A Portable Electrochemical Dopamine Detector Using a Fish Scale-Derived Graphitized Carbon-Modified Screen-Printed Carbon Electrode
Abstract
1. Introduction
2. Results and Discussion
2.1. Characterizations of a-GC
2.2. Electrochemical Properties of a-GC/SPCE
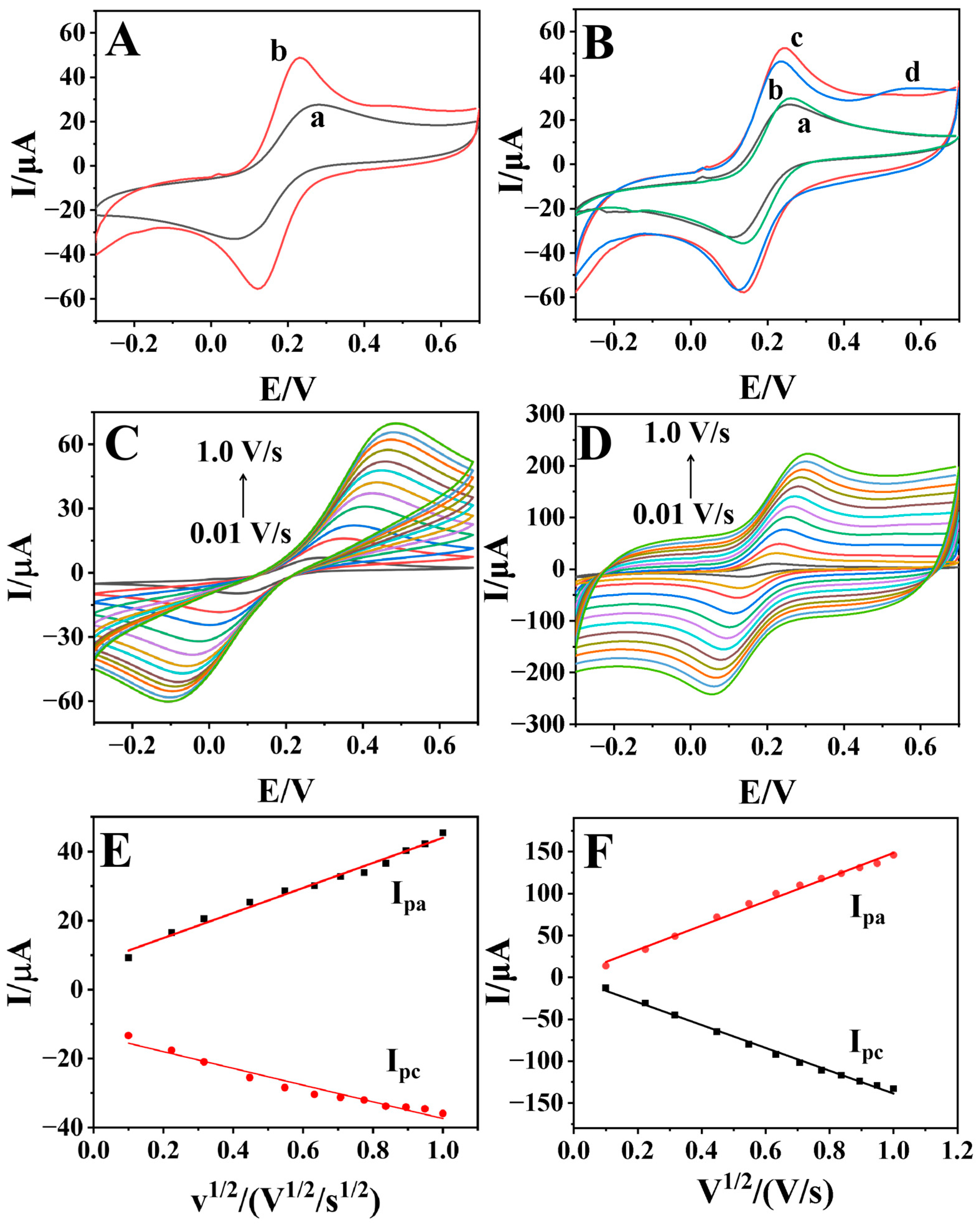
2.3. Electrochemical Behaviors of DA on a-GC/SPCE
2.4. Electrochemical Investigations of DA on a-GC/SPCE
2.5. Calibration Study for DA Analysis
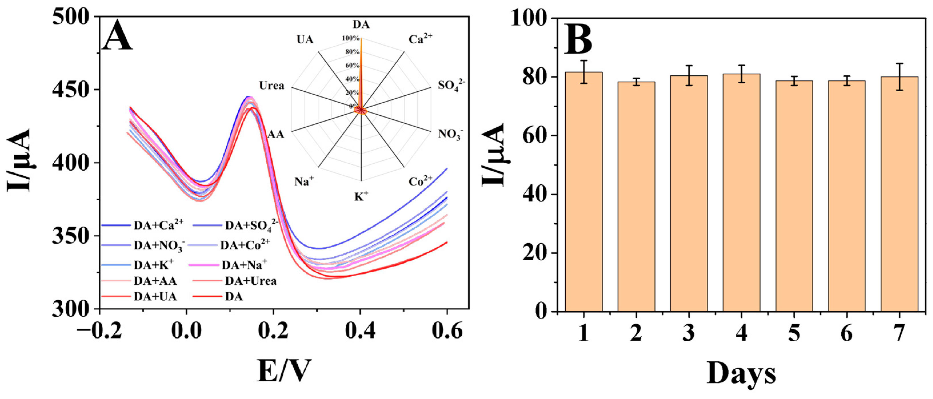
2.6. Selectivity, Repeatability and Stability
2.7. Real-Life Sample Analysis
3. Experimental
3.1. Instruments and Reagents
3.2. Synthesis of a-GC
3.3. Electrochemical Investigations
4. Conclusions
Author Contributions
Funding
Institutional Review Board Statement
Informed Consent Statement
Data Availability Statement
Conflicts of Interest
References
- Kelley, A.E. Memory and addiction: Shared neural circuitry and molecular mechanisms. Neuron 2004, 44, 161–179. [Google Scholar] [CrossRef] [PubMed]
- Caudle, W.M.; Colebrooke, R.E.; Emson, P.C.; Miller, G.W. Altered vesicular dopamine storage in Parkinson’s disease: A premature demise. Trends Neurosci. 2008, 31, 303–308. [Google Scholar] [CrossRef]
- Brunmair, J.; Gotsmy, M.; Niederstaetter, L.; Neuditschko, B.; Bileck, A.; Slany, A.; Feuerstein, M.L.; Langbauer, C.; Janker, L.; Zanghellini, J.; et al. Finger sweat analysis enables short interval metabolic biomonitoring in humans. Nat. Commun. 2021, 12, 5993. [Google Scholar] [CrossRef] [PubMed]
- Baker, L.B.; Wolfe, A.S. Physiological mechanisms determining eccrine sweat composition. Eur. J. Appl. Physiol. 2020, 120, 719–752. [Google Scholar] [CrossRef] [PubMed]
- Bariya, M.; Nyein, H.Y.Y.; Javey, A. Wearable sweat sensors. Nat. Electron. 2018, 1, 160–171. [Google Scholar] [CrossRef]
- Wei, X.; Zhang, Z.D.; Wang, Z.H. A simple dopamine detection method based on fluorescence analysis and dopamine polymerization. Microchem. J. 2019, 145, 55–58. [Google Scholar] [CrossRef]
- Tang, H.; Lin, P.; Chan, H.L.; Yan, F. Highly sensitive dopamine biosensors based on organic electrochemical transistors. Biosens. Bioelectron. 2011, 26, 4559–4563. [Google Scholar] [CrossRef]
- Jiang, Z.; Gao, P.; Yang, L.; Huang, C.; Li, Y. Facile in situ synthesis of silver nanoparticles on the surface of metal–organic framework for ultrasensitive surface-enhanced Raman scattering detection of dopamine. Anal. Chem. 2015, 87, 12177–12182. [Google Scholar] [CrossRef] [PubMed]
- Chen, A.C.; Chatterjee, S. Nanomaterials based electrochemical sensors for biomedical applications. Chem. Soc. Rev. 2013, 42, 5425–5438. [Google Scholar] [CrossRef]
- Wilson, D.M.; Hoyt, S.; Janata, J.; Booksh, K.; Obando, L. Chemical sensors for portable, handheld field instruments. IEEE Sens. J. 2001, 4, 256–274. [Google Scholar] [CrossRef]
- Shao, B.; Ai, Y.J.; Yan, L.J.; Wang, B.L.; Huang, Y.H.; Zou, Q.W.; Fu, H.Y.; Niu, X.L.; Sun, W. Wireless electrochemical sensor for the detection of phytoregulator indole-3-acetic acid using gold nanoparticles and three-dimensional reduced graphene oxide modified screen printed carbon electrode. Talanta 2023, 253, 124030. [Google Scholar] [CrossRef]
- Parrilla, M.; Montiel, N.F.; Van Durme, F.; De Wael, K. Derivatization of amphetamine to allow its electrochemical detection in illicit drug seizures. Sens. Actuat. B Chem. 2021, 337, 129819. [Google Scholar] [CrossRef]
- Chen, Y.X.; Sun, Y.X.; Niu, Y.Y.; Wang, B.L.; Zhang, Z.J.; Zeng, L.N.; Li, L.; Sun, W. Portable electrochemical sensing of indole-3-acetic acid based on self-assembled MXene and multi-walled carbon nanotubes composite modified screen-printed electrode. Electroanalysis 2023, 35, e202200279. [Google Scholar] [CrossRef]
- Zhou, J.H.; Pan, K.H.; Qu, G.F.; Ji, W.; Ning, P.; Tang, H.M.; Xie, R.S. rGO/MWCNTs-COOH 3D hybrid network as a high-performance electrochemical sensing platform of screen-printed carbon electrodes with an ultra-wide detection range of Cd (II) and Pb (II). Chem. Eng. J. 2022, 449, 137853. [Google Scholar] [CrossRef]
- Yamuna, A.; Karikalan, N.; Na, J.H.; Lee, T.Y. Lanthanum tin oxide-modified sensor electrode for the rapid detection of environmentally hazardous insecticide carbaryl in soil, water, and vegetable samples. J. Hazard. Mater. 2022, 437, 129415. [Google Scholar] [CrossRef] [PubMed]
- Nagles, E.; García-Beltrán, O.; Calderón, J.A. Evaluation of the usefulness of a novel electrochemical sensor in detecting uric acid and dopamine in the presence of ascorbic acid using a screen-printed carbon electrode modified with single walled carbon nanotubes and ionic liquids. Electrochim. Acta 2017, 258, 512–523. [Google Scholar] [CrossRef]
- Palanisamy, S.; Thirumalraj, B.; Chen, S.M.; Ali, M.A.; Al-Hemaid, F.M. Palladium nanoparticles decorated on activated fullerene modified screen printed carbon electrode for enhanced electrochemical sensing of dopamine. J. Colloid. Interf. Sci. 2015, 448, 251–256. [Google Scholar] [CrossRef] [PubMed]
- Dakshayini, B.S.; Reddy, K.R.; Mishra, A.; Shetti, N.P.; Malode, S.J.; Basu, S.; Naveen, S.; Raghu, A.V. Role of conducting polymer and metal oxide-based hybrids for applications in ampereometric sensors and biosensors. Microchem. J. 2019, 147, 7–24. [Google Scholar] [CrossRef]
- Li, Z.; Wang, L.; Li, Y.; Feng, Y.; Feng, W. Carbon-based functional nanomaterials: Preparation, properties and applications. Compos. Sci. Technol. 2019, 179, 10–40. [Google Scholar] [CrossRef]
- Islam, S.; Shaheen Shah, S.; Naher, S.; Ali Ehsan, M.; Aziz, M.A.; Ahammad, A.S. Graphene and carbon nanotube-based electrochemical sensing platforms for dopamine. Chem. Asian J. 2021, 16, 3516–3543. [Google Scholar] [CrossRef] [PubMed]
- Wang, W.; Xu, G.; Cui, X.T.; Sheng, G.; Luo, X. Enhanced catalytic and dopamine sensing properties of electrochemically reduced conducting polymer nanocomposite doped with pure graphene oxide. Biosens. Bioelectron. 2014, 58, 153–156. [Google Scholar] [CrossRef]
- Manasa, P.; Sambasivam, S.; Ran, F. Recent progress on biomass waste derived activated carbon electrode materials for supercapacitors applications—A review. J. Energy Storage 2022, 54, 105290. [Google Scholar] [CrossRef]
- Zhang, W.; Liu, L.; Li, Y.; Wang, D.; Ma, H.; Ren, H.; Shi, Y.; Han, Y.; Ye, B.C. Electrochemical sensing platform based on the biomass-derived microporous carbons for simultaneous determination of ascorbic acid, dopamine, and uric acid. Biosens. Bioelectron. 2018, 121, 96–103. [Google Scholar] [CrossRef] [PubMed]
- Mahmood, F.; Sun, Y.; Wan, C. Biomass-derived porous graphene for electrochemical sensing of dopamine. RSC Adv. 2021, 11, 15410–15415. [Google Scholar] [CrossRef] [PubMed]
- Padmapriya, A.; Thiyagarajan, P.; Devendiran, M.; Kalaivani, R.A.; Shanmugharaj, A.M. Electrochemical sensor based on N, P–doped carbon quantum dots derived from the banana flower bract (Musa acuminata) biomass extract for selective and picomolar detection of dopamine. J. Electroanal. Chem. 2023, 943, 117609. [Google Scholar] [CrossRef]
- Sha, T.; Li, X.; Liu, J.; Sun, M.; Wang, N.; Bo, X.; Guo, Y.; Hu, Z.; Zhou, M. Biomass waste derived carbon nanoballs aggregation networks-based aerogels as electrode material for electrochemical sensing. Sens. Actuat. B Chem. 2018, 277, 195–204. [Google Scholar] [CrossRef]
- Wang, B.; Shi, F.; Sun, Y.; Yan, L.; Zhang, X.; Wang, B.; Sun, W. Ni-enhanced molybdenum carbide loaded N-doped graphitized carbon as bifunctional electrocatalyst for overall water splitting. Appl. Surf. Sci. 2022, 572, 151480. [Google Scholar] [CrossRef]
- Lu, Q.; Ye, X.N.; Zhang, Z.X.; Wang, Z.X.; Cui, M.S.; Yang, Y.P. Catalytic fast pyrolysis of sugarcane bagasse using activated carbon catalyst in a hydrogen atmosphere to selectively produce 4-ethyl phenol. J. Anal. Appl. Pyrolysis 2018, 136, 125–131. [Google Scholar] [CrossRef]
- Shi, F.; Yan, L.J.; Li, X.Q.; Feng, C.L.; Wang, C.Z.; Zhang, B.X.; Sun, W. Porous biomass carbon and gold nanoparticles modified electrode for myoglobin direct electrochemistry and electrocatalysis. J. Chin. Chem. Soc. 2021, 68, 2006–2012. [Google Scholar] [CrossRef]
- Ai, Y.; Liu, J.; Yan, L.; Li, G.; Wang, X.; Sun, W. Banana peel derived biomass carbon: Multi-walled carbon nanotube composite modified electrode for sensitive voltammetric detection of baicalein. J. Chin. Chem. Soc. 2022, 69, 359–365. [Google Scholar] [CrossRef]
- Balahmar, N.; Al-Jumialy, A.S.; Mokaya, R. Biomass to porous carbon in one step: Directly activated biomass for high performance CO2 storage. J. Mater. Chem. A 2017, 5, 12330–12339. [Google Scholar] [CrossRef]
- He, H.; Zhang, R.; Zhang, P.; Wang, P.; Chen, N.; Qian, B.; Zhang, L.; Yu, J.; Dai, B. Functional carbon from nature: Biomass-derived carbon materials and the recent progress of their applications. Adv. Sci. 2023, 10, 2205557. [Google Scholar] [CrossRef] [PubMed]
- Cheng, D.; Tian, M.; Wang, B.; Zhang, J.; Chen, J.; Feng, X.; He, Z.; Dai, L.; Wang, L. One-step activation of high-graphitization N-doped porous biomass carbon as advanced catalyst for vanadium redox flow battery. J. Colloid. Interf. Sci. 2020, 572, 216–226. [Google Scholar] [CrossRef]
- He, J.; Zhang, D.; Wang, Y.; Zhang, J.; Yang, B.; Shi, H.; Wang, K.; Wang, Y. Biomass-derived porous carbons with tailored graphitization degree and pore size distribution for supercapacitors with ultra-high rate capability. Appl. Surf. Sci. 2020, 515, 146020. [Google Scholar] [CrossRef]
- Zhao, J.; Liu, Y.; Quan, X.; Chen, S.; Yu, H.; Zhao, H. Nitrogen-doped carbon with a high degree of graphitization derived from biomass as high-performance electrocatalyst for oxygen reduction reaction. Appl. Surf. Sci. 2017, 396, 986–993. [Google Scholar] [CrossRef]
- Adekunle, A.S.; Agboola, B.O.; Pillay, J.; Ozoemena, K.I. Electrocatalytic detection of dopamine at single-walled carbon nanotubes–iron (III) oxide nanoparticles platform. Sens. Actuat. B Chem. 2010, 148, 93–102. [Google Scholar] [CrossRef]
- Ferrari, A.C.; Meyer, J.C.; Scardaci, V.; Casiraghi, C.; Lazzeri, M.; Mauri, F.; Piscanec, S.; Jiang, D.; Novoselov, K.S.; Roth, S.; et al. Raman spectrum of graphene and graphene layers. Phys. Rev. Lett. 2006, 97, 187401. [Google Scholar] [CrossRef]
- Bard, A.J.; Faulkner, L.R.; White, H.S. Electrochemical Methods: Fundamentals and Applications; John Wiley Sons: Hoboken, NJ, USA, 1983; Volume 60, p. A25. [Google Scholar] [CrossRef]
- Ensafi, A.A.; Taei, M.; Khayamian, T.; Arabzadeh, A. Highly selective determination of ascorbic acid, dopamine, and uric acid by differential pulse voltammetry using poly (sulfonazo III) modified glassy carbon electrode. Sens. Actuat. B Chem. 2010, 147, 213–221. [Google Scholar] [CrossRef]
- Mazloum Ardakani, M.; Beitollahi, H.; Ganjipour, B.; Naeimi, H.; Nejati, M. Electrochemical and catalytic investigations of dopamine and uric acid by modified carbon nanotube paste electrode. Bioelectrochemistry 2009, 75, 1–8. [Google Scholar] [CrossRef]
- Galus, Z. Fundamentals of Electrochemical Analysis; Ellis Hornood: New York, NY, USA, 1976; Volume 10. Available online: https://lccn.loc.gov/76005838 (accessed on 28 January 2024).
- Xu, Y.; Qin, Y.; Gao, X.; Li, J.; Xiao, D. Defective prussian blue analogue with cobalt for fabrication of an electrochemical sensor for detecting ascorbic acid, dopamine and uric acid. Chem. Electro. Chem. 2023, 10, e202300134. [Google Scholar] [CrossRef]
- Zhang, W.; Zheng, J.; Shi, J.; Lin, Z.; Huang, Q.; Zhang, H.; Wei, C.; Chen, J.; Hu, S.; Hao, A. Nafion covered core–shell structured Fe3O4@graphene nanospheres modified electrode for highly selective detection of dopamine. Anal. Chim. Acta 2015, 853, 285–290. [Google Scholar] [CrossRef] [PubMed]
- Gao, F.; Cai, X.; Wang, X.; Gao, C.; Liu, S.; Gao, F.; Wang, Q. Highly sensitive and selective detection of dopamine in the presence of ascorbic acid at graphene oxide modified electrode. Sens. Actuat. B Chem. 2013, 186, 380–387. [Google Scholar] [CrossRef]
- Wei, Q.; Zhang, F.L.; Li, J.; Li, B.J.; Zhao, C.S. Oxidant-induced dopamine polymerization for multifunctional coatings. Polym. Chem. 2010, 1, 1430–1433. [Google Scholar] [CrossRef]
- Du, X.; Li, L.X.; Li, J.S.; Yang, C.W.; Frenkel, N.; Welle, A.; Heissler, S.; Nefedov, A.; Grunze, M.; Levkin, P.A. UV-triggered dopamine polymerization: Control of polymerization, surface coating, and photopatterning. Adv. Mater. 2014, 26, 8029–8033. [Google Scholar] [CrossRef] [PubMed]
- Molaakbari, E.; Mostafavi, A.; Beitollahi, H. Simultaneous electrochemical determination of dopamine, melatonin, methionine and caffeine. Sensor Actuat. B Chem. 2015, 208, 195–203. [Google Scholar] [CrossRef]
- Yang, Z.; Liu, X.; Zheng, X.; Zheng, J. Synthesis of Au@Pt nanoflowers supported on graphene oxide for enhanced electrochemical sensing of dopamine. J. Electroanal. Chem. 2018, 817, 48–54. [Google Scholar] [CrossRef]
- Pourghobadi, Z.; Neamatollahi, D. Voltammetric determination of dopamine using modified glassy carbon electrode by electrografting of catechol. J. Serb. Chem. Soc. 2017, 82, 1053–1061. [Google Scholar] [CrossRef]
- Yuan, Y.; Wang, S.; Wu, P.; Yuan, T.; Wang, X. Lignosulfonate in situ-modified reduced graphene oxide biosensors for the electrochemical detection of dopamine. RSC Adv. 2022, 12, 31083–31090. [Google Scholar] [CrossRef]
- Palanisamy, S.; Ku, S.; Chen, S. Dopamine sensor based on a glassy carbon electrode modified with a reduced graphene oxide and palladium nanoparticles composite. Microchim. Acta 2013, 180, 1037–1042. [Google Scholar] [CrossRef]
- Kim, Y.R.; Bong, S.; Kang, Y.J.; Yang, Y.; Mahajan, R.K.; Kim, J.S.; Kim, H. Electrochemical detection of dopamine in the presence of ascorbic acid using graphene modified electrodes. Biosens Bioelectron. 2010, 25, 2366–2369. [Google Scholar] [CrossRef] [PubMed]
- Lai, G.S.; Zhang, H.L.; Han, D.Y. Electrocatalytic oxidation and voltammetric determination of dopamine at a Nafion/carbon-coated iron nanoparticles-chitosan composite film modified electrode. Microchim. Acta 2008, 160, 233. [Google Scholar] [CrossRef]
- Zhang, H.; Liu, S. Electrochemical sensors based on nitrogen-doped reduced graphene oxide for the simultaneous detection of ascorbic acid, dopamine and uric acid. J. Alloys Compd. 2020, 842, 155873. [Google Scholar] [CrossRef]
- Park, D.J.; Choi, J.H.; Lee, W.J.; Um, S.H.; Oh, B.K. Selective electrochemical detection of dopamine using reduced graphene oxide sheets-gold nanoparticles modified electrode. J. Nanosci. Nanotechnol. 2017, 17, 8012–8018. [Google Scholar] [CrossRef]
- Anshori, I.; Nuraviana Rizalputri, L.; Rona Althof, R.; Sean Surjadi, S.; Harimurti, S.; Gumilar, G.; Yuliarto, B.; Handayani, M. Functionalized multi-walled carbon nanotube/silver nanoparticle (f-MWCNT/AgNP) nanocomposites as non-enzymatic electrochemical biosensors for dopamine detection. Nanocomposite 2021, 7, 97–108. [Google Scholar] [CrossRef]
- Huang, Q.; Lin, X.; Tong, L.; Tong, Q.X. Graphene quantum dots/multiwalled carbon nanotubes composite-based electrochemical sensor for detecting dopamine release from living cells. ACS Sustain. Chem. Eng. 2020, 8, 1644–1650. [Google Scholar] [CrossRef]
- Thiagarajan, S.; Chen, S.M. Preparation and characterization of PtAu hybrid film modified electrodes and their use in simultaneous determination of dopamine, ascorbic acid and uric acid. Talanta 2007, 74, 212–222. [Google Scholar] [CrossRef] [PubMed]










| Electrodes | Methods | Linear Range (μmol/L) | LOD (μmol/L) | References |
|---|---|---|---|---|
| Au@Pt/GO/GCE | DPV | 1.0–100.0 | 5.0 | [48] |
| CA/GCE | CV | 5–100 | 0.86 | [49] |
| LS-rGO/GCE | DPV | 0.12–100 | 0.035 | [50] |
| Pd-NPs-rGO/GCE | LSV | 1–150 | 0.233 | [51] |
| Graphene/GCE | DPV | 4–100 | 2.64 | [52] |
| Nafion/CCINPs-CS/GCE | DPV | 2.0–60 | 1.0 | [53] |
| N-rGO/GCE | DPV | 1–60 | 0.1 | [54] |
| rGS-GNP/Au | DPV | 0.1–100 | 0.098 | [55] |
| f-MWCNT/AgNP/GCE | DPV | 1–8 | 0.2778 | [56] |
| GQDs-MWCNTs/GCE | DPV | 0.05–100.0 | 0.00087 | [57] |
| PtAu/GCE | DPV | 24–384 | 24 | [58] |
| a-GC/SPCE | DPV | 1.0–150.0 150.0–1000.0 | 0.25 | This work |
| Samples | Added (μmol/L) | Found (μmol/L) | Recovery (%) | RSD (%) |
|---|---|---|---|---|
| Human sweat | 10.00 | 10.23 | 102.30 | 2.48 |
| 20.00 | 19.78 | 98.90 | 1.43 | |
| 30.00 | 29.76 | 99.20 | 2.29 |
Disclaimer/Publisher’s Note: The statements, opinions and data contained in all publications are solely those of the individual author(s) and contributor(s) and not of MDPI and/or the editor(s). MDPI and/or the editor(s) disclaim responsibility for any injury to people or property resulting from any ideas, methods, instructions or products referred to in the content. |
© 2024 by the authors. Licensee MDPI, Basel, Switzerland. This article is an open access article distributed under the terms and conditions of the Creative Commons Attribution (CC BY) license (https://creativecommons.org/licenses/by/4.0/).
Share and Cite
Yang, F.; Han, X.; Ai, Y.; Shao, B.; Ding, W.; Tang, K.; Sun, W. A Portable Electrochemical Dopamine Detector Using a Fish Scale-Derived Graphitized Carbon-Modified Screen-Printed Carbon Electrode. Molecules 2024, 29, 744. https://doi.org/10.3390/molecules29030744
Yang F, Han X, Ai Y, Shao B, Ding W, Tang K, Sun W. A Portable Electrochemical Dopamine Detector Using a Fish Scale-Derived Graphitized Carbon-Modified Screen-Printed Carbon Electrode. Molecules. 2024; 29(3):744. https://doi.org/10.3390/molecules29030744
Chicago/Turabian StyleYang, Feng, Xiao Han, Yijing Ai, Bo Shao, Weipin Ding, Kai Tang, and Wei Sun. 2024. "A Portable Electrochemical Dopamine Detector Using a Fish Scale-Derived Graphitized Carbon-Modified Screen-Printed Carbon Electrode" Molecules 29, no. 3: 744. https://doi.org/10.3390/molecules29030744
APA StyleYang, F., Han, X., Ai, Y., Shao, B., Ding, W., Tang, K., & Sun, W. (2024). A Portable Electrochemical Dopamine Detector Using a Fish Scale-Derived Graphitized Carbon-Modified Screen-Printed Carbon Electrode. Molecules, 29(3), 744. https://doi.org/10.3390/molecules29030744

