Research Progress and Outlook of Molecular Dynamics Simulation on Carbon Dioxide Applied for Methane Exploitation from Hydrates
Abstract
1. Introduction
2. Fundamentals of Molecular Dynamics Simulation
2.1. Theoretical Basis
2.2. Simulation Techniques
2.2.1. Statistical Ensemble
2.2.2. Molecular Force Field
2.2.3. Numerical Solution
2.3. Characterization Parameters
2.3.1. Mean Square Displacement
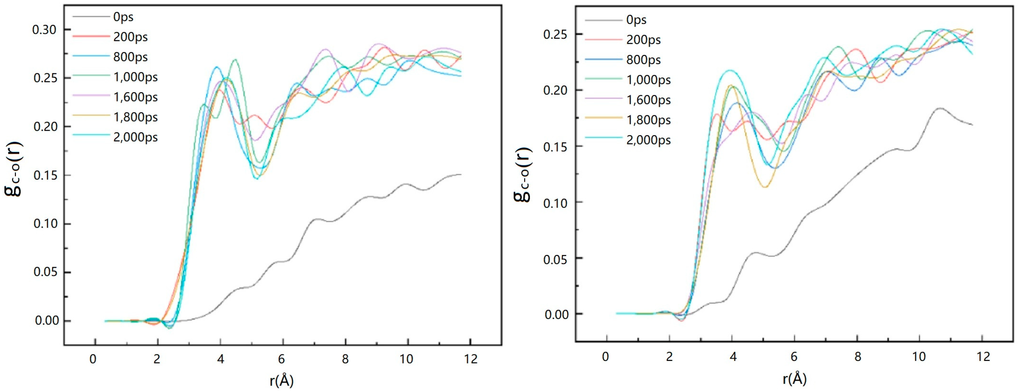
2.3.2. Radial Distribution Function
2.3.3. Coordination Number
2.3.4. Angular Order Parameter
2.3.5. Hydrogen Bonds
3. Mechanism of Carbon Dioxide Replacement for Hydrate Exploitation
3.1. Guest Molecular Replacement
3.2. Hydrate Reconfiguration
4. Key Issues for Carbon Dioxide Applied for Methane Exploitation from Hydrates
4.1. Thermodynamic Conditions
4.2. Auxiliary Gases
4.3. Other Factors
5. Conclusions
Author Contributions
Funding
Institutional Review Board Statement
Informed Consent Statement
Data Availability Statement
Conflicts of Interest
References
- Ebinuma, T. Method for Dumping and Disposing of Carbon Dioxide Gas and Apparatus Therefor. U.S. Patent 5,261,490, 16 November 1993. [Google Scholar]
- Ohgaki, K.; Takano, K.; Sangawa, H.; Matsubara, T.; Nakano, S. Methane exploitation by carbon dioxide from gas hydrates—Phase equilibria for CO₂-CH₄ mixed hydrate system. J. Chem. Eng. Jpn. 1996, 29, 478–483. [Google Scholar] [CrossRef]
- Schoderbek, D.; Boswell, R. Ignik Sikumi#1, gas hydrate test well, successfully installed on the Alaska North Slope. Nat. Gas Oil 2011, 11, 1–4. [Google Scholar]
- Schicks, J.M.; Spangenberg, E.; Giese, R.; Steinhauer, B.; Klump, J.; Luzi, M. New approaches for the production of hydrocarbons from hydrate-bearing sediments. Energies 2011, 4, 151–172. [Google Scholar] [CrossRef]
- Sloan, E.D.; Koh, C.A. Estimation techniques for phase equilibria of natural gas hydrates. In Proceedings of the 3rd International Conference on Natural Gas Hydrates, Salt Lake City, UT, USA, 18–22 July 1999; Francis Group: New York, NY, USA, 2008; pp. 320–523. [Google Scholar]
- Janicki, G.; Schlüter, S.; Hennig, T.; Lyko, H.; Deerberg, G. Simulation of methane recovery from gas hydrates combined with storing carbon dioxide as hydrates. J. Geol. Res. 2011, 2011, 462156. [Google Scholar] [CrossRef]
- Svandal, A.; Kuznetsova, T.; Kvamme, B. Thermodynamic properties and phase transitions in the H2O/CO2/CH4 system. Fluid Phase Equilib. 2006, 246, 177–184. [Google Scholar] [CrossRef]
- Uchida, T.; Ikeda, I.Y.; Takeya, S.; Kamata, Y.; Ohmura, R.; Nagao, J. Kinetics and stability of CH4–CO2 mixed gas hydrates during formation and long-term storage. ChemPhysChem 2005, 6, 646–654. [Google Scholar] [CrossRef]
- Akihiro, H. Phase equilibrium and comparison of formation speeds of CH4 and CO2 hydrate below the ice point. In Proceedings of the Fifth International Conference on Gas Hydrates, Trondheim, Norway, 13–16 June 2005; pp. 126–128. [Google Scholar]
- Ota, M.; Morohashi, K.; Abe, Y.; Watanabe, M.; Smith, R.L.; Inomata, H. Replacement of CH4 in the hydrate by use of liquid CO2. Energy Convers. Manag. 2005, 46, 1680–1691. [Google Scholar] [CrossRef]
- Yoon, J.H.; Yoon, T.; Kawamura, T.; Yoshitaka, Y.; Yamamoto, Y. Transformation of Methane Hydrate to Carbon Dioxide Hydrate: In Situ Raman Spectroscopic Observations. J. Phys. Chem. A 2004, 108, 5057–5059. [Google Scholar] [CrossRef]
- Ota, M.; Abe, Y.; Watanabe, M.; Smith, R.L.; Inomata, H. Methane recovery from methane hydrate using pressurized CO2. Fluid Phase Equilib. 2005, 228, 553–559. [Google Scholar]
- Yezdimer, E.M.; Cummings, P.T.; Chialvo, A.A. Determination of the Gibbs free energy of gas replacement in SI clathrate hydrates by molecular simulation. J. Phys. Chem. A 2002, 106, 7982–7987. [Google Scholar]
- Goel, N. In situ methane hydrate dissociation with carbon dioxide sequestration: Current knowledge and issues. J. Pet. Sci. Eng. 2006, 51, 169–184. [Google Scholar] [CrossRef]
- Li, Z.Z.; Guo, X.Q.; Chen, G.J.; Wang, J.B.; Yang, L.Y.; Wang, T. Experimental kinetic studies on methane replacement from methane hydrate formed in SDS system by using pressurized CO2. J. Chem. Ind. Eng. 2007, 58, 1197–1202. [Google Scholar]
- Park, Y.; Kim, D.; Lee, J.; Huh, D.; Park, K.; Lee, J. Sequestering carbon dioxide into complex structures of naturally occurring gas hydrates. Proc. Natl. Acad. Sci. USA 2006, 103, 12690–12694. [Google Scholar] [CrossRef] [PubMed]
- Pandey, J.S.; Solms, N. Hydrate stability and methane recovery from gas hydrate through CH4–CO2 replacement in different mass transfer scenarios. Energies 2019, 12, 2309. [Google Scholar] [CrossRef]
- Sun, Y.F.; Wang, Y.F.; Zhong, J.R.; Li, W.Z.; Li, R.; Cao, B.J. Gas hydrate exploitation using CO2/H2 mixture gas by semi-continuous injection-production mode. Appl. Energy 2019, 240, 215–225. [Google Scholar] [CrossRef]
- Ding, Y.L.; Xu, C.G.; Yu, Y.S. Methane recovery from natural gas hydrate with simulated IGCC syngas. Energy 2017, 120, 192–198. [Google Scholar] [CrossRef]
- Sun, Y.F.; Wang, Y.F.; Zhong, J.R.; Li, W.Z.; Li, R.; Cao, B.J. Natural gas hydrate exploitation by CO2/H2 continuous Injection-Production mode. Appl. Energy 2018, 226, 10–21. [Google Scholar] [CrossRef]
- Wang, M.; Wang, X.; Deng, C.; Liu, B.; Sun, C.; Chen, G.; El-Halwagi, M.M. Process modeling and energy efficiency analysis of natural gas hydrate production by CH4-CO2/H2 replacement coupling steam methane reforming. In Computer Aided Chemical Engineering; Elsevier: Amsterdam, The Netherlands, 2019; pp. 131–136. [Google Scholar]
- Alder, B.J.; Wainwright, T.E. Phase transition for a hard sphere system. J. Chem. Phys. 1957, 27, 1208–1209. [Google Scholar] [CrossRef]
- Rahman, A. Correlations in motion of atoms in liquid argon. Phys. Rev. 1964, 136, A405. [Google Scholar] [CrossRef]
- Verlet, L. Computer experiments on classical fluids. I. Thermodynamical properties of Lennard-Jones molecules. Phys. Rev. 1967, 159, 98. [Google Scholar] [CrossRef]
- Haile, J.M. Molecular Dynamics Simulation: Elementary Methods; OAI: New York, NY, USA, 1992. [Google Scholar]
- Frenkel, D.; Smit, B. Understanding Molecular Simulation: From Algorithms to Applications; Academic Press: Cambridge, MA, USA, 2002. [Google Scholar]
- Allen, M.P.; Tildesley, D.J. Computer Simulation of Liquids; Oxford University Press: Oxford, UK, 2017. [Google Scholar]
- Tuckerman, M.E. Statistical Mechanics: Theory and Molecular Simulation; Oxford University Press: Oxford, UK, 2010. [Google Scholar]
- Chandler, D. Introduction to Modern Statistical Mechanics; Oxford University Press: Oxford, UK, 2013. [Google Scholar]
- Jorgensen, W.L.; Ghahremanpour, M.M.; Saar, A.; Tirado-Rives, J. OPLS/2020 Force Field for Unsaturated Hydrocarbons, Alcohols, and Ethers. J. Phys. Chem. B 2024, 128, 250–262. [Google Scholar] [CrossRef] [PubMed]
- Sun, H.; Ren, P.; Fried, J.R. Condensed-phased optimized molecular potential for atomistic simulation studies. Comput. Theor. Polym. Sci. 1998, 8, 229. [Google Scholar] [CrossRef]
- Karplus, M. Chemistry at Harvard Macromolecular Mechanics (CHARMM): A Computational Approach to Biomolecular Systems. J. Comput. Chem. 1983, 4, 1–26. [Google Scholar]
- Weiner, P.K.; Kollman, P.A. AMBER: Assisted model building with energy refinement A general program for modeling molecules their interactions. J. Comput. Chem. 1981, 2, 287–303. [Google Scholar] [CrossRef]
- Dauber-Osguthorpe, L.; Osguthorpe, D.R. Consistent valence force field for organic molecules: 1. The hydrocarbons. J. Am. Chem. Soc. 1988, 110, 7750–7759. [Google Scholar]
- Berendsen, H.J.C.; Grigera, J.R.; Straatsma, T.P. The missing term in effective pair potentials. Physica A 1987, 131, 109–122. [Google Scholar] [CrossRef]
- Ferguson, D.M.; Weare, J.H. A new water potential for simulating liquid water and ice. J. Chem. Phys. 1984, 81, 5675–5684. [Google Scholar]
- Vega, C.; de Pablo, J.J. Modeling water and ice: The TIP4P/Ice potential. J. Phys. Chem. B 2009, 113, 8864–8873. [Google Scholar]
- Abascal, J.L.F.; Vega, C. Globular protein folding in water: A comparison of two water models. J. Phys. Chem. B 2005, 109, 15646–15654. [Google Scholar]
- Harris, J.G.; Yung, K.H. Force Fields for Molecular Dynamics Simulations of Carbon Dioxide. J. Chem. Phys. 2001, 115, 10238–10245. [Google Scholar]
- Stone, A.J. A new force field for carbon dioxide. Mol. Phys. 1998, 94, 953–962. [Google Scholar]
- Jorgensen, W.L.; Tirado-Rives, J. The OPLS [optimized potentials for liquid simulations] potential functions for proteins, energy minimizations for crystals of cyclic peptides and crambin. J. Am. Chem. Soc. 1988, 110, 1657–1666. [Google Scholar] [CrossRef] [PubMed]
- Jorgensen, W.L.; Madura, J.D.; Swenson, C.J. Optimized intermolecular potential functions for liquid hydrocarbons. J. Am. Chem. Soc. 1984, 106, 6638–6646. [Google Scholar] [CrossRef]
- Chen, B.; Siepmann, J.I. A New Force Field for Methane. J. Phys. Chem. A 2001, 105, 5274–5285. [Google Scholar]
- Rahman, A. Correlations in the motion of atomic systems. Phys. Rev. Lett. 1964, 12, 34–36. [Google Scholar]
- Swope, W.C.; Anderson, H.C.; Berens, P.H.; Wilson, K.R. Computer simulation of liquids. Rev. Mod. Phys. 1982, 53, 681–740. [Google Scholar]
- Andrew, R.L. Molecular Modeling: Principle and Practice; Springer: Berlin/Heidelberg, Germany, 1996; pp. 357–359. [Google Scholar]
- Stillinger, F.H.; Weber, T.A. Computer simulation of local order in condensed phases of silicon. Phys. Rev. B 1985, 31, 5262–5271. [Google Scholar] [CrossRef]
- Marshall, W.L.; Haymet, A.D.J. The structure of water in the hydration shells of some ions. J. Chem. Soc. Faraday Trans. 1985, 81, 1633–1642. [Google Scholar]
- Vatamanu, J.; Kusalik, P.G. The Growth of Structure I Methane Hydrate from Molecular Dynamics Simulations. J. Am. Chem. Soc. 2006, 128, 15588–15589. [Google Scholar] [CrossRef]
- Zhang, Y.; Zhao, L.; Deng, S.; Nie, X.; Du, Z. Molecular dynamics simulation on carbon dioxide hydrate formation. Energy Procedia 2019, 158, 4648–4654. [Google Scholar] [CrossRef]
- Sircar, S.; Deb, S. Kinetics of methane release from hydrates by CO2 exchange. Fuel 2006, 85, 2458–2464. [Google Scholar]
- Lai, X.; Koh, C.G. Kinetics of CO2-induced methane release from methane hydrate. Int. J. Greenh. Gas Control 2009, 3, 213–219. [Google Scholar]
- Horvat, K.; Kerkar, P.; Jones, K.; Mahajan, D. Kinetics of the formation and dissociation of gas hydrates from CO2-CH4 mixtures. Energies 2012, 5, 2248–2262. [Google Scholar] [CrossRef]
- Tung, Y.T.; Chen, L.J.; Chen, Y.P.; Lin, S.T. In situ methane recovery carbon dioxide sequestration in methane hydrates: A molecular dynamics simulation study. J. Phys. Chem. B 2011, 115, 15295–15302. [Google Scholar] [CrossRef]
- Zhang, K.; Qin, G. Mechanistic and kinetic study of CO2-CH4 exchange process in methane hydrates using molecular dynamics simulation. In Proceedings of the SPE Europec Featured at 81st EAGE Conference and Exhibition, London, UK, 3–6 June 2019. [Google Scholar]
- Qi, Y.; Ota, M.; Zhang, H. Molecular dynamics simulation of replacement of CH4 in hydrate with CO2. Energy Convers. Manag. 2011, 52, 2682–2687. [Google Scholar] [CrossRef]
- Liang, S.; Liang, D.; Wu, N.; Yi, L.; Hu, G. Molecular mechanisms of gas diffusion in CO2 hydrates. J. Phys. Chem. C 2016, 120, 16298–16304. [Google Scholar] [CrossRef]
- Yi, L.; Liang, D.; Zhou, X. Molecular dynamics simulation of CO2 displacement of CH4 hydrate in NaCl solution. J. Eng. Thermophys. 2016, 37, 1383–1387. [Google Scholar]
- Iwai, Y.; Nakamura, H.; Hirata, M. Molecular dynamics simulation of replacement of methane hydrate with carbon dioxide. Mol. Simul. 2012, 38, 481–490. [Google Scholar] [CrossRef]
- Bai, D.; Zhang, X.; Chen, G.; Wang, W. Replacement mechanism of methane hydrate with carbon dioxide from microsecond molecular dynamics simulations. Energy Environ. Sci. 2012, 5, 7033–7041. [Google Scholar] [CrossRef]
- Uddin, M.; Coombe, D. Kinetics of CH4 and CO2 hydrate dissociation and gas bubble evolution via MD simulation. J. Phys. Chem. A 2014, 118, 1971–1988. [Google Scholar] [CrossRef]
- Wu, G.; Tian, L.; Chen, D.; Niu, M.; Ji, H. CO2 and CH4 hydrates: Replacement or cogrowth? J. Phys. Chem. C 2019, 123, 13401–13409. [Google Scholar] [CrossRef]
- Wang, Z.; Xu, Y.; Khan, N.; Zhu, C.; Gao, Y. Effects of the Surfactant, Polymer, and Crude Oil Properties on the Formation and Stabilization of Oil-Based Foam Liquid Films: Insights from the Microscale. J. Mol. Liq. 2022, 373, 121194. [Google Scholar] [CrossRef]
- Pessôa Filho, P.A.; Weidmann, A.B.; Franco LF, M.; Sum, A.K. Dissociation Temperature of Gas Hydrates through Isenthalpic–Isobaric Molecular Dynamics Simulations. J. Chem. Phys. 2024, 161, 174505. [Google Scholar]
- Cladek, B.R.; Everett, S.M.; McDonnell, M.T.; Kizzire, D.G.; Tucker, M.G.; Keffer, D.J.; Rawn, C.J. Local structure analysis of low-temperature neutron pair distribution function coupled with molecular dynamics simulations of CH4 and CO2 hydrates from 2 to 210 K. Fuel 2021, 299, 120908. [Google Scholar] [CrossRef]
- Guo, P.; Song, Y.L.; Liu, H.; Zhang, W.B.; Zhao, J.F. Molecular dynamic simulation study on replacement of methane hydrates with carbon dioxide under different temperatures, pressures, and concentrations of ethylene glycol. ACS Omega 2024, 5, 13936–13950. [Google Scholar] [CrossRef]
- Gajanayake, S.; Gamage, R.P.; Wanniarachchige, P.; Zhang, D. Quantification of CO2 replacement in methane gas hydrates: A molecular dynamics perspective. J. Nat. Gas.Sci. Eng. 2022, 98, 104396. [Google Scholar] [CrossRef]
- Cheng, L.; Li, Y.; Cui, J.; Wu, Q.; Liu, B.; Ning, F.; Chen, G. Molecular simulation study on carbon dioxide replacement in methane hydrate near the freezing point. Gas Sci. Eng. 2024, 122, 205220. [Google Scholar] [CrossRef]
- Liu, J.; Yan, Y.; Xu, J.; Li, S.; Chen, G.; Zhang, J. Replacement micro-mechanism of CH4 hydrate by nitrogen/CO2 mixture revealed by ab initio studies. Comput. Mater. Sci. 2016, 123, 106–110. [Google Scholar] [CrossRef]
- Liu, J.; Yan, Y.; Liu, H.; Xu, J.; Zhang, J.; Chen, G. Understanding effect of structure and stability on transformation of CH4 hydrate to CO2 hydrate. Chem. Phys. Lett. 2016, 648, 75–80. [Google Scholar] [CrossRef]
- Matsui, H.; Jia, J.; Tsuji, T.; Liang, Y.; Masuda, Y. Microsecond simulation study on the replacement of methane in methane hydrate by carbon dioxide, nitrogen, and carbon dioxide–nitrogen mixtures. Fuel 2020, 263, 116640. [Google Scholar] [CrossRef]
- Song, W.; Sun, X.; Zhou, G.; Huang, W.; Lu, G.; Wu, C. Molecular dynamics simulation study of nitrogen/CO2 displacement process of methane hydrate. ChemistrySelect 2020, 5, 13936–13950. [Google Scholar] [CrossRef]
- Li, D.; Chen, L.; Liu, G.; Xiao, J.; Li, B.; Yu, W. Comparison between the replacements of CH4 in natural gas hydrate with CO2 and NH3. Energy Rep. 2021, 7, 3639–3646. [Google Scholar] [CrossRef]
- Palodkar, A.V.; Dongre, H.J.; Thakre, N.; Jana, A.K. Microsecond molecular dynamics of methane–carbon dioxide swapping in pure and saline water environment. Sci. Rep. 2022, 12, 2634. [Google Scholar] [CrossRef] [PubMed]
- Zhang, X.; Huang, T.; Shan, T.; Yuan, Q.; Yin, S.; Li, J.; Zhang, P. Molecular dynamics study of the influence of water molecular phase state on the replacement of CO2–CH4 hydrate in porous media. J. Mol. Liq. 2023, 391, 123401. [Google Scholar] [CrossRef]























| Temperature | Time (ns) | Hydrate Phase Surface | Hydrate Phase Interior |
|---|---|---|---|
| 250 K | 300 | 170.55 ± 4.07 | 184.45 ± 1.17 |
| 2000 | 168.65 ± 2.85 | 184.4 ± 0.50 | |
| 300 | 166.20 ± 2.23 | 183.85 ± 0.32 | |
| 260 K | 2000 | 162.10 ± 5.20 | 184.25 ± 0.41 |
| 300 | 163.90 ± 2.89 | 184.5 ± 0.46 | |
| 270 K | 300 | 170.55 ± 4.07 | 184.45 ± 1.17 |
| Temperature | Time (ns) | Displacement Rate | Release Rate |
|---|---|---|---|
| 250 K | 300 | 0.057 | 0.088 |
| 2000 | 0.0098 | 0.016 | |
| 260 K | 300 | 0.057 | 0.093 |
| 2000 | 0.0095 | 0.020 | |
| 270 K | 300 | 0.075 | 0.127 |
Disclaimer/Publisher’s Note: The statements, opinions and data contained in all publications are solely those of the individual author(s) and contributor(s) and not of MDPI and/or the editor(s). MDPI and/or the editor(s) disclaim responsibility for any injury to people or property resulting from any ideas, methods, instructions or products referred to in the content. |
© 2024 by the authors. Licensee MDPI, Basel, Switzerland. This article is an open access article distributed under the terms and conditions of the Creative Commons Attribution (CC BY) license (https://creativecommons.org/licenses/by/4.0/).
Share and Cite
Yu, Q.; Li, C.; Peng, B.; Tang, H.; Yang, T.; Yu, Y.; Zhang, K.; Chen, Z. Research Progress and Outlook of Molecular Dynamics Simulation on Carbon Dioxide Applied for Methane Exploitation from Hydrates. Molecules 2024, 29, 5579. https://doi.org/10.3390/molecules29235579
Yu Q, Li C, Peng B, Tang H, Yang T, Yu Y, Zhang K, Chen Z. Research Progress and Outlook of Molecular Dynamics Simulation on Carbon Dioxide Applied for Methane Exploitation from Hydrates. Molecules. 2024; 29(23):5579. https://doi.org/10.3390/molecules29235579
Chicago/Turabian StyleYu, Qiannan, Chenglong Li, Boyang Peng, Huimin Tang, Tao Yang, Yang Yu, Kun Zhang, and Zhijing Chen. 2024. "Research Progress and Outlook of Molecular Dynamics Simulation on Carbon Dioxide Applied for Methane Exploitation from Hydrates" Molecules 29, no. 23: 5579. https://doi.org/10.3390/molecules29235579
APA StyleYu, Q., Li, C., Peng, B., Tang, H., Yang, T., Yu, Y., Zhang, K., & Chen, Z. (2024). Research Progress and Outlook of Molecular Dynamics Simulation on Carbon Dioxide Applied for Methane Exploitation from Hydrates. Molecules, 29(23), 5579. https://doi.org/10.3390/molecules29235579

