The Influence of Basal Medium on Polyphenol Accumulation in Shoot Cultures of Clerodendrum trichotomum and Clerodendrum colebrookianum
Abstract
1. Introduction
2. Results
2.1. Growth of Culture of Clerodendrum Species
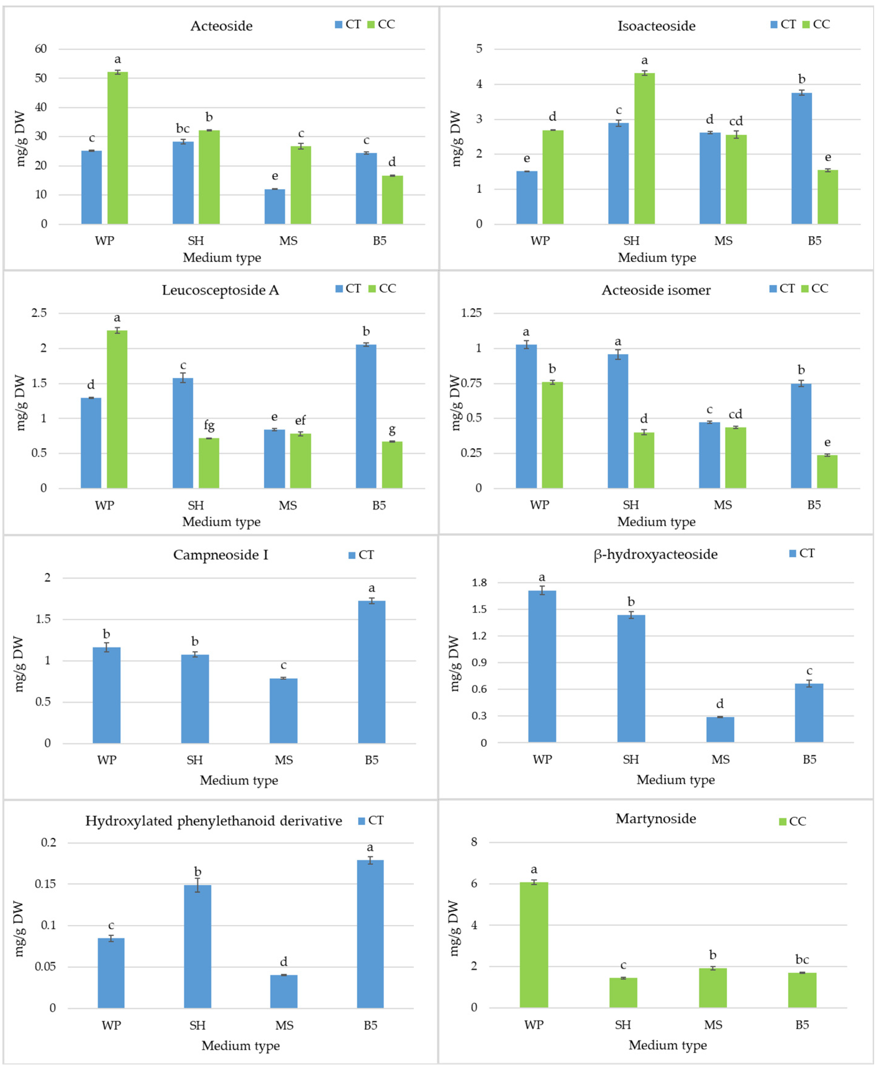
2.2. Secondary Metabolite Accumulation in Culture of Both Clerodendrum Species
3. Discussion
4. Materials and Methods
4.1. Plant Material, Culture Establishment, and Culture Conditions
4.2. Criteria for Assessing the Growth of Culture
4.3. Phytochemical Analysis
4.3.1. Extraction Procedure
4.3.2. Qualitative Analysis
4.3.3. Quantitative Analysis
4.3.4. Statistical Analysis
5. Conclusions
Supplementary Materials
Author Contributions
Funding
Institutional Review Board Statement
Informed Consent Statement
Data Availability Statement
Conflicts of Interest
References
- Shrivastava, N.; Patel, T. Clerodendrum and healthcare: An overview. Med. Aromat. Plant Sci. Biotechnol. 2007, 1, 142–150. [Google Scholar]
- Gomulski, J.; Grzegorczyk-Karolak, I. Clerodendrum trichotomum Thunberg—An ornamental shrub with medical properties. Molecules 2024, 29, 3272. [Google Scholar] [CrossRef] [PubMed]
- Wang, J.H.; Luan, F.; He, X.D.; Wang, Y.; Li, M.X. Traditional uses and pharmacological properties of Clerodendrum phytochemicals. J. Tradit. Complement. Med. 2018, 8, 24–38. [Google Scholar] [CrossRef]
- Baruah, J.; Begum, T.; Dutta, D.; Lal, M. Clerodendrum colebrookianum (Walp.)—A wonder plant and its ethno medicinal importance and pharmacological activities: A review. J. Tradit. Complement. Med. 2024, 4, 100080. [Google Scholar] [CrossRef]
- de Kok, R. Clerodendrum trichotomum. The IUCN Red List of Threatened Species 2022; e.T164941752A164941933. Available online: https://www.iucnredlist.org/ja/search/map?taxonomies=100762&searchType=species (accessed on 15 December 2024).
- Deb, P.K.; Khound, P.; Bhattacharjee, S.; Choudhury, P.; Sarma, H.; Devi, R.; Sarkar, B. Variation in chemical constituents, in-vitro bioactivity and toxicity profile among different parts of Clerodendrum glandulosum Lindl. (C. colebrookianum Walp.). S. Afr. J. Bot. 2021, 140, 50–61. [Google Scholar] [CrossRef]
- Ozyigit, I.I.; Dogan, I.; Hocaoglu-Ozyigit, A.; Yalcin, B.; Erdogan, A.; Yalcin, I.E.; Cabi, E.; Kaya, Y. Production of secondary metabolites using tissue culture-based biotechnological applications. Front. Plant Sci. 2023, 14, 1132555. [Google Scholar] [CrossRef]
- Murthy, H.N.; Lee, E.J.; Paek, K.Y. Production of secondary metabolites from cell and organ cultures: Strategies and approaches for biomass improvement and metabolite accumulation. Plant Cell Tissue Organ Cult. 2014, 118, 1–16. [Google Scholar] [CrossRef]
- Murashige, T.; Skoog, F. A revised medium for rapid growth and bio assays with tobacco tissue cultures. Physiol. Plant. 1962, 15, 473–497. [Google Scholar] [CrossRef]
- Gamborg, O.L.; Miller, R.A.; Ojima, K. Nutrient requirements of suspension cultures of soyabean root cells. Exp. Cell Res. 1968, 50, 151–158. [Google Scholar] [CrossRef]
- Schenk, R.U.; Hildebrandt, A.C. Medium and techniques for induction growth monocotyledonous and dicotyledonous plant cell cultures. Can. J. Bot. 1972, 50, 199–204. [Google Scholar] [CrossRef]
- Lloyd, G.; McCown, B. Commercially-feasible micropropagation of mountain laurel, Kalmia latifolia, by use of shoot-tip culture. Comb. Proc. Intl. Plant Prop. Soc. 1980, 30, 421–427. [Google Scholar]
- Krol, A.; Kokotkiewicz, A.; Szopa, A.; Ekiert, H.M.; Luczkiewicz, M. Bioreactor-grown shoot cultures for the secondary metabolite production. In Plant Cell and Tissue Differentiation and Secondary Metabolites; Ramawat, K.G., Ekiert, H.M., Goyal, S., Eds.; Springer: Cham, Switzerland, 2021; pp. 187–247. [Google Scholar]
- Nataraj, M.; Kher, M.M.; Teixeira da Silva, J.A. Micropropagation of Clerodendrum L. species: A review. Rend. Fis. Acc. Lincei 2016, 27, 169–179. [Google Scholar] [CrossRef]
- Shrivastava, N.; Patel, T. Clerodendrum and healthcare: An overview—Part II: Phytochemistry and Biotechnology. Med. Aromat. Plant Sci. Biotechnol. 2007, 1, 209–223. [Google Scholar]
- Liu, Q.; Hu, H.J.; Li, P.F.; Yang, Y.B.; Wu, L.H.; Chou, G.X.; Wang, Z.T. Diterpenoids and phenylethanoid glycosides from the roots of Clerodendrum bungei and their inhibitory effects against angiotensin converting enzyme and α-glucosidase. Phytochemistry 2014, 103, 196–202. [Google Scholar] [CrossRef]
- Zhou, J.; Yang, Q.; Zhu, X.; Lin, T.; Hao, D.; Xu, J. Antioxidant activities of Clerodendrum cyrtophyllum Turcz leaf extracts and their major components. PLoS ONE 2020, 15, e0234435. [Google Scholar] [CrossRef]
- Nan, H.; Wu, J.; Zhang, S.J.D.P. A new phenylethanoid glycoside from Clerodendrum inerme. Pharmazie 2005, 60, 798–799. [Google Scholar]
- Lopez, T.; Corbin, C.; Falguieres, A.; Doussot, J.; Montguillon, J.; Hagège, D.; Hano, C.; Lainé, É. Secondary metabolite accumulation, antibacterial and antioxidant properties of in vitro propagated Clidemia hirta L. extracts are influenced by the basal culture medium. Comptes Rendus Chim. 2016, 19, 1071–1076. [Google Scholar] [CrossRef]
- Mazri, M.A. Effect of basal medium, explants size and density on the in vitro proliferation and growth of date palm (Phoenix dactylifera L.) cultivar ‘16-bis’. Not. Sci. Biol. 2013, 5, 332–337. [Google Scholar] [CrossRef][Green Version]
- Meira, F.S.; Shao, M.; Niedz, R.P.; Thomson, J.G. Evaluation of 21 different media on shoot regeneration in 11 cultivars of citrus using juvenile tissue. Plant Cell Tissue Organ Cult. 2024, 158, 8. [Google Scholar] [CrossRef]
- Avani, K.; Harish, P.; Neeta, S. Ex situ conservation method for Clerodendrum inerme: A medicinal plant of India. Afr. J. Biotechnol. 2006, 5, 415–418. [Google Scholar]
- Sharma, M.; Rai, S.K.; Purshottam, D.K.; Jain, M.; Chakrabarty, D.; Awasthi, A.; Nair, K.N.; Sharma, A.K. In vitro clonal propagation of Clerodendrum serratum (Linn.) Moon (barangi): A rare and threatened medicinal plant. Acta Physiol. Plant 2009, 31, 379–383. [Google Scholar] [CrossRef]
- Devika, R.; Kovilpillai, J. Phytochemical and in vitro micropropogation studies of Clerodendrum phlomidis L. J. Pharm. Res. 2012, 5, 4396–4398. [Google Scholar]
- Kamdi, S.R.; Neharkar, P.S.; Kadu, P.R.; Bhagat, G.J.; Pathan, I.A.; Roy, N.S. Micropropagation and optimization of protocol for medicinal important plant (Clerodendrum viscosum). Int. J. Plant Sci. 2014, 9, 389–393. [Google Scholar]
- Hasnain, A.; Naqvi, S.A.H.; Ayesha, S.I.; Khalid, F.; Ellahi, M.; Iqbal, S.; Hassan, M.Z.; Abbas, A.; Adamski, R.; Markowska, D.; et al. Plants in vitro propagation with its applications in food, pharmaceuticals and cosmetic industries; current scenario and future approaches. Front. Plant Sci. 2022, 13, 1009395. [Google Scholar] [CrossRef]
- Mao, A.A.; Wetten, A.; Fay, M.; Caligari, D.S. In vitro propagation of Clerodendrum colebrookianum Walp., a potential natural anti-hypertension medicinal plant. Plant Cell Rep. 1995, 14, 493–496. [Google Scholar] [CrossRef]
- Vidya, S.M.; Krishna, V.; Manjunatha, B.K.; Pradeepa, M.R. Micropropagation of Clerodendrum serratum L. through direct and indirect organogenesis. Plant Tissue Cult. Biotechnol. 2012, 22, 179–185. [Google Scholar] [CrossRef]
- Kher, M.M.; Soner, D.; Srivastava, N.; Nataraj, M.; da Silva, J.A.T. Micropropagation of Clerodendrum phlomidis L.F. J. Hort. Res. 2016, 24, 21–28. [Google Scholar] [CrossRef]
- Goyal, S.; Shahzad, A.; Anis, M.; Khan, S. Multiple shoot regeneration in Clerodendrum incisum L.—An ornamental woody skrub. Pak. J. Bot. 2010, 42, 873–878. [Google Scholar]
- Parmar, V.R.; Patel, H.A.; Jasrai, Y.T. Developing normal plants of Clerodendron from viral infected stock through meristem culture. Cibtech. J. Bio-Protoc. 2013, 2, 1–5. [Google Scholar]
- Srivastava, A.; Gupta, R.K.; Verma, H.N. Micropropagation of Clerodendrum aculeatum through adventitious shoot induction and production of consistent amount of virus resistance inducing protein. Indian. J. Exp. Biol. 2004, 42, 1200–1207. [Google Scholar]
- Xue, Z.; Yang, B. Phenylethanoid glycosides: Research advances in their phytochemistry, pharmacological activity and pharmacokinetics. Molecules 2016, 21, 991. [Google Scholar] [CrossRef]
- Wu, L.; Georgiev, M.I.; Cao, H.; Nahar, L.; El-Seedi, H.R.; Sarker, S.D.; Xiao, J.; Lu, B. Therapeutic potential of phenylethanoid glycosides: A systematic review. Med. Res. Rev. 2020, 40, 2605–2649. [Google Scholar] [CrossRef]
- Lee, J.W.; Kang, S.C.; Bae, J.J.; Lee, K.B.; Kwak, J.H. Flavonoids from the flower of Clerodendrum trichotomum. Korean J. Pharmacogn. 2015, 46, 289–294. [Google Scholar]
- Deb, P.K.; Shilkar, D.; Sarkar, B. UHPLC-ESI-QTOF-MS/MS based identification, quantification, and assessment of in silico molecular interactions of major phytochemicals from bioactive fractions of Clerodendrum glandulosum Lindl. leaves. Chem. Biodiversity 2022, 19, e202200617. [Google Scholar]
- Krasteva, G. Effect of basal medium on growth and polyphenols accumulation by Gardenia jasminoides Ellis cell suspension. BIO Web Conf. 2022, 45, 02006. [Google Scholar] [CrossRef]
- Krzemińska, M.; Owczarek, A.; Olszewska, M.A.; Grzegorczyk-Karolak, I. In vitro strategy for the enhancement of the production of bioactive polyphenols in transformed roots of Salvia bulleyana. Int. J. Mol. Sci. 2022, 23, 7771. [Google Scholar] [CrossRef]
- Okeke, C.M.; Chigor, C.B.; Okafor, U.C. Influence of basal media variants on the accumulation of phytochemicals in leaves of Moringa oleifera Lam. in vitro. Niger. Agric. J. 2022, 53, 323–326. [Google Scholar]
- George, E.F.; Hall, M.A.; Klerk, G.J.D. Plant Propagation by Tissue Culture: Volume 1. The Background; Springer Science & Business Media: Dordrecht, The Netherlands, 2007. [Google Scholar]
- Gonda, S.; Kiss-Szikszai, A.; Szűcs, Z.; Máthé, C.; Vasas, G. Effects of N source concentration and NH4+/NO3− ratio on phenylethanoid glycoside pattern in tissue cultures of Plantago lanceolata L.: A metabolomics driven full-factorial experiment with LC–ESI–MS3. Phytochemistry 2014, 106, 44–54. [Google Scholar] [CrossRef]
- Wu, C.H.; Dewir, Y.H.; Hahn, E.J.; Paek, K.Y. Optimization of culturing conditions for the production of biomass and phenolics from adventitious roots of Echinacea angustifolia. J. Plant Biol. 2006, 49, 193–199. [Google Scholar] [CrossRef]
- Grzegorczyk-Karolak, I. Optimization of culture conditions and cultivation phase for the growth of Salvia viridis transformed roots and polyphenolic compound production. Plant Cell Tissue Organ Cult. 2020, 142, 571–581. [Google Scholar] [CrossRef]
- Collin, H. Secondary product formation in plant tissue cultures. Plant Growth Regul. 2001, 34, 119–134. [Google Scholar] [CrossRef]
- Inagaki, N.; Nishimura, H.; Okada, M.; Mitsuhashi, H. Verbascoside production by plant cell cultures. Plant Cell Rep. 1991, 9, 484–487. [Google Scholar] [CrossRef]
- Gómez-Aguirre, Y.A.; Zamilpa, A.; González-Cortazar, M.; Trejo-Tapia, G. Adventitious root cultures of Castilleja tenuiflora Benth. as a source of phenylethanoid glycosides. Ind. Crops Prod. 2012, 36, 188–195. [Google Scholar] [CrossRef]
- Piątczak, E.; Królicka, A.; Wielanek, M.; Wysokińska, H. Hairy root cultures of Rehmannia glutinosa and production of iridoid and phenylethanoid glycosides. Acta Physiol. Plant. 2012, 34, 2215–2224. [Google Scholar] [CrossRef]
- Georgiev, M.I.; Ludwig-Müller, J.; Alipieva, K.; Lippert, A. Sonication-assisted Agrobacterium rhizogenes-mediated transformation of Verbascum xanthophoeniceum Griseb. for bioactive metabolite accumulation. Plant Cell Rep. 2011, 30, 859–866. [Google Scholar] [CrossRef]
- Wilczańska-Barska, A.; Królicka, A.; Głód, D.; Majdan, M.; Kawiak, A.; Krauze-Baranowska, M. Enhanced accumulation of secondary metabolites in hairy root cultures of Scutellaria lateriflora following elicitation. Biotechnol. Lett. 2012, 34, 1757–1763. [Google Scholar] [CrossRef]
- Grzegorczyk-Karolak, I.; Kuźma, Ł.; Wysokińska, H. In vitro cultures of Scutellaria alpina as a source of pharmacologically active metabolites. Acta Physiol. Plant. 2016, 38, 7. [Google Scholar] [CrossRef]
- Cambaz, E.; Çördük, N. Secondary metabolite production in callus culture of Verbascum scamandri Murb. Acta Soc. Bot. Pol. 2023, 92, 165894. [Google Scholar] [CrossRef]
- Gonçalves, S.; Grevenstuk, T.; Martins, N.; Romano, A. Antioxidant activity and verbascoside content in extracts from two uninvestigated endemic Plantago spp. Ind. Crops Prod. 2015, 65, 198–202. [Google Scholar] [CrossRef]
- Saimaru, H.; Orihara, Y.; Verbascoside, Á.Á. Biosynthesis of acteoside in cultured cells of Olea europaea. J. Nat. Med. 2010, 64, 139–145. [Google Scholar] [CrossRef]
- Temporiti, M.E.E.; Frezza, C.; Beccaccioli, M.; Gelardi, L.; Bianco, A.; Bonina, F.P.; Nielsen, E. Production of verbascoside and its analogues in in vitro cultures of Verbascum thapsus L. Plant Cell Tissue Organ Cult. 2020, 140, 83–93. [Google Scholar] [CrossRef]
- Budzianowska, A.; Skrzypczak, L.; Budzianowski, J. Phenylethanoid glucosides from in vitro propagated plants and callus cultures of Plantago lanceolata. Planta Med. 2004, 70, 834–840. [Google Scholar]
- Grzegorczyk-Karolak, I.; Ejsmont, W.; Kiss, A.K.; Tabaka, P.; Starbała, W.; Krzemińska, M. Improvement of bioactive polyphenol accumulation in callus of Salvia atropatana Bunge. Molecules 2024, 29, 2626. [Google Scholar] [CrossRef] [PubMed]
- Quirantes-Piné, R.; Funes, L.; Micol, V.; Segura-Carretero, A.; Fernández-Gutiérrez, A. High-performance liquid chromatography with diode array detection coupled to electrospray time-of-flight and ion-trap tandem mass spectrometry to identify phenolic compounds from a lemon verbena extract. J. Chromatogr. A 2009, 1216, 5391–5397. [Google Scholar] [CrossRef]
- Friščić, M.; Bucar, F.; Hazler Pilepić, K. LC-PDA-ESI-MSn analysis of phenolic and iridoid compounds from Globularia spp. J. Mass Spectrom. 2016, 51, 1211–1236. [Google Scholar] [CrossRef]
- Petreska, J.; Stefkov, G.; Kulevanova, S.; Alipieva, K.; Bankova, V.; Stefova, M. Phenolic compounds of mountain tea from the Balkans: LC/DAD/ESI/MSn profile and content. Nat. Prod. Commun. 2011, 6, 21–30. [Google Scholar] [CrossRef]







| Peak No | Rt | [M − H]− | Main Fragments | Tentative Compound | Clerodendrum Species |
|---|---|---|---|---|---|
| 1 | 15.4 | 341 | 281, 203, 179, 161, 135 | caffeic acid hexoside | CC |
| 2 | 26.9 | 639 | 621, 529, 459, 351 | β-hydroxyacteoside/β-hydroxyisoacteoside | CT |
| 3 | 30.3 | 637 | 475, 329 | β-oxoacteoside/β-oxoisoacteoside | CT |
| 4 | 31.3 | 639 | 621, 529, 493, 461 | hydroxylated phenylethanoid derivative | CT |
| 5 | 31.9 | 653 | 621, 459 | campneoside I | CT |
| 6 | 33.4 | 623 | 461, 315, 135 | acteoside * | CC, CT |
| 7 | 35.1 | 623 | 461, 315, 135 | isoacteoside * | CC, CT |
| 8 | 35.9 | 623 | 461, 315, 135 | acteoside isomer | CC, CT |
| 9 | 37.9 | 637 | 491, 461 315, 193, 135 | leucosceptoside A * | CC, CT |
| 10 | 42.3 | 577 | 415, 431, 269 | apigenin rhamnosyl-hexoside | CC |
| 11 | 43.5 | 651 | 505, 475, 329, 193 | martynoside * | CC |
| 12 | 48.1 | 571 | 447, 285 | luteolin/scutellarein hexoside derivative | CT |
| 13 | 49.2 | 563 | 388 | unidentified | CT |
| 14 | 54.7 | 269 | - | apigenin * | CT |
Disclaimer/Publisher’s Note: The statements, opinions and data contained in all publications are solely those of the individual author(s) and contributor(s) and not of MDPI and/or the editor(s). MDPI and/or the editor(s) disclaim responsibility for any injury to people or property resulting from any ideas, methods, instructions or products referred to in the content. |
© 2024 by the authors. Licensee MDPI, Basel, Switzerland. This article is an open access article distributed under the terms and conditions of the Creative Commons Attribution (CC BY) license (https://creativecommons.org/licenses/by/4.0/).
Share and Cite
Gomulski, J.; Krzemińska, M.; Jochymek, M.; Kiss, A.K.; Grzegorczyk-Karolak, I. The Influence of Basal Medium on Polyphenol Accumulation in Shoot Cultures of Clerodendrum trichotomum and Clerodendrum colebrookianum. Molecules 2024, 29, 5983. https://doi.org/10.3390/molecules29245983
Gomulski J, Krzemińska M, Jochymek M, Kiss AK, Grzegorczyk-Karolak I. The Influence of Basal Medium on Polyphenol Accumulation in Shoot Cultures of Clerodendrum trichotomum and Clerodendrum colebrookianum. Molecules. 2024; 29(24):5983. https://doi.org/10.3390/molecules29245983
Chicago/Turabian StyleGomulski, Jan, Marta Krzemińska, Magdalena Jochymek, Anna K. Kiss, and Izabela Grzegorczyk-Karolak. 2024. "The Influence of Basal Medium on Polyphenol Accumulation in Shoot Cultures of Clerodendrum trichotomum and Clerodendrum colebrookianum" Molecules 29, no. 24: 5983. https://doi.org/10.3390/molecules29245983
APA StyleGomulski, J., Krzemińska, M., Jochymek, M., Kiss, A. K., & Grzegorczyk-Karolak, I. (2024). The Influence of Basal Medium on Polyphenol Accumulation in Shoot Cultures of Clerodendrum trichotomum and Clerodendrum colebrookianum. Molecules, 29(24), 5983. https://doi.org/10.3390/molecules29245983

