Abstract
The synthesis of natural products with complicated architectures often requires the use of segments with functional groups that can be structurally transformed with the desired stereogenic centers. Bicyclic 𝛾-lactones have great potential as a suitable segment for natural product synthesis. However, the stereoselective construction of such functionalized bicyclic 𝛾-lactones is not as straightforward as one might expect. The template-mediated Diels–Alder reaction is one of the most powerful and versatile methods for providing bicyclic 𝛾-lactones with high regioselectivity and stereoselectivity. In this reaction, the diene is linked to the dienophile by a temporary tether, allowing the reaction to proceed efficiently, yielding a product that can be used for natural product synthesis. This review describes some important instances of the template-mediated Diels–Alder reaction and its application to the synthesis of biologically active compounds.
1. Introduction
Naturally occurring organic compounds are important as drug leads and tools for biological research [1,2,3,4]. However, natural products with promising biological activity can often require structural modification due to insufficient availability in nature, lack of chemical stability, or toxicity. In such cases, it is necessary to generate the desired molecules by means of precise chemical synthesis. Various catalysts for carbon–carbon-bond formation have been developed for the precise and efficient synthesis of natural products [5,6,7,8,9,10,11]. However, these methods are not always effective for substrates with multiple functional groups. Therefore, new catalysts for organic reactions are not always sufficient, and their development continues to be of great importance to the synthetic community.
The Diels–Alder reaction is regarded as one of the most important reactions in precise organic synthesis [12,13,14,15,16,17,18,19]. The focus of research on the Diels–Alder reaction has been the development of catalysts that can activate dienophiles. However, catalytic strategies that bring the diene and a dienophile into close proximity and activate the dienophile at the same time considerably increase the efficiency of the cycloaddition. One such strategy involves the use of a Lewis acid template (Figure 1). Substrates A and B meet via Lewis acid and are activated to form a new A–B bond. The newly formed A–B product is released and the catalyst is simultaneously regenerated. In this particular case, the Lewis acid acts as a template that activates the substrates as well as mediates spatial proximity.
Figure 1.
Illustration of a Lewis-acid-templated reaction.
This review focuses on such template-mediated Diels–Alder reactions and discusses their research progress to date. Among the wide variety of products that the template-mediated Diels–Alder reaction generates, bicyclic γ-lactones are of particular importance as intermediates in the synthesis of natural products and drug leads. Accordingly, we first describe the preparation of bicyclic γ-lactones and then discuss the templated Diels–Alder reaction as a means of producing them.
2. Synthesis of Bicyclic 𝛾-Lactones through the Diels–Alder Reaction
2.1. Bicyclic γ-Lactones as Intermediates in Natural Product Synthesis
The functional groups in the bicyclic 𝛾-lactone shown in Figure 2 (1), fused to an unsaturated six-membered ring, can be easily transformed into various substituents through chemical reactions. As a result, such bicyclic molecules have been utilized in the synthesis of many natural products, such as highly functionalized terpenoids and polyketides. Representative syntheses of natural products and natural-product-related substances, using a bicyclic 𝛾-lactone as a key intermediate, are the total synthesis of biflora-4,10(19),15-trien by Grieco [20]; the synthesis of the core of pillaromycinone by White [21,22]; the formal synthesis of A-seco mevinic acid by Potier [23]; the total synthesis of abyssomicin C (2) by Nicolaou [24,25,26]; the synthesis of the core of abyssomicin C (2) by Maier [27]; the synthesis of the core of hirsutellone B (3) by Roush [28]; the synthesis of truncated superstolide (4) by Jin [29]; the total synthesis of taxol (5) by Nicolaou [30,31,32,33,34]; the synthesis of simplified derivatives of gracilin A (6) by Romo [35]; the formal synthesis of triptolide by Sherburn [36]; a synthetic approach to himbacine by Sherburn [37]; a synthetic approach to the spirolide upper fragment by Ishihara [38]; the synthesis of the spirocyclic core of gymnodimime (8) and desmethylspirolide C (9) by Landais [39]; and the total synthesis of farnesin (7) by Gao [40].
Figure 2.
Representative natural products and natural-product-related substances synthesized using a bicyclic 𝛾-lactone as a key intermediate.
2.2. Diels–Alder Reactions That Produce Bicyclic γ-Lactones
As shown in Scheme 1, functionalized bicyclic 𝛾-lactones (1) are readily obtained by the intramolecular Diels–Alder (IMDA) reaction of the corresponding pentadienyl acrylate (10). However, their stereoselective construction is not as straightforward as one might expect. This is because the sp2 carbon of the internal carbonyl group leads to steric distortion during cyclization of the triene ester. The steric distortion of intramolecular reactions is more dominant than that of secondary orbital interactions, making the general endo rule less relevant. Accordingly, the thermal IMDA reaction of 2,4-pentadienyl acrylate 11 gives a mixture of the cis- and trans-fused adducts 12 and 13 in moderate yields [41,42]. Furthermore, the activation of such pentadienyl acrylates with Lewis acids does not promote the Diels–Alder reaction efficiently. This is because when the Lewis acid coordinates to the carbonyl group, s-trans-syn coordination is preferred to s-cis-syn coordination. This coordination makes it virtually impossible for the diene and dienophile connected by a three-atom chain to adopt a conformation that is suitable for the intramolecular cycloaddition [43]. Therefore, the construction of such bicyclic lactones via Diels–Alder reactions with Lewis acids requires ingenuity.
Scheme 1.
Intramolecular Diels–Alder (IMDA) reaction of pentadienyl acrylate.
There are many examples of the IMDA reaction being used for the formation of 𝛾-lactones and some are shown here. White et al. reported IMDA reactions of complicated substrates (Scheme 2) [44]. In this case, the IMDA reaction of pentadienyl acrylate 14 at 250 °C gave a mixture of three cycloadducts, 15, 16, and 17, in the ratio 2.3:1.4:1.0 in a 63% overall yield. They also performed a conformational analysis of the IMDA reaction with a simplified model substrate, reporting that the product ratios were in close agreement with those obtained by combined force field and density functional theory (DFT) calculations. Their energy calculations for the MM2* conformational global minima of the four cycloadducts showed that the β-endo cycloadduct was the most stable. Apart from the relative energy of the products, the transition states of each reaction were calculated by DFT at the Becke3LYP level, whereby the relative Boltzmann populations of which showed that the relative transition state energies for β-exo (19), β-endo (18), α-endo (20), and α-exo (21) at 250 °C were 2.3:0.2:0.2:0.06. The calculated results therefore show that when the reaction is under kinetic control, the β-exo trans-fused isomer (19) is the preferred product, despite its lower stability.
Scheme 2.
Conformational study results for an IMDA reaction by White et al. [44].
3. Selective IMDA Reactions of Pentadienyl Acrylates
3.1. Stereo-Directing Strategy
The functional group at C3 is known to have a significant influence on the stereochemical outcome of IMDA reactions. This influence has received considerable attention since Boeckman [45] and Roush [46,47] independently developed its stereo-directing effects. The stereo-directing group approach to the formation of bicyclic 𝛾-lactones has been demonstrated by Paddon-Row and Sherburn et al. (Scheme 3) [41]. The IMDA reaction of 5-methyl pentadienyl acrylate (22) afforded four isomers (23–26) in a 59% overall yield, with three of the isomers being produced in similar relative amounts. In stark construct, the thermal IMDA reaction of the substrate brominated at C3 proceeded more smoothly than the corresponding des-bromo substrate to provide two Diels–Alder cycloadducts in an 83% overall yield at a ratio of 81:19 (28, 30). Paddon-Row and Sherburn et al., also described the stereochemical outcome of these reactions in their DFT-calculated analysis.
Scheme 3.
Conformational study results for IMDA reactions by Paddon-Row and Sherburn et al. [41].
3.2. Diels–Alder/Lactonization Cascade Strategy
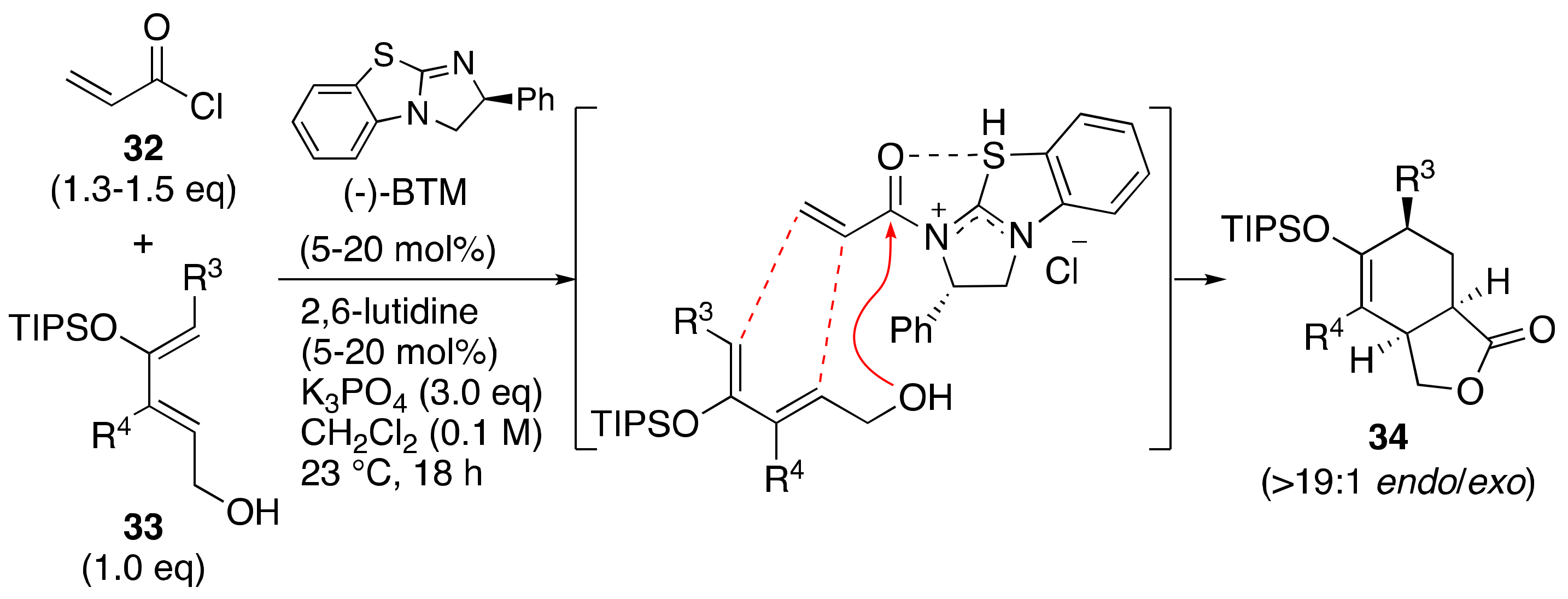
Romo and co-workers have described the potential of α,β-unsaturated acylammonium salts as catalysts for the Diels–Alder cycloaddition reaction (Scheme 4) [48]. α,β-unsaturated acyl ammonium salt was prepared in situ from an acid chloride (32) and chiral isothiourea organocatalyst (-)-BTM and it promoted Diels–Alder reactions with dienes (33) and subsequent lactonization to produce cis- and trans-fused bicyclic γ-lactones (34) in a good yield with high diastereo- and enantioselectivity. The single operation strategy, termed a Diels–Alder/lactonization (DAL) cascade, was applicable for a variety of bicyclic lactones. (In this review, carbon–carbon formation via the Diels–Alder reaction is often highlighted in red.)
Scheme 4.
DAL cascade strategy by Romo.
More recently, Romo and co-workers used the DAL cascade strategy to construct the pharmacophore of gracilin A, which is a promising lead compound for both immunosuppression and neuroprotection (Scheme 5) [35]. Using (-)-tetamisole as the Lewis base promoter, the DAL cascade afforded the required endo-diastereomer (36) in a 58% yield with 94% ee. The cycloadduct was converted to various derivatives to investigate the structure–activity relationship (SAR) profile of gracilin A.
Scheme 5.
Romo’s synthesis of the gracilin A derivative core.
4. Template Effects in the Diels–Alder Reaction
In intermolecular Diels–Alder reactions, regioselectivity, diastereoselectivity, and enantioselectivity, as well as endo selectivity, can be problematic, whereas IMDA reactions are expected to be less affected by regio- and diastereoselectivity problems. For these reasons, attempts to convert intermolecular Diels–Alder reactions to IMDA reactions by temporarily tethering the diene and dienophile through suitable atoms or groups have been made [5]. Early attempts at templated Diels–Alder reactions have used atoms such as boron, silicon, magnesium, and aluminum for tethering. In these cases, it was hoped that bringing the diene and dienophile closer together would improve reactivity and control regioselectivity. Several templated reactions are discussed below.
4.1. Silicon-Tethered Diels–Alder Reactions
Since the pioneering report by Tamao and Ito, silicon has been widely used as a template to mediate the Diels–Alder reaction (Scheme 6). In their 1989 study on the cyclization of 1,7-diyne (38) to 1,2-dialkylidenecyclohexane using nickel(0)-catalyzed hydrosilation with a (Z)-vinylsilane moiety, Tamao, Ito, and their co-workers performed a silicon-templated Diels–Alder reaction [49]. They prepared dienylsilane 39 using a nickel catalyst, followed by coupling with allylic alcohol 40 to give silicon-templated compound 41. The thermal Diels–Alder reaction of compound 41 proceeded in a highly stereoselective manner, yielding the bicyclic product 43 in an overall yield of 75% with high efficiency via Tamao oxidation.
Scheme 6.
Tamao–Ito’s pioneering IMDA reaction of dienylsilane.
Around the same time, Stork and co-workers carried out a comprehensive investigation of the reaction of silicon-templated substrates using a different geometric isomer (Scheme 7) [50]. They found that the reaction of substituted alkenyl alkenylsilane (45) at 160 °C in a sealed tube yielded cyclohexene derivative (46) in a 70% yield. The product could be further derivatized by treating with TBAF or by Tamao oxidation. In this case, the functional group’s position on the cyclohexene was fully controlled, demonstrating the usefulness of the templated Diels–Alder reaction. Similar silyl-templated reactions were also reported by Sieburth and co-workers [51].
Scheme 7.
Stork’s silicon-tethered IMDA reaction.
Shea et al. have reported Diels–Alder reactions of dialkoxysilanes under thermal conditions (Scheme 8) [52]. In their series of studies, cycloaddition reactions of a number of temporary linkages between dienes and dienophiles using stereochemical constraints were investigated. For example, during the IMDA reaction of diphenylsilyl dienol ether with a methyl acrylate moiety (49), the thermal reaction at 175 °C gave a single adduct (50) in an excellent yield [11,12].
Scheme 8.
IMDA reaction of dialkoxysilanes by Shea.
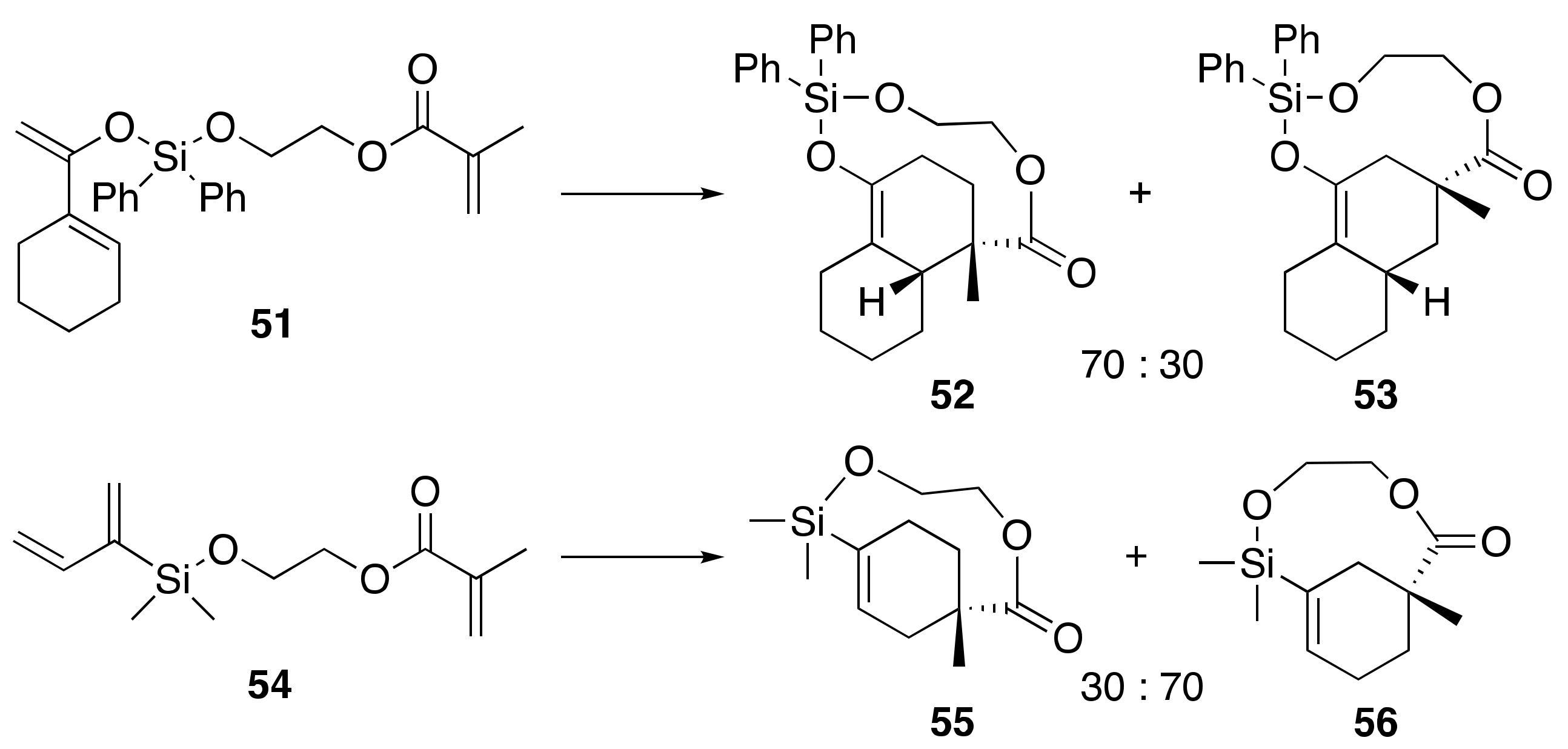
Shea and co-workers also found that the length of the tether had an effect on the regioselectivity of the reaction (although the reaction temperatures and yields were not reported) (Scheme 9) [53]. The cycloaddition of siloxydiene (51) gave a 70:30 mixture of 1,4- and 1,3-regioisomers. In contrast, a 30:70 mixture of 1,4- and 1,3-regioisomers was obtained from the reaction of a substrate with the one-atom-shorter tether (54). They concluded that complete regio- and stereochemical control was achieved by shortening the tether to five atoms.
Scheme 9.
Effect of tether length by Shea.
Other efforts to form bicyclic 𝛾-lactones have been demonstrated by Craig and co-workers (Scheme 10) [54]. The IMDA cycloaddition of a silyl acetal bearing 2,4-hexadienol and methyl 4-hydroxy-2-butenoate was carried out at 160 °C to generate the Diels–Alder adduct (58) as a single stereoisomer. The adduct was subjected to acidic conditions to afford bicyclic 𝛾-lactone 59 in a moderated yield. In stark contrast, heating a 1:1 mixture of silyl ethers (60, 61) at 155 °C afforded four adducts corresponding to all possible regio- and stereoisomers (62, 63, 64, and 65). These results demonstrate that the simple method of tethering the diene and dienophile components together can significantly influence the regio- and stereochemical outcome of a Diels–Alder reaction.
Scheme 10.
Intramolecular and intermolecular Diels–Alder reactions by Craig.
More recently, Rychnovsky and co-workers have developed an IMDA reaction using a silacycle template [55]. In this particular case, a dioxasiline ring serves the dual function of forming a reactive diene and acting as an effective directing group to control the π-facial selectivity of Diels–Alder cyclization. Furthermore, they achieved the total synthesis of (-)-illisimonin A, a neuroprotective sesquiterpenoid, based on the seminal strategy via the silacycle-templated IMDA reaction [56] (Scheme 11). The reaction of dialkoxysilanes has also been studied by Fortin [57] and review articles are available [58,59].
Scheme 11.
Rychnovsky’s total synthesis of illisimonin A via the silacycle-templated IMDA reaction.
4.2. Boron-Templated Diels–Alder Reactions
Narasaka and Iwasawa et al. reported boron-templated Diels–Alder reactions. They investigated the Diels–Alder reaction of anthrone (69) and methyl 4-hydroxy-2-butenoate (48) in the presence of phenylboronic acid (Scheme 12) [60]. In this reaction, an enol-type boronic ester was prepared by dehydration and Diels–Alder adduct 71 was formed in a high yield. When anthrone was subjected to the base-catalyzed Diels–Alder reaction of methyl acrylate without phenylboronic acid, the opposite regioisomer (72a) was obtained [61], indicating that the phenylboronic acid template completely controls the regioselectivity.
Scheme 12.
Phenylboronic-acid-templated Diels–Alder reaction by Narasaka and Iwasawa.
Narasaka and co-workers also demonstrated a regioselective Diels–Alder reaction controlled by a boronic acid template (Scheme 13) [62]. It is known that 1,2-dihydrobenzocyclobutene derivatives undergo thermal ring opening to generate quinodimethanes. A mixture of 1,2-dihydrobenzocyclobuten-1-ol (73) and methyl 4-hydroxy-2-butenoate (48) in the presence of thexylborane was stirred to generate a mixed boronate (74). Subsequent thermal ring opening, Diels–Alder reaction, and hydrolysis of the resulting boronate afforded cycloadduct (76) in a 59% yield.
Scheme 13.
Narasaka’s boron template Diels–Alder reaction.
Nicolaou and co-workers reported a boron-templated Diels–Alder reaction as part of their monumental total synthesis of taxol (5) (Scheme 14) [24,25,26]. Since the unassisted intermolecular reaction between α,β-unsaturated ester (77) and 3-hydroxy-2-pyrone (78) was not successful in terms of both regioselectivity and chemical yield, both substrates (77, 78) were combined with phenylboronic acid under heating conditions to generate the putative mixed borate ester (79) by dehydration and thermal Diels–Alder reaction, followed by treatment with 2,2-dimethyl-1,3-propanediol to afford bicyclic 𝛾-lactone (81) in a good yield. Compound 81 was successfully converted to the CD ring moiety (82) of taxol. In this case, the boron atom serves as a template, bringing the diene and dienophilic components together to enable an IMDA reaction, thus allowing the regiochemical course of the cycloaddition to be rigorously controlled.
Scheme 14.
Nicolaou’s boron-templated Diels–Alder reaction in the total synthesis of taxol.
4.3. Magnesium-Templated Diels–Alder Reactions
Magnesium can also be a temporary tether (Scheme 15) [63]. Stork and co-workers prepared a magnesium-templated intermediate from vinylmagnesium bromide and allylic alcohol (44) with butyl lithium. The mixture underwent a thermal Diels–Alder reaction to afford the cyclohexene derivative (85) a good yield. It is interesting to note that the thermal Diels–Alder reaction took place at a lower temperature than the silicon-templated reaction mentioned above. Cycloaddition occurred despite the fact that dienophile is formally a vinyl carbanion; indeed, it was highly facilitated.
Scheme 15.
Stork’s temporary magnesium connection in a Diels–Alder reaction.
4.4. Aluminum-Templated Diels–Alder Reactions
Stork’s group also reported an aluminum-templated Diels–Alder reaction in the above-mentioned paper on magnesium-templated Diels–Alder reactions (Scheme 16) [64]. The addition of vinylmagnesium bromide in THF to diethylaluminium chloride in toluene and the lithium alkoxide (86) followed by heating at 130 °C afforded the cycloadduct (85) a 70–75% yield. The concerted manner of the reaction was established through a comparison of the products, as in the case of the magnesium template.
Scheme 16.
Stork’s aluminum-templated Diels–Alder reaction.
Olsson and co-workers reported an aluminum-templated Diels–Alder reaction (Scheme 17) [64]. The aluminum-templated cycloaddition reaction of sorbic alcohol (44) and allyl alcohol at 160 °C for 60 h afforded a 3:1 diastereomeric mixture of cyclohexenes (90, 91) in a 66% overall yield after hydrolytic work-up. They also attempted the asymmetric Diels–Alder reaction of 92 and 44 using (R)-BINOL to give a 3:1 mixture of compounds 93 and 94 as an optically active mixture. Notably, the major product had an ee of 70%.
Scheme 17.
Olsson’s aluminum-templated Diels–Alder reaction.
4.5. Zinc-Templated Diels–Alder Reactions
Olsson and co-workers also reported using zinc as a linker atom in their studies on templated Diels–Alder reactions (Scheme 18) [64]. In the zinc-templated reaction of sorbic alcohol (44) and allylic alcohol 92 at 160 °C for 160 h, the same complete regioselectivity was observed as with aluminum. However, both the yield and diastereoselectivity were lower than those for the aluminum-mediated reaction.
Scheme 18.
Olsson’s zinc-templated Diels–Alder reaction.
5. Lewis-Acid-Templated Diels–Alder Reactions
The aforementioned templated Diels–Alder reactions involving the linkage of a diene and a dienophile perfectly control the regiochemistry of the products, but they require heating, and additional transformations may be necessary to remove the tethered atom. However, if a Lewis acid is used as a template, the reaction can be carried out at room temperature or lower, and the work-up is simplified.
5.1. Aluminum Lewis-Acid-Templated Diels–Alder Reactions
Bienayé and co-workers reported the Diels–Alder reaction of suitable dienes covalently bonded to a Lewis acid, such as dimethylaluminum dienolates, allowing rapid and selective Diels–Alder cycloadditions with various dienophiles (Scheme 19) [65]. In the case of N-benzylmaleimide (97), the cyclohexadienylsilyl ether (96) was lithiated, followed by the addition of dimethylaluminum chloride to form an alkoxyaluminum complex. A further addition of maleimide brought the substrates closer together (98). The Diels–Alder reaction was thus efficient even at low temperatures, yielding the corresponding tricyclic product 99 in a 74% yield. In these processes, cooperation between enthalpic factors, such as the activation of the dienophile, and entropic factors, such as the pre-association of the reactants, is responsible for the high reactivities and regioselectivities observed.
Scheme 19.
Bienaye’s Lewis-acid-templated Diels–Alder reaction.
5.2. Titanium Lewis-Acid-Mediated Diels–Alder Reactions
Bienayé also reported an enantioselective Diels–Alder cycloaddition using a titanium Lewis acid template (Scheme 20) [66]. In this particular case, a mixture of Ti(OiPr)4 and chiral NpTADDOL was treated with 1-acetoxyisoprene (100) and N-benzylmaleimide (97) at −15 °C for 4 h to afford the cycloadduct 102 a good yield and an enantiomeric ratio of 95:5. Although a stoichiometric amount of chiral Lewis acid template must be used, this method allows the reaction of difficult dienophiles such as maleimides with high selectivity under mild conditions.
Scheme 20.
Bienaye’s Lewis-acid-templated Diels–Alder reaction.
5.3. Magnesium Lewis-Acid-Templated Diels–Alder Reactions
Ward and co-workers demonstrated a new strategy to control Diels–Alder reactions based on a Lewis-acid-catalyzed reaction of a self-assembled complex, termed an LACASA-DA reaction, using magnesium (Scheme 21) [67]. The magnesium salt caused bimolecular proximity, leading to the Diels–Alder reaction and spontaneous lactonization to produce bicyclic lactone 104 in a high yield with excellent regio- and diastereoselectivity. The dienophile was activated by magnesium alkoxide, so the reaction proceeded without heating.
Scheme 21.
Ward’s Lewis-acid-templated Diels–Alder reaction.
Barriault and co-workers performed a Lewis-acid-templated Diels–Alder reaction using phenylmagnesium bromide (Scheme 22) [68,69,70]. In this reaction, the hydroxyl group in diene 105 underwent a reaction with the Grignard reagent to form magnesium alkoxide (106) in situ. Methyl acrylate was then added and the mixture was stirred at room temperature for 3 h, yielding the cycloadduct (107) in 65% as a sole diastereomer.
Scheme 22.
Barriault’s Lewis-acid-templated Diels–Alder reaction.
Nicolaou’s group modified Ward’s method using a template prepared from a 2-aminophenol derivative and a Grignard reagent (Scheme 23) [24,25,26]. In this case, a bicyclic lactone (110) was constructed stereoselectively through coordination with a secondary hydroxyl group of substrate 108. They achieved the total synthesis of abyssomicin C using the bicyclic lactone as a key intermediate. A similar reaction has also been reported by Georgiadis et al. [71].
Scheme 23.
Nicolaou’s Lewis-acid-templated Diels–Alder reaction.
5.4. Bimetallic Lewis-Acid-Templated Diels–Alder Reactions
Ward and co-workers reported an enantioselective LACASA-DA reaction based on a bimetallic Lewis acid (Scheme 24) [72]. In this particular case, 2,4-pentadienol (44) was treated with an equimolar amount of ZnMe2 and optically active BINOL was treated with an equimolar amount of MeMgBr; then, the mixtures were combined and methyl acrylate was added. Under these conditions, the Diels–Alder reaction proceeded smoothly and subsequent lactonization produced bicyclic lactone 97 in an excellent yield with high regioselectivity, stereoselectivity, and enantioselectivity. It was also found that the reaction also proceeded smoothly with catalytic amounts of Lewis acid, but the turnover was very low.
Scheme 24.
Ward’s enantioselective Diels–Alder reaction.
Notably, all of these Lewis-acid-templated reactions required stoichiometric amounts of reagents to achieve acceptable conversions, while similar reactions with low catalyst loadings were yet to be achieved.
6. Catalytic Chiral-Lewis-Acid-Templated Diels–Alder Reactions
6.1. Lewis-Acid-Templated Diels–Alder Reactions Using H8-BINOL
Ishihara and co-workers have developed the method of Ward into a catalytic format (Scheme 25) [73]. First, they studied the Diels–Alder reaction of 114 and 15 eq. of methyl acrylate using 1 eq. of (R)-BINOL as the chiral ligand according to Ward’s protocol. The reaction proceeded at room temperature for 3.5 h to yield a 4.8:1 diastereoisomeric mixture of bicyclic lactones 115 and 116. Conversely, the reaction with (R)-5,5′,6,6′,7,7′,8,8′-octahydro-1,1′-bi-2-naphthol (H8-BINOL) in place of (R)-BINOL exhibited higher selectivity, giving 115 and 116 in a 98% combined yield and a ratio of 10:1. Surprisingly, the reaction mediated by 0.5 eq. of the bimetallic complex with H8-BINOL was completed within 2 h to give 115 and 116 in a 99% yield and with a diastereoselectivity that was similarly high to that observed for the stoichiometric reaction. After investigation of the reaction under lower catalyst loading, it was found that the use of even 0.1 eq. of the catalyst resulted in high selectivity.
Scheme 25.
Lewis-acid-templated Diels–Alder reaction of 114 and methyl acrylate using H8-BINOL.
6.2. Catalytic Lewis-Acid-Templated Diels–Alder Reactions
The cycloaddition reaction of 4-methyl-2,4-pentadienol (117), an achiral substrate, was also investigated (Scheme 26). When 117 was reacted with methyl acrylate using 0.2 eq. of the bimetallic complex with H8-BINOL at room temperature for 3 d, the cycloaddition proceeded with moderate enantioselectivity to afford bicyclic γ-lactone 118 in an 83% yield and 52% ee. However, the addition of 4Å molecular sieves and decreasing the amount of methyl acrylate markedly improved the enantioselectivity. Consequently, the chiral template reaction of 117 and 1.5 eq. of methyl acrylate using H8-BINOL in the presence of 4Å molecular sieves provided 118 in a 98% yield and 92% ee.
Scheme 26.
Lewis-acid-templated Diels–Alder reaction of 117 and methyl acrylate using H8-BINOL.
6.3. Scope and Limitation of the Catalytic Lewis-Acid-Templated Diels–Alder Reaction
The generality of this protocol was then investigated (Scheme 27). It was found that the Lewis-acid-template-catalyzed reaction is applicable to various 2,4-pentadienol substituents, and both the yields and ee values are high, especially for substituents (R3 and R2) at the 3 and 4 positions. Conversely, the reaction of 2,4-hexadienol showed poor enantioselectivity, although the yield was acceptable. Furthermore, 2-methyl-2,4-pentadienol was found to be a less reactive substrate, possibly due to steric factors.
Scheme 27.
Ishihara’s catalytic Lewis-acid-templated Diels–Alder reaction.
A plausible mechanism for the catalytic Diels–Alder reaction is shown in Scheme 28. In the catalytic cycle of the reaction, the coordination of magnesium octahydrobinapthoate 122 with zinc dienolate 124 initially forms the bimetallic Lewis acid 125, which reacts with methyl acrylate to give intermediate 126. The tethered intermediate 126 undergoes a Diels–Alder reaction in endo mode (127), followed by lactonization (128). The ligand exchange of 128 with methyl acrylate yields γ-lactone product 130. The second exchange of the resulting 129 with dienol 123 regenerates 126 and releases methanol. 4Å or 5Å molecular sieves are required for the catalytic reaction, possibly because they capture the methanol produced during lactonization to accelerate the catalytic cycle. The reason for the higher catalytic efficiency of H8-BINOL than BINOL is not clear, but the larger dihedral angle of H8-BINOL may play an important role in smooth ligand exchange in the catalytic cycle.
Scheme 28.
Plausible mechanism of the Lewis-acid-catalyzed Diels–Alder reaction.
7. Application of Lewis-Acid-Templated Diels–Alder Reactions to Natural Product Synthesis
7.1. Nicolaou’s Total Synthesis of Abyssomicin C
Abyssomicin C (2) was isolated from the actinomycete Verrucosispora strain AB 18-032. This natural product exhibits strong activity against both methicillin-resistant Staphylococcus aureus (MRSA; 4 μg mL−1) and vancomycin-resistant Staphilococcus aureus (VRSA; 13 μg mL−1) [74,75,76]. One of the synthetic strategies developed by Nicolaou and co-workers is the early-stage formation of the core of abyssomicin C utilizing an optically active bicyclic lactone (Scheme 29) [24,25,26]. Thus, the bicyclic lactone 110 was prepared diastereoselectively from chiral alcohol 108 via their unique Lewis-acid-templated Diels–Alder reaction. The resulting bicyclic product was deprotonated with a base and quenched with O2 and (EtO)3P to give α-hydroxy lactone. The treatment of the phenylthiomethyl γ-lactone with a radical anion species led to the ring opening of the lactone with concomitant olefin formation, followed by methyl esterification to give hydroxy diene 131. Compound 131 was then subjected to vanadium-directed epoxidation and subsequent acetylation to afford epoxide 132. Dieckmann condensation and regioselective ring opening of 132 then afforded tetracyclic intermediate 134. Compound 134 was converted to the target molecule in eight steps.
Scheme 29.
Nicolaou’s total synthesis of abyssomicin C.
7.2. Roush’s Stereoselective Synthesis of the Hirsutellone Core
The hirsutellones are a family of structurally interesting polyketides with a decahydrofluorene core which were isolated from the insect pathogenic fungus Hirsutella nivea BCC 2594 [77]. These natural products exhibit potent antitubercular activity. Roush and co-workers have reported the stereoselective synthesis of the molecule’s core (Scheme 30) [28]. The synthesis of the common hirsutellone core started with Ward’s enantioselective Lewis-acid-templated Diels–Alder reaction. The resulting chiral bicyclic lactone (104) was readily converted by hydrogenation and DIBAL-H reduction to lactol 135, which was subjected to a Wittig reaction to give the cyclohexane derivative 136. The pure E-product was then oxidized to the aldehyde and treated with K2CO3, which resulted in a smooth epimerization of the aldehyde to exclusively give the desired aldehyde (137). Following alkynation, propargyl alcohol 138 was subjected to hydrosilylation, yielding siloxacyclopentene 139. The product underwent a Lewis-acid-mediated IMDA reaction to afford the hirsutellone core.
Scheme 30.
Roush’s synthesis of the hirsutellone core.
7.3. Jin’s Synthesis of Truncated Superstolide A
Superstolides A and B were isolated in minute amounts from the deep-sea sponge Neosiphonia superstes. Both superstolides A and B show potent antiproliferative effects against several tumor cell lines [78,79]. Jin and co-workers have reported the design and synthesis of a truncated superstolide A, in which the cis-fused functionalized decalin is simplified to a cyclohexene ring, while the 16-membereed macrolactone remains intact (Scheme 31) [29]. To prepare the cyclohexene, they selected Ward’s chiral-Lewis-acid-templated Diels–Alder cycloaddition as the first step. The resulting optically active lactone (142) was subjected to α-methylation and DIBAL-H reduction followed by Sayfeth–Gilbert alkynation to afford a functionalized cyclohexene 144. After TES protection, alcohol 145 was oxidized to the corresponding aldehyde 146, which was then converted to the geminal dibromo compound 146. Suzuki coupling between compound 146 and vinyl boronate 147 stereoselectivity provided the vinyl bromide. The subsequent Negishi coupling between the resulting vinyl bromide and Me2Zn gave the desired trisubstituted olefin 148 in an 86% yield. This intermediate 148 was successfully converted to the target molecule in five steps.
Scheme 31.
Jin’s synthesis of truncated superstolide.
7.4. Ishihara’s Synthesis of the Upper Segment of Spirolides A and B
Since 1995, a number of marine natural products containing the spiroimine moiety have been found to cause food poisoning. Spirolides [80,81] are marine toxins derived from bivalve mollusks and have similar structures to natural products such as pinnatoxin [82] and gymnodimine [83] (Figure 2). In particular, 13-desmethylspyrrolide C is one of the most potent neurotoxins among non-peptide natural products [84,85]. These natural products exhibit antagonistic activity against the nicotinic acetylcholine receptor (nAChR). Ishihara and co-workers reported the synthesis of the spirocyclic core of spirolides A and B starting from compound 115, which was accessed by a Lewis-acid-template-catalyzed Diels–Alder reaction (Scheme 32) [38]. A benzyloxymethyl group was stereoselectively introduced at the α-position of the lactone, which was then converted to lactol 150 through DIBAL-H reduction. Subsequently, the introduction of the vinyl group using a Grignard reagent followed by TBS protection of the primary hydroxyl group afforded 151. The acetylation of the secondary hydroxyl group of 151 and subsequent palladium-catalyzed reductive deacetoxylation afforded allylic product 152 in good yields. Cross-metathesis was used to introduce the oxazolidinone, followed by hydrogenation by Lipshutz 1,4-reduction and stereoselective methylation by Evans alkylation to give compound 153. The removal of the asymmetric auxiliary group and Fukuyama amine synthesis led to the synthesis of the upper segment of spirolide A and B (154).
Scheme 32.
Ishihara’s synthesis of the upper fragment of spirolides A and B.
7.5. Landais’s Synthesis of the Spirocyclic Core of Demethylspirolide C and Gymnodimine
Landais and co-workers also reported an approach to natural products containing spiroimine, desmethylspirolide C, [81] and gymnodimine [83] (Scheme 33) [39]. They prepared the bicyclic 𝛾-lactone 156 in a good yield with high enantioselectivity via Ishihara’s Lewis-acid-template-catalyzed Diels–Alder reaction. The bicyclic product 156 was α-alkylated by an aldol reaction followed by oxidation and ketalization to afford 158. Lactone 158 was subjected to LiAlH4 reduction to give the diol, which was protected by a TBS group followed by oxidation and Horner–Wadsworth–Emmons reactions to afford compound 159 in a good yield. Compound 159 was converted in seven steps to compound 160, which was exposed to HCl to afford the spirocyclic imine product 161 an excellent yield.
Scheme 33.
Landais’s synthesis of the spirocyclic core of demethylspirolide C and gymnodimine.
7.6. Gao’s Total Synthesis of Farnesin
In 2020, Gao et al. reported the total synthesis of farnesin involving photo-Nazarov and intramolecular aldol cyclization (Scheme 34) [40]. Their synthesis started with the construction of bicyclic 𝛾-lactone 114 via Ishihara’s Lewis-acid-template-catalyzed Diels–Alder reaction of 114 and methyl acrylate. Notably, the cycloaddition was scalable and afforded the desired adduct in a good yield with good diastereoselectivity. After α-methylation of 115, the acetonide group was converted to aldehyde 162 via oxidative cleavage. The coupling of aldehyde 162 with compound 163 followed by oxidation afforded ketone 164. Compound 164 was then subjected to a key photo-Nazarov reaction to ensure that the complex hydrofluorenone 165 was a single diastereomer. Compound 165 was converted to the pentacyclic product 166 via a SmI2-promoted radical reaction. From compound 166, the total synthesis of farnesin was achieved via a seven-step transformation.
Scheme 34.
Gao’s total synthesis of farnesin.
8. Conclusions
In this review, template-mediated Diels–Alder reactions that afford substituted bicyclic 𝛾-lactones were described. The Diels–Alder reactions shown here are useful and practical methods that facilitate access to valuable building blocks for the synthesis of complex natural products. The author hopes that this review will aid the development of novel strategies for the synthesis of complicated natural products and related substances.
Funding
Part of this research was supported by JSPS KAKENHI, grant numbers JP18K05126 and 23K04736. The author is grateful to Nagase Science and Technology Foundation for financial support. In addition, the author is also grateful to the Novartis foundation (Japan) for the promotion of science. This work was the result of using research equipment shared in the MEXT project for promoting public utilization of advanced research infrastructure (program for supporting the introduction of the new sharing system), grant number JPMXS042250032.
Institutional Review Board Statement
Not applicable.
Informed Consent Statement
Not applicable.
Acknowledgments
I would like to express our sincere gratitude to Susumi Hatayama (Nagasaki university) for his useful advice. I would also like to thank Yuki Watanabe, Shino Nakadachi, Yasunori Kawaguchi, Tomohiro Kurose, Tomohiro Baba, Fuma Usui, Keita Komine, and Hayato Fukuda for their tireless efforts in developing the results of this experiment.
Conflicts of Interest
The author declare no conflict of interest. The funders had no role in the design of the study; in the collection, analyses, or interpretation of data; in the writing of the manuscript; or in the decision to publish the results.
References
- Newman, D.J.; Cragg, G.M. Natural Products as Sources of New Drugs over the Nearly Four Decades from 01/1981 to 09/2019. J. Nat. Prod. 2020, 83, 770–803. [Google Scholar] [CrossRef] [PubMed]
- Atanasov, A.G.; Zotchev, S.B.; Dirsch, V.M.; the International Natural Product Sciences Taskforce; Supuran, C.T. Natural products in drug discovery: Advances and opportunities. Nat. Rev. Drug Discov. 2021, 20, 200–216. [Google Scholar] [CrossRef] [PubMed]
- Kumar, K.; Waldmann, H. Nature Inspired Small Molecules for Chemical Biology. Isr. J. Chem. 2019, 59, 41–51. [Google Scholar] [CrossRef]
- Chen, Y.; de Lomana, M.G.; Friedrich, N.-O.; Kirchmair, J. Characterization of the Chemical Space of Known and Readily Obtainable Natural Products. J. Chem. Inf. Model. 2018, 58, 1518–1532. [Google Scholar] [CrossRef]
- Gong, L.-Z. Asymmetric Organo-Metal Catalysis: Concepts, Principles, and Applications; Wiley-VCH: Weinheim, Germany, 2021. [Google Scholar]
- Akiyama, T.; Ojima, I. (Eds.) Catalytic Asymmetric Synthesis, 4th ed.; Wiley: Hoboken, NJ, USA, 2022. [Google Scholar]
- Berkessel, A.; Gröger, H. Asymmetric Organocatalysis: From Biomimetic Concepts to Applications in Asymmetric Synthesis; Wiley-VCH: Weinheim, Germany, 2006. [Google Scholar]
- Yu, M.; Wang, E.; Kyle, A.F.; Jakubec, P.; Dixon, D.J.; Schrock, R.R.; Hoveyda, A.H. Synthesis of macrocyclic natural products by catalyst-controlled stereoselective ring-closing metathesis. Nature 2011, 479, 88–93. [Google Scholar] [CrossRef]
- Wang, Z.; Li, J. All-carbon 3+2 cycloaddition in natural product synthesis. Beilstein J. Org. Chem. 2020, 16, 3015–3031. [Google Scholar] [CrossRef]
- Chakrabarty, S.; Romero, E.O.; Pyser, J.B.; Narayan, A. Chemoenzymatic Total Synthesis of Natural Products. Acc. Chem. Res. 2021, 54, 1374–1384. [Google Scholar] [CrossRef]
- Bakanas, I.; Lusi, R.F.; Wiesler, S.; Cooke, J.H.; Sarpong, R. Strategic application of C-H oxidation in natural product total synthesis. Nat. Rev. Chem. 2023, 7, 783–799. [Google Scholar] [CrossRef]
- Roush, W.R. Intramolecular Diels-Alder Reactions. In Comprehensive Organic Synthesis; Trost, B.M., Fleming, I., Paquette, L.A., Eds.; Pergamon: Oxford, UK, 1991; Volume 5, pp. 513–550. [Google Scholar]
- Tanner, D.; Ascic, E. Intramolecular and Transannular Diels-Alder Reactions. In Comprehensive Organic Synthesis, 2nd ed.; Knochel, P., Molander, G.A., Eds.; Elsevier: Oxford, UK, 2014; Volume 5, pp. 466–571. [Google Scholar]
- Nicolaou, K.C.; Snyder, S.A.; Montagnon, T.; Vassilikogiannakis, G. The Diels–Alder Reaction in Total Synthesis. Angew. Chem. Int. Ed. 2002, 41, 1668–1698. [Google Scholar] [CrossRef]
- Takao, K.; Munakata, R.; Tadano, K. Recent Advances in Natural Product Synthesis by Using Intramolecular Diels–Alder Reactions. Chem. Rev. 2005, 105, 4779. [Google Scholar] [CrossRef] [PubMed]
- Juhl, M.; Tanner, D. Recent applications of intramolecular Diels–Alder reactions to natural product synthesis. Chem. Soc. Rev. 2009, 38, 2983–2992. [Google Scholar] [CrossRef]
- Heasley, B. Stereocontrolled Preparation of Fully Substituted Cyclopentanes: Relevance to Total Synthesis. Eur. J. Org. Chem. 2009, 2009, 1477–1489. [Google Scholar] [CrossRef]
- Heravi, M.M.; Vavsari, V.F. Recent applications of intramolecular Diels–Alder reaction in total synthesis of natural products. RSC Adv. 2015, 5, 50890–50912. [Google Scholar] [CrossRef]
- Sara, A.A.; Um-e-Farwa, U.-e.-F.; Saeed, A.; Kalesse, M. Recent Applications of the Diels–Alder Reaction in the Synthesis of Natural Products (2017–2020). Synthesis 2022, 54, 975–998. [Google Scholar] [CrossRef]
- Grieco, P.A.; Ravi, P.; Nargund, R.P. Synthetic studies on diterpenes from a termite soldier: Total synthesis of (±)-biflora-4,10(19),15-triene. Tetrahedron Lett. 1986, 27, 4813–4816. [Google Scholar] [CrossRef]
- White, J.D.; Nolen, E.G., Jr.; Miller, C.H. Stereochemical transcription via the intramolecular Diels-Alder reaction. Enantioselective synthesis of the nucleus of (+)-pillaromycinone. J. Org. Chem. 1986, 51, 1150–1155. [Google Scholar] [CrossRef]
- White, J.D.; Demnitz, F.W.J.; Xu, Q.; Martin, W.H.C. Synthesis of an Advanced Intermediate for (+)-Pillaromycinone. Staunton-Weinreb Annulation Revisited. Org. Lett. 2008, 10, 2833–2836. [Google Scholar] [CrossRef] [PubMed]
- Arseniyadis, S.; Brondi-Alves, R.; Yashunsky, D.V.; Potier, P.; Toupet, L. Formal total synthesis of an A-seco mevinic acid. Tetrahedron 1997, 53, 1003–1014. [Google Scholar] [CrossRef]
- Nicolaou, K.C.; Chen, J.S. Abyssomicin C and atrop-Abysomicin C. In Classics in Total Synthesis III: Further Targets, Strategies, Methods; Wiley-VCH: Weinheim, Germany, 2011; pp. 320–343. [Google Scholar]
- Nicolaou, K.C.; Harrison, S.T. Total Synthesis of Abyssomicin C and atrop-Abyssomicin C. Angew. Chem. Int. Ed. 2006, 45, 3256–3260. [Google Scholar] [CrossRef]
- Nicolaou, K.C.; Harrison, S.T. Total Synthesis of Abyssomicin C, Atrop-abyssomicin C, and Abyssomicin D: Implications for Natural Origins of Atrop-abyssomicin C. J. Am. Chem. Soc. 2007, 129, 429–440. [Google Scholar] [CrossRef]
- Rath, J.-P.; Kinast, S.; Maier, M.E. Synthesis of the Fully Functionalized Core Structure of the Antibiotic Abyssomicin C. Org. Lett. 2005, 7, 3089–3092. [Google Scholar] [CrossRef] [PubMed]
- Halvorsen, G.T.; Roush, W.R. Stereoselective synthesis of the decahydrofluorene core of the hirsutellones. Tetrahedron Lett. 2011, 52, 2072–2075. [Google Scholar] [CrossRef] [PubMed]
- Chen, L.; Ahmed, K.B.R.; Huang, P.; Jin, Z. Design, Synthesis, and Biological Evaluation of Truncated Superstolide A. Angew. Chem. Int. Ed. 2013, 52, 3446–3449. [Google Scholar] [CrossRef] [PubMed]
- Nicolaou, K.C.; Yang, Z.; Liu, J.J.; Ueno, H.; Nantermet, P.G.; Guy, R.K.; Claiborne, C.F.; Renaud, J.; Couladouros, E.A.; Paulvannan, K.; et al. Total synthesis of taxol. Nature 1994, 367, 630–634. [Google Scholar] [CrossRef] [PubMed]
- Nicolaou, K.C.; Nantermet, P.G.; Ueno, H.; Guy, R.K.; Couladouros, E.A.; Sorensen, E.J. Total Synthesis of Taxol. 1. Retrosynthesis, Degradation, and Reconstitution. J. Am. Chem. Soc. 1995, 117, 624–633. [Google Scholar] [CrossRef]
- Nicolaou, K.C.; Liu, J.J.; Yang, Z.; Ueno, H.; Sorensen, E.J.; Claiborne, C.F.; Guy, R.K.; Hwang, C.K.; Nakada, M.; Nantermet, P.G. Total Synthesis of Taxol. 2. Construction of A and C Ring Intermediates and Initial Attempts to Construct the ABC Ring System. J. Am. Chem. Soc. 1995, 117, 634–644. [Google Scholar] [CrossRef]
- Nicolaou, K.C.; Yang, Z.; Liu, J.J.; Nantermet, P.G.; Claiborne, C.F.; Renaud, J.; Guy, R.K.; Shibayama, K. Total Synthesis of Taxol. 3. Formation of Taxol’s ABC Ring Skeleton. J. Am. Chem. Soc. 1995, 117, 645–652. [Google Scholar] [CrossRef]
- Nicolaou, K.C.; Ueno, H.; Liu, J.J.; Nantermet, P.G.; Yang, Z.; Renaud, J.; Paulvannan, K.; Chadha, R. Total Synthesis of Taxol. 4. The Final Stages and Completion of the Synthesis. J. Am. Chem. Soc. 1995, 117, 653–659. [Google Scholar] [CrossRef]
- Abbasov, M.E.; Alvariño, R.; Chaheine, C.M.; Alonso, E.; Sánchez, J.A.; Conner, M.L.; Alfonso, A.; Jaspars, M.; Botana, L.M.; Romo, D. Simplified immunosuppressive and neuroprotective agents based on gracilin A. Nat. Chem. 2019, 11, 342–350. [Google Scholar] [CrossRef]
- Miller, N.A.; Willis, A.C.; Sherburn, M.S. Formal total synthesis of triptolide. Chem. Commun. 2008, 1226–1228. [Google Scholar] [CrossRef]
- Wong, L.S.-M.; Sherburn, M.S. IMDA-Radical Cyclization Approach to (+)-Himbacine. Org. Lett. 2003, 5, 3603–3606. [Google Scholar] [CrossRef] [PubMed]
- Ishihara, J.; Usui, F.; Kurose, T.; Baba, T.; Kawaguchi, Y.; Watanabe, Y.; Hatakeyama, S. Synthetic Studies on Spirolides A and B: Formation of the Upper Carbon Framework Based on a Lewis Acid Template-Catalyzed Diels–Alder Reaction. Chem. Eur. J. 2019, 25, 1543–1552. [Google Scholar] [CrossRef] [PubMed]
- Guthertz, A.; Lusseau, J.; Desvergnes, V.; Massip, S.; Landais, Y. An Approach towards the Synthesis of the Spiroimine Fragment of 13-Desmethylspirolide C and Gymnodimine A. Chem. Eur. J. 2019, 25, 1553–1560. [Google Scholar] [CrossRef] [PubMed]
- Que, Y.; Shao, H.; He, H.; Gao, S. Total Synthesis of Farnesin through an Excited-State Nazarov Reaction. Angew. Chem. Int. Ed. 2020, 59, 7444–7449. [Google Scholar] [CrossRef] [PubMed]
- Cayzer, T.N.; Wong, L.S.-M.; Turner, P.; Paddon-Row, M.N.; Sherburn, M.S. Optimising Stereoselectivity in Intramolecular Diels-Alder Reactions of Pentadienyl Acrylates: Synthetic and Computational Investigations into the ‘Steric Directing Group’ Approach. Chem. Eur. J. 2002, 8, 739–750. [Google Scholar] [CrossRef]
- Paddon-Row, M.N.; Longshaw, A.I.; Willis, A.C.; Sherburn, M.S. On the Effect of Tether Composition on cis/trans Selectivity in Intramolecular Diels–Alder Reactions. Chem. Asian J. 2009, 4, 126–134. [Google Scholar] [CrossRef]
- Smith, D.A.; Sakan, K.; Houk, K.N. Stereoselectivities of thermal and Lewis acid catalyzed intramolecular Diels-Alder reactions of internally activated dienophiles to form 5–11 membered rings. Tetrahedron Lett. 1986, 27, 4877–4880. [Google Scholar] [CrossRef]
- White, J.D.; Demnitz, F.W.J.; Oda, H.; Hassler, C.; Snyder, J.P. Conformational study of the intramolecular Diels–Alder reaction of a pentadienyl acrylate. Theoretical evaluation of kinetic and thermodynamic control. Org. Lett. 2000, 2, 3313–3316. [Google Scholar] [CrossRef]
- Boeckman, R.K.; Barta, T.E. Stereocontrol in the Intramolecular Diels–Alder Reaction. 7. Use of the Trimethylsilyl Group as a Removable Stereocontrol Element To Provide Greatly Enhanced Levels of Diastereoselection. J. Org. Chem. 1985, 50, 3421–3423. [Google Scholar] [CrossRef]
- Roush, W.R.; Kageyama, M. Enantioselective synthesis of the bottom-half of chlorothricolide. Tetrahedron Lett. 1985, 26, 4327. [Google Scholar] [CrossRef]
- Roush, W.R.; Riva, R. Enantioselective synthesis of the bottom half of chlorothricolide. 2. A comparative study of substituent effects on the stereoselectivity of the key intramolecular Diels-Alder reaction. J. Org. Chem. 1988, 53, 710. [Google Scholar] [CrossRef]
- Abbasov, M.E.; Hudson, B.M.; Tantillo, D.J.; Romo, D. Acylammonium Salts as Dienophiles in Diels–Alder/Lactonization Organocascades. J. Am. Chem. Soc. 2014, 136, 4492. [Google Scholar] [CrossRef] [PubMed]
- Tamao, K.; Kobayashi, K.; Ito, Y. An intramolecular Diels-Alder reaction of vinylsilanes. J. Am. Chem. Soc. 1989, 111, 6478–6480. [Google Scholar] [CrossRef]
- Stork, G.; Chan, T.Y.; Breault, G.A. The temporary silicon connection in the control of the regiochemistry of 4 + 2 cycloadditions. J. Am. Chem. Soc. 1992, 114, 7578–7579. [Google Scholar] [CrossRef]
- Sieburth, S.M.; Fensterbank, L. An intramolecular Diels-Alder reaction of vinylsilanes. J. Org. Chem. 1992, 57, 5279–5281. [Google Scholar] [CrossRef]
- Shea, K.; Zandi, K.S.; Staab, A.J.; Carr, R. Disposable tethers in type 2 intramolecular Diels-Alder cycloaddition reactions. Applications in stereochemical control. Tetrahedron Lett. 1990, 31, 5885–5888. [Google Scholar] [CrossRef]
- Shea, K.; Staab, A.J.; Zandi, K.S. Pericyclic umpolung. Reversal of regioselectivity in the Diels-Alder reaction. Tetrahedron Lett. 1991, 32, 2715–2718. [Google Scholar] [CrossRef]
- Craig, D.; Reader, J.C. A novel strategy for regio- and stereocontrol in 4 + 2 cycloadditions. Intramolecular diels-alder reaction of a silyl acetal triene. Tetrahedron Lett. 1990, 31, 6585–6588. [Google Scholar] [CrossRef]
- Carlson, P.R.; Burns, A.S.; Shimizu, E.A.; Wang, S.; Rychnovsky, S.D. Silacycle-Templated Intramolecular Diels–Alder Cyclizations for the Diastereoselective Construction of Complex Carbon Skeletons. Org. Lett. 2021, 23, 2183–2188. [Google Scholar] [CrossRef]
- Burns, A.S.; Rychnovsky, S.D. Total Synthesis and Structure Revision of (–)-Illisimonin A, a Neuroprotective Sesquiterpenoid from the Fruits of Illicium simonsii. J. Am. Chem. Soc. 2019, 141, 13295–13300. [Google Scholar] [CrossRef]
- Gillard, J.W.; Fortin, R.; Grimm, E.L.; Maillard, M.; Tjepkema, M.; Bernstein, M.A.; Glaser, R. The unsymmetrical silaketal as a neutral, removable tether for effecting intramolecular Diels-Alder reactions. Tetrahedron Lett. 1991, 32, 1145–1148. [Google Scholar] [CrossRef]
- Fensterbank, L.; Malacria, M.; Sieburth, S.M.N. Intramolecular Reactions of Temporarily Silicon-Tethered Molecules. Synthesis 1997, 1997, 813–854. [Google Scholar] [CrossRef]
- Bols, M.; Skrydstrup, T. Silicon-Tethered Reactions. Chem. Rev. 1995, 95, 1253–1277. [Google Scholar] [CrossRef]
- Narasaka, K.; Shimada, S.; Osoda, K.; Iwasawa, N. Phenylboronic Acid as a Template in the Diels-Alder Reaction. Synthesis 1991, 1991, 1171–1172. [Google Scholar] [CrossRef]
- Koerner, M.; Rickborn, B. Base-catalyzed reactions of anthrones with dienophiles. J. Org. Chem. 1990, 55, 2662–2672. [Google Scholar] [CrossRef]
- Shimada, S.; Osoda, K.; Narasaka, K. Boron Compound as a Trapping Reagent of a-Hydroxy o-Quinodimethanes in the Diels-Alder Reaction. Bull. Chem. Soc. Jpn. 1993, 66, 1254–1257. [Google Scholar] [CrossRef]
- Stork, G.; Chan, T.Y. Temporary Magnesium and Aluminum Connections in 4 + 2 Cycloadditions. J. Am. Chem. Soc. 1995, 117, 6595–6596. [Google Scholar] [CrossRef]
- Bertozzi, F.; Olsson, R.; Fredj, T. Temporary in situ aluminum and zinc tethering in Diels-Alder reactions. Org. Lett. 2000, 2, 1283–1286. [Google Scholar] [CrossRef] [PubMed]
- Bienaymé, H.; Longeau, A. Internally Lewis acid-catalyzed Diels-Alder cycloadditions. Tetrahedron 1997, 53, 9637–9646. [Google Scholar] [CrossRef]
- Bienaymé, H. Enantioselective Diels–Alder Cycloaddition by Preorganization on a Chiral Lewis Acid Template. Angew. Chem. Int. Ed. Engl. 1997, 36, 2670–2673. [Google Scholar] [CrossRef]
- Ward, D.E.; Abaee, M.S. Intramolecular Diels–Alder Reaction by Self-Assembly of the Components on a Lewis Acid Template. Org. Lett. 2000, 2, 3937–3940. [Google Scholar] [CrossRef]
- Barriault, L.; Thomas, J.D.O.; Clément, R. Highly Stereoselective Hydroxy-Directed Diels–Alder Reaction. J. Org. Chem. 2003, 68, 2317–2323. [Google Scholar] [CrossRef] [PubMed]
- Barriault, L.; Ang, P.J.A.; Lavigne, R.M.A. Rapid Assembly of the Bicyclo5.3.1undecenone Core of Penostatin F: A Successive Diels–Alder/Claisen Reaction Strategy with an Efficient Stereochemical Relay. Org. Lett. 2004, 6, 1317–1319. [Google Scholar] [CrossRef] [PubMed]
- Beingessner, R.L.; Farand, J.A.; Barriault, L. Progress toward the Total Synthesis of (±)-Havellockate. J. Org. Chem. 2010, 75, 6337–6346. [Google Scholar] [CrossRef]
- Zografos, A.L.; Yiotakis, A.; Georgiadis, D. Rapid Access to the Tricyclic Spirotetronic Core of Abyssomicins. Org. Lett. 2005, 7, 4515–4518. [Google Scholar] [CrossRef]
- Ward, D.E.; Souweha, M.S. Catalytic Enantioselective Diels–Alder Reaction by Self-Assembly of the Components on a Lewis Acid Template. Org. Lett. 2005, 7, 3533–3536. [Google Scholar] [CrossRef]
- Ishihara, J.; Nakadachi, S.; Watanabe, Y.; Hatakeyama, S. Lewis Acid Template-Catalyzed Asymmetric Diels-Alder Reaction. J. Org. Chem. 2015, 80, 2037–2041. [Google Scholar] [CrossRef]
- Bister, B.; Bischoff, D.; Ströbele, M.; Riedlinger, J.; Reicke, A.; Wolter, F.; Bull, A.T.; Zähner, H.; Fiedler, H.-P.; Süssmuth, R.D. Abyssomicin C—A polycyclic antibiotic from a marine Verrucosispora strain as an inhibitor of the p-aminobenzoic acid/tetrahydrofolate biosynthetic pathway. Angew. Chem. Int. Ed. 2004, 43, 2574–2576. [Google Scholar] [CrossRef] [PubMed]
- Riedlinger, J.; Reicke, A.; Zähner, H.; Krismer, B.; Bull, A.T.; Maldonado, L.A.; Ward, A.C.; Goodfellow, M.; Bister, B.; Bischoff, D.; et al. Abyssomicins, inhibitors of the para-aminobenzoic acid pathway produced by the marine Verrucosispora strain AB-18-032. J. Antibiot. 2004, 57, 271–279. [Google Scholar] [CrossRef]
- Fiedle, H.-P. Abyssomicins—A 20-Year Retrospective View. Mar. Drugs 2021, 19, 299. [Google Scholar] [CrossRef]
- Isaka, M.; Rugseree, N.; Maithip, P.; Kongsaeree, P.; Prabpai, S.; Thebtaranonth, Y. Hirsutellones A–E, antimycobacterial alkaloids from the insect pathogenic fungus Hirsutella nivea BCC 2594. Tetrahedron 2005, 61, 5577–5583. [Google Scholar] [CrossRef]
- D’Auria, M.V.; Debitus, C.; Paloma, L.G.; Minale, L.; Zampella, A. Superstolide A: A Potent Cytotoxic Macrolide of a New Type From the New Caledonian Deep Water Marine Sponge Neosiphonia Superstes. J. Am. Chem. Soc. 1994, 116, 6658–6663. [Google Scholar] [CrossRef]
- D’Auria, M.V.; Paloma, L.G.; Minale, L.; Zampella, A.; Debitus, C. A Novel Cytotoxic Macrolide, Superstolide B, Related to Superstolide a, From the New Caledonian Marine Sponge Neosiphonia Superstes. J. Nat. Prod. 1994, 57, 1595–1597. [Google Scholar] [CrossRef] [PubMed]
- Hu, T.; Curtis, J.M.; Oshima, Y.; Quilliam, M.A.; Walter, J.A.; Watson-Wright, W.M.; Wright, J.L. Spirolides B and D, two novel macrocycles isolated from the digestive glands of shellfish. J. Chem. Soc. Chem. Commun. 1995, 2159–2161. [Google Scholar] [CrossRef]
- Hu, T.; Burton, I.W.; Cembella, A.D.; Curtis, J.M.; Quilliam, M.A.; Walter, J.A.; Wright, J.L.C. Characterization of spirolides a, c, and 13-desmethyl c, new marine toxins isolated from toxic plankton and contaminated shellfish. J. Nat. Prod. 2001, 64, 308–312. [Google Scholar] [CrossRef] [PubMed]
- Uemura, D.; Chou, T.; Haino, T.; Nagatsu, A.; Fukusawa, S.; Zheng, S.; Chen, H. Pinnatoxin A: A toxic amphoteric macrocycle from the Okinawan bivalve Pinna muricata. J. Am. Chem. Soc. 1995, 117, 1155–1156. [Google Scholar] [CrossRef]
- Seki, T.; Satake, M.; Mackenzie, L.; Kaspar, H.F.; Yasumoto, T. Gymnodimine, a new marine toxin of unpresented structure isolated from New Zealand oysters and the dinoflagellate, Gymnodinium sp. Tetrahedron Lett. 1995, 36, 7093–7096. [Google Scholar] [CrossRef]
- Bourne, Y.; Radić, Z.; Aráoz, R.; Talley, T.T.; Benoit, E.; Servent, D.; Taylor, P.; Molgó, J.; Marchot, P. Structural determinants in phycotoxins and AChBP conferring high affinity binding and nicotinic AChR antagonism. Proc. Natl. Acad. Sci. USA 2010, 107, 6076–6081. [Google Scholar] [CrossRef]
- Bourne, Y.; Sulzenbacher, G.; Radić, Z.; Aráoz, R.; Reynaud, M.; Benoit, E.; Zakarian, A.; Servent, D.; Molgó, J.; Taylor, P.; et al. Marine macrocyclic imines, pinnatoxins A and G: Structural determinants and functional properties to distinguish neuronal α7 from muscle α12βγδ nAChRs. Structure 2015, 23, 1106–1115. [Google Scholar] [CrossRef]
Disclaimer/Publisher’s Note: The statements, opinions and data contained in all publications are solely those of the individual author(s) and contributor(s) and not of MDPI and/or the editor(s). MDPI and/or the editor(s) disclaim responsibility for any injury to people or property resulting from any ideas, methods, instructions or products referred to in the content. |
© 2024 by the author. Licensee MDPI, Basel, Switzerland. This article is an open access article distributed under the terms and conditions of the Creative Commons Attribution (CC BY) license (https://creativecommons.org/licenses/by/4.0/).



































