Abstract
This scientific article presents research on the electrical conductivity of imidazole-derived ionic liquids (1-methylimidazolium chloride, 1-ethyl-3-methylimidazolium chloride, 1-butyl-3-methylimidazolium chloride, 1-hexyl-3-methylimidazolium chloride and 1-methyl-3-octylimidazolium chloride) in the temperature range of 278.15–313.15 K in N,N-Dimethylformamide. The measurement methods employed relied mainly on conductometric measurements, enabling precise monitoring of the conductivity changes as a function of temperature. Experiments were conducted at various temperature values, which provided a comprehensive picture of the conducting properties of the investigated ionic liquids. The focus of the study was the analysis of the conductometric results, which were used to determine the conductivity function as a function of temperature. Based on the obtained data, a detailed analysis of association constants (KA) and thermodynamic parameters such as enthalpy (∆H0), entropy (∆S0), Gibbs free energy (∆G0), Eyring activation enthalpy for charge transport () and diffusion processes (D0) was carried out. The conductometric method proved to be an extremely effective tool for accurately determining these parameters, significantly contributing to the understanding of the properties of imidazole-derived ionic liquids in the investigated temperature range. As a result, the obtained results not only provide new insights into the electrical conductivity of the studied ionic liquids but also broaden our knowledge of their thermodynamic behavior under different temperature conditions. These studies may have significant implications for the field of ionic liquid chemistry and may be applied in the design of modern materials with desired conducting properties.
1. Introduction
Ionic liquids, because of their unique physicochemical properties, currently constitute an area of intense scientific research. One of the intriguing research aspects is the electrical conductivity of ionic liquids, closely associated with their structure and the dynamic nature of ions [1,2,3,4,5]. In this context, ionic liquids based on imidazole derivatives represent a particularly interesting group of compounds, given their diverse applications that range from electrochemistry to the pharmaceutical industry. The current interest in ionic liquids is mainly based on their use as solvents or catalysts in various reactions [6,7,8,9,10,11,12,13,14].
Ionic liquids represent a fascinating area of scientific research due to their exceptional physicochemical properties, which are applicable in various fields, from electrochemistry to the pharmaceutical industry [15,16,17,18,19,20,21,22,23,24], and different applications such as solvents or catalysts in various reactions [6,7,8,9,10,11,12,13,14]. In this context, ionic liquids based on imidazole derivatives represent a particularly interesting group of compounds, given their diverse applications [25]. Consequently, imidazole-derived ionic liquids have been at the forefront of interest, and their properties in N,N-Dimethylformamide (DMF) have become the subject of intensive investigation.
Research on the properties of imidazole-derived ionic liquids in DMF focuses on various aspects, including electrical conductivity, molecular structure and interactions with the solvent environment [26,27,28,29]. Conductometric measurements conducted in this environment enable the precise determination of the changes in conductivity with temperature, providing crucial insights into the dynamics of ionic liquids. Additionally, investigations into the properties of ionic liquids in DMF yield essential data regarding their thermal stability, crucial for potential practical applications. These properties are key to the development of modern technologies, such as electrochemical energy storage devices or materials with advanced conducting properties.
In summary, research on imidazole-derived ionic liquids in the environment of N,N-Dimethylformamide opens new perspectives to understand their properties and potential applications in various scientific and industrial fields.
A review of the literature indicates that the electrical conductivity of electrolytes in DMF as a function of temperature has not previously been studied using imidazole-derived ionic liquids. However, the literature provides data on the physical properties of pure ionic liquids. Some studies report molar conductivity data for pure ionic liquids or two-component IL mixtures with various solvents [30,31,32,33,34,35,36,37,38,39,40].
In this article, we focus on investigating the electrical conductivity of imidazole-derived ionic liquids over a wide temperature range, ranging from 278.15 K to 313.15 K. Electrical conductivity measurements were performed using conductometric techniques, enabling the precise determination of changes in conductivity properties as a function of temperature.
The goal of our research is not only to provide new data regarding the electrical conductivity of imidazole-derived ionic liquids but also to deepen our understanding of their thermodynamic behavior in the context of temperature variations. The conductometric method employed in our study allows the determination of the conductivity function, which is a crucial step in analyzing the properties of these liquids under different conditions.
The presented results have potential applications in the advancement of new electrochemical technologies and in the design of materials with controlled conducting properties. Furthermore, understanding the thermodynamic behavior of imidazole-derived ionic liquids may contribute to the improvement of the industrial processes in which these compounds find applications.
2. Results and Discussion
The density, viscosity and relative permittivity values for N,N-Dimethylformamide necessary to calculate the limiting conductivity and association constant values are compiled in Table 1. The values of the dielectric constant were obtained from the literature [40].
Table 1.
Density, (d), viscosity (η) and relative permittivity, (εr) [41], for N,N-Dimethylformamide in the temperature range from T = (278.15 to 313.15) K at p = 0.1 MPa a.
To convert molonity () into molarity (c), the values of density gradients (b) were determined independently and used in the following equation:
where q is the density of the solution.
Molarity (c) was needed for the conductivity equation. The density gradients and the molar conductivity of the imidazolium salts (Λm) are presented in Table 2 as a function of molality and are visible in Figures S1–S5.
Table 2.
Molar conductances, (Λm), and corresponding molalites, (m), for studied ILs in N,N-Dimethylformamide over the temperature range from T = (278.15 to 313.15) K at pressure p = 101.3 kPa a.
As evident, the molar conductivity values exhibit a linear trend with respect to concentration. These values increase with temperature but also decrease with the rise in the molecular weight of the investigated ionic liquid.
The conductance data were analyzed using the Fuoss–Justice equation [42,43], following the low-concentration chemical model (lcCM) used for the electrical conductivity calculations [44], applying the following equations:
and
In these equations, Λo is the limiting molar conductivity, α is the degree of electrolyte dissociation, KA is the constant of ionic association, R is the ion distance parameter [45], y± is the ion activity on a molar scale, and A and B are the coefficients of the Barethe–Hückel equation. The analytical form of the parameters S, E, J and J3/2 is presented in works [46,47,48]. The values of Λo, KA and R were obtained using the well-known procedure provided by Fuoss [42] and are presented in Table 3. As indicated in Table 3, the association constants are practically negligible, suggesting that these electrolytes exist predominantly as free ions in DMF.
Table 3.
Limiting molar conductances, (Λo), association constants, (KA), and Walden products, (Λoη), for studied ILs in N,N-Dimethylformamide in the temperature range from T = (278.15 to 313.15) K, with their standard error, (σ).
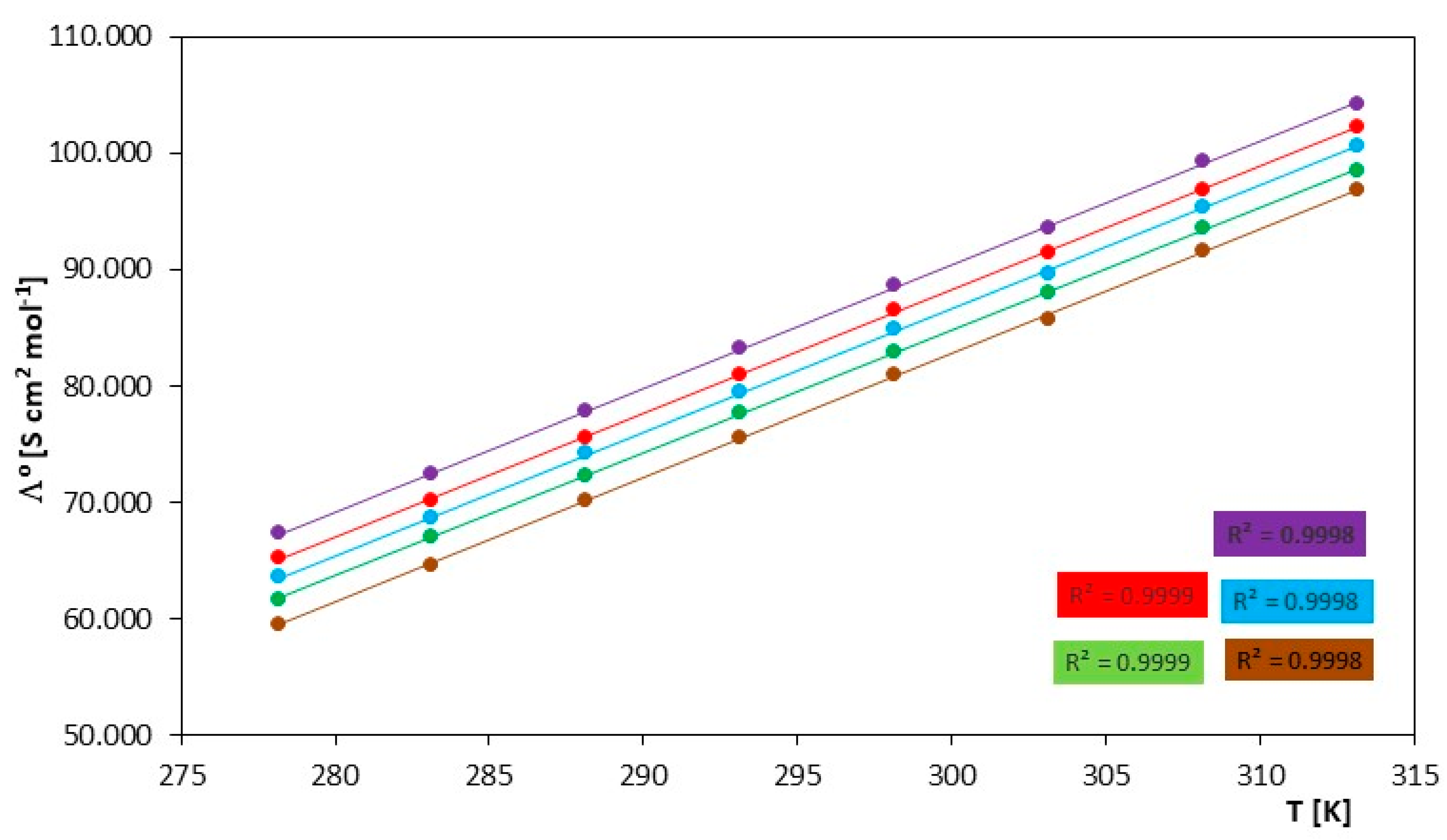
The molar conductivity values presented in Figures S1–S5 exhibit a linear trend, decreasing as the concentration increases. Analyzing the limiting molar conductivity values presented in Table 3 and Figure 1, these values increase with increasing temperature and also with the increasing molecular weight of the investigated ionic liquid. This is consistent with the assumptions of the theory of molar conductivity. The increase in temperature is responsible for the enhanced mobility of free ions. It is observed that the limiting molar conductivity values decrease with the elongation of the chain length of the investigated ionic liquids but also increase with temperature within a single ionic liquid.
Figure 1.
Temperature dependence of limiting molar conductances, (Λo), for investigated ILs in N,N-Dimethylformamide, for IL: (⬤) [mim][Cl], (⬤) [emim][Cl], (⬤) [bmim][Cl], (⬤) [hmim][Cl] and (⬤) [omim][Cl].
The analysis of the parameters of the Walden product parameters (Λ₀·η) in Table 3 and Figure 2 reveals that within the temperature range of 278.15–295.15 K, these values show an increasing trend. However, after exceeding the temperature of 295.15 K, these values stabilize, suggesting that the mobility is influenced by the viscosity of the solvent itself, namely DMF, in this case. This implies that the discussed imidazole-derived ionic liquids are minimally solvated by the molecules of the solvent. Similar properties were observed when other solvents used these ionic liquids [49,50].
Figure 2.
The course of changes in the value of the Walden product as a function of temperature for the investigated ILs in N,N-Dimethylformamide, for IL: (⬤) [mim][Cl], (⬤) [emim][Cl], (⬤) [bmim][Cl], (⬤) [hmim][Cl] and (⬤) [omim][Cl].
The analysis of the values of the association constant (KA) in Table 3 and Figure 3 indicates that the association constant increases with temperature. This suggests that at higher temperatures, the discussed ionic liquids have an enhanced ability to form associative compounds. The increase in the association constant may affect the stability of the ions, which, in turn, can affect their conductivity. The increase in KA influences the dielectric properties of the liquid, which, in turn, may translate into electrical conductivity values.
Figure 3.
Course of changes in association constants, (KA), as a function of temperature for the investigated ILs in N,N-Dimethylformamide, for IL: (⬤) [mim][Cl], (⬤) [emim][Cl], (⬤) [bmim][Cl], (⬤) [hmim][Cl] and (⬤) [omim][Cl].
An increase in the association constant is associated with a substance’s greater ability to form associative compounds, influencing its structure and intermolecular interactions. Associative compounds can lead to increased molecular polarizability, affecting the dielectric constant [51,52].
The dielectric properties of a substance directly affect its ability to conduct electricity. An increase in the dielectric constant typically corresponds to better insulating properties (lower electrical conductivity). In the case of ionic liquids, a high dielectric constant may favor ion solvation and increase ion stability in the solution, affecting their conductivity. An increase in the association constant may lead to the formation of larger associative structures, which affects the mobility of ions. An enhanced ability to form associative compounds may also influence the equilibrium between ions and their associative structures, likely affecting electrical conductivity. Comparison with the literature values from previous works in the studied solvent with the discussed ionic liquids could not be made because these are the first works presented in the literature.
Using temperature measurements of electrical conductivity, we were able to determine the activation enthalpy of Eyring for charge transport.
where B is an empirical constant.
The values of were obtained from the slope of the linear function as a function of 1/T [K], as shown in Figure 4. It is evident that these values align linearly with a very high linear correlation close to unity.
Figure 4.
Plot of ln Λo + 2/3 lndo as a function of 1/T in N,N-Dimethylformamide, for IL: (⬤) [mim][Cl], (⬤) [emim][Cl], (⬤) [bmim][Cl], (⬤) [hmim][Cl] and (⬤) [omim][Cl].
The values of for the investigated ionic liquids in N,N-Dimethylformamide are shown in Table 4.
Table 4.
Transfer enthalpy values () for the investigated ionic liquids in the temperature range of 278.15 to 333.15 K.
They follow the order mim < emim < bmim < hmim < omim. For [mim], the value is the smallest. In contrast, for omim, the enthalpy of charge transfer is the largest. This result is due to the presence of a larger substituent in the [omim]+ cation compared to that in the [emim]+ cation. The opposite trend is observed when the diffusion coefficient values for the investigated ionic liquids are calculated. In this study, it was possible to estimate the diffusion coefficient values using the Nernst–Hartley relationship [53]:
where R is the gas constant, and F is the Faraday constant.
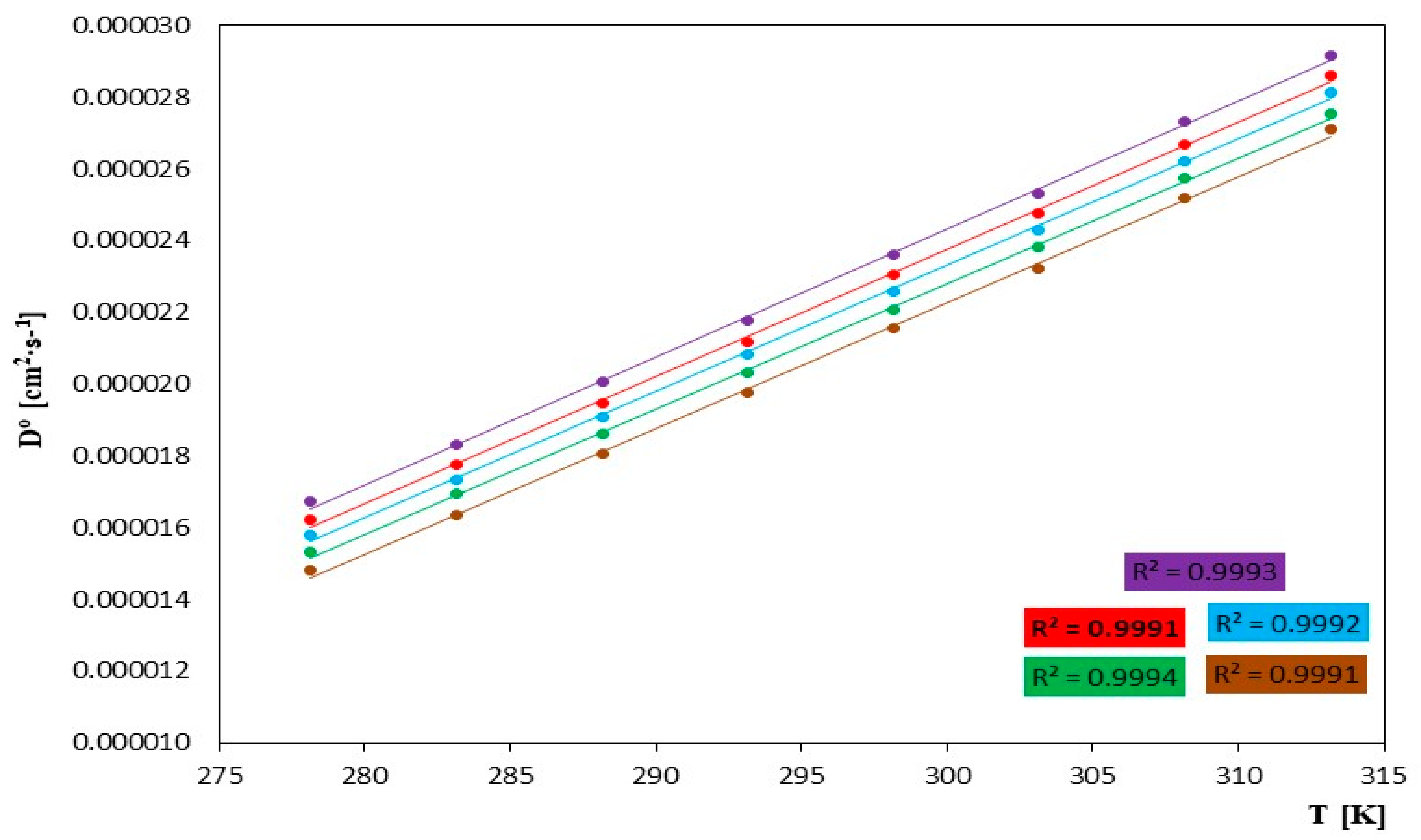
These D0 values decrease in the order mim > emim > bmim > hmim > omim and increase with an increase in temperature for a given ionic liquid. The decreases are attributed to the increase in the molecular weight of the investigated ionic liquid, as observed in Table 5 and Figure 5. An increase in the molecular weight of ionic liquid molecules generally leads to a slowing down of the diffusion process. This happens because molecules with greater mass face more difficulty in moving within the environment due to their mass and inertia. An increase in molecular weight can also lead to an increase in the viscosity of the ionic liquid, making diffusion more challenging.
Table 5.
The values of diffusion coefficient for ionic liquids, D0 [cm2·s−1], in N,N-Dimethylformamide over the temperature range from (278.15 to 313.15) K.
Figure 5.
The course of changes in the value of the diffusion coefficient D0 [cm2∙s−1] as a function of temperature T [K] for the tested ionic liquids in N,N-Dimethylformamide, for IL: (⬤) [mim][Cl], (⬤) [emim][Cl], (⬤) [bmim][Cl], (⬤) [hmim][Cl] and (⬤) [omim][Cl].
The diffusion rates increase with an increase in temperature, confirming the validity of the described relationship. The temperature significantly influences the diffusion process of ionic liquids. Changes in temperature affect the rate of this process and can also affect other properties of ionic liquids. An increase in temperature usually enhances the average kinetic energy of the ionic liquid molecules, accelerating their thermal motions and leading to faster diffusion. In practice, according to the Arrhenius equations, the diffusion rate is proportional to the exponential function of the temperature. Temperature can affect the viscosity of the liquid, which in turn influences the diffusion process. An increase in temperature typically results in a decrease in the viscosity of the liquid, facilitating molecular movement and increasing mobility.
The temperature dependence of the association constant was used to calculate the Gibbs free energy, ΔG0 [38]:
ΔG0(T) = −R T lnKA(T)
ΔG0(T) can also be expressed by the polynomial equation
ΔG0(T) = A + B T + C T2
The entropy, ΔS0, and enthalpy, ΔH0, of ion association are defined as
ΔH0 = ΔG0 + T ΔS0
The thermodynamic functions described above (ΔG0, ΔS0, ΔH0) were measured at the temperature range T = (278.15 K–313.15 K) and are presented in Table 6 and Figure 6, Figure 7, Figure 8.
Table 6.
Standard thermodynamic quantities for the ion-association reaction for studied ILs in N,N-Dimethylformamide over the temperature range from T = (278.15 to 313.15) K.
Figure 6.
Changes in the value of Gibbs free energy, ΔG0, for the investigated ILs in N,N-Dimethylformamide, for IL: (⬤) [mim][Cl], (⬤) [emim][Cl], (⬤) [bmim][Cl], (⬤) [hmim][Cl] and (⬤) [omim][Cl].
Figure 7.
Changes in the value of the entropy of ion association, ΔS0, for the investigated ILs in N,N-Dimethylformamide, for IL: (⬤) [mim][Cl], (⬤) [emim][Cl], (⬤) [bmim][Cl], (⬤) [hmim][Cl] and (⬤) [omim][Cl].
Figure 8.
Changes in the value of the enthalpy of ion association, ΔH0, for the investigated ILs in N,N-Dimethylformamide, for IL: (⬤) [mim][Cl], (⬤) [emim][Cl], (⬤) [bmim][Cl], (⬤) [hmim][Cl] and (⬤) [omim][Cl].
The thermodynamic values ΔG0 presented in Table 6 and Figure 6 indicate that the spontaneity of ionic pair formation is greater for ionic liquids containing a smaller cation, i.e., [mim]. An increase in temperature leads to a higher number of negative ΔG0 values, signifying a shift in thermodynamic equilibrium toward the formation of ionic pairs. As seen in Figure 7 and Figure 8, both the association entropy and the enthalpy values increase with increasing temperature for both investigated electrolytes.
ΔG0, ΔH0 and ΔS0 decrease with increasing temperature. This indicates that, for this ionic liquid, the reaction becomes more thermodynamically favorable at higher temperatures. The decrease in ΔH0 suggests that the ionization process is more endothermic at higher temperatures, and the decrease in ΔS0 indicates greater entropy ordering, as shown in Figure 7 and Figure 8 and Table 6. The reduction in ΔG0 values may indicate an increased spontaneity of the ionization process at higher temperatures.
In general, for all investigated ionic liquids, it can be observed that the ionization process becomes more thermodynamically favorable at higher temperatures, which may be significant in applications where temperature control is crucial for their properties. Positive values of ΔH0 indicate that the ion vaporization process is endothermic. At a temperature of 278.15 K, this process is more endothermic for [mim][Cl], while at a temperature of 318.15 K, it is more endothermic for [omim] [Cl]. From Equation (7), the results show that entropic effects seem to dominate over enthalpic effects, as the Gibbs free energy (ΔG0) is negative, indicating that the formation of ionic pairs is exothermic in both cases.
3. Materials and Methods
3.1. Materials
Conductometric measurements were performed using five ionic liquids: 1-methylimidazolium chloride, 1-ethyl-3-methylimidazolium chloride, 1-butyl-3-methylimidazolium chloride, 1-hexyl-3-methylimidazolium chloride and 1-methyl-3-octylimidazolium chloride. N,N-Dimethylformamide was employed as the solvent. All reagents used were of high purity. All the necessary details can be found in Table 7.
Table 7.
Structure and specification of used chemicals in this work.
3.2. Conductometric Measurements
All solutions were prepared using an analytical balance (Sartorius RC 210D)(Goettingen, Germany) with an accuracy of ±1·10−5 g. The measurement procedure was based on the method described by Bešter-Rogač et al. [54,55,56]. Electrical conductivity measurements were performed using a three-electrode cell constructed with PYREX glass and a Precise Component Analyzer bridge type 6430B (Wayne-Kerr, West Sussex, UK). The measurements were made at various frequencies, ν, (0.2, 0.5, 1, 2, 3, 5, 10 and 20) kHz. The temperature was maintained within 0.003 K using a calibrated UltraUB 20F with a circulating cooler DLK 25, Lauda, (Lauda-Königshofen, Germany) The experimental procedure for conductometric measurements is detailed in the literature [57,58,59]. The three-electrode conductometric cell was calibrated at each temperature using aqueous KCl solutions [60]. All measured conductivity values, λ = 1/R∞, resulted from extrapolating the cell resistance, R(ν), to infinite frequency, R∞ = limν→∞R(ν), using the empirical function R(ν) = R∞ + A/ν. All data were corrected for the specific conductivity of the solvent. Densities were measured using an Anton Paar DSA 5000M (Graz, Austria) equipped with a thermostat with temperature stability within ±0.001 K. The densimeter was calibrated using extra-pure water, previously degassed ultrasonically [61,62]. Viscosities were measured with a Viscometer AVS 350 (Schott Geräte, Mainz, Germany). The flow time of the liquid in the Ubbelohde capillary viscometer of the same company was optoelectronically recorded with an accuracy of 0.01 s [63]. The viscometer with the measurement stand was immersed in a water-filled thermostat. The temperature was controlled by a Circulator DC 30 thermostat head (HAKE, Bremerhaven, Germany). The temperature was maintained with a Julabo F32 precision thermostat (Julabo Labortechnik GmbH, Seelbach, Germany). The temperature control accuracy was 0.01 K. The error in the relative viscosity was estimated at 0.01%.
4. Conclusions
The molar conductivity of the ionic liquid solutions, derivatives of imidazole in DMF, was provided at temperatures ranging from 278.15 K to 313.15 K. Conductivity data were analyzed using the Fuoss–Justice equation. It was observed that the limiting molar conductivity values increase with temperature but exhibit an inverse trend because of the elongation of the alkyl chain in the investigated ionic liquid. The association constants increase with temperature (as the relative permeability of the solvent decreases), but, similar to electrical conductivity, they decrease with increasing the alkyl chain length of the IL. The determined values of the Walden products for the discussed imidazole-derived ionic liquids in N,N-Dimethylformamide illustrate the influence of viscosity on associative-solvation effects. On the basis of these values, one can infer how the diffusion phenomenon occurs for the analyzed ionic liquids. Conductometric measurements were used to determine and analyze thermodynamic functions such as ΔG0, ΔH0 and ΔS0. The ΔH0 values are positive, suggesting that the process of ion pair formation is endothermic. Negative values of the Gibbs free energy indicate the predominance of entropic effects over enthalpic effects during the analysis of the behavior of ionic liquids in N,N-Dimethylformamide.
The results obtained can have practical applications in the context of sustainable development in several aspects.
First, data regarding the conductivity of ionic liquids can be utilized in the development of more efficient industrial processes, especially in the separation and processing of chemical substances. Optimizing these processes based on the obtained results can help minimize energy consumption and reduce the emission of harmful substances into the environment.
Second, thermodynamic results can be employed in designing more sustainable chemical processes, as they allow a better understanding of the thermodynamic behaviors and phase equilibria in a given system. The unique properties of ionic liquids identified in the research can serve as a basis for the development of new, more environmentally friendly solutions in the chemical industry.
Additionally, in the context of sustainable development, the data obtained can support research on the possibilities of recycling and reusing imidazolium chloride ionic liquids. Understanding their behaviors under different temperature conditions can lead to the development of effective methods for the recovery and regeneration of these ionic liquids, contributing to the reduction in chemical waste.
Supplementary Materials
The following supporting information can be downloaded at https://www.mdpi.com/article/10.3390/molecules29061371/s1, Figure S1. Temperature dependence of molar conductances, Λm/S·cm2·mol−1 for [mim][Cl] in N,N-Dimethylformamide for (⬤) 278.15 K, (⬤) 283.15 K, (⬤) 288.15 K, (⬤) 293.15.15, K (⬤) 298.15 K, (⬤) 303.15 K, (⬤) 308.15 K and (⬤) 313.15 K; Figure S2. Temperature dependence of molar conductances, Λm/S·cm2·mol−1 for [emim][Cl] in N,N-Dimethylformamide for (■) 278.15 K, (■) 283.15 K, (■) 288.15 K, (■) 293.15.15 K, (■) 298.15 K, (■) 303.15 K, (■) 308.15 K and (■) 313.15 K; Figure S3. Temperature dependence of molar conductances, Λm/S·cm2·mol−1 for [bmim][Cl] in N,N-Dimethylformamide for (▲) 278.15 K, (▲) 283.15 K, (▲) 288.15 K, (▲) 293.15.15 K, (▲) 298.15 K, (▲) 303.15 K, (▲) 308.15 K and (▲) 13.15 K; Figure S4. Temperature dependence of molar conductances, Λm/S·cm2·mol−1 for [hmim][Cl] in N,N-Dimethylformamide for (♦) 278.15 K, (♦) 283.15 K, (♦) 288.15 K, (♦) 293.15.15 K, (♦) 298.15 K, (♦) 303.15 K, (♦) 308.15 K and (♦) 313.15 K; Figure S5. Temperature dependence of molar conductances, Λm/S·cm2·mol−1 for [omim][Cl] in N,N-Dimethylformamide for (✴) 278.15 K, (✴) 283.15 K, (✴) 288.15 K, (✴) 293.15.15 K, (✴) 298.15 K, (✴) 303.15 K, (✴) 308.15 K and (✴) 313.15 K.
Funding
This research received no external funding.
Institutional Review Board Statement
Not applicable.
Informed Consent Statement
Not applicable.
Data Availability Statement
Data are contained within the article and Supplementary Materials.
Conflicts of Interest
The author declares no conflicts of interest.
References
- Welton, T. Ionic liquids in catalysis. Coord. Chem. Rev. 2004, 248, 2459–2477. [Google Scholar] [CrossRef]
- Yau, H.M.; Howe, A.G.; Hook, J.M.; Croft, A.K.; Harper, J.B. Solvent reorganisation as the driving force for rate changes of Menschutkin reactions in an ionic liquid. Org. Biomol. Chem. 2009, 7, 3572–3575. [Google Scholar] [CrossRef] [PubMed]
- Bini, R.; Chiappe, C.; Pomelli, C.S.; Parisi, B. Effect of Ionic Liquids on the Menschutkin Reaction: An Experimental and Theoretical Study. J. Org. Chem. 2009, 74, 8522–8530. [Google Scholar] [CrossRef]
- Holbrey, J.D.; Seddon, K.R. The phase behaviour of 1-alkyl-3-methylimidazolium tetrafluoroborates; ionic liquids and ionic liquid crystals. J. Chem. Soc. Dalton Trans. 1999, 13, 2133–2140. [Google Scholar] [CrossRef]
- Rogers, R.D.; Seddon, K.R. Ionic Liquids-Solvents of the Future? Science 2003, 302, 792–793. [Google Scholar] [CrossRef]
- Moniruzzaman, M.; Goto, M. Ionic liquids: Future solvents and reagents for pharmaceuticals. J. Chem. Eng. Jpn. 2011, 44, 370–381. [Google Scholar] [CrossRef]
- Seddon, K.R. Ionic Liquids for Clean Technology. J. Chem. Technol. Biotechnol. 1997, 68, 351–356. [Google Scholar] [CrossRef]
- Domańska, U. Thermophysical properties and thermodynamic phase behavior of ionic liquids. Thermochim. Acta 2006, 448, 19–30. [Google Scholar] [CrossRef]
- Pernak, J.; Sobaszkiewicz, K.; Foksowicz-Flaczyk, J. Ionic Liquids with Symmetrical Dialkoxymethyl-Substituted Imidazolium Cations. Chem. Eur. J. 2004, 10, 3479–3485. [Google Scholar] [CrossRef]
- Hussey, C.L. Room temperature haloaluminate ionic liquids. Novel solvents for transition metal solution chemistry. Pure Appl. Chem. 1988, 60, 1763–1772. [Google Scholar] [CrossRef]
- Seddon, K.R. Room-Temperature Ionic Liquids: Neoteric Solvents for Clean Catalysis. Kinet. Catal. Engl. Transl. 1996, 37, 693–697. [Google Scholar]
- Kumar, V.; Malhotra, S.V. Synthesis of nucleoside-based antiviral drugs in ionic liquids. Bioorganic Med. Chem. Lett. 2008, 18, 5640–5642. [Google Scholar] [CrossRef]
- Mohan, R.S.; Chowdhury, S.; Scott, J.L. Reactivity of Ionic Liquids. Tetrahedron Lett. 2007, 63, 2363–2381. [Google Scholar]
- Giernoth, R. Homogeneous catalysis in ionic liquids. Top. Curr. Chem. 2007, 276, 1–23. [Google Scholar]
- Wasserscheid, P.; Van Hal, R.; Bösmann, A. 1-n-Butyl-3-methylimidazolium ([bmim]) octylsulfate—An even ‘greener’ionic liquid. Green Chem. 2002, 4, 400–404. [Google Scholar] [CrossRef]
- Welton, T. Ionic liquids: A brief history. Biophys. Rev. 2018, 10, 691–706. [Google Scholar] [CrossRef] [PubMed]
- Zhao, H. Innovative Applications of Ionic Liquids as ‘‘Green’’ Engineering Liquids. Chem. Eng. Comm. 2006, 193, 1660–1677. [Google Scholar] [CrossRef]
- Wishart, J.F. Energy applications of ionic liquids. Energy Environ. Sci. 2009, 2, 956–961. [Google Scholar] [CrossRef]
- Schlücker, E. Method for High-Pressure Pulsation Testing of Machinery Components. WO2008083961 A1, 17 July 2008. [Google Scholar]
- Domańska, U.; Wiśniewska, A.; Dąbrowski, Z.; Więckowski, M. Ionic Liquids as Efficient Extractants for Quercetin from Red Onion (Allium cepa L.). J. Appl. Sol. Chem. Model. 2018, 7, 21–38. [Google Scholar] [CrossRef]
- Karpińska, M.; Domańska, U. Liquid-liquid extraction of styrene from ethylbenzene using ionic liquids. J. Chem. Thermodyn. 2018, 124, 153–159. [Google Scholar] [CrossRef]
- Domańska, U.; Wlazło, M.; Karpińska, M.; Zawadzki, M. New ionic liquid [P4,4,4,4][NTf2] in bio-butanol extraction on investigation of limiting activity coefficients. Fluid Phase Equilib. 2018, 475, 89–94. [Google Scholar] [CrossRef]
- Sun, X.; Luo, H.; Dai, S. Ionic liquids-based extraction: A promising strategy for the advanced nuclear fuel cycle. Chem. Rev. 2011, 112, 2100–2128. [Google Scholar] [CrossRef]
- Lee, J.H.; Ryu, J.B.; Lee, A.S.; Na, W.; Yoon, H.S.; Kim, W.J.; Koo, C.M. High–voltage ionic liquid electrolytes based on ether functionalized pyrrolidinium for electric double–layer capacitors. Electrochim. Acta 2016, 222, 1847–1852. [Google Scholar] [CrossRef]
- Guglielmero, L.; Mero, A.; Mezzetta, A.; Tofani, G.; D’Andrea, F.; Pomelli, C.S.; Guazzelli, G. Novel access to ionic liquids based on trivalent metal–EDTA complexes and their thermal and electrochemical characterization. J. Mol. Liq. 2021, 340, 117210. [Google Scholar] [CrossRef]
- Szejgis, A.; Bald, A.; Gregorowicz, J. Conductivity properties of some tetraalkylammonium iodides in the water + N,N-dimethylformamide mixtures at 298.15 K. Phys. Chem. Liq. 1997, 35, 165–173. [Google Scholar] [CrossRef]
- Szejgis, A.; Bald, A.; Gregorowicz, J.; Kinart, C.M. Conductivity studies on LiBr, NaBr, KBr and CsBr solutions in binary mixtures of N,N-dimethylformamide with water at 298.15 K. Phys. Chem. Liq. 1997, 34, 189–199. [Google Scholar] [CrossRef]
- Szejgis, A.; Bald, A.; Gregorowicz, J. Conductance studies of i-Am3BuNI and NaBPh4 and the limiting ionic conductance in Water + DMF mixtures at 298.15 K. J. Mol. Liq. 1998, 75, 237–252. [Google Scholar] [CrossRef]
- Szejgis, A.; Bald, A.; Gregorowicz, J.; Zurada, M. Conductance studies in mixtures of water with DMF at 298.15 K. Part VI. Lithium and sodium nitrates, sodium perchlorate and propionate, potassium picrate and thiocyanate, and limiting ionic conductance. J. Mol. Liq. 1999, 79, 123–136. [Google Scholar] [CrossRef]
- Widegren, J.A.; Saurer, E.M.; Marsh, K.N.; Magee, J.W. Electrolytic conductivity of four imidazolium-based room-temperature ionic liquids and the effect of a water impurity. J. Chem. Thermodyn. 2005, 37, 569–575. [Google Scholar] [CrossRef]
- Stoppa, A.; Zech, O.; Kunz, W.; Buchner, R. The conductivity of imidazolium-based ionic liquids from (−35 to 195)°C. A. Variation of cation’s alkyl chain. J. Chem. Eng. Data 2010, 55, 1768–1773. [Google Scholar] [CrossRef]
- Xu, H.; Zhao, D.; Xu, P.; Liu, F.; Gao, G. Conductivity and viscosity of 1-allyl-3-methyl-imidazolium chloride + water and + ethanol from 293.15 K to 333.15 K. J. Chem. Eng. Data 2005, 50, 133–135. [Google Scholar] [CrossRef]
- Soriano, A.N.; Agapito, A.M.; Lee, L.J.; Lagumbay, I.; Caparanga, A.R.; Li, M.H. Diffusion coefficients of aqueous ionic liquid solutions at infinite dilution determined from electrolytic conductivity measurements. J. Taiwan Inst. Chem. Eng. 2011, 42, 258–264. [Google Scholar] [CrossRef]
- Stoppa, A.; Hunger, J.; Buchner, R. Conductivities of binary mixtures of ionic liquids with polar solvents. J. Chem. Eng. Data 2009, 54, 472–479. [Google Scholar] [CrossRef]
- Vila, J.; Ginés, P.; Rilo, E.; Cabeza, O.; Varela, L.M. Great increase of the electrical conductivity of ionic liquids in aqueous solutions. Fluid Phase Equilib. 2006, 247, 32–39. [Google Scholar] [CrossRef]
- Wong, C.L.; Soriano, A.N.; Li, M.H. Infinite dilution diffusion coefficients of [bmim]-based ionic liquids in water and its molar conductivities. J. Taiwan Inst. Chem. Eng. 2009, 40, 77–83. [Google Scholar] [CrossRef]
- Comminges, C.; Barhdadi, R.; Laurent, M.; Troupel, M. Determination of viscosity, ionic conductivity, and diffusion coefficients in some binary systems: Ionic liquids + molecular solvents. J. Chem. Eng. Data 2006, 51, 680–685. [Google Scholar] [CrossRef]
- Zhu, A.; Wang, J.; Han, L.; Fan, M. Measurements and correlation of viscosities and conductivities for the mixtures of imidazolium ionic liquids with molecular solutes. Chem. Eng. J. 2009, 147, 27–35. [Google Scholar] [CrossRef]
- Jarosik, A.; Krajewski, S.R.; Lewandowski, A.; Radzimski, P. Conductivity of ionic liquids in mixtures. J. Mol. Liq. 2006, 123, 43–50. [Google Scholar] [CrossRef]
- Zhang, J.; Wu, W.; Jiang, T.; Gao, H.; Liu, Z.; He, J.; Han, B. Conductivities and viscosities of the ionic liquid [bmim][PF6] + water + ethanol and [bmim][PF6] + water + acetone ternary mixtures. J. Chem. Eng. Data 2003, 48, 1315–1317. [Google Scholar] [CrossRef]
- Shekaari, H.; Armanfar, E. Physical properties of aqueous solutions of ionic liquid, 1-propyl-3-methylimidazolium methyl sulfate, at T = (298.15 to 328.15) K. J. Chem. Eng. Data 2010, 55, 765–772. [Google Scholar] [CrossRef]
- Kinart, Z. Conductometric studies of dissociation constants of selected monocarboxylic acids a wide range of temperatures. J. Mol. Liq. 2019, 292, 111405. [Google Scholar] [CrossRef]
- Apelblat, A. Dissociation constants and limiting conductances of organic acids in water. J. Mol. Liq. 2002, 95, 99–145. [Google Scholar] [CrossRef]
- Barthel, J.M.G.; Krienke, H.; Kunz, W. Physical Chemistry of Electrolyte Solutions: Modern Aspects; Springer: New York, NY, USA, 1998. [Google Scholar]
- Bešter-Rogač, M.; Fedotova, M.V.; Kruchinin, S.E.; Klähn, M. Mobility and association of ions in aqueous solutions: The case of imidazolium based ionic liquids. Phys. Chem. Chem. Phys. 2016, 18, 28594–28605. [Google Scholar] [CrossRef] [PubMed]
- Justice, J.C. An interpretation for the distance parameter of the Fuoss-Onsager conductance equation in the case of ionic association. Electrochim. Acta 1971, 16, 701–712. [Google Scholar] [CrossRef]
- Renard, E.; Justice, J.C. A comparison of the conductimetric behavior of cesium chloride in water–tetrahydrofuran, water–dioxane, and water–1,2-dimethoxyethane mixtures. J. Solut. Chem. 1974, 3, 633–647. [Google Scholar] [CrossRef]
- Fuoss, R.M.; Accascina, L. Electrolytic Conductance; Interscience: New York, NY, USA, 1959. [Google Scholar]
- Kinart, Z. Electrical Conductivity of Ionic Liquids 1-Hexyl-3-Methylimidazolium Chloride (HMIM) and 1-Methyl-3-Octylimidazolium Chloride (OMIM) in Mixtures with Selected Alkoxy Alcohols over a Wide Temperature Range. Molecules 2023, 28, 7831. [Google Scholar] [CrossRef] [PubMed]
- Boruń, A.; Bald, A. Ionic association and conductance of ionic liquids in dichloromethane at temperatures from 278.15 to 303.15 K. Ionics 2016, 22, 859–867. [Google Scholar] [CrossRef]
- Vraneš, M.; Kinart, Z.; Borović, T.T.; Papović, S.; Tomaš, R. The physicochemical properties of selected imidazolium chloride ionic liquids in tetraethylene glycol: Experimental and computational approach. J. Mol. Liq. 2023, 372, 120763. [Google Scholar] [CrossRef]
- Tomaš, R.; Kinart, Z.; Tot, A.; Papović, S.; Borović, T.T.; Vraneš, M. Volumetric properties, conductivity and computation analysis of selected imidazolium chloride ionic liquids in ethylene glycol. J. Mol. Liq. 2022, 345, 118178. [Google Scholar] [CrossRef]
- Harned, H.S.; Owen, B.B. The Physical Chemsitry of Electrolytic Solutions, 3rd ed.; Reinhold: New York, NY, USA, 1958. [Google Scholar]
- Bešter-Rogač, M.; Hunger, J.; Stoppa, A.; Buchner, R. 1-Ethyl-3-methylimidazolium ethylsulfate in water, acetonitrile, and dichloromethane: Molar conductivities and association constants. J. Chem. Eng. Data 2011, 56, 1261–1267. [Google Scholar] [CrossRef]
- Bešter-Rogač, M.; Habe, D. Modern advances in electrical conductivity measurements of solutions. Acta Chim. Slov. 2006, 53, 391–395. [Google Scholar]
- Bald, A.; Kinart, Z. Conductance studies of NaCl, KCl, NaBr, KBr, NaI, Bu4NI, and NaBPh4 in water + 2-propoxyethanol mixtures at 298.15 K. Ionics 2015, 21, 2781–2787. [Google Scholar] [CrossRef]
- Boruń, A.; Bald, A. Triple ion formation in solutions of [emim][BF4] and [bmim][BF4] in dichloromethane at various temperatures. A new method of analysis of conductivity data International. J. Electrochem. Sci. 2016, 11, 7714–7725. [Google Scholar] [CrossRef]
- Kinart, Z.; Tomaš, R. Conductivity properties of selected aliphatic monocarboxylic acid anions in water at 298.15 K. Int. J. Electrochem. Sci. 2020, 15, 10007–10027. [Google Scholar] [CrossRef]
- Kinart, Z. Conductance studies of sodium salts of some aliphatic carboxylic acids in water at different temperatures. J. Mol. Liq. 2017, 248, 1059–1064. [Google Scholar] [CrossRef]
- Barthel, J.; Feuerlein, F.; Neueder, R.; Wachter, R. Calibration of conductance cells at various temperatures. J. Solut. Chem. 1980, 9, 209–219. [Google Scholar] [CrossRef]
- Bald, A.; Kinart, Z.; Tomaš, R. Volumetric studies of aqueous solutions of monosodium salts of some aliphatic dicarboxylic acids at 298.15 K. A new method of data analysis. J. Mol. Liq. 2013, 178, 94–98. [Google Scholar] [CrossRef]
- Kinart, Z.; Bald, A. Apparent molal volumes of sodium salts of some aliphatic carboxylic acids in water at 298.15 K. Phys. Chem. Liq. 2011, 49, 366–378. [Google Scholar] [CrossRef]
- Kinart, Z.; Bald, A.; Domańska, A. Viscosity coefficients of KCl, NaCl, NaI, NaBr, KNO3, LiNO3, AgNO3, NaClO4, NaBPh4, Bu4NI and Et4NI in rich of water binary mixtures containing propan-1-ol at 298.15 K. Phys. Chem. Liq. 2016, 54, 14–26. [Google Scholar] [CrossRef]
Disclaimer/Publisher’s Note: The statements, opinions and data contained in all publications are solely those of the individual author(s) and contributor(s) and not of MDPI and/or the editor(s). MDPI and/or the editor(s) disclaim responsibility for any injury to people or property resulting from any ideas, methods, instructions or products referred to in the content. |
© 2024 by the author. Licensee MDPI, Basel, Switzerland. This article is an open access article distributed under the terms and conditions of the Creative Commons Attribution (CC BY) license (https://creativecommons.org/licenses/by/4.0/).













