A Coumarin–Hemicyanine Deep Red Dye with a Large Stokes Shift for the Fluorescence Detection and Naked-Eye Recognition of Cyanide
Abstract
1. Introduction
2. Results
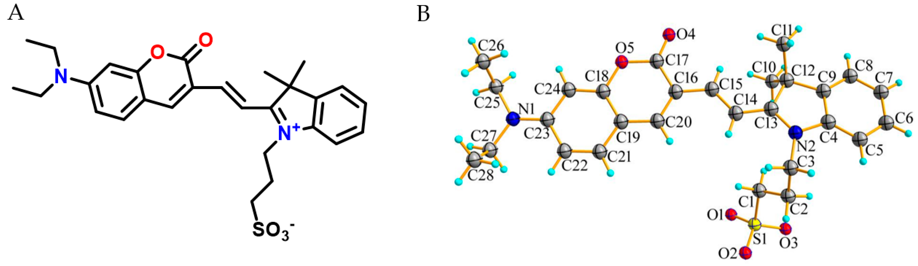
2.1. Structural Characterization
2.2. Determination of Optimal Experimental Conditions
2.3. Anion Sensing Study
2.4. Titration and Detection Limits
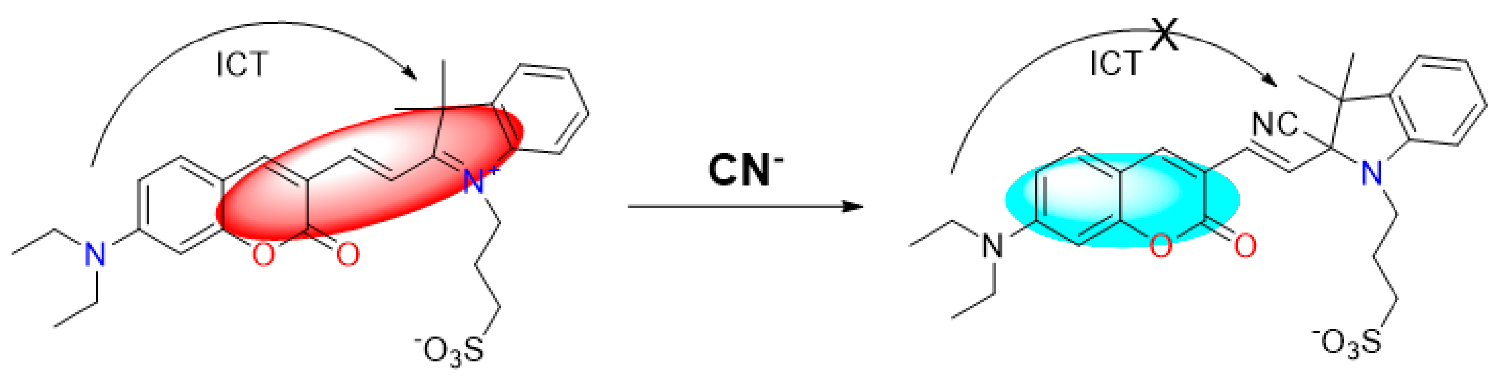
2.5. Theoretical Calculations and the Possible Mechanism for Detection of CN−
2.6. Applications
3. Materials and Methods
3.1. Equipment and Reagents
3.2. Synthesis of Fluorescent Probe W
3.3. X-ray Crystallography
3.4. Preparation of Fluorescent Probe W and Ion Stock Solution
4. Conclusions
Supplementary Materials
Author Contributions
Funding
Institutional Review Board Statement
Informed Consent Statement
Data Availability Statement
Acknowledgments
Conflicts of Interest
References
- Jia, C.D.; Zuo, W.; Zhang, D.; Yang, X.J.; Wu, B. Anion recognition by oligo-(thio)urea-based receptors. Chem. Commun. 2016, 52, 9614–9627. [Google Scholar] [CrossRef]
- Gosi, M.; Marepu, N.; Sunandamma, Y. Cyanine-based Fluorescent Probe for Cyanide Ion Detection. J. Fluoresc. 2021, 31, 1409–1415. [Google Scholar] [CrossRef]
- Li, J.J.; Qi, X.L.; Wei, W.; Liu, Y.C.; Xu, X.; Lin, Q.H.; Dong, W. A “donor-two-acceptor” sensor for cyanide detection in aqueous solution. Sens. Actuators B Chem. 2015, 220, 986–991. [Google Scholar] [CrossRef]
- Abdolhamid, A.; Sohrab, G.; Mohammad, M.K.; Mehdi, A. An interesting spectroscopic method for chromofluorogenic detection of cyanide ion in aqueous solution: Disruption of intramolecular charge transfer (ICT). J. Chem. Sci. 2016, 128, 537–543. [Google Scholar] [CrossRef]
- Li, J.J.; Wei, W.; Qi, X.L.; Zuo, G.C.; Fang, J.K.; Dong, W. Highly selective colorimetric/fluorometric dual-channel sensor for cyanide based on ICT off in aqueous solution. Sens. Actuators B Chem. 2016, 228, 330–334. [Google Scholar] [CrossRef]
- Lou, X.D.; Zhang, Y.; Li, S.; Ou, D.X.; Wan, Z.M.; Qin, J.G.; Li, Z. A new polyfluorene bearing pyridine moieties: A sensitive fluorescent chemosensor for metal ions and cyanide. Polym. Chem. 2012, 3, 1446. [Google Scholar] [CrossRef]
- GB 5749-2006; Standards for Drinking Water Quality. Ministry of Health of the People’s Republic of China, Standardization Administration, Standards Press of China: Beijing, China, 2007.
- Xu, Z.C.; Chen, X.Q.; Kim, H.N.; Yoon, J.Y. Sensors for the optical detection of cyanide ion. Chem. Soc. Rev. 2010, 39, 127–137. [Google Scholar] [CrossRef] [PubMed]
- Curtis, A.J.; Grayless, C.C.; Fall, R. Simultaneous determination of cyanide and carbonyls in cyanogenic plants by gas chromatography-electron capture/photoionization detection. Analyst 2002, 127, 1446–1449. [Google Scholar] [CrossRef] [PubMed]
- Yu, B.; Li, C.Y.; Sun, Y.X.; Jia, H.R.; Guo, J.Q.; Li, K. A new azine derivative colorimetric and fluorescent dual-channel probe for cyanide detection. Spectrochim. Acta A Mol. Biomol. Spectrosc. 2017, 184, 249–254. [Google Scholar] [CrossRef] [PubMed]
- Shan, D.; Mousty, C.; Cosnier, S. Subnanomolar cyanide detection at polyphenol oxidase/clay biosensors. Anal. Chem. 2004, 76, 178–183. [Google Scholar] [CrossRef]
- Tian, Y.; Dasgupta, P.K.; Mahon, S.B.; Ma, J.; Brenner, M.; Wang, J.H.; Boss, J.R. A disposable blood cyanide sensor. Anal. Chim. Acta. 2013, 20, 129–135. [Google Scholar] [CrossRef]
- Lee, K.S.; Kim, H.J.; Kim, G.H.; Shin, I.; Hong, J.I. Fluorescent chemodosimeter for selective detection of cyanide in water. Org. Lett. 2008, 10, 49–51. [Google Scholar] [CrossRef]
- Yang, Y.M.; Zhao, Q.; Feng, W.; Li, F.Y. Luminescent chemodosimeters for bioimaging. Chem. Rev. 2013, 113, 192–270. [Google Scholar] [CrossRef]
- Sukdeb, S.; Amrita, G.; Prasenjit, M.; Sandhya, M.; Sanjiv, K.M.; Suresh, E.; Satyabrata, D.; Amitava, D. Specific Recognition and Sensing of CN− in Sodium Cyanide Solution. Org. Lett. 2010, 12, 3406–3409. [Google Scholar] [CrossRef]
- Wang, S.T.; Chir, J.L.; Yi, J.; Wu, A.T. A turn-on fluorescent sensor for detection of cyanide in aqueous media. J. Lumin. 2015, 167, 413–417. [Google Scholar] [CrossRef]
- Chen, J.Y.; Zhou, H.Q.; Luo, X.Y.; He, S.H.; Ma, L.J. A reactive fluorescence probe based on naphthalene isothiocyanate for Hg+. J. South China Norm. Univ. 2018, 50, 20–24. [Google Scholar]
- Li, L.; Zan, M.H.; Qie, X.W.; Miao, P.; Yue, J.; Chang, Z.M.; Wang, Z.; Bai, F.Q.; Zhang, H.X.; Ferri, J.K.; et al. A highly selective fluorescent probe for cyanide ion and its detection mechanism from theoretical calculations. Talanta 2018, 185, 1–6. [Google Scholar] [CrossRef] [PubMed]
- Liu, G.; Shao, J. Anion Ratio Fluorescent Molecular Probe Based on Intramolecular Charge Transfer. J. Inorg. Chem. 2011, 27, 731. [Google Scholar] [CrossRef]
- Cao, D.X.; Liu, Z.Q.; Verwilst, P.; Koo, S.; Jangjili, P.; Kim, J.S.; Lin, W.Y. Coumarin-Based Small-Molecule Fluorescent Chemosensors. Chem. Rev. 2019, 119, 10403–10519. [Google Scholar] [CrossRef] [PubMed]
- Cheng, S.Y.; Pan, X.H.; Shi, M.Y.; Su, T.; Zhang, C.; Zhao, W.; Dong, W. A coumarin-connected carboxylic indolinium sensor for cyanide detection in absolute aqueous medium and its application in biological cell imaging. Spectrochim. Acta A Mol. Biomol. Spectrosc. 2020, 228, 117710. [Google Scholar] [CrossRef]
- Zhu, Y.L.; Wang, K.N.; Song, W.H.; Dong, B.L.; Zhao, S.F.; Guan, R.F.; Li, Z.P.; Sun, Y.T.; Cao, D.X.; Lin, W.Y. A mitochondria-targeted ratiometric fluorescent probe for endogenous cyanide in biological samples. Sens. Actuators B Chem. 2019, 294, 283–290. [Google Scholar] [CrossRef]
- Shi, Q.; Wu, S.T.; Shen, L.Y.; Zhou, T.; Xu, H.; Wang, Z.Y.; Yang, X.J.; Huang, Y.L.; Zhang, Q.L. A Turn-On Fluorescent Chemosensor for Cyanide Ion Detection in Real Water Samples. Front. Chem. 2022, 10, 923149. [Google Scholar] [CrossRef]
- Lv, X.; Liu, J.; Liu, Y.; Zhao, Y.; Sun, Y.Q.; Wang, P.; Guo, W. Ratiometric fluorescence detection of cyanide based on a hybrid coumarin–hemicyanine dye: The large emission shift and the high selectivity. Chem. Commun. 2011, 47, 12843–12845. [Google Scholar] [CrossRef]
- Li, C.; Iscen, A.; Palmer, L.C.; Schatz, G.C.; Stupp, S.L. Light-Driven Expansion of Spiropyran Hydrogels. J. Am. Chem. Soc. 2020, 142, 8447–8453. [Google Scholar] [CrossRef]
- Zhang, Q.; Zhang, Y.; Ding, S.S.; Zhang, H.Y.; Feng, G.Q. A near-infrared fluorescent probe for rapid, colorimetric and ratiometric detection of bisulfite in food, serum, and living cells. Sens. Actuators B Chem. 2015, 211, 377–384. [Google Scholar] [CrossRef]
- Krause, L.; Herbst-Irmer, R.; Sheldrick, G.M.; Stalke, D. Comparison of silver and molybdenum microfocus X-ray sources for single-crystal structure determination. J. Appl. Crystallogr. 2015, 48, 3–10. [Google Scholar] [CrossRef] [PubMed]
- Sheldrick, G.M. SHELXT–Integrated space-group and crystal-structure determination. Acta Crystallogr. Sect. A Found. Adv. 2015, 71, 3–8. [Google Scholar] [CrossRef] [PubMed]
- Kumar, P.S.; Lakshmi, P.R.; Elango, K.P. An easy to make chemoreceptor for the selective ratiometric fluorescent detection of cyanide in aqueous solution and in food materials. New J. Chem. 2019, 43, 675–680. [Google Scholar] [CrossRef]
- Long, L.L.; Yuan, X.Q.; Cao, S.Y.; Han, Y.Y.; Liu, W.G.; Chen, Q.; Han, Z.X.; Wang, K. Determination of Cyanide in Water and Food Samples Using an Efficient Naphthalene-Based Ratiometric Fluorescent Probe. ACS Omega 2019, 4, 10784–10790. [Google Scholar] [CrossRef] [PubMed]
- Qu, W.J.; Li, W.T.; Zhang, H.L.; Wei, T.B.; Lin, Q.; Yao, H.; Zhang, Y.M. Rapid and Selective Detection of Cyanide Anion by Enhanced Fluorescent Emission and Colorimetric Color Changes at Micromole Levels in Aqueous Medium. J. Heterocycl. Chem. 2018, 55, 879–887. [Google Scholar] [CrossRef]
- Zhang, Y.X.; Lu, L.Y.; Pan, J.M.; Liu, H.; Ma, J. Preparation a novel phenylcarbazole-based fluorescent sensor for the sensitive and selective detection of CN− in water. Mater. Lett. 2022, 313, 131745. [Google Scholar] [CrossRef]
- Hu, J.H.; Sun, Y.; Qi, J.; Li, Q.; Wei, T.B. A new unsymmetrical azine derivative based on coumarin group as dual-modal sensor for CN− and fluorescent “OFF-ON” for Zn2+. Spectrochim. Acta Part A Mol. Biomol. Spectrosc. 2017, 175, 125–133. [Google Scholar] [CrossRef] [PubMed]
- Pei, P.X.; Hu, J.H.; Chen, Y.; Sun, Y.; Qi, J. A novel dual-channel chemosensor for CN− using asymmetric double-azine derivatives in aqueous media and its application in bitter almond. Spectrochim. Acta Part A Mol. Biomol. Spectrosc. 2017, 181, 131–136. [Google Scholar] [CrossRef] [PubMed]
- Koc, O.K.; Ozay, H. A simple azoquinoline based highly selective colorimetric sensor for CN− anion in aqueous media. Can. J. Chem. 2017, 95, 771–777. [Google Scholar] [CrossRef]












| Sample | Measured Concentration after Spiking (μM) | Sample Concentration (μM) | Spiked Concentration (μM) | Spiked Recovery Rate (%) |
|---|---|---|---|---|
| Unsprouted potato | 2.64 | 0.65 | 2.00 | 99.62 |
| 4.77 | 4.00 | 102.58 | ||
| 6.39 | 6.00 | 96.09 | ||
| Sprouted potato | 2.61 | 0.68 | 2.00 | 97.39 |
| 4.92 | 4.00 | 105.13 | ||
| 6.88 | 6.00 | 102.99 |
Disclaimer/Publisher’s Note: The statements, opinions and data contained in all publications are solely those of the individual author(s) and contributor(s) and not of MDPI and/or the editor(s). MDPI and/or the editor(s) disclaim responsibility for any injury to people or property resulting from any ideas, methods, instructions or products referred to in the content. |
© 2024 by the authors. Licensee MDPI, Basel, Switzerland. This article is an open access article distributed under the terms and conditions of the Creative Commons Attribution (CC BY) license (https://creativecommons.org/licenses/by/4.0/).
Share and Cite
Li, D.; Peng, S.; Zhou, X.; Shen, L.; Yang, X.; Xu, H.; Redshaw, C.; Zhang, C.; Zhang, Q. A Coumarin–Hemicyanine Deep Red Dye with a Large Stokes Shift for the Fluorescence Detection and Naked-Eye Recognition of Cyanide. Molecules 2024, 29, 618. https://doi.org/10.3390/molecules29030618
Li D, Peng S, Zhou X, Shen L, Yang X, Xu H, Redshaw C, Zhang C, Zhang Q. A Coumarin–Hemicyanine Deep Red Dye with a Large Stokes Shift for the Fluorescence Detection and Naked-Eye Recognition of Cyanide. Molecules. 2024; 29(3):618. https://doi.org/10.3390/molecules29030618
Chicago/Turabian StyleLi, Dongmei, Senlin Peng, Xu Zhou, Lingyi Shen, Xianjiong Yang, Hong Xu, Carl Redshaw, Chunlin Zhang, and Qilong Zhang. 2024. "A Coumarin–Hemicyanine Deep Red Dye with a Large Stokes Shift for the Fluorescence Detection and Naked-Eye Recognition of Cyanide" Molecules 29, no. 3: 618. https://doi.org/10.3390/molecules29030618
APA StyleLi, D., Peng, S., Zhou, X., Shen, L., Yang, X., Xu, H., Redshaw, C., Zhang, C., & Zhang, Q. (2024). A Coumarin–Hemicyanine Deep Red Dye with a Large Stokes Shift for the Fluorescence Detection and Naked-Eye Recognition of Cyanide. Molecules, 29(3), 618. https://doi.org/10.3390/molecules29030618

