Effects of Ti3C2Tx MXene Addition to a Co Complex/Ionic Liquid-Based Electrolyte on the Photovoltaic Performance of Solar Cells
Abstract
1. Introduction
2. Results and Discussion
2.1. Photovoltaic Performance of DSCs Based on Ti3C2Tx-Incorporated Co3+/I− Redox Mediators
2.2. Effects of Ti3C2Tx Incorporation on the Jsc of Co-DSCs
2.3. Effects of Ti3C2Tx Incorporation on the Voc of Co-DSCs
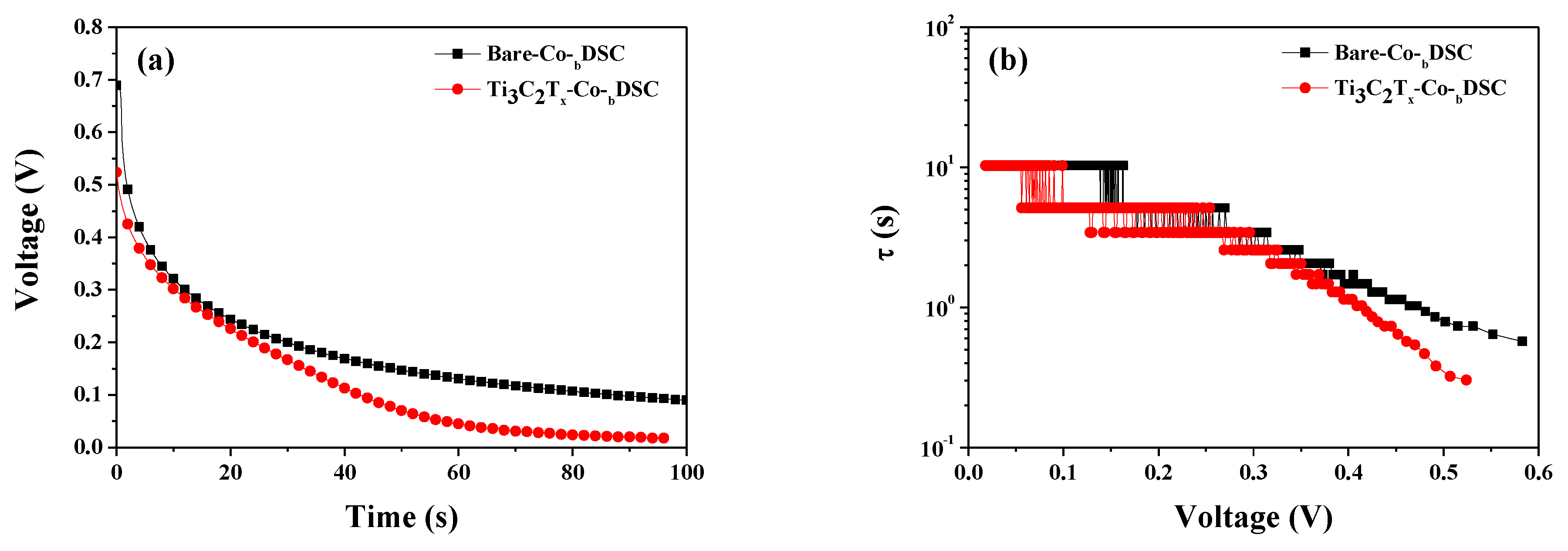
2.4. Long-Term Stability of the Bare and Ti3C2Tx-Co-bDSCs
3. Materials and Methods
3.1. Materials
3.2. Preparation of Co3+/I−-Based Liquid Electrolytes with or without Ti3C2Tx
3.3. Fabrication of DSCs
3.4. Measurements
4. Conclusions
Supplementary Materials
Author Contributions
Funding
Institutional Review Board Statement
Informed Consent Statement
Data Availability Statement
Conflicts of Interest
References
- Naguib, M.; Kurtoglu, M.; Presser, V.; Lu, J.; Niu, J.; Heon, M.; Hultman, L.; Gogotsi, Y. Two-dimensional nanocrystals produced by exfoliation of Ti3AlC2. Adv. Mater. 2011, 23, 4248–4253. [Google Scholar] [CrossRef] [PubMed]
- Papadopoulou, K.A.; Chroneos, A.; Parfitt, D.; Christopoulos, S.-R.G. A perspective on MXenes: Their synthesis, properties, and recent applications. J. Appl. Phys. 2020, 128, 170902. [Google Scholar] [CrossRef]
- Jun, B.-M.; Kim, S.; Heo, J.; Park, C.M.; Her, N.; Jang, M.; Huang, Y.; Han, J.; Yoon, Y. Review of MXenes as new nanomaterials for energy storage/delivery and selected environmental applications. Nano Res. 2019, 12, 471–487. [Google Scholar] [CrossRef]
- Jimmy, J.; Kandasubramanian, B. MXene functionalized polymer composites: Synthesis and applications. Eur. Polym. J. 2020, 122, 109367. [Google Scholar] [CrossRef]
- Saeed, M.A.; Shahzad, A.; Rasool, K.; Mateen, F.; Oh, J.-M.; Shim, J.W. 2D MXene: A potential candidate for photovoltaic cells? a critical review. Adv. Sci. 2022, 9, 2104743. [Google Scholar] [CrossRef] [PubMed]
- Yin, L.; Li, Y.; Yao, X.; Wang, Y.; Jia, L.; Liu, Q.; Li, J.; Li, Y.; He, D. MXenes for solar cells. Nano-Micro Lett. 2021, 13, 78. [Google Scholar] [CrossRef]
- Shi, Z.; Khaledialidusti, R.; Malaki, M.; Zhang, H. MXene-based materials for solar cell applications. Nanomaterials 2021, 11, 3170. [Google Scholar] [CrossRef]
- Qamar, S.; Fatima, K.; Ullah, N.; Akhter, Z.; Waseem, A.; Sultan, M. Recent progress in use of MXene in perovskite solar cells: For interfacial modification, work-function tuning, and additive engineering. Nanoscale 2022, 14, 13018–13039. [Google Scholar] [CrossRef]
- Di, Y.; Qin, T. Efficient wide-spectrum dye-sensitized solar cell by plasmonic TiN@Ni-MXene as electrocatalyst. Ceram. Int. 2022, 48, 12635–12640. [Google Scholar] [CrossRef]
- Ma, J.-Y.; Sun, M.; Zhu, Y.-A.; Zhou, H.; Wu, K.; Xiao, J.; Wu, M. Highly effective 2D layer structured titanium carbide electrode for dye-sensitized and perovskite solar cells. ChemElectroChem 2020, 7, 1149–1154. [Google Scholar] [CrossRef]
- Nagalingam, S.P.; Grace, A.N. Poly(3,4-ethylenedioxythiophene) decorated MXene as an alternative counter electrode for dye-sensitized solar cells. Mater. Today Chem. 2022, 26, 101113. [Google Scholar] [CrossRef]
- Chen, T.; Tong, G.; Xu, E.; Li, H.; Li, P.; Zhu, Z.; Tang, J.; Qi, Y.; Jiang, Y. Accelerating hole extraction by inserting 2D Ti3C2-MXene interlayer to all inorganic perovskite solar cells with long-term stability. J. Mater. Chem. A 2019, 7, 20597–20603. [Google Scholar] [CrossRef]
- Jin, X.; Yang, L.; Wang, X.-F. Efficient two-dimensional perovskite solar cells realized by incorporation of Ti3C2Tx MXene as nano-dopants. Nano-Micro Lett. 2021, 13, 68. [Google Scholar] [CrossRef] [PubMed]
- Agresti, A.; Pazniak, A.; Pescetelli, S.; Di Vito, A.; Rossi, D.; Pecchia, A.; Auf der Maur, M.; Liedl, A.; Larciprete, R.; Kuznetsov, D.V.; et al. Titanium-carbide MXenes for work function and interface engineering in perovskite solar cells. Nat. Mater. 2019, 18, 1228–1234. [Google Scholar] [CrossRef] [PubMed]
- Hou, C.; Yu, H. Modifying the nanostructures of PEDOT:PSS/Ti3C2TX composite hole transport layers for highly efficient polymer solar cells. J. Mater. Chem. C 2020, 8, 4169–4180. [Google Scholar] [CrossRef]
- Hou, C.; Yu, H.; Huang, C. Solution-processable Ti3C2Tx nanosheets as an efficient hole transport layer for high-performance and stable polymer solar cells. J. Mater. Chem. C 2019, 7, 11549–11558. [Google Scholar] [CrossRef]
- Gong, J.; Sumathya, K.; Qiao, Q.; Zhou, Z. Review on dye-sensitized solar cells (DSSCs): Advanced techniques and research trends. Renew. Sustain. Energy Rev. 2017, 68, 234–246. [Google Scholar] [CrossRef]
- Sharma, K.; Sharma, V.; Sharma, S.S. Dye-sensitized solar cells: Fundamentals and current status. Nanoscale Res. Lett. 2018, 13, 381. [Google Scholar] [CrossRef]
- Wu, J.; Lan, Z.; Lin, J.; Huang, M.; Huang, Y.; Fan, L.; Luo, G. Electrolytes in dye-sensitized solar cells. Chem. Rev. 2015, 115, 2136–2173. [Google Scholar] [CrossRef]
- Iftikhar, H.; Sonai, G.G.; Hashmi, S.G.; Nogueira, A.F.; Lund, P.D. Progress on electrolytes development in dye-sensitized solar cells. Materials 2019, 12, 1998. [Google Scholar] [CrossRef]
- Wen, J.; Liu, Y.; Li, T.; Liu, C.; Wang, T.; Liu, Y.; Zhou, Y.; Li, G.; Sun, Z. Low cost and strongly adsorbed melamine formaldehyde sponge electrolyte for nontraditional quasi-solid dye-sensitized solar cells. ACS Appl. Energy Mater. 2023, 6, 4952–4960. [Google Scholar] [CrossRef]
- Wen, J.; Sun, Z.; Qiao, Y.; Zhou, Y.; Liu, Y.; Zhang, Q.; Liu, Y.; Jiao, S. Ti3C2 MXene-reduced graphene oxide composite polymer-based printable electrolyte for quasi-solid-State dye-sensitized solar cells. ACS Appl. Energy Mater. 2022, 5, 3329–3338. [Google Scholar] [CrossRef]
- Lee, Y.; Kwon, Y.; Cho, Y.; Ahn, K.-S.; Han, Y.S. Novel heterologous binary redox mediator based on an ionic liquid and cobalt complex for efficient organic-solvent-free dye-sensitized solar cells. J. Ind. Eng. Chem. 2022, 115, 263–271. [Google Scholar] [CrossRef]
- Noh, J.H.; Jeon, N.J.; Choi, Y.C.; Nazeeruddin, M.K.; Grätzel, M.; Seok, S.I. Nanostructured TiO2/CH3NH3PbI3 heterojunction solar cells employing spiro-OMeTAD/Co-complex as hole-transporting material. J. Mater. Chem. A 2013, 1, 11842–11847. [Google Scholar] [CrossRef]
- Zhang, Y.; Sun, Z.; Shi, C.; Yan, F. Highly efficient dye-sensitized solar cells based on low concentration organic thiolate/disulfide redox couples. RSC Adv. 2016, 6, 70460–70467. [Google Scholar] [CrossRef]
- Xu, D.; Zhang, H.; Chen, X.; Yan, F. Imidazolium functionalized cobalt tris(bipyridyl) complex redox shuttles for high efficiency ionic liquid electrolyte dye-sensitized solar cells. J. Mater. Chem. A 2013, 1, 11933–11941. [Google Scholar] [CrossRef]
- Chen, X.; Tang, Q.; He, B.; Lin, L.; Yu, L. Platinum-free binary Co-Ni alloy counter electrodes for efficient dye-sensitized solar cells. Angew. Chem. 2014, 126, 10975–10979. [Google Scholar] [CrossRef]
- Wang, H.; Liu, M.; Yan, C.; Bell, J. Reduced electron recombination of dye-sensitized solar cells based on TiO2 spheres consisting of ultrathin nanosheets with [001] facet exposed. Beilstein J. Nanotechnol. 2012, 3, 378–387. [Google Scholar] [CrossRef]
- Diamant, Y.; Chen, S.G.; Melamed, O.; Zaban, A. Core-shell nanoporous electrode for dye sensitized solar cells: The effect of the SrTiO3 shell on the electronic properties of the TiO2 core. J. Phys. Chem. B 2003, 107, 1977–1981. [Google Scholar] [CrossRef]
- Baek, G.W.; Kim, Y.-J.; Jung, K.-H.; Han, Y.S. Enhancement of solar cell performance through the formation of a surface dipole on polyacrylonitrile-treated TiO2 photoelectrodes. J. Ind. Eng. Chem. 2019, 73, 260–267. [Google Scholar] [CrossRef]
- Shin, S.; Kim, J.; Kwon, S.-J.; Ryu, K.H.; Choi, B.; Han, Y.S. Enhancement of photovoltaic performance of solvent-free dye-sensitized solar cells with doped poly(3-hexylthiophene). J. Ind. Eng. Chem. 2023, 123, 428–435. [Google Scholar] [CrossRef]
- Watson, D.F.; Meyer, G.J. Cation effects in nanocrystalline solar cells. Coord. Chem. Rev. 2004, 248, 1391–1406. [Google Scholar] [CrossRef]
- Lemos, H.G.; Ronchi, R.M.; Portugal, G.R.; Rossato, J.H.H.; Selopal, G.S.; Barba, D.; Venancio, E.C.; Rosei, F.; Arantes, J.T.; Santos, S.F. Efficient Ti3C2Tx MXene/TiO2 hybrid photoanodes for dye-sensitized solar cells. ACS Appl. Energy Mater. 2022, 5, 15928–15938. [Google Scholar] [CrossRef]
- Peng, T.; Shi, W.; Wu, S.; Ying, Z.; Ri, J.H. Sea urchin-like TiO2 microspheres as scattering layer of nanosized TiO2 film-based dye-sensitized solar cell with enhanced conversion efficiency. Mater. Chem. Phys. 2015, 164, 238–245. [Google Scholar] [CrossRef]
- Zaban, A.; Greenshtein, M.; Bisquert, J. Determination of the Electron lifetime in nanocrystalline dye solar cells by open-circuit voltage decay measurements. ChemPhysChem 2003, 4, 859–864. [Google Scholar] [CrossRef] [PubMed]
- Kim, J.Y.; Kim, K.H.; Kim, D.-H.; Han, Y.S. Effects of a dianion compound as a surface modifier on the back reaction of photogenerated electrons in TiO2-based solar cells. Arab. J. Chem. 2020, 13, 2340–2348. [Google Scholar] [CrossRef]
- Kim, K.S.; Song, H.; Nam, S.H.; Kim, S.-M.; Jeong, H.; Kim, W.B.; Jung, G.Y. Fabrication of an efficient light-scattering functionalized photoanode using periodically aligned ZnO hemisphere crystals for dye-sensitized solar cells. Adv. Mater. 2012, 24, 792–798. [Google Scholar] [CrossRef] [PubMed]
- Zhao, J.; Sun, B.; Qiu, L.; Cao, H.; Li, Q.; Chen, X.; Yan, F. Efficient light-scattering functionalized TiO2 photoanodes modified with cyanobiphenyl-based benzimidazole for dye-sensitized solar cells with additive-free electrolytes. J. Mater. Chem. 2012, 22, 18380–18386. [Google Scholar] [CrossRef]
- Tian, H.; Hu, L.; Zhang, C.; Liu, W.; Huang, Y.; Mo, L.; Guo, L.; Sheng, J.; Dai, S. Retarded charge recombination in dye-sensitized nitrogen-doped TiO2 solar cells. J. Phys. Chem. C 2010, 114, 1627–1632. [Google Scholar] [CrossRef]
- Park, K.-H.; Dhayal, M. High efficiency solar cell based on dye sensitized plasma treated nano-structured TiO2 films. Electrochem. Commun. 2009, 11, 75–79. [Google Scholar] [CrossRef]
- Mandal, D.; Hamann, T.W. Charge distribution in nanostructured TiO2 photoanode determined by quantitative analysis of the band edge unpinning. ACS Appl. Mater. Interfaces 2016, 8, 419–424. [Google Scholar] [CrossRef] [PubMed]
- Jiang, X.; Kuklin, A.V.; Baev, A.; Ge, Y.; Ågren, H.; Zhang, H.; Prasad, P.N. Two-dimensional MXenes: From morphological to optical, electric, and magnetic properties and applications. Phys. Rep. 2020, 848, 1–58. [Google Scholar] [CrossRef]
- Yang, Q.; Zhang, F.; Zhang, N.; Zhang, H. Few-layer MXene Ti3C2Tx (T = F, O, or OH) saturable absorber for visible bulk laser. Opt. Mater. Express 2019, 9, 1795–1802. [Google Scholar] [CrossRef]
- Schultz, T.; Frey, N.C.; Hantanasirisakul, K.; Park, S.; May, S.J.; Shenoy, V.B.; Gogotsi, Y.; Koch, N. Surface termination dependent work function and electronic properties of Ti3C2Tx MXene. Chem. Mater. 2019, 31, 6590–6597. [Google Scholar] [CrossRef]








| Device | Measurement Condition | Redox Mediator | Jsc (mA/cm2) | Voc (V) | FF (%) | PCE (%) | Ref. | |
|---|---|---|---|---|---|---|---|---|
| Quasi-solid-state DSC | AM 1.5 | MF-sponge-based I−/I3− | Without Ti3C2Tx | 14.979 ± 0.175 | 0.778 ± 0.004 | 65.3 ± 0.3 | 7.610 ± 0.106 | [21] |
| With Ti3C2Tx | 15.085 ± 0.188 | 0.781 ± 0.003 | 66.4 ± 0.6 | 7.822 ± 0.092 | [21] | |||
| 1000 lux | MF-sponge-based I−/I3− | Without Ti3C2Tx | 0.177 ± 0.001 | 0.569 ± 0.007 | 70.3 ± 0.5 | 23.35 ± 0.43 | [21] | |
| With Ti3C2Tx | 0.196 ± 0.003 | 0.579 ± 0.004 | 71.9 ± 0.4 | 26.92 ± 0.43 | [21] | |||
| AM 1.5 | PEO/PVDH-HFP-based I−/I3− | Without rGO/Ti3C2Tx | - | - | - | - | - | |
| With rGO/Ti3C2Tx | 15.170 ± 0.203 | 0.783 ± 0.002 | 69.5 ± 0.5 | 8.255 ± 0.109 | [22] | |||
| 1000 lux | PEO/PVDH-HFP-based I−/I3− | Without Ti3C2Tx | - | - | - | - | - | |
| With rGO | 0.189 ± 0.002 | 0.544 ± 0.002 | 76.1 ± 0.4 | 23.22 ± 0.43 | [22] | |||
| With rGO/Ti3C2Tx | 0.223 ± 0.001 | 0.561 ± 0.004 | 75.7 ± 0.1 | 29.94 ± 0.49 | [22] | |||
| Liquid electrolyte DSC | AM 1.5 | Co3+/ I− (FK209/MPII) | Without Ti3C2Tx | 15.46 ± 1.04 | 0.760 ± 0.023 | 61.33 ± 3.70 | 7.18 ± 0.11 | This study |
| With Ti3C2Tx | 18.09 ± 0.94 | 0.746 ± 0.014 | 63.66 ± 2.69 | 8.58 ± 0.30 | This study | |||
| Devices | Jsc (mA/cm2) | Voc (V) | FF (%) | PCE (%) | |
|---|---|---|---|---|---|
| I-DSC | Without Ti3C2Tx | 18.84 ± 1.18 | 0.677 ± 0.018 | 57.70 ± 2.55 | 7.35 ± 0.39 |
| With Ti3C2Tx | 19.95 ± 0.78 | 0.651 ± 0.010 | 57.29 ± 2.59 | 7.43 ± 0.40 | |
| Co-DSC | Without Ti3C2Tx | 15.46 ± 1.04 | 0.760 ± 0.023 | 61.33 ± 3.70 | 7.18 ± 0.11 |
| With Ti3C2Tx | 18.09 ± 0.94 | 0.746 ± 0.014 | 63.66 ± 2.69 | 8.58 ± 0.30 | |
| Best-Performing Cells | Jsc (mA/cm2) | Voc (V) | FF (%) | PCE (%) |
|---|---|---|---|---|
| Bare Co-bDSC | 14.41 | 0.780 | 64.66 | 7.27 |
| Ti3C2Tx-Co-bDSC | 18.45 | 0.760 | 64.23 | 9.01 |
| EIS Measurement Condition | Devices | Rs (Ω) | R1 (Ω) | R2 (Ω) | R3 (Ω) |
|---|---|---|---|---|---|
| Open-circuit | Bare Co-bDSC | 10.24 | 4.28 | 30.88 | 6.79 |
| Ti3C2Tx-Co-bDSC | 10.77 | 3.32 | 22.02 | 6.24 | |
| Dark | Bare Co-bDSC | 11.40 | 5.42 | 51.21 | 3.16 |
| Ti3C2Tx-Co-bDSC | 10.82 | 3.44 | 48.22 | 3.14 |
Disclaimer/Publisher’s Note: The statements, opinions and data contained in all publications are solely those of the individual author(s) and contributor(s) and not of MDPI and/or the editor(s). MDPI and/or the editor(s) disclaim responsibility for any injury to people or property resulting from any ideas, methods, instructions or products referred to in the content. |
© 2024 by the authors. Licensee MDPI, Basel, Switzerland. This article is an open access article distributed under the terms and conditions of the Creative Commons Attribution (CC BY) license (https://creativecommons.org/licenses/by/4.0/).
Share and Cite
Gu, J.H.; Park, D.; Jung, K.-H.; Lee, B.C.; Han, Y.S. Effects of Ti3C2Tx MXene Addition to a Co Complex/Ionic Liquid-Based Electrolyte on the Photovoltaic Performance of Solar Cells. Molecules 2024, 29, 1340. https://doi.org/10.3390/molecules29061340
Gu JH, Park D, Jung K-H, Lee BC, Han YS. Effects of Ti3C2Tx MXene Addition to a Co Complex/Ionic Liquid-Based Electrolyte on the Photovoltaic Performance of Solar Cells. Molecules. 2024; 29(6):1340. https://doi.org/10.3390/molecules29061340
Chicago/Turabian StyleGu, Ju Hee, Dongho Park, Kyung-Hye Jung, Byung Chul Lee, and Yoon Soo Han. 2024. "Effects of Ti3C2Tx MXene Addition to a Co Complex/Ionic Liquid-Based Electrolyte on the Photovoltaic Performance of Solar Cells" Molecules 29, no. 6: 1340. https://doi.org/10.3390/molecules29061340
APA StyleGu, J. H., Park, D., Jung, K.-H., Lee, B. C., & Han, Y. S. (2024). Effects of Ti3C2Tx MXene Addition to a Co Complex/Ionic Liquid-Based Electrolyte on the Photovoltaic Performance of Solar Cells. Molecules, 29(6), 1340. https://doi.org/10.3390/molecules29061340

