Ab Initio Study of the β-Fe2O3 Phase
Abstract
1. Introduction
2. Theoretical Methods
3. Determination of the Magnetic Ground State of the -Phase
3.1. Structural Properties and Atomic Electronic Configuration
3.2. Possible Magnetic Configurations
4. Magnetic Ground State of the -Phase
4.1. Electronic Properties
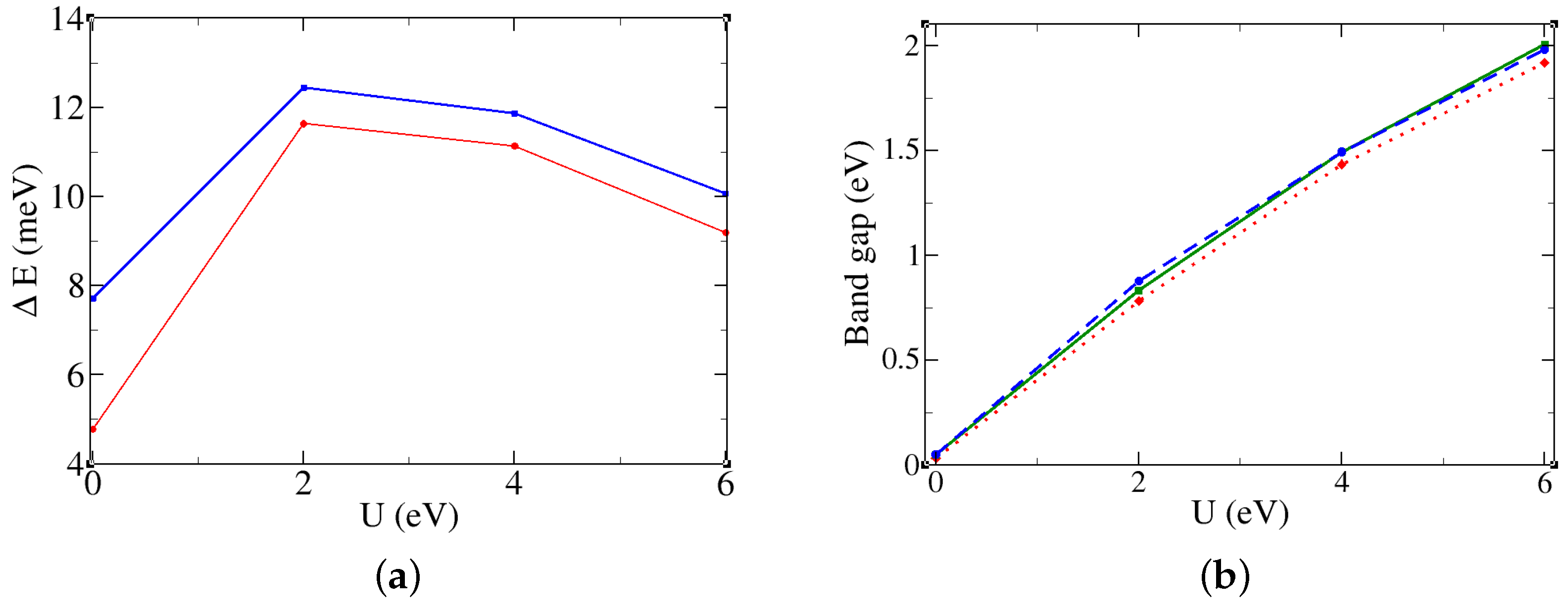
4.2. Magnetic Properties
5. Conclusions
Author Contributions
Funding
Institutional Review Board Statement
Informed Consent Statement
Data Availability Statement
Acknowledgments
Conflicts of Interest
References
- Zhang, Y.; Zhao, M.; Huang, J.; Zhao, N.; Yu, H. Controllable Synthesis, Photocatalytic Property, and Mechanism of a Novel POM-Based Direct Z-Scheme Nano-Heterojunction α-Fe2O3/P2Mo18. Molecules 2023, 28, 6671. [Google Scholar] [CrossRef] [PubMed]
- Hua, S.; Shah, S.A.; Ullah, N.; Ullah, N.; Yuan, A. Synthesis of Fe2O3 Nanorod and NiFe2O4 Nanoparticle Composites on Expired Cotton Fiber Cloth for Enhanced Hydrogen Evolution Reaction. Molecules 2024, 29, 3082. [Google Scholar] [CrossRef] [PubMed]
- Xue, Y.; Wang, Y. A review of the α-Fe2O3 (hematite) nanotube structure: Recent advances in synthesis, characterization, and applications. Nanoscale 2020, 12, 10912–10932. [Google Scholar] [CrossRef] [PubMed]
- Agarwal, R.; Li, Z.; Khan, K.I.A.; Chia, E.E.M.; Muduli, P.K. Efficient terahertz emission from R-plane α-Fe2O3/Pt. Phys. Rev. B 2024, 109, 224408. [Google Scholar] [CrossRef]
- Luo, H.; Lyu, S. Effects of atomic vibrations on the electronic structure and the photocatalytic efficiency of α-Fe2O3. Phys. Rev. B 2024, 109, 195203. [Google Scholar] [CrossRef]
- Thakur, R.; Kaur, N.; Kaur, M.; Bhowmik, P.K.; Han, H.; Singh, K.; Husain, F.M.; Sohal, H.S. Green Synthesis of Magnetic Fe2O3 Nanoparticle with Chenopodium glaucum L. as Recyclable Heterogeneous Catalyst for One-Pot Reactions and Heavy Metal Adsorption. Molecules 2024, 29, 4583. [Google Scholar] [CrossRef]
- Dzyaloshinsky, I. A thermodynamic theory of “weak” ferromagnetism of antiferromagnetics. J. Phys. Chem. Solids 1958, 4, 241–255. [Google Scholar] [CrossRef]
- Galindez-Ruales, E.F.; Šmejkal, L.; Das, S.; Baek, E.; Schmitt, C.; Fuhrmann, F.; Ross, A.; González-Hernández, R.; Rothschild, A.; Sinova, J.; et al. Altermagnetism in the hopping regime. arXiv 2024, arXiv:2310.16907. [Google Scholar]
- Autieri, C.; Sattigeri, R.M.; Cuono, G.; Fakhredine, A. Dzyaloshinskii-Moriya interaction inducing weak ferromagnetism in centrosymmetric altermagnets and weak ferrimagnetism in noncentrosymmetric altermagnets. arXiv 2023, arXiv:2312.07678. [Google Scholar]
- Mahfouzi, F.; Kioussis, N. Bulk generalized Dzyaloshinskii-Moriya interaction in PT-symmetric antiferromagnets. Phys. Rev. B 2022, 106, L220404. [Google Scholar] [CrossRef]
- Šmejkal, L.; Sinova, J.; Jungwirth, T. Emerging Research Landscape of Altermagnetism. Phys. Rev. X 2022, 12, 040501. [Google Scholar] [CrossRef]
- Sattigeri, R.M.; Cuono, G.; Autieri, C. Altermagnetic surface states: Towards the observation and utilization of altermagnetism in thin films, interfaces and topological materials. Nanoscale 2023, 15, 16998–17005. [Google Scholar] [CrossRef] [PubMed]
- Cuono, G.; Sattigeri, R.M.; Skolimowski, J.; Autieri, C. Orbital-selective altermagnetism and correlation-enhanced spin-splitting in strongly-correlated transition metal oxides. J. Magn. Magn. Mater. 2023, 586, 171163. [Google Scholar] [CrossRef]
- Grzybowski, M.J.; Autieri, C.; Domagala, J.; Krasucki, C.; Kaleta, A.; Kret, S.; Gas, K.; Sawicki, M.; Bożek, R.; Suffczyński, J.; et al. Wurtzite vs. rock-salt MnSe epitaxy: Electronic and altermagnetic properties. Nanoscale 2024, 16, 6259–6267. [Google Scholar] [CrossRef] [PubMed]
- Fakhredine, A.; Sattigeri, R.M.; Cuono, G.; Autieri, C. Interplay between altermagnetism and nonsymmorphic symmetries generating large anomalous Hall conductivity by semi-Dirac points induced anticrossings. Phys. Rev. B 2023, 108, 115138. [Google Scholar] [CrossRef]
- Verbeek, X.H.; Voderholzer, D.; Schären, S.; Gachnang, Y.; Spaldin, N.A.; Bhowal, S. Non-relativistic ferromagnetotriakontadipolar order and spin splitting in hematite. arXiv 2024, arXiv:2405.10675. [Google Scholar]
- Bousquet, E.; Lelièvre-Berna, E.; Qureshi, N.; Soh, J.R.; Spaldin, N.A.; Urru, A.; Verbeek, X.H.; Weber, S.F. On the sign of the linear magnetoelectric coefficient in Cr2O3. J. Phys. Condens. Matter 2024, 36, 155701. [Google Scholar] [CrossRef]
- Pourmadadi, M.; Rahmani, E.; Shamsabadipour, A.; Mahtabian, S.; Ahmadi, M.; Rahdar, A.; Díez-Pascual, A.M. Role of Iron Oxide (Fe2O3) Nanocomposites in Advanced Biomedical Applications: A State-of-the-Art Review. Nanomaterials 2022, 12, 3873. [Google Scholar] [CrossRef]
- Danno, T.; Nakatsuka, D.; Kusano, Y.; Asaoka, H.; Nakanishi, M.; Fujii, T.; Ikeda, Y.; Takada, J. Crystal Structure of β-Fe2O3 and Topotactic Phase Transformation to α-Fe2O3. Cryst. Growth Des. 2013, 13, 770–774. [Google Scholar] [CrossRef]
- Bafna, M.; Deeba, F.; Gupta, A.K.; Shrivastava, K.; Kulshrestha, V.; Jain, A. Analysis of Dielectric Parameters of Fe2O3-Doped Polyvinylidene Fluoride/Poly(methyl methacrylate) Blend Composites. Molecules 2023, 28, 5722. [Google Scholar] [CrossRef]
- Tuček, J.; Machala, L.; Ono, S.; Namai, A.; Yoshikiyo, M.; Imoto, K.; Tokoro, H.; Ohkoshi, S.i.; Zbořil, R. Zeta-Fe2O3—A new stable polymorph in iron(III) oxide family. Sci. Rep. 2015, 5, 15091. [Google Scholar] [CrossRef] [PubMed]
- Sakurai, S.; Namai, A.; Hashimoto, K.; Ohkoshi, S.I. First Observation of Phase Transformation of All Four Fe2O3Phases (γ→ϵ→ β→α-Phase). J. Am. Chem. Soc. 2009, 131, 18299–18303. [Google Scholar] [CrossRef] [PubMed]
- Hohenberg, P.; Kohn, W. Inhomogeneous Electron Gas. Phys. Rev. 1964, 136, B864–B871. [Google Scholar] [CrossRef]
- Kresse, G.; Hafner, J. Ab initio molecular dynamics for liquid metals. Phys. Rev. B 1993, 47, 558–561. [Google Scholar] [CrossRef]
- Kresse, G.; Furthmüller, J. Efficient iterative schemes for ab initio total-energy calculations using a plane-wave basis set. Phys. Rev. B 1996, 54, 11169–11186. [Google Scholar] [CrossRef]
- Kresse, G.; Joubert, D. From ultrasoft pseudopotentials to the projector augmented-wave method. Phys. Rev. B 1999, 59, 1758–1775. [Google Scholar] [CrossRef]
- Perdew, J.P.; Burke, K.; Ernzerhof, M. Generalized Gradient Approximation Made Simple. Phys. Rev. Lett. 1996, 77, 3865–3868. [Google Scholar] [CrossRef]
- Liechtenstein, A.I.; Anisimov, V.I.; Zaanen, J. Density-functional theory and strong interactions: Orbital ordering in Mott-Hubbard insulators. Phys. Rev. B 1995, 52, R5467–R5470. [Google Scholar] [CrossRef]
- Rollmann, G.; Rohrbach, A.; Entel, P.; Hafner, J. First-principles calculation of the structure and magnetic phases of hematite. Phys. Rev. B 2004, 69, 165107. [Google Scholar] [CrossRef]
- Naveas, N.; Pulido, R.; Marini, C.; Hernández-Montelongo, J.; Silván, M.M. First-principles calculations of hematite (α-Fe2O3) by self-consistent DFT+U+V. iScience 2023, 26, 106033. [Google Scholar] [CrossRef]
- Ivanov, S.A.; Bush, A.A.; Stash, A.I.; Kamentsev, K.E.; Shkuratov, V.Y.; Kvashnin, Y.O.; Autieri, C.; Di Marco, I.; Sanyal, B.; Eriksson, O.; et al. Polar Order and Frustrated Antiferromagnetism in Perovskite Pb2MnWO6 Single Crystals. Inorg. Chem. 2016, 55, 2791–2805. [Google Scholar] [CrossRef] [PubMed]
- Wollan, E.O.; Koehler, W.C. Neutron Diffraction Study of the Magnetic Properties of the Series of Perovskite-Type Compounds [(1-x)La,xCa]MnO3. Phys. Rev. 1955, 100, 545–563. [Google Scholar] [CrossRef]
- Zaanen, J.; Sawatzky, G.A.; Allen, J.W. Band gaps and electronic structure of transition-metal compounds. Phys. Rev. Lett. 1985, 55, 418–421. [Google Scholar] [CrossRef]
- Šmejkal, L.; Sinova, J.; Jungwirth, T. Beyond Conventional Ferromagnetism and Antiferromagnetism: A Phase with Nonrelativistic Spin and Crystal Rotation Symmetry. Phys. Rev. X 2022, 12, 031042. [Google Scholar] [CrossRef]
- Maznichenko, I.V.; Ernst, A.; Maryenko, D.; Dugaev, V.K.; Sherman, E.Y.; Buczek, P.; Parkin, S.S.P.; Ostanin, S. Fragile altermagnetism and orbital disorder in Mott insulator LaTiO3. Phys. Rev. Mater. 2024, 8, 064403. [Google Scholar] [CrossRef]
- Schrön, A.; Rödl, C.; Bechstedt, F. Energetic stability and magnetic properties of MnO in the rocksalt, wurtzite, and zinc-blende structures: Influence of exchange and correlation. Phys. Rev. B 2010, 82, 165109. [Google Scholar] [CrossRef]








| Magnetic Configuration | U = 0 | U = 2 | U = 4 | U = 6 |
|---|---|---|---|---|
| −587.47095 | −566.08967 | −548.64293 | −533.58374 | |
| −594.30717 | −571.24667 | −552.19408 | −536.10719 | |
| F-type + (FM, FM, FM) | −596.01489 | −572.40884 | −552.99571 | −536.66510 |
| G-type + (FM, FM, FM) | −596.10745 | −572.55813 | −553.13810 | −536.78583 |
Disclaimer/Publisher’s Note: The statements, opinions and data contained in all publications are solely those of the individual author(s) and contributor(s) and not of MDPI and/or the editor(s). MDPI and/or the editor(s) disclaim responsibility for any injury to people or property resulting from any ideas, methods, instructions or products referred to in the content. |
© 2024 by the authors. Licensee MDPI, Basel, Switzerland. This article is an open access article distributed under the terms and conditions of the Creative Commons Attribution (CC BY) license (https://creativecommons.org/licenses/by/4.0/).
Share and Cite
Mishra, P.; Autieri, C. Ab Initio Study of the β-Fe2O3 Phase. Molecules 2024, 29, 5751. https://doi.org/10.3390/molecules29235751
Mishra P, Autieri C. Ab Initio Study of the β-Fe2O3 Phase. Molecules. 2024; 29(23):5751. https://doi.org/10.3390/molecules29235751
Chicago/Turabian StyleMishra, Priyanka, and Carmine Autieri. 2024. "Ab Initio Study of the β-Fe2O3 Phase" Molecules 29, no. 23: 5751. https://doi.org/10.3390/molecules29235751
APA StyleMishra, P., & Autieri, C. (2024). Ab Initio Study of the β-Fe2O3 Phase. Molecules, 29(23), 5751. https://doi.org/10.3390/molecules29235751

