds [53], it is expected that the zwitterionic forms, particularly the structure in Figure 2b, where the charges are close to each other, will penetrate more easily than the more abundant anionic form.
Figure 5.
Relative concentration of different resazurin forms as a function of the pH.
The reduction in resazurin and its derivatives requires their permeation through the cell membrane. It should be noted that a fully detailed study would require molecular dynamics studies to assess the influence of fluorinations on membrane permeation. Such a study would involve a large computational effort, and the goal of this work is to have a fast analysis that may be used in a new protocol to study new molecules prior to synthesis. However, when a set of molecules becomes narrower, molecular dynamics permeation may be carried out as a validation protocol. An analysis of the data presented in Table 4, which details the volumes of resazurin and its derivatives, does not reveal dramatic variations in this structural property, and consequently, it is not expected to adversely affect the membrane permeation capacity.
Table 4.
Relevant properties for membrane permeation of resazurin and derivatives at ; are the molar fractions in %.
Assessing the octanol-water partition coefficients at , obtained using the method reported in [54,55,56], it is evident that all the compounds exhibit a higher affinity for the aqueous phase. However, it should be noted that, with the exception of 1-MFRA, the other derivatives present more negative values. This trend becomes more comprehensible when juxtaposed with the relative concentrations of various species at , as described in Table 4.
2.3. Redox Potentials
When metabolised by the cell, resazurin reacts with the coenzyme NADH dehydrogenase or NADPH dehydrogenase, undergoing reduction to form resorufin [5,36]. This mechanism is the basis for cellular assays using resazurin. Its role as a redox sensor implies that its electrochemical properties, particularly the reduction and oxidation potentials, are pertinent to the process. Consequently, in the development of resazurin-derived compounds, one of the prerequisites should be the preservation of their redox properties. As before, the main goal is to validate the redox calculation methodology that has been previously proposed [44,45], with the aim of studying different compounds derived from resazurin. Table 5 illustrates the calculated redox potentials of resazurin and its fluorinated derivatives described by Kachur et al. [38], along with the corresponding properties of their reduced equivalents, i.e., resorufin and its derivatives.
Table 5.
Calculated redox potentials, in in acetonitrile, of resazurin (RA) and resorufin (RR) derivatives.
Examination of the calculated redox potentials of the resazurin derivatives reveals a decrease in the reduction potential as the number of fluorine atoms increases. A less negative potential implies a more challenging reduction. However, the maximum variation observed is only , suggesting that the impact on reduction is not excessively prohibitive on the basis of electrochemical potentials. Unlike reduction, a linear trend is not consistently observed in the oxidation potentials with the addition of fluorine atoms. However, the maximum difference observed with respect to resazurin is merely . This behaviour is mirrored in resorufin and its derivatives, indicating that the redox properties of these compounds are not anticipated to be significantly affected by the presence of fluorine atoms in their structures.
Figure 6 provides a representative illustration of the orbitals ranging from HOMO−1 to LUMO+1 for both resazurin and the trifluorinated derivative 2,4,5-TFRA—data for all compounds are available in Supplementary Information S1. An orbital analysis reveals that the spatial distribution is not significantly altered by the inclusion of fluorine atoms. Throughout the entire ensemble, the orbital displaying the most notable variation is HOMO−1, which presents a subtle shift in its location due to the presence of fluorine atoms.
Figure 6.
Calculated molecular orbitals of RA and 2,4,5-TFRA from HOMO−1 to LUMO+1.
2.4. Fluorescence Spectra
The fluorinated derivatives lead to a shift in the optical properties of resazurin and resorufin towards a region closer to the NIR imaging window, where fewer compounds interfere with excitation or quench fluorescence emissions. To study the fluorescence spectra, the path integral approach that employs a Fourier transform of the correlation function must be computed on a time grid. In the absence of Duschinsky rotations, the correlation function can oscillate indefinitely, and broadening functions are necessary to ensure convergence. For the particular case, the fluorescence spectra for the transition were calculated on the basis of the calculation of 20 singlet states and . The computation of these rates relies on the harmonic approximation for the nuclear normal modes. The state was selected from the electronic manifold by careful analysis of the transition dipole moments. For the lineshape function, a Lorentz-type model has been used with a full-width half maximum of .
Figure 7 illustrates the calculated fluorescence spectra of resorufin and its fluorinated derivatives. A scaling factor due to the TDDFT error in the vertical energy [57] of 1.253 was used to calibrate the calculated wavelengths, using the experimental resorufin spectrum as a reference [58]. An analysis of the spectra reveals that the addition of fluorine atoms does not have a linear effect on the bathochromic shift. For instance, in monofluorinated compounds, shifts to higher and lower wavelengths are observed. In particular, within this compound set, the introduction of a fluorine atom at carbon 4 leads to an increase in the energy of the excited state, causing a blue shift in the spectrum, contrary to the intended effect. Furthermore, the presence of fluorine influences the fluorescence intensity, and in compounds with larger bathochromic shifts (on the right), the fluorescence intensity is less than half that observed for the original compound. This aspect could impact the potential utility of the derived compounds as fluorescent probes through the redox sensor mechanism. The introduction of difluorine substitutions at positions 2,4-, 2,5-, and 4,5- in the resorufin compounds results in a shift in the emission maximum from 587 nm for resorufin to 590 nm, 620 nm, and 637 nm, respectively, underscoring the effectiveness of the proposed strategy. The spectroscopic characteristics of the trifluorinated 2,4,5-TFRR derivative resemble those of its parent difluorinated 4,5-DFRR.
Figure 7.
Calculated fluorescence spectra of resorufin and its derivatives. The experimental spectrum of resorufin is displayed in the background, normalised to the maximum intensity calculated.
In an attempt to rationalise the bathochromic shift, the frontier molecular orbital energies were calculated. For monofluorinated compounds (1-MFRR, 2-MFRR, and 4-MFRR), the energy trend is the same as the shifts observed in the fluorescence spectra: 0.1875, 0.1844, and , respectively, compared with the 0.1850 value of resorufin. However, for the di- and trifluorinated compounds, the same correlation is not observed, with the energies in decreasing order being 2,4-DFRR (), RR (), 4,5-DFRR (), 2,4,5-TFRR (), and 4,5-DFRR (), the reverse of the calculated spectra. However, it should be noted that due to the density nature of DFT, it is known to have several issues in reporting the HOMO, LUMO, and HOMO-LUMO gap [59]. Using TDDFT, errors between 0.84 and were calculated in a set of 11 functionals, which shows that this property may not be the best rationalisation of the spectra.
3. Methods
The main focus of this work is to analyse the physical–chemical properties of the various fluorinated derivatives of resazurin and resorufin that were proposed by Kachur et al. [38] with a view to in vivo applications.
All the electronic structure calculations were performed using DFT methods implemented in ORCA [60,61]. For all the structures, the minimum of the potential energy surface is located by the global minimisation of all degrees of freedom. After the critical point was located on the surface of the potential energy, a harmonic frequency analysis was performed to ensure the absence of imaginary frequencies, i.e., a minimum. Additional calculations were performed to characterise the transition state for each fluorination process. In this case, such a critical point was obtained similarly to the minimum and verified by the presence of one imaginary frequency. Intrinsic reaction calculations were performed to verify that the calculated transition state connects the two minima that correspond to the electrophilic fluorination of carbon as proposed [38].
The zero-point harmonic energy was used in the calculation of thermodynamic properties using statistical mechanics [62] with and . For that, it is assumed that (i) there are no thermally accessible electronically excited states, and (ii) hindered rotations indicated by low-frequency modes are not treated as such, but are treated as vibrations. The contributions of rotation and translation energy also account for the temperature contribution, while the vibrational entropy is calculated according to the Grimme method [63]. The conductor-like continuum polarisation model [64] (C-PCM) was used to simulate solvent effects for water and acetonitrile, with the dielectric constant and refractive index .
The redox properties were calculated following the protocol proposed by Duque-Prata et al. [44,45], using the M06-2X functional [65,66] and the 6-311G* basis set [67]. The redox potential was calculated using the general expression
with being the Gibbs free energies of the reduced and oxidised form, n being the difference in the number of electrons between the reduced and oxidised forms, being the absolute potential of the standard hydrogen electrode (SHE), and being the conversion of SHE into SCE in acetonitrile [68]. For this basis and functionality, we proposed the following scaling for the oxidation and reduction potentials [44]:
based on a set of 140 redox potentials.
The functional PBE0 [69,70] was also used with the def2-TZVP basis set [71] to calculate the nucleophilic character of the carbon atoms. The theory of the natural bond order [46] was applied to perform the population analysis and calculate the charge as implemented in JANPA [72]. Due to the good performance reported [57,73,74,75] at the time-dependent DFT (TD-DFT) level of theory using the vertical approximation, it was also used to calculate the fluorescence spectra.
The fluorescence spectra were computed using the ORCA-EOD excited-state dynamics module, which is based on the Feynman path integral approach [76,77].
4. Conclusions
An examination of the electronic structures of protonated forms enables the elucidation of some experimental results reported by Kachur et al. [38] However, the nucleophilic character of the different carbon atoms and the relative energies of different structural isomers do not rationalise all experimental observations. This implies that, as confirmed by the reported observations, additional factors, such as kinetic selectivity, may play a role in these synthetic processes. For that, the fluorination barriers were calculated, showing that the most favourable attack comes from carbon 5, followed by carbon 2 and 4. The remaining carbons exhibit larger barriers that reach in the case of monofluorination in carbon 1.
The calculated redox potentials of the new compounds, along with the spatial distribution of molecular orbitals, indicate minimal variations in their electrochemical properties, suggesting that these variations do not pose a significant obstacle to their use as redox sensors. Despite the marginal changes observed in the volume of novel compounds compared to their precursors, which allows for the consideration of this factor as a non-hinderer of the cellular permeation capacity, an analysis of the octanol-water partition coefficients and the relative concentrations of the different forms at pH = 7.4 raises uncertainties regarding the membrane permeation capacity of the new compounds compared to resazurin. A potentially slower permeation rate could emerge as a limiting factor for the practical applicability of the method. With regard to the ability of the new compounds to shift optical spectra into the NIR imaging window, the goal is verified to be partially accomplished. Their applicability may be compromised by the challenge of separating mixtures of structural isomers, such as 2-MFRA and 4-MFRA, whose reduction products manifest opposing effects on the spectral shift. Furthermore, fluorinated derivatives exhibit fluorescence intensities substantially lower than those of resorufin, introducing a potential obstacle to the practical implementation of these novel probes.
This set of compounds serves as evidence that the underlying principle that guides their use has the potential for success. However, to improve the probability of a successful in vivo application, a priority should be placed on the synthesis of new molecules capable of preserving the redox and acid–base properties of the original compounds, while maintaining or even exceeding their fluorescence intensities.
In this study, the use of (TD-)DFT for the study of resazurin derivatives is demonstrated. The creation of a theoretical protocol will allow for a faster and cheaper approach to laboratory syntheses. With such a tool, the following steps are to propose new derivatives that may improve the probe capabilities for new in vivo applications.
Supplementary Materials
The following supporting information can be downloaded at: https://www.mdpi.com/article/10.3390/molecules29071507/s1, Supplementary Information S1: Cartesian coordinates of optimised species. Supplementary Information S2: Molecular orbitals obtained for each specie.
Author Contributions
Conceptualization, A.D.-P., C.S. and P.J.S.B.C.; Methodology, A.D.-P., C.S. and P.J.S.B.C.; Investigation, A.D.-P., C.S. and P.J.S.B.C.; Writing—review & editing, A.D.-P., C.S. and P.J.S.B.C. All authors have read and agreed to the published version of the manuscript.
Funding
The Coimbra Chemistry Centre is supported by the FCT through the projects https://doi.org/10.54499/UIDB/00313/2020 and https://doi.org/10.54499/UIDP/00313/2020. A.D.P. acknowledges FCT and EU for the 2021.05751.BD Ph.D. scholarship, and P.J.S.B.C. acknowledges the project https://doi.org/10.54499/DL57/2016/CP1370/CT0050.
Institutional Review Board Statement
Not applicable.
Informed Consent Statement
Not applicable.
Data Availability Statement
Data are contained within the article and Supplementary Materials.
Acknowledgments
A.D.P. acknowledges Diogo A. Pereira for the fruitful scientific discussions during this work.
Conflicts of Interest
The authors declare no conflicts of interest.
References
- Ansar Ahmed, S.; Gogal, R.M.; Walsh, J.E. A new rapid and simple non-radioactive assay to monitor and determine the proliferation of lymphocytes: An alternative to [3H]thymidine incorporation assay. J. Immunol. Methods 1994, 170, 211–224. [Google Scholar] [CrossRef] [PubMed]
- Fields, R.D.; Lancaster, M.V. Dual-attribute continuous monitoring of cell proliferation/cytotoxicity. Am. Biotechnol. Lab. 1993, 11, 48–50. [Google Scholar] [PubMed]
- Kuete, V.; Karaosmanoǧlu, O.; Sivas, H. Anticancer activities of african medicinal spices and vegetables. In Medicinal Spices and Vegetables from Africa; Elsevier: Amsterdam, The Netherlands, 2017; pp. 271–297. [Google Scholar] [CrossRef]
- Rampersad, S.N. Multiple applications of Alamar Blue as an indicator of metabolic function and cellular health in Ccll viability bioassays. Sensors 2012, 12, 12347–12360. [Google Scholar] [CrossRef] [PubMed]
- O’Brien, J.; Wilson, I.; Orton, T.; Pognan, F. Investigation of the Alamar Blue (resazurin) fluorescent dye for the assessment of mammalian cell cytotoxicity. Eur. J. Biochem. 2000, 267, 5421–5426. [Google Scholar] [CrossRef] [PubMed]
- Mizuno, R.; Oya, M.; Shiomi, T.; Marumo, K.; Okada, Y.; Murai, M. Inhibition of MKP-1 expression potentiates Jnk related apoptosis in renal cancer cells. J. Urol. 2004, 172, 723–727. [Google Scholar] [CrossRef] [PubMed]
- Durrant, D.; Richards, J.E.; Walker, W.T.; Baker, K.A.; Simoni, D.; Lee, R.M. Mechanism of cell death induced by cis-3,4’,5-trimethoxy-3’-aminostilbene in ovarian cancer. Gynecol. Oncol. 2008, 110, 110–117. [Google Scholar] [CrossRef] [PubMed]
- Farinelli, S.; Greene, L. Cell cycle blockers mimosine, ciclopirox, and deferoxamine prevent the death of PC12 cells and postmitotic sympathetic neurons after removal of trophic support. J. Neurosci. 1996, 16, 1150–1162. [Google Scholar] [CrossRef] [PubMed]
- Yang, S. Inhibition of the p38 MAPK pathway sensitises human colon cancer cells to 5-fluorouracil treatment. Int. J. Oncol. 2011, 38, 1695–1702. [Google Scholar] [CrossRef]
- Yao, K.; Youn, H.; Gao, X.; Huang, B.; Zhou, F.; Li, B.; Han, H. Casein kinase 2 inhibition attenuates androgen receptor function and cell proliferation in prostate cancer cells. Prostate 2012, 72, 1423–1430. [Google Scholar] [CrossRef] [PubMed]
- White, M.J.; DiCaprio, M.J.; Greenberg, D.A. Assessment of neuronal viability with Alamar Blue in cortical and granule cell cultures. J. Neurosci. Methods 1996, 70, 195–200. [Google Scholar] [CrossRef]
- Fai, P.B.; Grant, A. A rapid resazurin bioassay for assessing the toxicity of fungicides. Chemosphere 2009, 74, 1165–1170. [Google Scholar] [CrossRef] [PubMed]
- Helliwell, S.; Harden, T.J. Bacterial toxicity assessment using Resazurin reduction kinetics: An undergraduate toxicity experiment for the Chemistry-Biology Major. J. Chem. Educ. 1996, 73, 368. [Google Scholar] [CrossRef]
- Zare, M.; Amin, M.M.; Nikaeen, M.; Bina, B.; Pourzamani, H.; Fatehizadeh, A.; Taheri, E. Resazurin reduction assay, a useful tool for assessment of heavy metal toxicity in acidic conditions. Environ. Monit. Assess. 2015, 187, 276. [Google Scholar] [CrossRef] [PubMed]
- Balbaied, T.; Moore, E. Resazurin-based assay for quantifying living cells during alkaline phosphatase (ALP) release. Appl. Sci. 2020, 10, 3840. [Google Scholar] [CrossRef]
- Chen, J.L.; Steele, T.W.J.; Stuckey, D.C. Metabolic reduction of Resazurin; location within the cell for cytotoxicity assays. Biotech. Bioeng. 2018, 115, 351–358. [Google Scholar] [CrossRef] [PubMed]
- Präbst, K.; Engelhardt, H.; Ringgeler, S.; Hübner, H. Basic Colorimetric Proliferation Assays: MTT, WST, and Resazurin. In Cell Viability Assays; Series Title: Methods in Molecular Biology; Gilbert, D.F., Friedrich, O., Eds.; Springer: New York, NY, USA, 2017; Volume 1601, pp. 1–17. [Google Scholar] [CrossRef]
- Rodríguez-Corrales, J.Á.; Josan, J.S. Resazurin Live Cell Assay: Setup and Fine-Tuning for Reliable Cytotoxicity Results. In Proteomics for Drug Discovery; Series Title: Methods in Molecular, Biology; Lazar, I.M., Kontoyianni, M., Lazar, A.C., Eds.; Springer: New York, NY, USA, 2017; Volume 1647, pp. 207–219. [Google Scholar] [CrossRef]
- Guerin, T.F.; Mondido, M.; McClenn, B.; Peasley, B. Application of resazurin for estimating abundance of contaminant-degrading micro-organisms. Lett. Appl. Microbiol. 2001, 32, 340–345. [Google Scholar] [CrossRef] [PubMed]
- Pereira, M.I.A.; Monteiro, C.A.P.; De Oliveira, W.F.; Santos, B.S.; Fontes, A.; Cabral Filho, P.E. Resazurin-Based Assay to Evaluate Cell Viability After Quantum Dot Interaction. In Quantum Dots; Series Title: Methods in Molecular, Biology; Fontes, A., Santos, B.S., Eds.; Springer: New York, NY, USA, 2020; Volume 2135, pp. 213–221. [Google Scholar] [CrossRef]
- Strotmann, U.; Butz, B.; Bias, W. The Dehydrogenase Assay with Resazurin: Practical Performance as a Monitoring System and Ph-Dependent Toxicity of Phenolic Compounds. Ecotoxicol. Environ. Saf. 1993, 25, 79–89. [Google Scholar] [CrossRef] [PubMed]
- Crane, B.; Hughes, J.P.; Rowley Neale, S.J.; Rashid, M.; Linton, P.E.; Banks, C.E.; Shaw, K.J. Rapid antibiotic susceptibility testing using resazurin bulk modified screen-printed electrochemical sensing platforms. Analyst 2021, 146, 5574–5583. [Google Scholar] [CrossRef] [PubMed]
- Kim, H.J.; Jang, S. Optimization of a resazurin-based microplate assay for large-scale compound screenings against Klebsiella pneumoniae. 3 Biotech 2018, 8, 3. [Google Scholar] [CrossRef] [PubMed]
- Mishra, P.; Singh, D.; Mishra, K.; Kaur, G.; Dhull, N.; Tomar, M.; Gupta, V.; Kumar, B.; Ganju, L. Rapid antibiotic susceptibility testing by resazurin using thin film platinum as a bio-electrode. J. Microbiol. Methods 2019, 162, 69–76. [Google Scholar] [CrossRef] [PubMed]
- Pace, R.T.; Burg, K.J.L. Toxic effects of resazurin on cell cultures. Cytotechnology 2015, 67, 13–17. [Google Scholar] [CrossRef] [PubMed]
- Zheng, F.; Wang, S.; Hou, W.; Xiao, Y.; Liu, P.; Shi, X.; Shen, M. Comparative study of resazurin reduction and MTT assays for cytocompatibility evaluation of nanofibrous materials. Anal. Methods 2019, 11, 483–489. [Google Scholar] [CrossRef]
- Lavogina, D.; Lust, H.; Tahk, M.J.; Laasfeld, T.; Vellama, H.; Nasirova, N.; Vardja, M.; Eskla, K.L.; Salumets, A.; Rinken, A.; et al. Revisiting the Resazurin-Based Sensing of Cellular Viability: Widening the Application Horizon. Biosensors 2022, 12, 196. [Google Scholar] [CrossRef] [PubMed]
- Koyanagi, M.; Kawakabe, S.; Arimura, Y. A comparative study of colorimetric cell proliferation assays in immune cells. Cytotechnology 2016, 68, 1489–1498. [Google Scholar] [CrossRef] [PubMed]
- Zeni, O.; Sannino, A.; Romeo, S.; Micciulla, F.; Bellucci, S.; Scarfi, M.R. Growth inhibition, cell-cycle alteration and apoptosis in stimulated human peripheral blood lymphocytes by multiwalled carbon nanotube buckypaper. Nanomed. J. 2015, 10, 351–360. [Google Scholar] [CrossRef] [PubMed]
- Gartlon, J.; Kinsner, A.; Bal-Price, A.; Coecke, S.; Clothier, R. Evaluation of a proposed in vitro test strategy using neuronal and non-neuronal cell systems for detecting neurotoxicity. In Vitro Toxicol. 2006, 20, 1569–1581. [Google Scholar] [CrossRef] [PubMed]
- Ivanov, D.P.; Parker, T.L.; Walker, D.A.; Alexander, C.; Ashford, M.B.; Gellert, P.R.; Garnett, M.C. Multiplexing Spheroid Volume, Resazurin and Acid Phosphatase Viability Assays for High-Throughput Screening of Tumour Spheroids and Stem Cell Neurospheres. PLoS ONE 2014, 9, e103817. [Google Scholar] [CrossRef] [PubMed]
- Magnani, E.; Bettini, E. Resazurin detection of energy metabolism changes in serum-starved PC12 cells and of neuroprotective agent effect. Brain Res. Protoc. 2000, 5, 266–272. [Google Scholar] [CrossRef] [PubMed]
- Matsuura, K.; Wang, W.H.; Ching, A.; Chen, Y.; Cheng, C.M. Paper-Based Resazurin Assay of Inhibitor-Treated Porcine Sperm. Micromachines 2019, 10, 495. [Google Scholar] [CrossRef] [PubMed]
- Xiao, J.; Zhang, Y.; Wang, J.; Yu, W.; Wang, W.; Ma, X. Monitoring of Cell Viability and Proliferation in Hydrogel-Encapsulated System by Resazurin Assay. Appl. Biochem. Biotechnol. 2010, 162, 1996–2007. [Google Scholar] [CrossRef] [PubMed]
- Bueno, C.; Villegas, M.L.; Bertolotti, S.G.; Previtali, C.M.; Neumann, M.G.; Encinas, M.V. The Excited-State Interaction of Resazurin and Resorufin with Aminesin Aqueous Solutions. Photophysics and Photochemical Reaction. J. Photochem. Photobiol. C Photochem. 2002, 76, 385–390. [Google Scholar] [CrossRef]
- Njoku, D.I.; Guo, Q.; Dai, W.; Chen, J.L.; Mao, G.; Sun, Q.; Sun, H.; Peng, Y.K. The multipurpose application of resazurin in micro-analytical techniques: Trends from the microbial, catalysis and single molecule detection assays. TrAC Trends Anal. Chem. 2023, 167, 117288. [Google Scholar] [CrossRef]
- Arroyo, A.D.; Guzman, A.E.; Kachur, A.V.; Popov, A.V.; Delikatny, E.J. Development of 18F-Labeled Resazurin Derivatives for the Detection of Tumor Metabolic Activity Using Cerenkov Imaging. Front. Phys. 2021, 9, 652179. [Google Scholar] [CrossRef]
- Kachur, A.V.; Arroyo, A.D.; Popov, A.V.; Saylor, S.J.; Delikatny, E.J. Synthesis of F-18 labeled resazurin by direct electrophilic fluorination. J. Fluor. Chem. 2015, 178, 136–141. [Google Scholar] [CrossRef] [PubMed]
- Da̧browski, J.M.; Urbanska, K.; Arnaut, L.G.; Pereira, M.M.; Abreu, A.R.; Simões, S.; Stochel, G. Biodistribution and Photodynamic Efficacy of a Water-Soluble, Stable, Halogenated Bacteriochlorin against Melanoma. ChemMedChem 2011, 6, 465–475. [Google Scholar] [CrossRef] [PubMed]
- Weissleder, R. A clearer vision for in vivo imaging. Nat. Biotechnol. 2001, 19, 316–317. [Google Scholar] [CrossRef] [PubMed]
- Szaciłowski, K.; Macyk, W.; Drzewiecka-Matuszek, A.; Brindell, M.; Stochel, G. Bioinorganic Photochemistry: Frontiers and Mechanisms. Chem. Rev. 2005, 105, 2647–2694. [Google Scholar] [CrossRef] [PubMed]
- Romero-Garcia, S.; Lopez-Gonzalez, J.S.; Báez-Viveros, J.L.; Aguilar-Cazares, D.; Prado-Garcia, H. Tumor cell metabolism: An integral view. Cancer Biol. Ther. 2011, 12, 939–948. [Google Scholar] [CrossRef] [PubMed]
- Neagu, M.; Constantin, C.; Popescu, I.D.; Zipeto, D.; Tzanakakis, G.; Nikitovic, D.; Fenga, C.; Stratakis, C.A.; Spandidos, D.A.; Tsatsakis, A.M. Inflammation and Metabolism in Cancer Cell-Mitochondria Key Player. Front. Oncol. 2019, 9, 348. [Google Scholar] [CrossRef]
- Duque-Prata, A.; Serpa, C.; Caridade, P.J.S.B. Full theoretical protocol for the design of metal-free organic electron donor-spacer-acceptor systems. Phys. Chem. Chem. Phys. 2023, 25, 27854–27865. [Google Scholar] [CrossRef]
- Duque-Prata, A.; Pinto, T.B.; Serpa, C.; Caridade, P.J.S.B. Performance of Functionals and Basis Sets in Calculating Redox Potentials of Nitrile Alkenes and Aromatic Molecules using Density Functional Theory. ChemistrySelect 2023, 8, e202300205. [Google Scholar] [CrossRef]
- Reed, A.E.; Weinstock, R.B.; Weinhold, F. Natural population analysis. J. Chem. Phys. 1985, 83, 735–746. [Google Scholar] [CrossRef]
- Hopkins, E.; Sanvictores, T.; Sharma, S. Physiology, Acid Base Balance. In StatPearls; StatPearls Publishing: Treasure Island, FL, USA, 2024. [Google Scholar]
- Clarke, F.H.; Cahoon, N.M. Ionization constants by curve fitting: Determination of partition and distribution coefficients of acids and bases and their ions. J. Pharm. Sci. 1987, 76, 611–620. [Google Scholar] [CrossRef] [PubMed]
- Csizmadia, F.; Tsantili-Kakoulidou, A.; Panderi, I.; Darvas, F. Prediction of Distribution Coefficient from Structure. 1. Estimation Method. J. Pharm. Sci. 1997, 86, 865–871. [Google Scholar] [CrossRef] [PubMed]
- Dixon, S.L.; Jurs, P.C. Estimation of pKa for organic oxyacids using calculated atomic charges. J. Comput. Chem. 1993, 14, 1460–1467. [Google Scholar] [CrossRef]
- Szegezdi, J.; Csizmadia, F. Prediction of Dissociation Constant Using Microconstants, 2004. Available online: https://docs.chemaxon.com/display/docs/attachments/attachments_1814016_1_Prediction_of_dissociation_constant_using_microconstants.pdf (accessed on 29 December 2023).
- Szegezdi, J.; Csizmadia, F. A Method for Calculating the pKa Values of Small and Large Molecules, 2007. Available online: https://docs.chemaxon.com/display/docs/attachments/attachments_1814017_1_Calculating_pKa_values_of_small_and_large_molecules.pdf (accessed on 29 December 2023).
- Cooper, G.M.; Adams, K.W. The Cell: A Molecular Approach, 9th ed.; Oxford University Press: New York, NY, USA, 2023. [Google Scholar]
- Bouchard, G.; Carrupt, P.; Testa, B.; Gobry, V.; Girault, H.H. The Apparent Lipophilicity of Quaternary Ammonium Ions Is Influenced by Galvani Potential Difference, Not Ion-Pairing: A Cyclic Voltammetry Study. Pharm. Res. 2001, 18, 702–708. [Google Scholar] [CrossRef] [PubMed]
- Klopman, G.; Li, J.Y.; Wang, S.; Dimayuga, M. Computer Automated log P Calculations Based on an Extended Group Contribution Approach. J. Chem. Inf. Comput. Sci. 1994, 34, 752–781. [Google Scholar] [CrossRef]
- Viswanadhan, V.N.; Ghose, A.K.; Revankar, G.R.; Robins, R.K. Atomic physicochemical parameters for three dimensional structure directed quantitative structure-activity relationships. 4. Additional parameters for hydrophobic and dispersive interactions and their application for an automated superposition of certain naturally occurring nucleoside antibiotics. J. Chem. Inf. Comput. Sci. 1989, 29, 163–172. [Google Scholar] [CrossRef]
- Jacquemin, D.; Planchat, A.; Adamo, C.; Mennucci, B. TD-DFT Assessment of Functionals for Optical 0–0 Transitions in Solvated Dyes. J. Chem. Theory Comput. 2012, 8, 2359–2372. [Google Scholar] [CrossRef] [PubMed]
- AAT Bioquest, I. Spectrum [Resorufin]. Available online: https://www.aatbio.com/fluorescence-excitation-emission-spectrum-graph-viewer/resorufin (accessed on 30 January 2024).
- Zhang, G.; Musgrave, C.B. Comparison of DFT Methods for Molecular Orbital Eigenvalue Calculations. J. Phys. Chem. A 2007, 111, 1554–1561. [Google Scholar] [CrossRef] [PubMed]
- Neese, F. The ORCA program system. Wiley Interdiscip. Rev. Comput. Mol. Sci. 2012, 2, 73–78. [Google Scholar] [CrossRef]
- Neese, F.; Wennmohs, F.; Becker, U.; Riplinger, C. The ORCA quantum chemistry program package. J. Chem. Phys. 2020, 152, 224108. [Google Scholar] [CrossRef] [PubMed]
- McQuarrie, D.A. Statistical Mechanics; Harper and Row: New York, NY, USA, 1976. [Google Scholar]
- Grimme, S. Supramolecular Binding Thermodynamics by Dispersion-Corrected Density Functional Theory. Chem. A Eur. J. 2012, 18, 9955–9964. [Google Scholar] [CrossRef] [PubMed]
- Barone, V.; Cossi, M. Quantum calculation of molecular energies and energy gradients in solution by a conductor solvent model. J. Phys. Chem. A 1998, 102, 1995–2001. [Google Scholar] [CrossRef]
- Zhao, Y.; Truhlar, D.G. Density functional for spectroscopy: No long-range self-interaction error, good performance for rydberg and charge-transfer states, and better performance on average than B3LYP for ground states. J. Phys. Chem. A 2006, 110, 13126–13130. [Google Scholar] [CrossRef] [PubMed]
- Zhao, Y.; Truhlar, D.G. The M06 suite of density functionals for main group thermochemistry, thermochemical kinetics, noncovalent interactions, excited states, and transition elements: Two new functionals and systematic testing of four M06-class functionals and 12 other functionals. Theor. Chem. Acc. 2008, 120, 215–241. [Google Scholar] [CrossRef]
- Ditchfield, R.; Hehre, W.J.; Pople, J.A. Self-consistent molecular-orbital methods. IX. An extended gaussian-type basis for molecular-orbital studies of organic molecules. J. Chem. Phys. 1971, 54, 724–728. [Google Scholar] [CrossRef]
- Isse, A.A.; Gennaro, A. Absolute potential of the standard hydrogen electrode and the problem of interconversion of potentials in different solvents. J. Phys. Chem. B 2010, 114, 7894–7899. [Google Scholar] [CrossRef]
- Grimme, S. Accurate description of van der Waals complexes by density functional theory including empirical corrections. J. Comput. Chem. 2004, 25, 1463–1473. [Google Scholar] [CrossRef] [PubMed]
- Ernzerhof, M.; Scuseria, G.E. Assessment of the Perdew-Burke-Ernzerhof exchange-correlation functional. J. Chem. Phys. 1999, 110, 5029–5036. [Google Scholar] [CrossRef]
- Weigend, F.; Ahlrichs, R. Balanced basis sets of split valence, triple zeta valence and quadruple zeta valence quality for H to Rn: Design and assessment of accuracy. Phys. Chem. Chem. Phys. 2005, 7, 3297–3305. [Google Scholar] [CrossRef]
- Nikolaienko, T.Y.; Bulavin, L.A.; Hovorun, D.M. JANPA: An open source cross-platform implementation of the Natural Population Analysis on the Java platform. Comput. Theor. Chem. 2014, 1050, 15–22. [Google Scholar] [CrossRef]
- Laurent, A.D.; Jacquemin, D. TD-DFT benchmarks: A review. Int. J. Quantum Chem 2013, 113, 2019–2039. [Google Scholar] [CrossRef]
- Coskun, D.; Jerome, S.V.; Friesner, R.A. Evaluation of the Performance of the B3LYP, PBE0, and M06 DFT Functionals, and DBLOC-Corrected Versions, in the Calculation of Redox Potentials and Spin Splittings for Transition Metal Containing Systems. J. Chem. Theory Comput. 2016, 12, 1121–1128. [Google Scholar] [CrossRef] [PubMed]
- Duque-Prata, A.; Serpa, C.; Caridade, P.J.S.B. Photochemistry of 1-Phenyl-4-Allyl-Tetrazol-5-One: A Theoretical Study Contribution towards Mechanism Elucidation. Appl. Sci. 2021, 11, 4045. [Google Scholar] [CrossRef]
- De Souza, B.; Farias, G.; Neese, F.; Izsá, R. Predicting Phosphorescence Rates of Light Organic Molecules Using Time-Dependent Density Functional Theory and the Path Integral Approach to Dynamics. J. Chem. Theory Comput. 2019, 15, 1896–1904. [Google Scholar] [CrossRef] [PubMed]
- De Souza, B.; Neese, F.; Izsá, R. On the theoretical prediction of fluorescence rates from first principles using the path integral approach. J. Chem. Phys. 2018, 148, 034104. [Google Scholar] [CrossRef] [PubMed]
Disclaimer/Publisher’s Note: The statements, opinions and data contained in all publications are solely those of the individual author(s) and contributor(s) and not of MDPI and/or the editor(s). MDPI and/or the editor(s) disclaim responsibility for any injury to people or property resulting from any ideas, methods, instructions or products referred to in the content. |
© 2024 by the authors. Licensee MDPI, Basel, Switzerland. This article is an open access article distributed under the terms and conditions of the Creative Commons Attribution (CC BY) license (https://creativecommons.org/licenses/by/4.0/).






