Hybrid Materials—Mg3Al-LDH/Ionic Liquids/Chitosan Used in the Recovery Process of Pd Ions from Aqueous Solutions
Abstract
1. Introduction
2. Results and Discussion
2.1. Structural and Morphological Analysis: Evidence of Component Compatibility and Porous Network Formation
2.2. Thermal Behavior and Stability Analysis
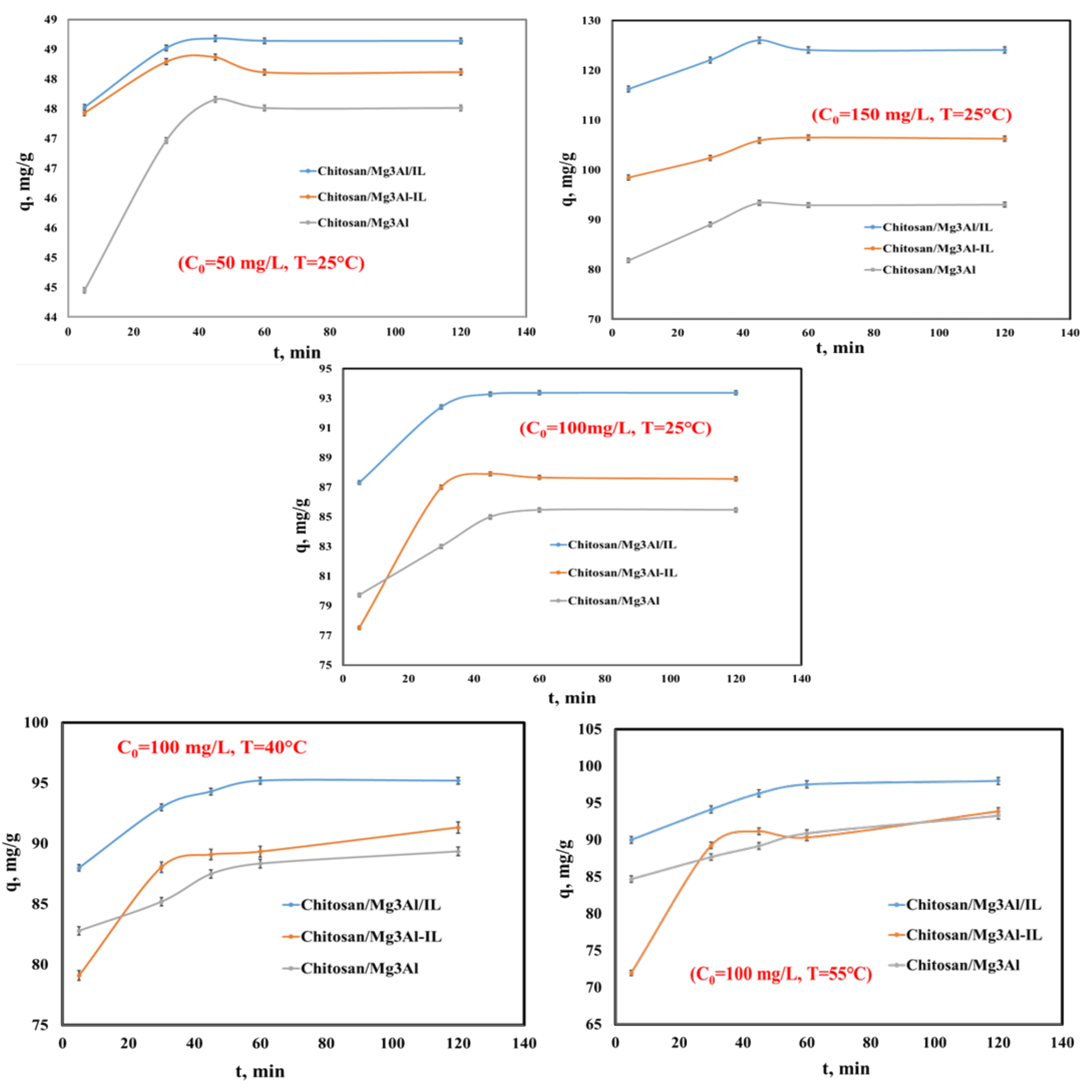
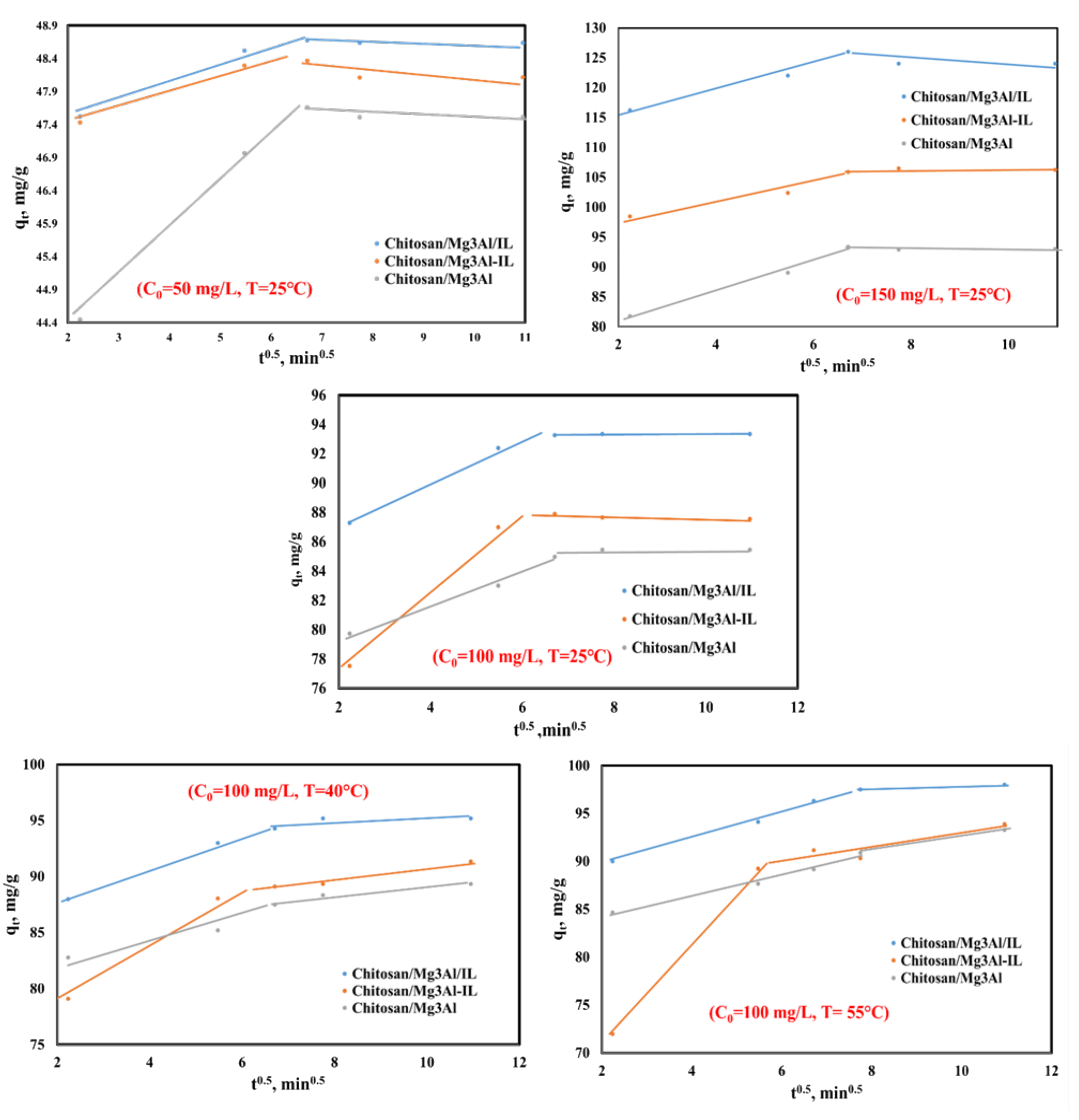
2.3. Kinetic Studies on Pd Adsorption on the Studied Materials
2.4. Thermodynamic Studies on Pd Adsorption on the Studied Materials
2.5. Equilibrium Studies on Pd Adsorption on the Studied Materials
3. Materials and Methods
3.1. Synthesis of Adsorbent Materials
3.2. Characterization of the Obtained Hybrid Materials
3.3. Palladium Recovery Studies
4. Conclusions
Author Contributions
Funding
Institutional Review Board Statement
Informed Consent Statement
Data Availability Statement
Conflicts of Interest
References
- Michałek, T.; Hessel, V.; Wojnicki, M. Production, Recycling and Economy of Palladium: A Critical Review. Materials 2024, 17, 45. [Google Scholar] [CrossRef] [PubMed]
- Wolfe, J.P.; Li, J.J. Chapter 1 An introduction to palladium catalysis. Tetrahedron Org. Chem. Ser. 2007, 26, 1–35. [Google Scholar]
- Hagelüken, C.; Lee-Shin, J.U.; Carpentier, A.; Heron, C. The EU Circular Economy and Its Relevance to Metal Recycling. Recycling 2016, 1, 242–253. [Google Scholar] [CrossRef]
- Directorate-General for Internal Market, Industry, Entrepreneurship and SMEs (European Commission); Bobba, S.; Claudiu, P.; Huygens, D.; Alves Dias, P.; Gawlik, B.; Tzimas, E. Report on Critical Raw Materials and the Circular Economy; Publications Office: Luxembourg, 2018. [Google Scholar]
- Xu, B.; Chen, Y.; Zhou, Y.; Zhang, B.; Liu, G.; Li, Q.; Yang, Y.; Jiang, T. A Review of Recovery of Palladium from the Spent Automobile Catalysts. Metals 2022, 12, 533. [Google Scholar] [CrossRef]
- Dawson, R.J.; Kelsall, G.H. Recovery of platinum group metals from secondary materials. I. Palladium dissolution in iodide solutions. J. Appl. Electrochem. 2007, 37, 3–14. [Google Scholar] [CrossRef]
- Vincent, T.; Guibal, E.; Chiarizia, R. Palladium Recovery by Reactive Precipitation using a Cyanex 301-Based Stable Emulsion. Sep. Sci. Technol. 2007, 42, 3517–3536. [Google Scholar] [CrossRef]
- Lee, S.H.; Kim, K.R.; Shon, J.S.; Yoo, J.H.; Chung, H. Precipitation characteristics of palladium from a simulated radioactive liquid waste by Ascorbic Acid. Korean J. Chem. Eng. 1999, 16, 166–169. [Google Scholar] [CrossRef]
- Bourgeois, D.; Lacanau, V.; Mastretta, R.; Contino-Pépin, C.; Meyer, D. A simple process for the recovery of palladium from wastes of printed circuit boards. Hydrometallurgy 2020, 191, 105241. [Google Scholar] [CrossRef]
- Goc, K.; Kluczka, J.; Benke, G.; Malarz, J.; Pianowska, K.; Leszczyńska-Sejda, K. Precipitation of Precious Metals Concentrates from Post-Elution Solutions from Ion-Exchange Processes. Minerals 2024, 14, 625. [Google Scholar] [CrossRef]
- Oladeji, A.V.; Courtney, J.M.; Fernandez-Villamarin, M.; Rees, N.V. Electrochemical Metal Recycling: Recovery of Palladium from Solution and In Situ Fabrication of Palladium-Carbon Catalysts via Impact Electrochemistry. J. Am. Chem. Soc. 2022, 144, 18562–18574. [Google Scholar] [CrossRef]
- Mansor, N.; Mohamed, N.; Mohd Suah, F.B. Electrochemical recovery of low concentration of palladium from palladium(II) chloride of electroplating wastewater. J. Chem. Technol. Biotechnol. 2021, 96, 3216–3223. [Google Scholar] [CrossRef]
- Zimmermann, P.; Tekinalp, Ö.; Wilhelmsen, Ø.; Deng, L.; Burheim, O.S. Enhancing Palladium Recovery Rates in Industrial Residual Solutions through Electrodialysis. Membranes 2023, 13, 859. [Google Scholar] [CrossRef] [PubMed]
- Ghezzi, L.; Robinson, B.H.; Secco, F.; Tiné, M.R.; Venturini, M. Removal and recovery of palladium(II) ions from water using micellar-enhanced ultrafiltration with a cationic surfactant. Colloids Surf. A Physicochem. Eng. Asp. 2008, 329, 12–17. [Google Scholar] [CrossRef]
- Lee, J.-C.; Kurniawan; Hong, H.J.; Chung, K.W.; Kim, S. Separation of platinum, palladium and rhodium from aqueous solutions using ion exchange resin: A review. Sep. Purif. Technol. 2020, 246, 116896. [Google Scholar] [CrossRef]
- Trucillo, P.; Di Maio, E.; Lancia, A.; Di Natale, F. Selective Gold and Palladium Adsorption from Standard Aqueous Solutions. Processes 2021, 9, 1282. [Google Scholar] [CrossRef]
- Maponya, T.C.; Modibane, K.D.; Somo, T.R.; Makgopa, K. Selective adsorption of palladium ions from wastewater by ion-imprinted MIL-101(Cr) derived from waste polyethylene terephthalate: Isotherms and kinetics. Sep. Purif. Technol. 2023, 307, 122767. [Google Scholar] [CrossRef]
- Wojnicki, M.; Socha, R.P.; Pędzich, Z.; Mech, K.; Tokarski, T.; Fitzner, K. Palladium(II) Chloride Complex Ion Recovery from Aqueous Solutions Using Adsorption on Activated Carbon. J. Chem. Eng. Data 2018, 63, 702–711. [Google Scholar] [CrossRef]
- Michałek, T.; Wojtaszek, K.; Małecki, S.; Kornaus, K.; Wandor, S.; Druciarek, J.; Fitzner, K.; Wojnicki, M. Recovery of Pd(II) Ions from Aqueous Solutions Using Activated Carbon Obtained in a Single-Stage Synthesis from Cherry Seeds. C 2023, 9, 46. [Google Scholar] [CrossRef]
- Khusnun, N.F.; Hasan, N.S.; Amalina, I.; Jalil, A.A.; Firmansyah, M.L. Enhanced Recovery of Palladium from an Aqueous Solution Using an Ionic Liquid–Mesoporous Silica Composite in Batch and Fixed-Column Studies. Ind. Eng. Chem. Res. 2022, 61, 8634–8644. [Google Scholar] [CrossRef]
- Sharma, S.; Krishna Kumar, A.S.; Rajesh, N. A perspective on diverse adsorbent materials to recover precious palladium and the way forward. RSC Adv. 2017, 7, 52133–52142. [Google Scholar] [CrossRef]
- Kameliya, J.; Verma, A.; Dutta, P.; Arora, C.; Vyas, S.; Varma, R.S. Layered Double Hydroxide Materials: A Review on Their Preparation, Characterization, and Applications. Inorganics 2023, 11, 121. [Google Scholar] [CrossRef]
- Wang, J.; Wei, X.; Wang, P.; Miao, J.; Zhang, R.; Zhang, N.; Zhou, X.; Xu, H.; Zhang, J.; Li, H.; et al. Insights into the enhanced performance of NiCo-LDH modified Pd/NF cathode for electrocatalytic hydrodechlorination. Fuel 2023, 341, 127689. [Google Scholar] [CrossRef]
- Nagarjuna, R.; Sharma, S.; Rajesh, N.; Ganesan, R. Effective Adsorption of Precious Metal Palladium over Polyethyleneimine-Functionalized Alumina Nanopowder and Its Reusability as a Catalyst for Energy and Environmental Applications. ACS Omega 2017, 2, 4494–4504. [Google Scholar] [CrossRef] [PubMed]
- Biata, N.R.; Jakavula, S.; Moutloali, R.M.; Nomngongo, P.N. Recovery of Palladium and Gold from PGM Ore and Concentrate Leachates Using Fe3O4@SiO2@Mg-Al-LDH Nanocomposite. Minerals 2021, 11, 917. [Google Scholar] [CrossRef]
- Cocheci, L.; Lupa, L.; Tolea, N.S.; Lazău, R.; Pode, R. IL-Functionalized Mg3Al-LDH as New Efficient Adsorbent for Pd Recovery from Aqueous Solutions. Int. J. Mol. Sci. 2022, 23, 9107. [Google Scholar] [CrossRef]
- Cocheci, L.; Lupa, L.; Ţolea, N.S.; Muntean, C.; Negrea, P. Sequential use of ionic liquid functionalized Zn-Al layered double hydroxide as adsorbent and photocatalyst. Sep. Purif. Technol. 2020, 250, 117104. [Google Scholar] [CrossRef]
- Țolea, S.N.; Cocheci, L.; Lupa, L.; Vodă, R.; Pode, R. Development of New Efficient Adsorbent by Functionalization of Mg3Al-LDH with Methyl Trialkyl Ammonium Chloride Ionic Liquid. Molecules 2021, 26, 7384. [Google Scholar] [CrossRef]
- Mikkola, J.-P.; Virtanen, P.; Sjöholm, R. Aliquat 336®—A versatile and affordable cation source for an entirely new family of hydrophobic ionic liquids. Green Chem. 2006, 8, 250–255. [Google Scholar] [CrossRef]
- Sharma, S.; Rajesh, N. Synergistic influence of graphene oxide and tetraoctylammonium bromide (frozen ionic liquid) for the enhanced adsorption and recovery of palladium from an industrial catalyst. J. Environ. Chem. Eng. 2016, 4 (Part A), 4287–4298. [Google Scholar] [CrossRef]
- Kumar, A.S.K.; Sharma, S.; Reddy, R.S.; Barathi, M.; Rajesh, N. Comprehending the interaction between chitosan and ionic liquid for the adsorption of palladium. Int. J. Biol. Macromol. 2015, 72, 633–639. [Google Scholar] [CrossRef]
- Zhou, L.; Xu, J.; Liang, X.; Liu, Z. Adsorption of platinum(IV) and palladium(II) from aqueous solution by magnetic cross-linking chitosan nanoparticles modified with ethylenediamine. J. Hazard. Mater. 2010, 182, 518–524. [Google Scholar] [CrossRef]
- Drabczyk, A.; Kudłacik-Kramarczyk, S.; Głąb, M.; Kędzierska, M.; Jaromin, A.; Mierzwiński, D.; Tyliszczak, B. Physicochemical Investigations of Chitosan-Based Hydrogels Containing Aloe Vera Designed for Biomedical Use. Materials 2020, 13, 3073. [Google Scholar] [CrossRef] [PubMed]
- Kloprogge, J.T.; Frost, R.L. Fourier Transform Infrared and Raman Spectroscopic Study of the Local Structure of Mg-, Ni-, and Co-Hydrotalcites. J. Solid State Chem. 1999, 146, 506–515. [Google Scholar] [CrossRef]
- Haro, N.K.; Del Vecchio, P.; Marcilio, N.R.; Féris, L.A. Removal of atenolol by adsorption—Study of kinetics and equilibrium. J. Clean. Prod. 2017, 154, 214–219. [Google Scholar] [CrossRef]
- Kumar, K.V.; Sivanesan, S. Prediction of optimum sorption isotherm: Comparison of linear and non-linear method. J. Hazard. Mater. 2005, 126, 198–201. [Google Scholar] [CrossRef]
- Neto, C.G.T.; Giacometti, J.A.; Job, A.E.; Ferreira, F.C.; Fonseca, J.L.C.; Pereira, M.R. Thermal Analysis of Chitosan Based Networks. Carbohydr. Polym. 2005, 62, 97–103. [Google Scholar] [CrossRef]
- Roelofs, J.C.; van Bokhoven, J.A.; van Dillen, A.J.; Geus, J.W.; de Jong, K.P. The thermal decomposition of Mg-Al hydrotalcites: Effects of interlayer anions and characteristics of the final structure. Chemistry 2002, 8, 5571–5579. [Google Scholar] [CrossRef]
- Kostić, M.M.; Hurt, A.P.; Milenković, D.D.; Velinov, N.D.; Petrović, M.M.; Bojić, D.V.; Marković-Nikolić, D.Z.; Bojić, A.L. Effects of Ultrasound on Removal of Ranitidine Hydrochloride from Water by Activated Carbon Based on Lagenaria siceraria. Environ. Eng. Sci. 2019, 36, 237–248. [Google Scholar] [CrossRef]
- Chen, J.; Liu, Y.; Liu, J.; Duan, Q.; Wang, Z.; Song, J.; Ji, C.; Sun, J. Effects of carbonization on the structure and sorption properties of coffee grounds for Pb(II) and Ni(II) in various metal systems. Desalination Water Treat. 2024, 320, 100623. [Google Scholar] [CrossRef]
- Sharma, S.; Rajesh, N. Augmenting the adsorption of palladium from spent catalyst using a thiazole ligand tethered on an amine functionalized polymeric resin. Chem. Eng. J. 2016, 283, 999–1008. [Google Scholar] [CrossRef]
- Vancea, C.; Mihailescu, M.; Negrea, A.; Mosoarca, G.; Ciopec, M.; Duteanu, N.; Negrea, P.; Minzatu, V. Batch and Fixed-Bed Column Studies on Palladium Recovery from Acidic Solution by Modified MgSiO(3). Int. J. Environ. Res. Public Health 2020, 17, 9500. [Google Scholar] [CrossRef] [PubMed]
- Bai, F.; Ye, G.; Chen, G.; Wei, J.; Wang, J.; Chen, J. Highly selective recovery of palladium by a new silica-based adsorbent functionalized with macrocyclic ligand. Sep. Purif. Technol. 2013, 106, 38–46. [Google Scholar] [CrossRef]
- Cocheci, L.; Lupa, L.; Lazău, R.; Vodă, R.; Pode, R. Zinc recovery from waste zinc ash—A new “green” route for the preparation of Zn-Al layered double hydroxide used for molybdate retention. J. Alloys Compd. 2019, 787, 332–343. [Google Scholar] [CrossRef]
- Golban, A.; Lupa, L.; Cocheci, L.; Pode, R. Synthesis of MgFe Layered Double Hydroxide from Iron-Containing Acidic Residual Solution and Its Adsorption Performance. Crystals 2019, 9, 514. [Google Scholar] [CrossRef]
- Lupa, L.; Cocheci, L.; Pode, R.; Hulka, I. Phenol adsorption using Aliquat 336 functionalized Zn-Al layered double hydroxide. Sep. Purif. Technol. 2018, 196, 82–95. [Google Scholar] [CrossRef]
- Glavinović, M.; Perras, J.H.; Gelfand, B.S.; Lin, J.-B.; Spasyuk, D.M.; Zhou, W.; Shimizu, G.K.H. Microporous Metal-Phosphonates with a Novel Orthogonalized Linker and Complementary Guests: Insights for Trivalent Metal Complexes from Divalent Metal Complexes. Chem.—A Eur. J. 2023, 29, e202203835. [Google Scholar] [CrossRef]
- Jasper, E.E.; Ajibola, V.O.; Onwuka, J.C. Nonlinear regression analysis of the sorption of crystal violet and methylene blue from aqueous solutions onto an agro-waste derived activated carbon. Appl. Water Sci. 2020, 10, 132. [Google Scholar] [CrossRef]
- Lupa, L.; Maranescu, B.; Visa, A. Equilibrium and kinetic studies of chromium ions adsorption on Co (II)-based phosphonate metal organic frameworks. Sep. Sci. Technol. 2018, 53, 1017–1026. [Google Scholar] [CrossRef]
- Darla, U.R.; Lataye, D.H.; Kumar, A.; Pandit, B.; Ubaidullah, M. Adsorption of phenol using adsorbent derived from Saccharum officinarum biomass: Optimization, isotherms, kinetics, and thermodynamic study. Sci. Rep. 2023, 13, 18356. [Google Scholar] [CrossRef]
- Lupa, L.; Tolea, N.S.; Iosivoni, M.; Maranescu, B.; Plesu, N.; Visa, A. Performance of ionic liquid functionalized metal organic frameworks in the adsorption process of phenol derivatives. RSC Adv. 2024, 14, 4759–4777. [Google Scholar] [CrossRef]











| C0 = 50 mg Pd/L, T = 25 °C | ||||||||||
|---|---|---|---|---|---|---|---|---|---|---|
| Adsorbant | qe exp. | Pseudo Order I | Pseudo Order II | Intraparticle Diffusion | ||||||
| Materials | mg/g | qe calc. | K1 | R2 | qe calc. | K2 | R2 | Kint, mg/g | C | R2 |
| mg/g | min−1 | mg/g | min/(mg/g) | min−1/2 | ||||||
| Chitosan/Mg3Al/IL | 48.6 | 0.32 | 0.0209 | 0.5404 | 48.7 | 0.2626 | 0.9998 | 0.2685 | 46.9 | 0.9802 |
| Chitosan/Mg3Al-IL | 48.3 | 0.22 | 0.0029 | 0.7294 | 48 | 0.3605 | 0.9978 | 0.221 | 46.9 | 0.9622 |
| Chitosan/Mg3Al | 47.5 | 0.953 | 0.0207 | 0.699 | 47.6 | 0.0773 | 0.9996 | 0.7293 | 42.8 | 0.996 |
| C0 = 100 mg Pd/L, T = 25 °C | ||||||||||
| qe exp. | qe calc. | K1 | R2 | qe calc. | K2 | R2 | Kint, mg/g | C | R2 | |
| mg/g | mg/g | min−1 | mg/g | min/(mg/g) | min−1/2 | |||||
| Chitosan/Mg3Al/IL | 93.2 | 2.38 | 0.0423 | 0.6995 | 93.4 | 0.0346 | 0.9999 | 1.3864 | 87.4 | 0.9824 |
| Chitosan/Mg3Al-IL | 87.5 | 2.1 | 0.0213 | 0.7815 | 87.7 | 0.0316 | 0.9997 | 2.4421 | 72.3 | 0.9642 |
| Chitosan/Mg3Al | 84.9 | 4.69 | 0.0471 | 0.7664 | 86.2 | 0.02 | 0.9995 | 1.1428 | 77 | 0.987 |
| C0 = 150 mg Pd/L, T = 25 °C | ||||||||||
| qe exp. | qe calc. | K1 | R2 | qe calc. | K2 | R2 | Kint, mg/g | C | R2 | |
| mg/g | mg/g | min−1 | mg/g | min/(mg/g) | min−1/2 | |||||
| Chitosan/Mg3Al/IL | 124 | 0.79 | 0.0065 | 0.8826 | 125 | 0.0109 | 0.9999 | 2.1147 | 111 | 0.9576 |
| Chitosan/Mg3Al-IL | 105 | 4.51 | 0.03 | 0.8579 | 106 | 0.0051 | 0.9999 | 1.5768 | 94.6 | 0.9543 |
| Chitosan/Mg3Al | 93 | 2.76 | 0.0261 | 0.7083 | 93.4 | 0.0061 | 0.9999 | 2.5164 | 75.9 | 0.9877 |
| C0 = 100 mg Pd/L, T = 40 °C | ||||||||||
| qe exp. | qe calc. | K1 | R2 | qe calc. | K2 | R2 | Kint, mg/g | C | R2 | |
| mg/g | mg/g | min−1 | mg/g | min/(mg/g) | min−1/2 | |||||
| Chitosan/Mg3Al/IL | 95.2 | 9.1 | 0.0854 | 0.7262 | 95.2 | 0.0183 | 0.9978 | 1.436 | 84.8 | 0.9947 |
| Chitosan/Mg3Al-IL | 91.3 | 33.4 | 0.0679 | 0.9279 | 91.7 | 0.0081 | 0.9965 | 2.342 | 74.1 | 0.9701 |
| Chitosan/Mg3Al | 89.3 | 38.6 | 0.083 | 0.91 | 90 | 0.0104 | 0.9996 | 0.987 | 80.4 | 0.0943 |
| C0 = 100 mg Pd/L, T = 55 °C | ||||||||||
| qe exp. | qe calc. | K1 | R2 | qe calc. | K2 | R2 | Kint, mg/g | C | R2 | |
| mg/g | mg/g | min−1 | mg/g | min/(mg/g) | min−1/2 | |||||
| Chitosan/Mg3Al/IL | 98 | 9.9 | 0.0395 | 0.9717 | 99 | 0.0346 | 0.9995 | 1.3832 | 86.8 | 0.9941 |
| Chitosan/Mg3Al-IL | 93.8 | 58.6 | 0.0721 | 0.9192 | 95.2 | 0.0316 | 0.9995 | 4.5024 | 62.5 | 0.9684 |
| Chitosan/Mg3Al | 93.2 | 36.5 | 0.0645 | 0.8914 | 94.3 | 0.02 | 0.9996 | 0.9907 | 82.4 | 0.9959 |
| Adsorbant Materials | ΔH0 KJ/mol | ΔS0 K | ΔG0, KJ/mol | R2 | Ea kJ/mol | R2 | ||
|---|---|---|---|---|---|---|---|---|
| 298 K | 312 K | 328 K | ||||||
| Chitosan/Mg3Al/IL | 37.8 | 148.15 | −6.35 | −8.57 | −10.8 | 0.9348 | 46.5 | 0.9925 |
| Chitosan/Mg3Al-IL | 20.7 | 86.04 | −4.94 | −6.23 | −7.52 | 0.9761 | 48.9 | 0.9099 |
| Chitosan/Mg3Al | 15.9 | 68.8 | −4.601 | −5.63 | −6.67 | 0.9362 | 32.1 | 0.9926 |
| Isotherm | Adsorbant Materials | |||
|---|---|---|---|---|
| Chitosan/Mg3Al/IL | Chitosan/Mg3Al-IL | Chitosan/Mg3Al | ||
| qexp, mg/g | 91.2 | 74.4 | 68.5 | |
| Langmuir | KL. L/mg | 0.187 | 0.064 | 0.040 |
| qm calc. mg/g | 98.0 | 88.5 | 85.9 | |
| R2 | 0.9970 | 0.9870 | 0.9960 | |
| Freundlich | KF. mg/g | 29.4 | 12.5 | 8.03 |
| 1/n | 0.26 | 0.41 | 0.48 | |
| R2 | 0.7310 | 0.7030 | 0.7010 | |
| Adsorbant Materials | qm calc, mg/g | Reference |
|---|---|---|
| Zn3Al | 64.4 | [27] |
| Zn3Al functionalized with methyltrialkylammonium chloride | 100 | [27] |
| MgSiO3 functionalized with DL-cysteine | 9.23 | [42] |
| 2-Mercaptobenzothiazole functionalized Amberlite XAD-1180 resin | 50.0 | [41] |
| Silica-based adsorbent functionalized with macrocyclic ligand | 83.0 | [43] |
| Tetraoctylammonium bromide impregnated onto graphene oxide | 92.7 | [30] |
| Chitosan/Mg3Al/IL | 98.0 | The present paper |
| Chitosan/Mg3Al-IL | 88.5 | |
| Chitosan/Mg3Al/IL | 85.9 |
| No. | Hybrid Material Symbol | Method |
|---|---|---|
| 1. | Chitosan/Mg3Al | Co-precipitation at low supersaturation of Mg3Al, followed by hybrid formation by precipitating an acidic solution containing both components |
| 2. | Chitosan/Mg3Al-IL | Co-precipitation at low supersaturation of Mg3Al-IL, followed by hybrid formation by precipitating an acidic solution containing both components |
| 3. | Chitosan/Mg3Al/IL | Co-precipitation at low supersaturation of Mg3Al, followed by hybrid formation by precipitating an acidic solution containing all three components |
Disclaimer/Publisher’s Note: The statements, opinions and data contained in all publications are solely those of the individual author(s) and contributor(s) and not of MDPI and/or the editor(s). MDPI and/or the editor(s) disclaim responsibility for any injury to people or property resulting from any ideas, methods, instructions or products referred to in the content. |
© 2024 by the authors. Licensee MDPI, Basel, Switzerland. This article is an open access article distributed under the terms and conditions of the Creative Commons Attribution (CC BY) license (https://creativecommons.org/licenses/by/4.0/).
Share and Cite
Milos, E.; Cocheci, L.; Popa, A.; Lupa, L.; Filimon, A. Hybrid Materials—Mg3Al-LDH/Ionic Liquids/Chitosan Used in the Recovery Process of Pd Ions from Aqueous Solutions. Molecules 2024, 29, 6001. https://doi.org/10.3390/molecules29246001
Milos E, Cocheci L, Popa A, Lupa L, Filimon A. Hybrid Materials—Mg3Al-LDH/Ionic Liquids/Chitosan Used in the Recovery Process of Pd Ions from Aqueous Solutions. Molecules. 2024; 29(24):6001. https://doi.org/10.3390/molecules29246001
Chicago/Turabian StyleMilos, Emilia, Laura Cocheci, Adriana Popa, Lavinia Lupa, and Anca Filimon. 2024. "Hybrid Materials—Mg3Al-LDH/Ionic Liquids/Chitosan Used in the Recovery Process of Pd Ions from Aqueous Solutions" Molecules 29, no. 24: 6001. https://doi.org/10.3390/molecules29246001
APA StyleMilos, E., Cocheci, L., Popa, A., Lupa, L., & Filimon, A. (2024). Hybrid Materials—Mg3Al-LDH/Ionic Liquids/Chitosan Used in the Recovery Process of Pd Ions from Aqueous Solutions. Molecules, 29(24), 6001. https://doi.org/10.3390/molecules29246001

