Population and Energy Transfer Dynamics in an Open Excitonic Quantum Battery
Abstract
1. Introduction
2. Open QB Model
3. Simulation Details
4. Results and Discussion
4.1. Exciton Storage and Discharge
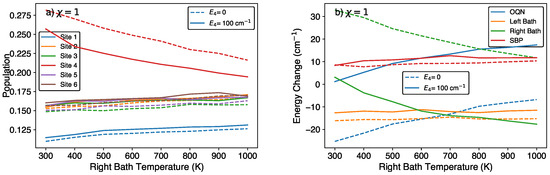
4.2. Effect of Bath Temperature
4.3. Effect of Bath Reorganization Energy
4.4. Effect of Site Energy
5. Concluding Remarks
Supplementary Materials
Author Contributions
Funding
Institutional Review Board Statement
Data Availability Statement
Acknowledgments
Conflicts of Interest
References
- Stefanatos, D. Optimal efficiency of a noisy quantum heat engine. Phys. Rev. E 2014, 90, 012119. [Google Scholar] [CrossRef]
- Binder, F.C.; Vinjanampathy, S.; Modi, K.; Goold, J. Quantacell: Powerful charging of quantum batteries. New J. Phys. 2015, 17, 075015. [Google Scholar] [CrossRef]
- Campaioli, F.; Pollock, F.A.; Binder, F.C.; Céleri, L.; Goold, J.; Vinjanampathy, S.; Modi, K. Enhancing the Charging Power of Quantum Batteries. Phys. Rev. Lett. 2017, 118, 150601. [Google Scholar] [CrossRef]
- Ferraro, D.; Campisi, M.; Andolina, G.M.; Pellegrini, V.; Polini, M. High-Power Collective Charging of a Solid-State Quantum Battery. Phys. Rev. Lett. 2018, 120, 117702. [Google Scholar] [CrossRef]
- Barra, F. Dissipative Charging of a Quantum Battery. Phys. Rev. Lett. 2019, 122, 210601. [Google Scholar] [CrossRef]
- Farina, D.; Andolina, G.M.; Mari, A.; Polini, M.; Giovannetti, V. Charger-mediated energy transfer for quantum batteries: An open-system approach. Phys. Rev. B 2019, 99, 035421. [Google Scholar] [CrossRef]
- Rossini, D.; Andolina, G.M.; Polini, M. Many-body localized quantum batteries. Phys. Rev. B 2019, 100, 115142. [Google Scholar] [CrossRef]
- Caravelli, F.; Yan, B.; Garcia-Pintos, L.P.; Hamma, A. Energy storage and coherence in closed and open quantum batteries. Quantum 2021, 5, 505. [Google Scholar] [CrossRef]
- Mazzoncini, F.; Cavina, V.; Andolina, G.M.; Erdman, P.A.; Giovannetti, V. Optimal control methods for quantum batteries. Phys. Rev. A 2023, 107, 032218. [Google Scholar] [CrossRef]
- Alicki, R.; Fannes, M. Entanglement boost for extractable work from ensembles of quantum batteries. Phys. Rev. E 2013, 87, 042123. [Google Scholar] [CrossRef] [PubMed]
- Giorgi, G.L.; Campbell, S. Correlation approach to work extraction from finite quantum systems. J. Phys. B 2015, 48, 035501. [Google Scholar] [CrossRef]
- Andolina, G.M.; Keck, M.; Mari, A.; Campisi, M.; Giovannetti, V.; Polini, M. Extractable Work, the Role of Correlations, and Asymptotic Freedom in Quantum Batteries. Phys. Rev. Lett. 2019, 122, 047702. [Google Scholar] [CrossRef]
- Shi, H.L.; Ding, S.; Wan, Q.K.; Wang, X.H.; Yang, W.L. Entanglement, Coherence, and Extractable Work in Quantum Batteries. Phys. Rev. Lett. 2022, 129, 130602. [Google Scholar] [CrossRef] [PubMed]
- Dou, F.Q.; Lu, Y.Q.; Wang, Y.J.; Sun, J.A. Extended Dicke quantum battery with interatomic interactions and driving field. Phys. Rev. B 2022, 105, 115405. [Google Scholar] [CrossRef]
- Breuer, H.P.; Petruccione, F. The Theory of Open Quantum Systems; Oxford University Press: Oxford, UK, 2007. [Google Scholar] [CrossRef]
- Weiss, U. Quantum Dissipative Systems; World Scientific: Singapore, 2012; Volume 13. [Google Scholar]
- De Vega, I.; Alonso, D. Dynamics of non-Markovian open quantum systems. Rev. Mod. Phys. 2017, 89, 015001. [Google Scholar] [CrossRef]
- Liu, J.; Segal, D.; Hanna, G. Loss-free excitonic quantum battery. J. Phys. Chem. C 2019, 123, 18303–18314. [Google Scholar] [CrossRef]
- Lidar, D.A. Review of Decoherence-Free Subspaces, Noiseless Subsystems, and Dynamical Decoupling. In Quantum Information and Computation for Chemistry; John Wiley & Sons, Ltd.: Hoboken, NJ, USA, 2014; pp. 295–354. [Google Scholar] [CrossRef]
- Jamiołkowski, A.; Kamizawa, T.; Pastuszak, G. On invariant subspace in quantum control systems and some concepts of integrable quantum systems. Int. J. Theor. Phys. 2015, 54, 2662–2674. [Google Scholar] [CrossRef]
- Buča, B.; Prosen, T. A note on symmetry reductions of the Lindblad equation: Transport in constrained open spin chains. New J. Phys. 2012, 14, 073007. [Google Scholar] [CrossRef]
- Thingna, J.; Manzano, D.; Cao, J. Dynamical signatures of molecular symmetries in nonequilibrium quantum transport. Sci. Rep. 2016, 6, 1–11. [Google Scholar] [CrossRef]
- Albert, V.V.; Jiang, L. Symmetries and conserved quantities in Lindblad master equations. Phys. Rev. A 2014, 89, 022118. [Google Scholar] [CrossRef]
- Suter, D.; Álvarez, G.A. Colloquium: Protecting quantum information against environmental noise. Rev. Mod. Phys. 2016, 88, 041001. [Google Scholar] [CrossRef]
- Zanardi, P.; Rasetti, M. Noiseless quantum codes. Phys. Rev. Lett. 1997, 79, 3306. [Google Scholar] [CrossRef]
- Lidar, D.A.; Chuang, I.L.; Whaley, K.B. Decoherence-free subspaces for quantum computation. Phys. Rev. Lett. 1998, 81, 2594. [Google Scholar] [CrossRef]
- Lidar, D.A.; Birgitta Whaley, K. Decoherence-Free Subspaces and Subsystems. In Irreversible Quantum Dynamics; Benatti, F., Floreanini, R., Eds.; Springer: Berlin/Heidelberg, Germany, 2003; pp. 83–120. [Google Scholar] [CrossRef]
- Beige, A.; Braun, D.; Tregenna, B.; Knight, P.L. Quantum computing using dissipation to remain in a decoherence-free subspace. Phys. Rev. Lett. 2000, 85, 1762. [Google Scholar] [CrossRef] [PubMed]
- Xue, P.; Xiao, Y.F. Universal quantum computation in decoherence-free subspace with neutral atoms. Phys. Rev. Lett. 2006, 97, 140501. [Google Scholar] [CrossRef]
- Manzano, D.; Hurtado, P.I. Symmetry and the thermodynamics of currents in open quantum systems. Phys. Rev. B 2014, 90, 125138. [Google Scholar] [CrossRef]
- Manzano, G.; Giorgi, G.L.; Fazio, R.; Zambrini, R. Boosting the performance of small autonomous refrigerators via common environmental effects. New J. Phys. 2019, 21, 123026. [Google Scholar] [CrossRef]
- Gherardini, S.; Campaioli, F.; Caruso, F.; Binder, F.C. Stabilizing open quantum batteries by sequential measurements. Phys. Rev. Res. 2020, 2, 013095. [Google Scholar] [CrossRef]
- Tejero, Á.; Thingna, J.; Manzano, D. Comment on “Loss-Free Excitonic Quantum Battery”. J. Phys. Chem. C 2021, 125, 7518–7520. [Google Scholar] [CrossRef]
- Manzano, D.; Hurtado, P. Harnessing symmetry to control quantum transport. Adv. Phys. 2018, 67, 1–67. [Google Scholar] [CrossRef]
- Liu, J.; Hanna, G. Efficient and deterministic propagation of mixed quantum-classical Liouville dynamics. J. Phys. Chem. Lett. 2018, 9, 3928–3933. [Google Scholar] [CrossRef] [PubMed]
- Liu, Z.; Sergi, A.; Hanna, G. DECIDE: A Deterministic Mixed Quantum-Classical Dynamics Approach. Appl. Sci. 2022, 12, 7022. [Google Scholar] [CrossRef]
- Liu, J.; Hsieh, C.Y.; Segal, D.; Hanna, G. Heat transfer statistics in mixed quantum-classical systems. J. Chem. Phys. 2018, 149, 224104. [Google Scholar] [CrossRef]
- Liu, J.; Segal, D.; Hanna, G. Hybrid quantum-classical simulation of quantum speed limits in open quantum systems. J. Phys. A 2019, 52, 215301. [Google Scholar] [CrossRef]
- Carpio-Martínez, P.; Hanna, G. Nonequilibrium heat transport in a molecular junction: A mixed quantum-classical approach. J. Chem. Phys. 2019, 151, 074112. [Google Scholar] [CrossRef]
- Carpio-Martínez, P.; Hanna, G. Quantum bath effects on nonequilibrium heat transport in model molecular junctions. J. Chem. Phys. 2021, 154, 094108. [Google Scholar] [CrossRef]
- Wigner, E. On the Quantum Correction For Thermodynamic Equilibrium. Phys. Rev. 1932, 40, 749–759. [Google Scholar] [CrossRef]
- Imre, K.; Özizmir, E.; Rosenbaum, M.; Zweifel, P. Wigner method in quantum statistical mechanics. J. Math. Phys. 1967, 8, 1097–1108. [Google Scholar] [CrossRef]
- Wang, H.; Thoss, M.; Miller, W.H. Systematic convergence in the dynamical hybrid approach for complex systems: A numerically exact methodology. J. Chem. Phys. 2001, 115, 2979–2990. [Google Scholar] [CrossRef][Green Version]
- Huo, P.; Coker, D.F. Semi-classical path integral non-adiabatic dynamics: A partial linearized classical mapping Hamiltonian approach. Mol. Phys. 2012, 110, 1035–1052. [Google Scholar] [CrossRef]
- Ishizaki, A.; Fleming, G.R. Theoretical examination of quantum coherence in a photosynthetic system at physiological temperature. Proc. Natl. Acad. Sci. USA 2009, 106, 17255–17260. [Google Scholar] [CrossRef] [PubMed]
- Shanks, E.B. Higher Order Approximations of Runge-Kutta Type; Technical Report NASA-TN-D-2920; NASA Marshall Space Flight Center NTRS Document ID: 19650022581; NTRS Research Center: Moffett Field, CA, USA, 1965. [Google Scholar]





Disclaimer/Publisher’s Note: The statements, opinions and data contained in all publications are solely those of the individual author(s) and contributor(s) and not of MDPI and/or the editor(s). MDPI and/or the editor(s) disclaim responsibility for any injury to people or property resulting from any ideas, methods, instructions or products referred to in the content. |
© 2024 by the authors. Licensee MDPI, Basel, Switzerland. This article is an open access article distributed under the terms and conditions of the Creative Commons Attribution (CC BY) license (https://creativecommons.org/licenses/by/4.0/).
Share and Cite
Liu, Z.; Hanna, G. Population and Energy Transfer Dynamics in an Open Excitonic Quantum Battery. Molecules 2024, 29, 889. https://doi.org/10.3390/molecules29040889
Liu Z, Hanna G. Population and Energy Transfer Dynamics in an Open Excitonic Quantum Battery. Molecules. 2024; 29(4):889. https://doi.org/10.3390/molecules29040889
Chicago/Turabian StyleLiu, Zhe, and Gabriel Hanna. 2024. "Population and Energy Transfer Dynamics in an Open Excitonic Quantum Battery" Molecules 29, no. 4: 889. https://doi.org/10.3390/molecules29040889
APA StyleLiu, Z., & Hanna, G. (2024). Population and Energy Transfer Dynamics in an Open Excitonic Quantum Battery. Molecules, 29(4), 889. https://doi.org/10.3390/molecules29040889

