Oligostyrylbenzene Derivatives with Antiparasitic and Antibacterial Activity as Potent G-Quadruplex Ligands
Abstract
1. Introduction
2. Results and Discussion
2.1. Oligostyrylbenzene Derivatives
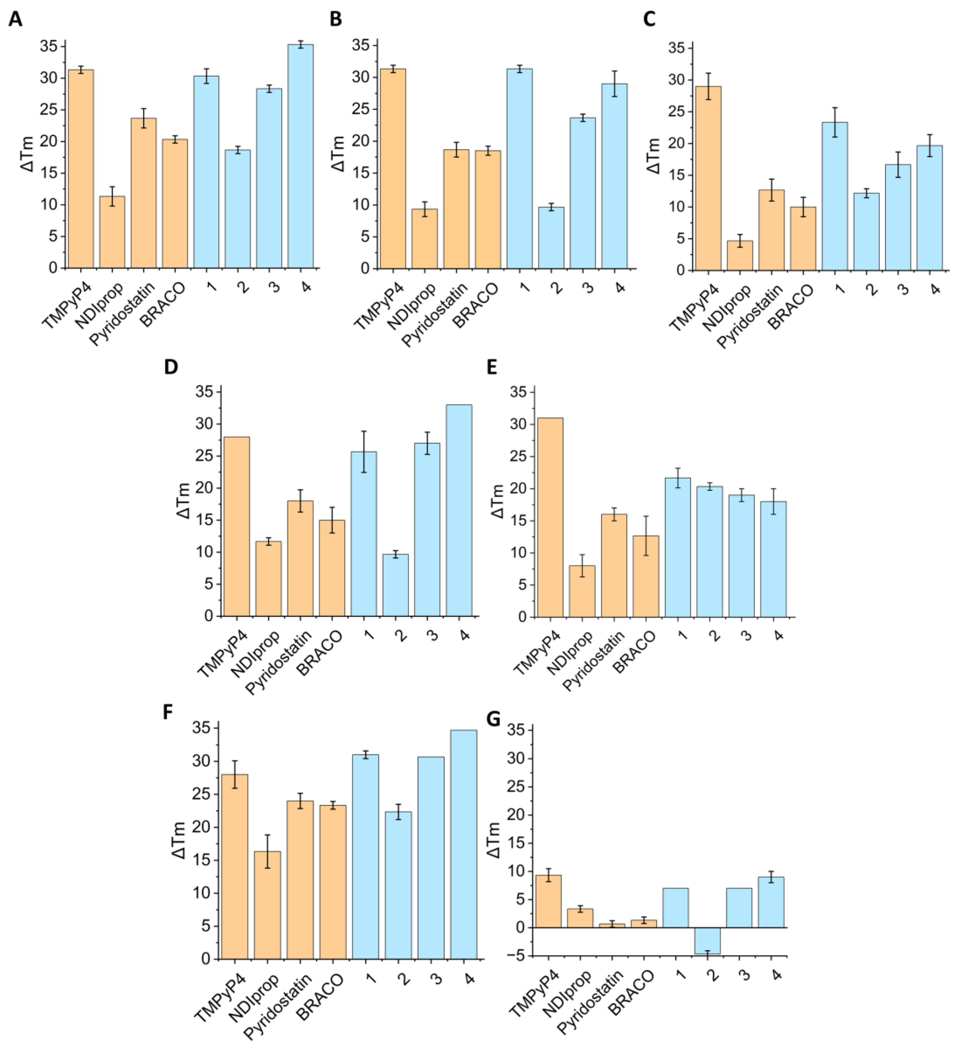
2.2. Binding of OSB Derivatives to DNA Quadruplex
2.3. Biological Activity
2.3.1. Antiparasitic Activity
2.3.2. Antibacterial Activity
2.4. Cell Uptake
3. Experimental Section
3.1. General Materials and Methods
3.2. FRET-Melting Assay
3.3. UV/Vis Spectra for Binding Studies
3.4. Cell, Parasite and Bacteria Cultures
3.5. Cytotoxicity
3.6. Antiparasitic Activity
3.7. Antibacterial Activity
3.8. Synergism Assays
3.9. Cell Uptake
4. Conclusions
Supplementary Materials
Author Contributions
Funding
Institutional Review Board Statement
Informed Consent Statement
Data Availability Statement
Conflicts of Interest
References
- Spiegel, J.; Adhikari, S.; Balasubramanian, S. The Structure and Function of DNA G-Quadruplexes. Trends Chem. 2020, 2, 123–136. [Google Scholar] [CrossRef] [PubMed]
- Hänsel-Hertsch, R.; Di Antonio, M.; Balasubramanian, S. DNA G-Quadruplexes in the Human Genome: Detection, Functions and Therapeutic Potential. Nat. Rev. Mol. Cell Biol. 2017, 18, 279–284. [Google Scholar] [CrossRef] [PubMed]
- Ma, Y.; Iida, K.; Nagasawa, K. Topologies of G-Quadruplex: Biological Functions and Regulation by Ligands. Biochem. Biophys. Res. Commun. 2020, 531, 3–17. [Google Scholar] [CrossRef] [PubMed]
- Varshney, D.; Spiegel, J.; Zyner, K.; Tannahill, D.; Balasubramanian, S. The Regulation and Functions of DNA and RNA G-Quadruplexes. Nat. Rev. Mol. Cell Biol. 2020, 21, 459–474. [Google Scholar] [CrossRef] [PubMed]
- Brooks, T.A.; Kendrick, S.; Hurley, L. Making Sense of G-Quadruplex and i-Motif Functions in Oncogene Promoters. FEBS J. 2010, 277, 3459–3469. [Google Scholar] [CrossRef]
- Belmonte-Reche, E.; Martinez-Garcia, M.; Guedin, A.; Zuffo, M.; Arevalo-Ruiz, M.; Doria, F.; Campos-Salinas, J.; Maynadier, M.; Lopez-Rubio, J.J.; Freccero, M.; et al. G-Quadruplex Identification in the Genome of Protozoan Parasites Points to Naphthalene Diimide Ligands as New Antiparasitic Agents. J. Med. Chem. 2018, 61, 1231–1240. [Google Scholar] [CrossRef]
- Pérez-Soto, M.; Ramos-Soriano, J.; Peñalver, P.; Belmonte-Reche, E.; O’Hagan, M.P.; Cucchiarini, A.; Mergny, J.-L.; Galán, M.C.; López, M.C.; Thomas, M.; et al. DNA G-Quadruplexes in the Genome of Trypanosoma Cruzi as Potential Therapeutic Targets for Chagas Disease: Dithienylethene Ligands as Effective Antiparasitic Agents. Eur. J. Med. Chem. 2024, 276, 116641. [Google Scholar] [CrossRef]
- Jamroskovic, J.; Obi, I.; Movahedi, A.; Chand, K.; Chorell, E.; Sabouri, N. Identification of Putative G-Quadruplex DNA Structures in S. Pombe Genome by Quantitative PCR Stop Assay. DNA Repair 2019, 82, 102678. [Google Scholar] [CrossRef]
- Rawal, P.; Kummarasetti, V.B.; Ravindran, J.; Kumar, N.; Halder, K.; Sharma, R.; Mukerji, M.; Das, S.K.; Chowdhury, S. Genome-Wide Prediction of G4 DNA as Regulatory Motifs: Role in Escherichia Coli Global Regulation. Genome Res. 2006, 16, 644–655. [Google Scholar] [CrossRef]
- Amrane, S.; Kerkour, A.; Bedrat, A.; Vialet, B.; Andreola, M.L.; Mergny, J.L. Topology of a DNA G-Quadruplex Structure Formed in the HIV-1 Promoter: A Potential Target for Anti-HIV Drug Development. J. Am. Chem. Soc. 2014, 136, 5249–5252. [Google Scholar] [CrossRef]
- Chen, L.; Dickerhoff, J.; Sakai, S.; Yang, D. DNA G-Quadruplex in Human Telomeres and Oncogene Promoters: Structures, Functions, and Small Molecule Targeting. Acc. Chem. Res. 2022, 55, 2628–2646. [Google Scholar] [CrossRef] [PubMed]
- Arola, A.; Vilar, R. Stabilisation of G-Quadruplex DNA by Small Molecules. Curr. Top. Med. Chem. 2008, 8, 1405–1415. [Google Scholar] [CrossRef] [PubMed]
- Muller, S.; Sanders, D.A.; Di Antonio, M.; Matsis, S.; Riou, J.F.; Rodriguez, R.; Balasubramanian, S. Pyridostatin Analogues Promote Telomere Dysfunction and Long-Term Growth Inhibition in Human Cancer Cells. Org. Biomol. Chem. 2012, 10, 6537–6546. [Google Scholar] [CrossRef] [PubMed]
- Jamroskovic, J.; Doimo, M.; Chand, K.; Obi, I.; Kumar, R.; Brännström, K.; Hedenström, M.; Nath Das, R.; Akhunzianov, A.; Deiana, M.; et al. Quinazoline Ligands Induce Cancer Cell Death through Selective STAT3 Inhibition and G-Quadruplex Stabilization. J. Am. Chem. Soc. 2020, 142, 2876–2888. [Google Scholar] [CrossRef]
- Grand, C.L.; Han, H.; Muñoz, R.M.; Weitman, S.; Von Hoff, D.D.; Hurley, L.H.; Bearss, D.J. The Cationic Porphyrin TMPyP4 Down-Regulates c-MYC and Human Telomerase Reverse Transcriptase Expression and Inhibits Tumor Growth in Vivo. Mol. Cancer Ther. 2002, 1, 565–573. [Google Scholar]
- Parkinson, G.N.; Ghosh, R.; Neidle, S. Structural Basis for Binding of Porphyrin to Human Telomeres. Biochemistry 2007, 46, 2390–2397. [Google Scholar] [CrossRef]
- Garzón, A.; Fernández-Liencres, M.P.; Moral, M.; Peña-Ruiz, T.; Navarro, A.; Tolosa, J.; Canales-Vázquez, J.; Hermida-Merino, D.; Bravo, I.; Albaladejo, J.; et al. Effect of the Aggregation on the Photophysical Properties of a Blue-Emitting Star-Shaped Molecule Based on 1,3,5-Tristyrylbenzene. J. Phys. Chem. C 2017, 121, 4720–4733. [Google Scholar] [CrossRef]
- Moral, M.; Domínguez, R.; Fernández-Liencres, M.P.; Garzón-Ruiz, A.; García-Martínez, J.C.; Navarro, A. Photophysical Features and Semiconducting Properties of Propeller-Shaped Oligo(Styryl)Benzenes. J. Chem. Phys. 2019, 150, 64309. [Google Scholar] [CrossRef]
- Rodrigo, A.C.; Rivilla, I.; Pérez-Martínez, F.C.; Monteagudo, S.; Ocaña, V.; Guerra, J.; García-Martínez, J.C.; Merino, S.; Sánchez-Verdú, P.; Ceña, V.; et al. Efficient, Non-Toxic Hybrid PPV-PAMAM Dendrimer as a Gene Carrier for Neuronal Cells. Biomacromolecules 2011, 12, 1205–1213. [Google Scholar] [CrossRef]
- Pacheco-Liñán, P.J.; Garzón, A.; Tolosa, J.; Bravo, I.; Canales-Vázquez, J.; Rodríguez-López, J.; Albaladejo, J.; García-Martínez, J.C. PH-Sensitive Fluorescence Lifetime Molecular Probes Based on Functionalized Tristyrylbenzene. J. Phys. Chem. C 2016, 120, 18771–18779. [Google Scholar] [CrossRef]
- Quinteros, M.A.; Tolosa, J.; García-Martínez, J.C.; Páez, P.L.; Paraje, M.G. Synergic Activity of Oligostyrylbenzenes with Amphotericin B against Biofilms. Yeast 2021, 38, 634–645. [Google Scholar] [CrossRef] [PubMed]
- Quinteros, M.A.; Galera, I.L.D.; Tolosa, J.; García-Martínez, J.C.; Páez, P.L.; Paraje, M.G. Novel Antifungal Activity of Oligostyrylbenzenes Compounds on Candida Tropicalis Biofilms. Med. Mycol. 2021, 59, 244–252. [Google Scholar] [CrossRef] [PubMed]
- Boulos, R.A.; Man, N.Y.T.; Lengkeek, N.A.; Hammer, K.A.; Foster, N.F.; Stemberger, N.A.; Skelton, B.W.; Wong, P.Y.; Martinac, B.; Riley, T.V.; et al. Inspiration from Old Dyes: Tris(Stilbene) Compounds as Potent Gram-Positive Antibacterial Agents. Chem. A Eur. J. 2013, 19, 17980–17988. [Google Scholar] [CrossRef]
- Tolosa, J.; Serrano de las Heras, G.; Carrión, B.; Segura, T.; Páez, P.L.; de Lera-Garrido, F.J.; Rodríguez-López, J.; García-Martínez, J.C. Structure-Activity Relationships for Poly(Phenylene)Vinylene Derivatives as Antibacterial Agents. ChemistrySelect 2018, 3, 7327–7332. [Google Scholar] [CrossRef]
- Pavlović Saftić, D.; Krošl Knežević, I.; de Lera Garrido, F.; Tolosa, J.; Majhen, D.; Piantanida, I.; García Martínez, J.C. Trimeric and Tetrameric Cationic Styryl Dyes as Novel Fluorescence and CD Probes for Ds-DNA and Ds-RNA. Int. J. Mol. Sci. 2024, 25, 5724. [Google Scholar] [CrossRef]
- Hu, M.-H. Molecular Engineering of a Near-Infrared Fluorescent Ligand for Tracking Mitochondrial DNA G-Quadruplexes. Anal. Chim. Acta 2021, 1169, 338600. [Google Scholar] [CrossRef]
- Cebrián, R.; Belmonte-Reche, E.; Pirota, V.; de Jong, A.; Morales, J.C.; Freccero, M.; Doria, F.; Kuipers, O.P. G-Quadruplex DNA as a Target in Pathogenic Bacteria: Efficacy of an Extended Naphthalene Diimide Ligand and Its Mode of Action. J. Med. Chem. 2022, 65, 4752–4766. [Google Scholar] [CrossRef]
- Lim, K.W.; Amrane, S.; Bouaziz, S.; Xu, W.; Mu, Y.; Patel, D.J.; Luu, K.N.; Phan, A.T. Structure of the Human Telomere in K+ Solution: A Stable Basket-Type G-Quadruplex with Only Two G-Tetrad Layers. J. Am. Chem. Soc. 2009, 131, 4301–4309. [Google Scholar] [CrossRef]
- Malvy, D.; Chappuis, F. Sleeping Sickness. Clin. Microbiol. Infect. 2011, 17, 986–995. [Google Scholar] [CrossRef]
- Kevric, I.; Cappel, M.A.; Keeling, J.H. New world and old world Leishmania infections: A practical review. Dermatol. Clin. 2015, 33, 579–593. [Google Scholar] [CrossRef]
- Ciaco, S.; Aronne, R.; Fiabane, M.; Mori, M. The Rise of Bacterial G-Quadruplexes in Current Antimicrobial Discovery. ACS Omega 2024, 9, 24163–24180. [Google Scholar] [CrossRef] [PubMed]
- Jain, N.; Shankar, U.; Singh, A.; Sharma, T.K.; Kumar, A. G-Quadruplex Motifs in Neisseria Gonorrhoeae as Anti-Gonococcal Targets. Appl. Microbiol. Biotechnol. 2023, 107, 5145–5159. [Google Scholar] [CrossRef] [PubMed]
- Nitzan, Y.; Dror, R.; Ladan, H.; Malik, Z.; Kimel, S.; Gottfried, V. Structure-activity relationship of porphines for photoinactivation of bacteria. Photochem. Photobiol. 1995, 62, 342–347. [Google Scholar] [CrossRef] [PubMed]
- Müller, A.; Preuß, A.; Bornhütter, T.; Thomas, I.; Prager, A.; Schulze, A.; Röder, B. Electron Beam Functionalized Photodynamic Polyethersulfone Membranes–Photophysical Characterization and Antimicrobial Activity. Photochem. Photobiol. Sci. 2018, 17, 1346–1354. [Google Scholar] [CrossRef]
- Tyers, M.; Wright, G.D. Drug Combinations: A Strategy to Extend the Life of Antibiotics in the 21st Century. Nat. Rev. Microbiol. 2019, 17, 141–155. [Google Scholar] [CrossRef]
- Peleg, A.Y.; Seifert, H.; Paterson, D.L. Acinetobacter Baumannii: Emergence of a Successful Pathogen. Clin. Microbiol. Rev. 2008, 21, 538–582. [Google Scholar] [CrossRef]
- Cebrián, R.; Xu, C.; Xia, Y.; Wu, W.; Kuipers, O.P. The Cathelicidin-Derived Close-to-Nature Peptide D-11 Sensitises Klebsiella Pneumoniae to a Range of Antibiotics in Vitro, Ex Vivo and in Vivo. Int. J. Antimicrob. Agents 2021, 58, 106434. [Google Scholar] [CrossRef]
- Methods for Dilution Antimicrobial Susceptibility Tests for Bacteria That Grow Aerobically: M07-A10, 11th ed.; Clinical and Laboratory Standards Institute: Wayne, PA, USA, 2018.





| Ka (µM) | ||||
|---|---|---|---|---|
| EBR1 | mit9438 | SA5 | ds26 | |
| 1 | 0.672 | 0.821 | 0.651 | 0.083 |
| 2 | 0.801 | 1.420 | 1.065 | 0.562 |
| 3 | 0.528 | 1.167 | 1.411 | 0.165 |
| 4 | 0.367 | 1.548 | 0.513 | 0.267 |
| IC50 (µM) | Selectivity Index (SI) | ||||
|---|---|---|---|---|---|
| MRC-5 | T. brucei | L. major | MRC-5/T. brucei | MRC-5/L. major | |
| 1 | 38.42 ± 0.32 | 0.35 ± 0.12 | 0.70 ± 0.09 | 109.8 | 54.9 |
| 2 | 80.41 ± 3.09 | 3.00 ± 0.03 | 10.2 ± 1.4 | 26.8 | 7.9 |
| 3 | >100 | 24.06 ± 0.49 | 90.2 ± 6.1 | >4.2 | >1.1 |
| 4 | >100 | 78.58 ± 2.48 | >100 | >1.3 | N.D. |
| Pyridostatin b | 5.38 ± 0.07 | 7.82 ± 0.20 | 5.00 ± 0.01 | 0.7 | 1.1 |
| BRACO-19 b | 8.33 ± 2.96 | 5.51 ± 0.99 | 12.73 ± 0.47 | 1.5 | 0.7 |
| TMPyP4 b | >25 | >10 | 20.82 ± 4.86 | N.D. | >1.7 |
| NDIprop b | 0.36 ± 0.16 | 0.009 ± 0.001 | 0.034 ± 0.005 | 40.0 | 10.6 |
| MIC (µM) | ||||
|---|---|---|---|---|
| 1 | 2 | 3 | 4 | |
| Acinetobacter baumannii ATCC 19606 | 2.08 ± 0.72 | 10 | >10 | >10 |
| Escherichia coli ATCC 25922 | 5 | 5 | >10 | >10 |
| Klebsiella pneumoniae ATCC 700603 | >10 | >10 | >10 | >10 |
| Pseudomonas aeruginosa PAO1 | >10 | >10 | >10 | >10 |
| Bacillus cereus ATCC 10987 | 0.83 ± 0.36 | 1.04 ± 0.36 | >10 | >10 |
| Enterococcus faecalis V583 | 10 | >10 | >10 | >10 |
| Staphylococcus aureus ATCC 25923 | 0.20 ± 0.09 | 0.625 | >10 | >10 |
| Streptococcus pyogenes HUSC 263834 | 2.5 | >10 | >10 | >10 |
| Mycobacterium smegmatis UGRA-1 | 1.04 ± 0.59 | 0.52 ± 0.18 | >10 | >10 |
| Corynebacterium jeikeium HUSC 223612 | 0.83 ± 0.36 | 0.15 | >10 | >10 |
| A. baumannii ATCC 19606 | |||||||||
|---|---|---|---|---|---|---|---|---|---|
| 1 (0.25 µM) | 2 (2.5 µM) | 3 (2.5 µM) | 4 (2.5 µM) | ||||||
| Ant. | MIC | MIC | FICI | MIC | FICI | MIC | FICI | MIC | FICI |
| GN | 26.7 | 8 | 0.42 | 8 | 0.42 | 8 | 0.36 | 21.333 | 0.86 |
| MER | 32 | 16 | 0.62 | 21.333 | 0.79 | 32 | 1.06 | 32 | 1.06 |
| CIP | 3.33 | 1 | 0.42 | 1 | 0.43 | 1 | 0.36 | 2 | 0.66 |
| ERY | >64 | 8 | 0.18 | 32 | 0.38 | 8 | 0.13 | 21.333 | 0.23 |
| RIF | 2 | 0.5 | 0.37 | 0.25 | 0.25 | 0.5 | 0.31 | 0.333 | 0.23 |
| DOX | 0.125 | 0.016 | 0.25 | 0.016 | 0.25 | 0.016 | 0.19 | 0.016 | 0.19 |
| VAN | 64 | 64 | 1.12 | 64 | 1.13 | 32 | 0.56 | 32 | 0.56 |
Disclaimer/Publisher’s Note: The statements, opinions and data contained in all publications are solely those of the individual author(s) and contributor(s) and not of MDPI and/or the editor(s). MDPI and/or the editor(s) disclaim responsibility for any injury to people or property resulting from any ideas, methods, instructions or products referred to in the content. |
© 2024 by the authors. Licensee MDPI, Basel, Switzerland. This article is an open access article distributed under the terms and conditions of the Creative Commons Attribution (CC BY) license (https://creativecommons.org/licenses/by/4.0/).
Share and Cite
Pérez-Soto, M.; Peñalver, P.; Muñoz-Báez, P.; Tolosa, J.; García-Martínez, J.C.; Cebrián, R.; Morales, J.C. Oligostyrylbenzene Derivatives with Antiparasitic and Antibacterial Activity as Potent G-Quadruplex Ligands. Molecules 2024, 29, 5875. https://doi.org/10.3390/molecules29245875
Pérez-Soto M, Peñalver P, Muñoz-Báez P, Tolosa J, García-Martínez JC, Cebrián R, Morales JC. Oligostyrylbenzene Derivatives with Antiparasitic and Antibacterial Activity as Potent G-Quadruplex Ligands. Molecules. 2024; 29(24):5875. https://doi.org/10.3390/molecules29245875
Chicago/Turabian StylePérez-Soto, Manuel, Pablo Peñalver, Paloma Muñoz-Báez, Juan Tolosa, Joaquín Calixto García-Martínez, Rubén Cebrián, and Juan Carlos Morales. 2024. "Oligostyrylbenzene Derivatives with Antiparasitic and Antibacterial Activity as Potent G-Quadruplex Ligands" Molecules 29, no. 24: 5875. https://doi.org/10.3390/molecules29245875
APA StylePérez-Soto, M., Peñalver, P., Muñoz-Báez, P., Tolosa, J., García-Martínez, J. C., Cebrián, R., & Morales, J. C. (2024). Oligostyrylbenzene Derivatives with Antiparasitic and Antibacterial Activity as Potent G-Quadruplex Ligands. Molecules, 29(24), 5875. https://doi.org/10.3390/molecules29245875

