Characteristic Evaluation of Gas Chromatography with Different Detectors for Accurate Determination of Sulfur Hexafluoride
Abstract
1. Introduction
2. Results and Discussion
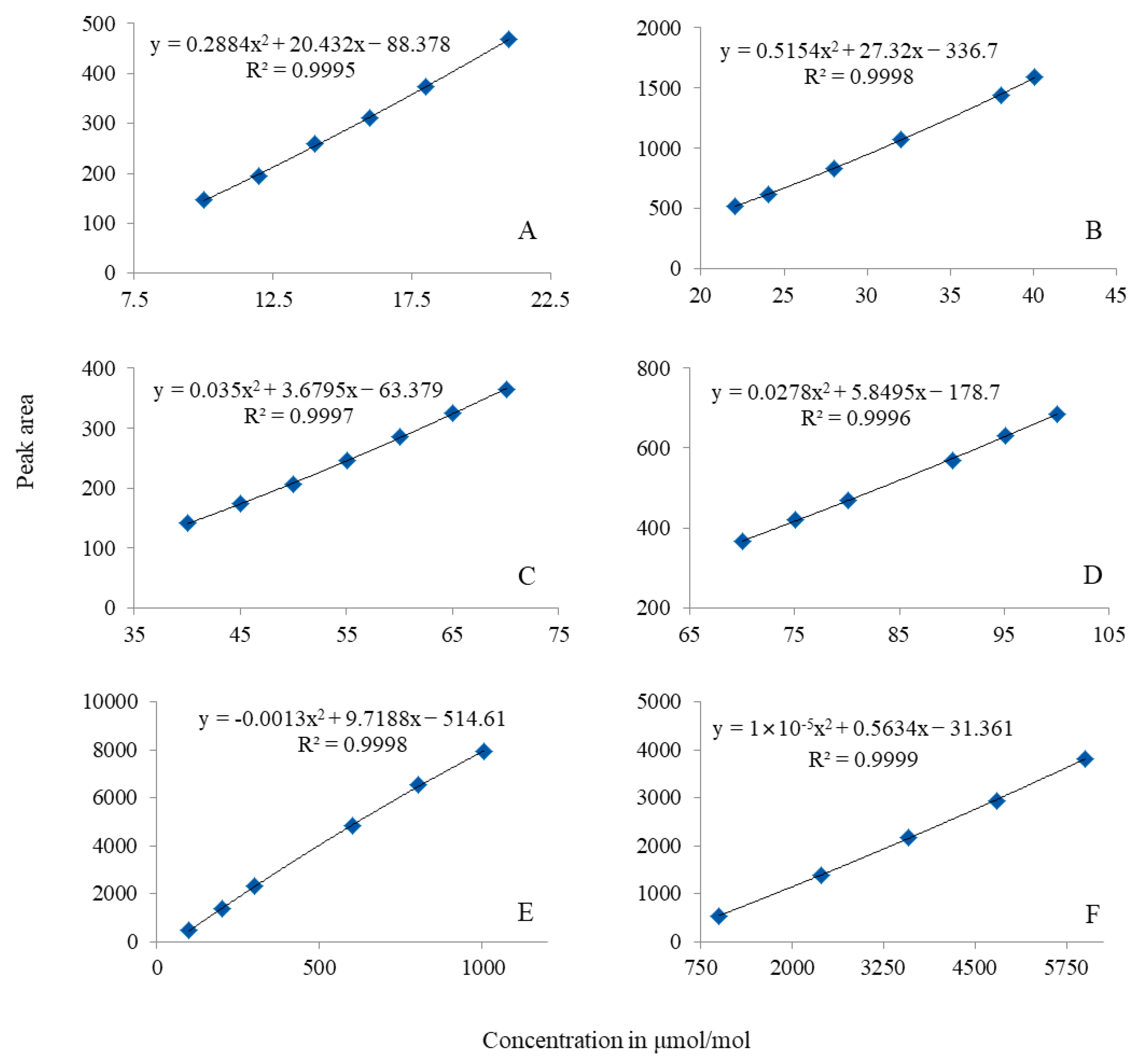
2.1. Determination of SF6 Using GC-FPD
2.2. Determination of SF6 Using a PDHID
2.3. Determination of SF6 Using a TCD
2.4. Discussion
3. Experimental
3.1. Instruments
3.2. Materials
3.3. Methods
4. Conclusions
Supplementary Materials
Author Contributions
Funding
Institutional Review Board Statement
Informed Consent Statement
Data Availability Statement
Conflicts of Interest
References
- Rigby, M.; Mühle, J.; Miller, B.R.; Prinn, R.G.; Krummel, P.B.; Steele, L.P.; Fraser, P.J.; Salameh, P.K.; Harth, C.M.; Weiss, R.F.; et al. History of atmospheric SF6 from 1973 to 2008. Atmos. Chem. Phys. 2010, 10, 10305–10320. [Google Scholar] [CrossRef]
- Maiss, M.; Brenninkmeijer, C.A.M. Atmospheric SF6: Trends, sources and prospects. Environ. Sci. Technol. 1998, 32, 3077–3086. [Google Scholar] [CrossRef]
- Waugh, D.W.; Crotwell, A.M.; Dlugokencky, E.J.; Dutton, G.S.; Elkins, J.W.; Hall, B.D.; Hintsa, E.J.; Hurst, D.F.; Montzka, S.A.; Mondeel, D.J.; et al. Tropospheric SF6: Age of air from the Northern Hemisphere midlatitude surface. J. Geophys. Res. Atmos. 2013, 118, 429–441. [Google Scholar] [CrossRef]
- EPA: Overview of SF6 Emissions Sources and Reduction Options in Electric Power Systems, U.S. Environmental Protection Agency. 2018. Available online: https://www/epa.gov/f-gas-partnership-programs/overview-SF6-emissions-sources-and-reduction-options-elctric-power (accessed on 5 December 2019).
- Peter, G.S.; Matthew, R.; Alistair, J.M.; Sunyoung, P.; Kieran, M.S.; Archie, M.; Stephan, H.; Francesco, G.; Michela, M.; Jgor, A.; et al. The increasing atmospheric burden of the greenhouse gas sulfur hexafluoride (SF6). Atmos. Chem. Phys. 2020, 20, 7271–7290. [Google Scholar]
- Smythe, K. Trends in SF6 Sales and End–Use Applications: 1961–2003. In Proceedings of the Conference on SF6 and the Environment, Scottsdale, Arizona, 1–3 December 2004. [Google Scholar]
- United Nations: Kyoto Protocol to the United Nations Framework Convention on Climate Change; United Nations: Kyoto, Japan, 1998.
- Myhre, G.; Shindell, D.; Bréon, F.M.; Collins, W.; Fuglestvedt, J.; Huang, J.; Koch, D.; Lamarque, J.F.; Lee, D.; Mendoza, B.; et al. Anthropogenic and Natural Radiative Forcing. In Climate Change 2013: The Physical Science Basis. Contribution of Working Group 1 to the Fifth Assessment Report of the Inter-Governmental Panel on Climate Change; Cambridge University Press: Cambridge, UK; New York, NY, USA, 2013. [Google Scholar]
- Engel, A.; Möbius, T.; Bönisch, H.; Schmidt, U.; Heinz, R.; Levin, I.; Atlas, E.; Aoki, S.; Nakazawa, T.; Sugawara, S.; et al. Age of stratospheric air unchanged within uncertainties over the past 30 years. Nat. Geosci. 2009, 2, 28–31. [Google Scholar] [CrossRef]
- Ray, E.A.; Moore, F.L.; Elkins, J.W.; Rosenlof, K.H.; Laube, J.C.; Röckmann, T.; Marsh, D.R.; Andrews, A.E. Quantification of the SF6 lifetime based on mesospheric loss measured in the stratospheric polar vortex. J. Geophys. Res. Atmos. 2017, 122, 4626–4638. [Google Scholar] [CrossRef]
- Hall, B.D.; Dutton, G.S.; Mondeel, D.J.; Nance, J.D.; Rigby, M.; Butler, J.H.; Moore, F.L.; Hurst, D.F.; Elkins, J.W. Improving measurements of SF6 for the study of atmospheric transport and emissions. Atmos. Meas. Tech. 2011, 4, 2441–2451. [Google Scholar] [CrossRef]
- Lovelock, J.E. Atmospheric fluorine compounds as indicators of air movements. Nature 1971, 230, 379. [Google Scholar] [CrossRef]
- Krey, P.W.; Lagomarsino, R.J.; Toonkel, L.E. Gaseous halogens in the atmosphere in 1975. J. Geophys. Res. 1977, 82, 1753–1766. [Google Scholar] [CrossRef]
- Singh, H.B.; Salas, L.J.; Shigeishi, H.; Scribner, E. Atmospheric halocarbons, hydrocarbons, and sulfur hexafluoride: Global distributions, sources, and sinks. Science 1979, 203, 899–903. [Google Scholar] [CrossRef] [PubMed]
- Niemeyer, L.; Chu, F. SF6 and the Atmosphere. IEEE Trans. Electr. Insul. 1992, 27, 184–187. [Google Scholar] [CrossRef]
- Ko, M.K.W.; Sze, N.D.; Wang, W.C.; Shia, G.; Goldman, A.; Murcray, F.J.; Murcray, D.G.; Rinsland, C.P. Atmospheric sulfur hexafluoride: Sources, sinks and greenhouse warming. J. Geophys. Res. 1993, 98, 10499–10507. [Google Scholar] [CrossRef]
- Scottish Hydro Electric. Scottish Hydro Electric Transmission plc: Annual Performance Report 2013/14; Scottish and Southern Electric: Perth, UK, 2013. [Google Scholar]
- Lim, J.S.; Lee, J.; Moon, D.; Kim, J.S.; Lee, J.; Hall, B.D. Gravimetric Standard Gas Mixtures for Global Monitoring of Atmospheric SF6. Anal. Chem. 2017, 89, 12068–12075. [Google Scholar] [CrossRef] [PubMed]
- Ahn, B.S.; Moon, D.M.; Lee, J.B.; Kim, J.S.; Lee, J.H.; Hong, K. Development of nitrogen and oxygen certified reference materials in 10 μmol/mol for the purity evaluation. J. Anal. Sci. Technol. 2020, 33, 68–75. [Google Scholar]
- Konopel’ko, L.A.; Efremova, O.V.; Kadis, R.L.; Klimov, A.Y.; Kolobova, A.V.; Mal’ginov, A.V.; Chubchenko, Y.K. Reference gas mixtures of formaldehyde in nitrogen: Preparation by a dynamic gravimetric method. Meas. Tech. 2020, 62, 915–922. [Google Scholar] [CrossRef]
- Levin, I.; Naegler, T.; Heinz, R.; Osusko, D.; Cuevas, E.; Engel, A.; Ilmberger, J.; Langenfelds, R.; Neininger, B.; Rohden, C.V.; et al. The global SF6 source inferred from long–term high precision atmospheric measurements and its comparison with emission inventories. Atmos. Chem. Phys. 2010, 10, 2655–2662. [Google Scholar] [CrossRef]
- Kim, J.S.; Moon, D.M.; Kato, K.; Konopelko, L.A.; Kustikov, Y.A.; Guenther, F.R.; Rhodrick, G. International Comparison CCQM-K15: Emission level of CF4 and SF6. Metrologia 2006, 43, 08009. [Google Scholar] [CrossRef]
- Matsumoto, N.; Noguchi, F.; Aoki, N.; Kato, K.; Isaki, R.; Sakata, S.; Yoshida, H.; Ikeda, T. Development of primary reference gas mixture of CF4 and SF6 in N2 as CRM for measurements of their emission from semiconductor process tool. Bunseki Kagaku 2009, 58, 407–417. [Google Scholar] [CrossRef]
- Hayward, T.C.; Thurbide, K.B. Quenching-resistant multiple micro-flame photometric detector for gas chromatography. Anal. Chem. 2009, 81, 8858–8867. [Google Scholar] [CrossRef] [PubMed]
- ISO 6142-1:2015; Gas Analysis Preparation of Calibration Gas Mixtures Part 1: Gravimetric Method for Class I Mixtures. ISO: Geneva, Switzerland, 2015.







| Detector | Concentration Range (μmol/mol) | Fitting Method | Calibration Equation | Coefficient of Determination |
|---|---|---|---|---|
| FPD | 10–20, | Second polynomial equation | y = 0.2884x2 + 20.432x − 88.378, | R² = 0.9995, |
| 20–40, | y = 0.5154x2 + 27.32x − 336.7, | R² = 0.9998, | ||
| 40–70, | y = 0.035x2 + 3.6795x − 63.379, | R² = 0.9997, | ||
| 70–100, | y = 0.0278x2 + 5.8495x − 178.7, | R² = 0.9996, | ||
| 100–1000, | y = −0.0013x2 + 9.7188x − 514.61, | R² = 0.9998, | ||
| 1000–6000 | y = 1 × 10−5x2 + 0.5634x − 31.361 | R² = 0.9999 | ||
| PDHID | 10–100, | Linear equation | y = 491.6591x + 268.6090, | R² = 1.0000 |
| 100–1000 | y = 415.8977x + 9408.4270 | R² = 0.9997 | ||
| TCD | 100–1000 | Linear equation | y = 0.3167x − 0.7074 | R² = 1.0000 |
Disclaimer/Publisher’s Note: The statements, opinions and data contained in all publications are solely those of the individual author(s) and contributor(s) and not of MDPI and/or the editor(s). MDPI and/or the editor(s) disclaim responsibility for any injury to people or property resulting from any ideas, methods, instructions or products referred to in the content. |
© 2024 by the authors. Licensee MDPI, Basel, Switzerland. This article is an open access article distributed under the terms and conditions of the Creative Commons Attribution (CC BY) license (https://creativecommons.org/licenses/by/4.0/).
Share and Cite
Pan, S.; Zhang, T.; Zhang, G.; Yang, Z.; Feng, D.; Zhou, Z.; Ning, X. Characteristic Evaluation of Gas Chromatography with Different Detectors for Accurate Determination of Sulfur Hexafluoride. Molecules 2024, 29, 787. https://doi.org/10.3390/molecules29040787
Pan S, Zhang T, Zhang G, Yang Z, Feng D, Zhou Z, Ning X. Characteristic Evaluation of Gas Chromatography with Different Detectors for Accurate Determination of Sulfur Hexafluoride. Molecules. 2024; 29(4):787. https://doi.org/10.3390/molecules29040787
Chicago/Turabian StylePan, Susu, Tiqiang Zhang, Guocheng Zhang, Zhenqi Yang, Duan Feng, Zhikuan Zhou, and Xuelei Ning. 2024. "Characteristic Evaluation of Gas Chromatography with Different Detectors for Accurate Determination of Sulfur Hexafluoride" Molecules 29, no. 4: 787. https://doi.org/10.3390/molecules29040787
APA StylePan, S., Zhang, T., Zhang, G., Yang, Z., Feng, D., Zhou, Z., & Ning, X. (2024). Characteristic Evaluation of Gas Chromatography with Different Detectors for Accurate Determination of Sulfur Hexafluoride. Molecules, 29(4), 787. https://doi.org/10.3390/molecules29040787

