Liposomal Formulations of Novel BODIPY Dimers as Promising Photosensitizers for Antibacterial and Anticancer Treatment
Abstract
1. Introduction
2. Results and Discussion
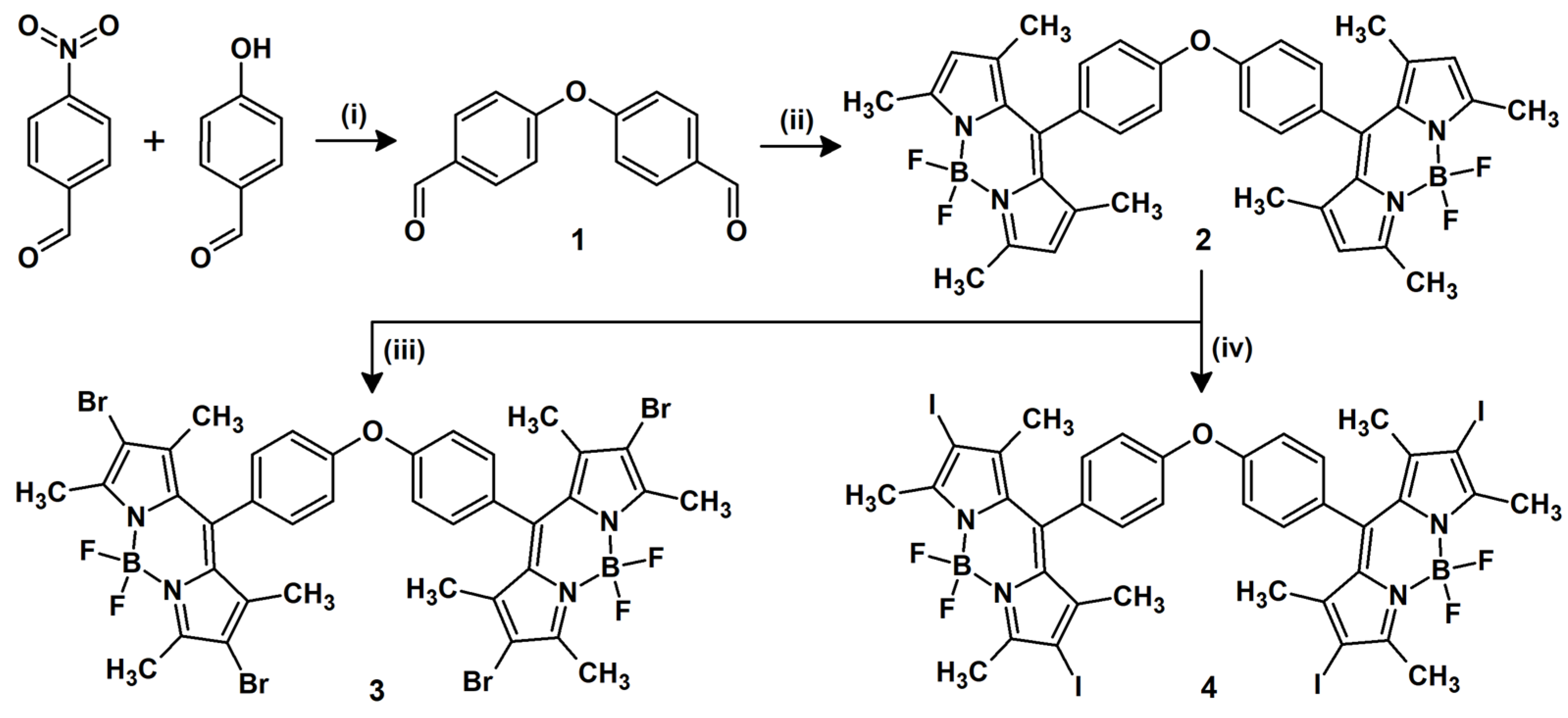
2.1. Synthesis and Characterization
2.2. Spectral Properties and Singlet Oxygen Generation
2.3. Liposomal Formulations
2.4. In Vitro Photodynamic Inactivation of Planktonic Bacteria
2.5. In Vitro Photodynamic Anticancer Activity
3. Materials and Methods
3.1. Instrumentation and General Procedures
3.2. Synthetic Procedures
3.2.1. Compound 2 (dimer-H)
3.2.2. Compound 3 (dimer-Br)
3.2.3. Compound 4 (dimer-I)
3.3. Absorption and Emission Properties
3.4. Photosensitized Production of Singlet Oxygen
3.5. Liposome Preparation
3.6. In Vitro Photodynamic Inactivation of Planktonic Bacteria
3.7. Cytotoxic Activity
3.7.1. Materials
3.7.2. Cell Culture
3.7.3. Preliminary Experiments: The Cytotoxic Activity of Free Compounds Dissolved in DMSO
3.7.4. Preliminary Experiments: The Cytotoxic Activity of Liposomal Formulations of Compounds 2–4
3.7.5. Cytotoxic Effect of Liposomes DOTAP:POPC Encapsulating BODIPYs 3 and 4
4. Conclusions
Supplementary Materials
Author Contributions
Funding
Institutional Review Board Statement
Informed Consent Statement
Data Availability Statement
Conflicts of Interest
References
- Aebisher, D.; Rogóż, K.; Myśliwiec, A.; Dynarowicz, K.; Wiench, R.; Cieślar, G.; Kawczyk-Krupka, A.; Bartusik-Aebisher, D. The Use of Photodynamic Therapy in Medical Practice. Front. Oncol. 2024, 14, 1373263. [Google Scholar] [CrossRef] [PubMed]
- Akhtar, F. The Dual Role of Photodynamic Therapy to Treat Cancer and Microbial Infection. Drug Discov. Today 2024, 29, 104099. [Google Scholar] [CrossRef] [PubMed]
- Michalak, M.; Mazurkiewicz, S.; Szymczyk, J.; Ziental, D.; Sobotta, Ł. Photodynamic Therapy Applications—Review. J. Med. Sci. 2023, 92, e865. [Google Scholar] [CrossRef]
- Lima, E.; Reis, L.V. Photodynamic Therapy: From the Basics to the Current Progress of N-Heterocyclic-Bearing Dyes as Effective Photosensitizers. Molecules 2023, 28, 5092. [Google Scholar] [CrossRef]
- Das, S.; Dey, S.; Patra, S.; Bera, A.; Ghosh, T.; Prasad, B.; Sayala, K.D.; Maji, K.; Bedi, A.; Debnath, S. BODIPY-Based Molecules for Biomedical Applications. Biomolecules 2023, 13, 1723. [Google Scholar] [CrossRef]
- Gong, Q.; Wu, Q.; Guo, X.; Li, W.; Wang, L.; Hao, E.; Jiao, L. Strategic Construction of Sulfur-Bridged BODIPY Dimers and Oligomers as Heavy-Atom-Free Photosensitizers. Org. Lett. 2021, 23, 7220–7225. [Google Scholar] [CrossRef]
- Zhu, M.; Gu, T.; Gros, C.P.; Bolze, F.; Liang, X.; Chang, Y.; Xu, H. β-β-Alkynyl-Bridged BODIPY Dimers: Synthesis, One- and Two-Photon Photophysical Properties. J. Mol. Struct. 2024, 1310, 138313. [Google Scholar] [CrossRef]
- Liu, W.; Tang, A.; Chen, J.; Wu, Y.; Zhan, C.; Yao, J. Photocurrent Enhancement of BODIPY-Based Solution-Processed Small-Molecule Solar Cells by Dimerization via the Meso Position. ACS Appl. Mater. Interfaces 2014, 6, 22496–22505. [Google Scholar] [CrossRef]
- Miki, K.; Enomoto, A.; Inoue, T.; Nabeshima, T.; Saino, S.; Shimizu, S.; Matsuoka, H.; Ohe, K. Polymeric Self-Assemblies with Boron-Containing Near-Infrared Dye Dimers for Photoacoustic Imaging Probes. Biomacromolecules 2017, 18, 249–256. [Google Scholar] [CrossRef]
- Hewavitharanage, P.; Warshawsky, R.; Rosokha, S.V.; Vaal, J.; Stickler, K.; Bachynsky, D.; Jairath, N. Efficient Energy Transfer in Phenyl-Ethynyl-Linked Asymmetric BODIPY Dimers. Tetrahedron 2020, 76, 131515. [Google Scholar] [CrossRef]
- Cao, H.; Sukhanov, A.A.; Bakirov, M.M.; Kandrashkin, Y.E.; Zhao, J.; Voronkova, V.K. Intersystem Crossing and Electron Spin Dynamics of Photoexcited Bodipy Dimers. J. Phys. Chem. C 2022, 126, 5473–5482. [Google Scholar] [CrossRef]
- Wu, W.; Guo, H.; Wu, W.; Ji, S.; Zhao, J. Organic Triplet Sensitizer Library Derived from a Single Chromophore (BODIPY) with Long-Lived Triplet Excited State for Triplet–Triplet Annihilation Based Upconversion. J. Org. Chem. 2011, 76, 7056–7064. [Google Scholar] [CrossRef] [PubMed]
- Díaz-Norambuena, C.; Avellanal-Zaballa, E.; Prieto-Castañeda, A.; Bañuelos, J.; De La Moya, S.; Agarrabeitia, A.R.; Ortiz, M.J. Formylation as a Chemical Tool to Modulate the Performance of Photosensitizers Based on Boron Dipyrromethene Dimers. Int. J. Mol. Sci. 2023, 24, 11837. [Google Scholar] [CrossRef] [PubMed]
- Epelde-Elezcano, N.; Palao, E.; Manzano, H.; Prieto-Castañeda, A.; Agarrabeitia, A.R.; Tabero, A.; Villanueva, A.; de la Moya, S.; López-Arbeloa, Í.; Martínez-Martínez, V.; et al. Rational Design of Advanced Photosensitizers Based on Orthogonal BODIPY Dimers to Finely Modulate Singlet Oxygen Generation. Chem.–Eur. J. 2017, 23, 4837–4848. [Google Scholar] [CrossRef] [PubMed]
- Wu, W.; Cui, X.; Zhao, J. Hetero Bodipy-Dimers as Heavy Atom-Free Triplet Photosensitizers Showing a Long-Lived Triplet Excited State for Triplet–Triplet Annihilation Upconversion. Chem. Commun. 2013, 49, 9009. [Google Scholar] [CrossRef]
- Antina, L.A.; Kalinkina, V.A.; Sherudillo, A.S.; Kalyagin, A.A.; Lukanov, M.M.; Ksenofontov, A.A.; Berezin, M.B.; Antina, E.V. New Heavy-Atom-Free Bis(BODIPY)-Based Photosensitizer and Its Pluronic® F127 Water-Soluble Forms. J. Lumin. 2024, 269, 120411. [Google Scholar] [CrossRef]
- Ji, C.; Gai, L.; Ni, Z.; Zhang, Y.; Jiang, M.; Qi, F.; Lu, H. γ-γ Directly Linked BODIPY Dimer: Synthesis and Optical Properties. J. Mol. Struct. 2024, 1319, 139400. [Google Scholar] [CrossRef]
- Liu, Y.; Zhao, J.; Iagatti, A.; Bussotti, L.; Foggi, P.; Castellucci, E.; Di Donato, M.; Han, K.-L. A Revisit to the Orthogonal Bodipy Dimers: Experimental Evidence for the Symmetry Breaking Charge Transfer-Induced Intersystem Crossing. J. Phys. Chem. C 2018, 122, 2502–2511. [Google Scholar] [CrossRef]
- Guo, L.; Guo, X.; Zuo, H.; Li, H.; Lv, F.; Wu, Q.; Jiao, L.; Hao, E. The Orthogonal A-meso-Linked Bis BODIPY Photosensitizers Demonstrate Effective Two-Photon Fluorescence Imaging and Photodynamic Therapy. ChemPhotoChem 2024, 8, e202400100. [Google Scholar] [CrossRef]
- Teng, K.; Chen, W.; Niu, L.; Fang, W.; Cui, G.; Yang, Q. BODIPY-Based Photodynamic Agents for Exclusively Generating Superoxide Radical over Singlet Oxygen. Angew. Chem. Int. Ed. 2021, 60, 19912–19920. [Google Scholar] [CrossRef]
- Sukhanov, A.A.; Cao, H.; Zhang, X.; Zhao, J.; Kandrashkin, Y.E. Observation of the Triplet Energy Transfer in Orthogonal Photoexcited Iodinated-BODIPY Dimers. Phys. Chem. Chem. Phys. 2023, 25, 209–216. [Google Scholar] [CrossRef] [PubMed]
- Wang, L.; Wu, Q.; Kang, Z.; Guo, X.; Miao, W.; Li, Z.; Zuo, H.; Wang, H.; Si, H.; Jiao, L.; et al. Regioselective Synthesis of Directly Connected BODIPY Dimers through Oxidative Coupling of α-Amino-Substituted BODIPYs. Org. Lett. 2023, 25, 5055–5060. [Google Scholar] [CrossRef] [PubMed]
- Goyal, S.; Reddy, S.R. Investigation of Excited States of BODIPY Derivatives and Non-Orthogonal Dimers from the Perspective of Singlet Fission. Phys. Chem. Chem. Phys. 2024, 26, 26398–26408. [Google Scholar] [CrossRef] [PubMed]
- Kandrashkin, Y.E.; Wang, Z.; Sukhanov, A.A.; Hou, Y.; Zhang, X.; Liu, Y.; Voronkova, V.K.; Zhao, J. Balance between Triplet States in Photoexcited Orthogonal BODIPY Dimers. J. Phys. Chem. Lett. 2019, 10, 4157–4163. [Google Scholar] [CrossRef] [PubMed]
- Banakova, E.; Marfin, Y.; Molchanov, E.; Shipalova, M.; Rumiantsev, E.; Fomina, N. Synthesis and Spectral Characteristics of BODIPY Dyes with Two or Three Dipyrrin Domains. J. Fluoresc. 2019, 29, 41–51. [Google Scholar] [CrossRef]
- Rojas-Montoya, S.M.; González-Antonio, O.; Figueroa, C.G.; Rodríguez-Romero, J.; Santillan, R.; Farfán, N. Chemical and Thermal Stability of Novel Phenyl-BODIPY Symmetric Dimer Thin Films. J. Mol. Struct. 2024, 1308, 138036. [Google Scholar] [CrossRef]
- Huaulmé, Q.; Fall, S.; Lévêque, P.; Ulrich, G.; Leclerc, N. Pairing of α-Fused BODIPY: Towards Panchromatic n-Type Semiconducting Materials. Chem.–Eur. J. 2019, 25, 6613–6620. [Google Scholar] [CrossRef]
- Tang, Y.-J.; Fang, W.-L.; Ren, K.; Guo, X.-F.; Wang, H. A Turn-on Homodimer Fluorescent Probe Based on Homo-FRET for the Sensing of Biothiols in Lysosome: A Trial of a New Turn-on Strategy. Analyst 2021, 146, 2974–2982. [Google Scholar] [CrossRef]
- Zou, J.; Yin, Z.; Ding, K.; Tang, Q.; Li, J.; Si, W.; Shao, J.; Zhang, Q.; Huang, W.; Dong, X. BODIPY Derivatives for Photodynamic Therapy: Influence of Configuration versus Heavy Atom Effect. ACS Appl. Mater. Interfaces 2017, 9, 32475–32481. [Google Scholar] [CrossRef]
- Jung, G.; Kim, N.; Bae, S.W. Photophysical Properties of Furan-Bridged Dimeric Boron-Dipyrromethene Derivatives (BODIPYs). J. Chem. Res. 2022, 46, 174751982211437. [Google Scholar] [CrossRef]
- Zhang, X.; Youfu, M.; Shi, Y.; Jiang, L.; Wang, L.; ur Rashid, H.; Yuan, M.; Liu, X. Advances in Liposomes Loaded with Photoresponse Materials for Cancer Therapy. Biomed. Pharmacother. 2024, 174, 116586. [Google Scholar] [CrossRef] [PubMed]
- Cheng, X.; Gao, J.; Ding, Y.; Lu, Y.; Wei, Q.; Cui, D.; Fan, J.; Li, X.; Zhu, E.; Lu, Y.; et al. Multi-Functional Liposome: A Powerful Theranostic Nano-Platform Enhancing Photodynamic Therapy. Adv. Sci. 2021, 8, 2100876. [Google Scholar] [CrossRef] [PubMed]
- Mariño-Ocampo, N.; Dibona-Villanueva, L.; Escobar-Álvarez, E.; Guerra-Díaz, D.; Zúñiga-Núñez, D.; Fuentealba, D.; Robinson-Duggon, J. Recent Photosensitizer Developments, Delivery Strategies and Combination-based Approaches for Photodynamic Therapy †. Photochem. Photobiol. 2023, 99, 469–497. [Google Scholar] [CrossRef] [PubMed]
- Gayathri, T.; Vijayalakshmi, A.; Mangalath, S.; Joseph, J.; Rao, N.M.; Singh, S.P. Study on Liposomal Encapsulation of New Bodipy Sensitizers for Photodynamic Therapy. ACS Med. Chem. Lett. 2018, 9, 323–327. [Google Scholar] [CrossRef] [PubMed]
- Barut, B.; Yalçın, C.Ö.; Sari, S.; Çoban, Ö.; Keleş, T.; Biyiklioglu, Z.; Abudayyak, M.; Demirbaş, Ü.; Özel, A. Novel Water Soluble BODIPY Compounds: Synthesis, Photochemical, DNA Interaction, Topoisomerases Inhibition and Photodynamic Activity Properties. Eur. J. Med. Chem. 2019, 183, 111685. [Google Scholar] [CrossRef]
- Cao, J.; Zhang, Y.; Shi, W.; Du, L.; Cui, Z.; Liu, S.; Zhao, R.; Wang, S.; Zhang, Q.; Kong, X. Mitochondria-Targeted Photodynamic Cancer Therapy of Nanoscale Liposome-Encapsulating Boron Dipyrromethene Photosensitizers Conjugated with Pyridine Cations. ACS Appl. Nano Mater. 2022, 5, 5459–5469. [Google Scholar] [CrossRef]
- Chen, H.; Bi, Q.; Yao, Y.; Tan, N. Dimeric BODIPY-Loaded Liposomes for Dual Hypoxia Marker Imaging and Activatable Photodynamic Therapy against Tumors. J. Mater. Chem. B 2018, 6, 4351–4359. [Google Scholar] [CrossRef]
- Begum, T.; Mondal, M.; Borpuzari, M.P.; Kar, R.; Gogoi, P.K.; Bora, U. Palladium-on-Carbon-Catalyzed Coupling of Nitroarenes with Phenol: Biaryl Ether Synthesis and Evidence of an Oxidative-Addition-Promoted Mechanism: Palladium-on-Carbon-Catalyzed Coupling of Nitroarenes with Phenol: Biaryl Ether Synthesis and Evidence of an Oxidative-Addition-Promoted Mechanism. Eur. J. Org. Chem. 2017, 2017, 3244–3248. [Google Scholar] [CrossRef]
- Galeotti, F.; Calabrese, V.; Cavazzini, M.; Quici, S.; Poleunis, C.; Yunus, S.; Bolognesi, A. Self-Functionalizing Polymer Film Surfaces Assisted by Specific Polystyrene End-Tagging. Chem. Mater. 2010, 22, 2764–2769. [Google Scholar] [CrossRef]
- El-Gabry, Y.A.; Salem, M.E.; Ibrahim, N.S.; Elwahy, A.H.M.; Abdelhamid, I.A.; Diab, H.M. Novel Diphenyl Ether-Heterocycles Hybrids: Synthesis via Hantzsch and Biginelli Reactions, Molecular Docking Simulation, and Antimicrobial Activities. J. Mol. Struct. 2024, 1296, 136857. [Google Scholar] [CrossRef]
- Krzemien, W.; Rohlickova, M.; Machacek, M.; Novakova, V.; Piskorz, J.; Zimcik, P. Tuning Photodynamic Properties of BODIPY Dyes, Porphyrins’ Little Sisters. Molecules 2021, 26, 4194. [Google Scholar] [CrossRef] [PubMed]
- Loudet, A.; Burgess, K. BODIPY Dyes and Their Derivatives: Syntheses and Spectroscopic Properties. Chem. Rev. 2007, 107, 4891–4932. [Google Scholar] [CrossRef] [PubMed]
- Yahagh, A.; Kaswan, R.R.; Kazemi, S.; Karr, P.A.; D’Souza, F. Symmetry Breaking Charge Transfer Leading to Charge Separation in a Far-Red Absorbing Bisstyryl-BODIPY Dimer. Chem. Sci. 2024, 15, 906–913. [Google Scholar] [CrossRef] [PubMed]
- Zhao, J.; Xu, K.; Yang, W.; Wang, Z.; Zhong, F. The Triplet Excited State of Bodipy: Formation, Modulation and Application. Chem. Soc. Rev. 2015, 44, 8904–8939. [Google Scholar] [CrossRef]
- Malacarne, M.C.; Gariboldi, M.B.; Caruso, E. BODIPYs in PDT: A Journey through the Most Interesting Molecules Produced in the Last 10 Years. Int. J. Mol. Sci. 2022, 23, 10198. [Google Scholar] [CrossRef]
- Alamiry, M.A.H.; Benniston, A.C.; Copley, G.; Harriman, A.; Howgego, D. Intramolecular Excimer Formation for Covalently Linked Boron Dipyrromethene Dyes. J. Phys. Chem. A 2011, 115, 12111–12119. [Google Scholar] [CrossRef]
- Li, T.; Gu, W.; Yu, C.; Lv, X.; Wang, H.; Hao, E.; Jiao, L. Syntheses and Photophysical Properties of Meso-Phenylene Ridged Boron Dipyrromethene Monomers, Dimers and Trimer. Chin. J. Chem. 2016, 34, 989–996. [Google Scholar] [CrossRef]
- Porolnik, W.; Kasprzycka, M.; Podciechowska, K.; Teubert, A.; Piskorz, J. Synthesis and Spectroscopic Properties of Novel Dipyrrole and Tetrapyrrole-Based Photosensitizers with Various Biphenylyl Substituents. Tetrahedron 2022, 127, 133088. [Google Scholar] [CrossRef]
- Lagorio, M.G.; Dicelio, L.E.; San Roman, E.A.; Braslavsky, S.E. Quantum Yield Of Singlet Molecular Oxygen Sensitization by Copper(II) Tetracarboxyphthalocyanine. J. Photochem. Photobiol. B 1989, 3, 615–624. [Google Scholar] [CrossRef]
- Hu, W.; Zhang, X.-F.; Lu, X.; Lan, S.; Tian, D.; Li, T.; Wang, L.; Zhao, S.; Feng, M.; Zhang, J. Modifying the Meso-Phenyl with Electron Donating Amino Groups Strongly Enhances BODIPY’s Ability as Good Singlet Oxygen Photosensitizer. Dyes Pigment. 2018, 149, 306–314. [Google Scholar] [CrossRef]
- Çınar, H.Ş.; Özçelik, Ş.; Kaya, K.; Kutlu, Ö.D.; Erdoğmuş, A.; Gül, A. Synthesis and Photophysical Properties of Monomeric and Dimeric Halogenated Aza-BODIPYs. J. Mol. Struct. 2020, 1200, 127108. [Google Scholar] [CrossRef]
- Turksoy, A.; Yildiz, D.; Akkaya, E.U. Photosensitization and Controlled Photosensitization with BODIPY Dyes. Coord. Chem. Rev. 2019, 379, 47–64. [Google Scholar] [CrossRef]
- Schmidt, R.; Afshari, E. Comment on “Effect of Solvent on the Phosphorescence Rate Constant of Singlet Molecular Oxygen (1Δg)”. J. Phys. Chem. 1990, 94, 4377–4378. [Google Scholar] [CrossRef]
- Düzgüneş, N.; Piskorz, J.; Skupin-Mrugalska, P.; Yıldırım, M.; Sessevmez, M.; Cheung, J. Photodynamic Therapy of Oral Cancer and Novel Liposomal Photosensitizers. Oral 2023, 3, 276–294. [Google Scholar] [CrossRef]
- Ghosh, S.; Carter, K.A.; Lovell, J.F. Liposomal Formulations of Photosensitizers. Biomaterials 2019, 218, 119341. [Google Scholar] [CrossRef]
- Piskorz, J.; Mlynarczyk, D.T.; Szczolko, W.; Konopka, K.; Düzgüneş, N.; Mielcarek, J. Liposomal Formulations of Magnesium Sulfanyl Tribenzoporphyrazines for the Photodynamic Therapy of Cancer. J. Inorg. Biochem. 2018, 184, 34–41. [Google Scholar] [CrossRef]
- Józkowiak, M.; Kobylarek, D.; Bryja, A.; Gogola-Mruk, J.; Czajkowski, M.; Skupin-Mrugalska, P.; Kempisty, B.; Spaczyński, R.Z.; Piotrowska-Kempisty, H. Steroidogenic Activity of Liposomal Methylated Resveratrol Analog 3,4,5,4′-Tetramethoxystilbene (DMU-212) in Human Luteinized Granulosa Cells in a Primary Three-Dimensional in Vitro Model. Endocrine 2023, 82, 681–694. [Google Scholar] [CrossRef]
- Cheung, J.; Furukawa, D.; Pandez, R.; Yıldırım, M.; Frazier, A.; Piskorz, J.; Düzgüneş, N.; Konopka, K. Photocytotoxicity of Liposomal Zinc Phthalocyanine in Oral Squamous Cell Carcinoma and Pharyngeal Carcinoma Cells. Ther. Deliv. 2020, 11, 547–556. [Google Scholar] [CrossRef]
- Skupin-Mrugalska, P.; Zalewski, T.; Elvang, P.A.; Nowaczyk, G.; Czajkowski, M.; Piotrowska-Kempisty, H. Insight into Theranostic Nanovesicles Prepared by Thin Lipid Hydration and Microfluidic Method. Colloids Surf. B Biointerfaces 2021, 205, 111871. [Google Scholar] [CrossRef]
- Alves, E.; Faustino, M.A.; Neves, M.G.; Cunha, A.; Tome, J.; Almeida, A. An Insight on Bacterial Cellular Targets of Photodynamic Inactivation. Future Med. Chem. 2014, 6, 141–164. [Google Scholar] [CrossRef]
- FDA Briefing Document: Anti-Infective Drugs Advisory Committee Meeting October 17, 2013. Available online: http://web.archive.org/web/20161024125501/http://www.fda.gov/downloads/AdvisoryCommittees/CommitteesMeetingMaterials/Drugs/Anti-InfectiveDrugsAdvisoryCommittee/UCM370491.pdf (accessed on 12 October 2019).
- Anas, A.; Sobhanan, J.; Sulfiya, K.M.; Jasmin, C.; Sreelakshmi, P.K.; Biju, V. Advances in Photodynamic Antimicrobial Chemotherapy. J. Photochem. Photobiol. C Photochem. Rev. 2021, 49, 100452. [Google Scholar] [CrossRef]
- Surur, A.K.; De Oliveira, A.B.; De Annunzio, S.R.; Ferrisse, T.M.; Fontana, C.R. Bacterial Resistance to Antimicrobial Photodynamic Therapy: A Critical Update. J. Photochem. Photobiol. B 2024, 255, 112905. [Google Scholar] [CrossRef] [PubMed]
- Rapacka-Zdończyk, A.; Woźniak, A.; Michalska, K.; Pierański, M.; Ogonowska, P.; Grinholc, M.; Nakonieczna, J. Factors Determining the Susceptibility of Bacteria to Antibacterial Photodynamic Inactivation. Front. Med. 2021, 8, 642609. [Google Scholar] [CrossRef] [PubMed]
- Ziental, D.; Zajac, J.; Lewandowski, K.; Dlugaszewska, J.; Potrzebowski, M.J.; Sobotta, L. Oxospirochlorins as New Promising Photosensitizers against Priority Pathogens. Dyes Pigment. 2022, 201, 110240. [Google Scholar] [CrossRef]
- Ziental, D.; Mlynarczyk, D.T.; Kolasinski, E.; Güzel, E.; Dlugaszewska, J.; Popenda, Ł.; Jurga, S.; Goslinski, T.; Sobotta, L. Zinc(II), Palladium(II), and Metal-Free Phthalocyanines Bearing Nipagin-Functionalized Substituents against Candida Auris and Selected Multidrug-Resistant Microbes. Pharmaceutics 2022, 14, 1686. [Google Scholar] [CrossRef]
- Skupin-Mrugalska, P.; Koczorowski, T.; Szczolko, W.; Dlugaszewska, J.; Teubert, A.; Piotrowska-Kempisty, H.; Goslinski, T.; Sobotta, L. Cationic Porphyrazines with Morpholinoethyl Substituents—Syntheses, Optical Properties, and Photocytotoxicities. Dyes Pigment. 2022, 197, 109937. [Google Scholar] [CrossRef]
- Stolarska, M.; Glowacka-Sobotta, A.; Mlynarczyk, D.T.; Dlugaszewska, J.; Goslinski, T.; Mielcarek, J.; Sobotta, L. Photodynamic Activity of Tribenzoporphyrazines with Bulky Periphery against Wound Bacteria. Int. J. Mol. Sci. 2020, 21, 6145. [Google Scholar] [CrossRef]
- Wierzchowski, M.; Ziental, D.; Łażewski, D.; Korzanski, A.; Gielara-Korzanska, A.; Tykarska, E.; Dlugaszewska, J.; Sobotta, L. New Metallophthalocyanines Bearing 2-Methylimidazole Moieties—Potential Photosensitizers against Staphylococcus Aureus. Int. J. Mol. Sci. 2022, 23, 5910. [Google Scholar] [CrossRef]
- Wieczorek, E.; Mlynarczyk, D.T.; Kucinska, M.; Dlugaszewska, J.; Piskorz, J.; Popenda, L.; Szczolko, W.; Jurga, S.; Murias, M.; Mielcarek, J.; et al. Photophysical Properties and Photocytotoxicity of Free and Liposome-Entrapped Diazepinoporphyrazines on LNCaP Cells under Normoxic and Hypoxic Conditions. Eur. J. Med. Chem. 2018, 150, 64–73. [Google Scholar] [CrossRef]
- Syama, K.; Jakubek, Z.J.; Chen, S.; Zaifman, J.; Tam, Y.Y.C.; Zou, S. Development of Lipid Nanoparticles and Liposomes Reference Materials (II): Cytotoxic Profiles. Sci. Rep. 2022, 12, 18071. [Google Scholar] [CrossRef]
- Tseu, G.Y.W.; Kamaruzaman, K.A. A Review of Different Types of Liposomes and Their Advancements as a Form of Gene Therapy Treatment for Breast Cancer. Molecules 2023, 28, 1498. [Google Scholar] [CrossRef] [PubMed]
- Sakai-Kato, K.; Yoshida, K.; Izutsu, K. Effect of Surface Charge on the Size-Dependent Cellular Internalization of Liposomes. Chem. Phys. Lipids 2019, 224, 104726. [Google Scholar] [CrossRef] [PubMed]
- Liu, C.; Zhang, L.; Zhu, W.; Guo, R.; Sun, H.; Chen, X.; Deng, N. Barriers and Strategies of Cationic Liposomes for Cancer Gene Therapy. Mol. Ther. Methods Clin. Dev. 2020, 18, 751–764. [Google Scholar] [CrossRef] [PubMed]
- Cavalcanti, R.R.M.; Lira, R.B.; Riske, K.A. Membrane Fusion Biophysical Analysis of Fusogenic Liposomes. Langmuir 2022, 38, 10430–10441. [Google Scholar] [CrossRef]
- Wang, Y.; Palzhanov, Y.; Dang, D.T.; Quaini, A.; Olshanskii, M.; Majd, S. On Fusogenicity of Positively Charged Phased-Separated Lipid Vesicles: Experiments and Computational Simulations. Biomolecules 2023, 13, 1473. [Google Scholar] [CrossRef]
- Wang, Y.; Palzhanov, Y.; Dang, D.; Quaini, A.; Olshanskii, M.; Majd, S. Fusogenicity of Cationic Liposomes with Phase-Separating Multicomponent Lipid Compositions. Biophys. J. 2024, 123, 304a. [Google Scholar] [CrossRef]
- Piskorz, J.; Porolnik, W.; Kucinska, M.; Dlugaszewska, J.; Murias, M.; Mielcarek, J. BODIPY-Based Photosensitizers as Potential Anticancer and Antibacterial Agents: Role of the Positive Charge and the Heavy Atom Effect. ChemMedChem 2021, 16, 399–411. [Google Scholar] [CrossRef]
- Pawar, A.; Prabhu, P. Nanosoldiers: A Promising Strategy to Combat Triple Negative Breast Cancer. Biomed. Pharmacother. 2019, 110, 319–341. [Google Scholar] [CrossRef]
- Kryjewski, M.; Rebis, T.; Milczarek, G.; Gdaniec, Z.; Goslinski, T.; Mielcarek, J. Magnesium(ii) 1-(1-Adamantylsulfanyl)Phthalocyanine—Synthesis, Photochemical and Electrochemical Properties. New J. Chem. 2016, 40, 9774–9780. [Google Scholar] [CrossRef]
- Lim, S.H.; Thivierge, C.; Nowak-Sliwinska, P.; Han, J.; van den Bergh, H.; Wagnières, G.; Burgess, K.; Lee, H.B. In Vitro and In Vivo Photocytotoxicity of Boron Dipyrromethene Derivatives for Photodynamic Therapy. J. Med. Chem. 2010, 53, 2865–2874. [Google Scholar] [CrossRef]
- Agazzi, M.L.; Ballatore, M.B.; Reynoso, E.; Quiroga, E.D.; Durantini, E.N. Synthesis, Spectroscopic Properties and Photodynamic Activity of Two Cationic BODIPY Derivatives with Application in the Photoinactivation of Microorganisms. Eur. J. Med. Chem. 2017, 126, 110–121. [Google Scholar] [CrossRef] [PubMed]
- Magde, D.; Wong, R.; Seybold, P.G. Fluorescence Quantum Yields and Their Relation to Lifetimes of Rhodamine 6G and Fluorescein in Nine Solvents: Improved Absolute Standards for Quantum Yields¶. Photochem. Photobiol. 2002, 75, 327–334. [Google Scholar] [CrossRef] [PubMed]
- Saunders, J.E.; Sanders, C.; Chen, H.; Loock, H.-P. Refractive Indices of Common Solvents and Solutions at 1550 Nm. Appl. Opt. 2016, 55, 947. [Google Scholar] [CrossRef] [PubMed]
- Lide, D.R. (Ed.) CRC Handbook of Chemistry and Physics Internet Version 2005; CRC Handbook of Chemistry and Physics; CRC Press: Boca Raton, FL, USA, 2005. [Google Scholar]
- Szymczak, J.; Sobotta, L.; Dlugaszewska, J.; Kryjewski, M.; Mielcarek, J. Menthol Modified Zinc(II) Phthalocyanine Regioisomers and Their Photoinduced Antimicrobial Activity against Staphylococcus Aureus. Dyes Pigment. 2021, 193, 109410. [Google Scholar] [CrossRef]







| BODIPY | λAbs[nm] | log ε | λem [nm] | Δλ [nm] | ΦF | ΦΔ |
|---|---|---|---|---|---|---|
| 2 | 498 | 5.27 | 506 | 8 | 0.69 | 0.02 |
| 3 | 524 | 5.21 | 537 | 13 | 0.25 | 0.45 |
| 4 | 530 | 5.05 | 545 | 15 | 0.02 | 0.63 |
| Liposomal Composition | Molar Ratios | Z-Average ± SD [μm] | Polidispersity Index ± SD | Zeta Potential ± SD [mV] |
|---|---|---|---|---|
| DOTAP:POPC | 2:8 | 0.22 ± 0.01 | 0.23 ± 0.01 | 56.2 ± 5.2 |
| 2:DOTAP:POPC | 0.1:2:8 | 0.13 ± 0.02 | 0.18 ± 0.05 | 43.0 ± 1.2 |
| 3:DOTAP:POPC | 0.1:2:8 | 0.17 ± 0.03 | 0.23 ± 0.03 | 52.0 ± 5.9 |
| 4:DOTAP:POPC | 0.1:2:8 | 0.16 ± 0.03 | 0.22 ± 0.06 | 49.5 ± 4.9 |
| POPG:POPC | 2:8 | 0.22 ± 0.02 | 0.29 ± 0.08 | −53.1 ± 1.5 |
| 2:POPG:POPC | 0.1:2:8 | 0.12 ± 0.01 | 0.17 ± 0.02 | −52.3 ± 1.2 |
| 3:POPG:POPC | 0.1:2:8 | 0.16 ± 0.04 | 0.23 ± 0.01 | −50.1 ± 2.3 |
| 4:POPG:POPC | 0.1:2:8 | 0.09 ± 0.01 | 0.14 ± 0.03 | −45.7 ± 2.8 |
| Log10 Reduction in S. aureus Bacteria | |||||
|---|---|---|---|---|---|
| DOTAP:POPC | POPG:POPC | ||||
| BODIPY | C [µM] | Light | Dark | Light | Dark |
| 2 | 5.0 | 0.1 ± 0.3 | 0.0 ± 0.1 | 0.3 ± 0.2 | 0.1 ± 0.1 |
| 1.0 | 0.1 ± 0.3 | 0.1 ± 0.1 | 0.2 ± 0.1 | 0.0 ± 0.2 | |
| 3 | 5.0 | 3.3 ± 0.4 | 0.0 ± 0.1 | 0.5 ± 0.5 | 0.1 ± 0.3 |
| 1.0 | 2.0 ± 0.4 | 0.0 ± 0.1 | 0.3 ± 0.5 | 0.0 ± 0.1 | |
| 4 | 5.0 | 6.3 ± 0.6 | 0.1 ± 0.1 | 0.5 ± 0.1 | 0.1 ± 0.1 |
| 1.0 | 2.2 ± 0.3 | −0.1 ± 0.5 | 0.1 ± 0.1 | 0.1 ± 0.2 | |
| Log10 Reduction in E. coli Bacteria | |||||
|---|---|---|---|---|---|
| DOTAP:POPC | POPG:POPC | ||||
| BODIPY | C [µM] | Light | Dark | Light | Dark |
| 2 | 5.0 | 0.3 ± 0.2 | 0.1 ± 0.2 | 0.0 ± 0.1 | −0.2 ± 0.1 |
| 1.0 | 0.3 ± 0.2 | 0.2 ± 0.2 | −0.1 ± 0.2 | −0.2 ± 0.1 | |
| 3 | 5.0 | 3.5 ± 0.3 | 0.2 ± 0.3 | 0.0 ± 0.1 | 0.0 ± 0.1 |
| 1.0 | 2.4 ± 0.2 | 0.1 ± 0.2 | 0.0 ± 0.1 | −0.1 ± 0.1 | |
| 4 | 5.0 | 6.1 ± 0.3 | −0.1 ± 0.2 | 0.6 ± 0.2 | 0.1 ± 0.1 |
| 1.0 | 2.5 ± 0.2 | 0.2 ± 0.2 | 0.2 ± 0.2 | 0.1 ± 0.2 | |
| IC50 Values [nM] | ||||
|---|---|---|---|---|
| MDA-MB-231 | A2780 | |||
| BODIPY | 0 J/cm2 | 2 J/cm2 | 0 J/cm2 | 2 J/cm2 |
| 3 | >200 | 34.18 ± 8.30 | >200 | 76.31 ± 35.93 |
| 4 | >200 | 29.38 ± 13.03 | >200 | 57.26 ± 14.48 |
Disclaimer/Publisher’s Note: The statements, opinions and data contained in all publications are solely those of the individual author(s) and contributor(s) and not of MDPI and/or the editor(s). MDPI and/or the editor(s) disclaim responsibility for any injury to people or property resulting from any ideas, methods, instructions or products referred to in the content. |
© 2024 by the authors. Licensee MDPI, Basel, Switzerland. This article is an open access article distributed under the terms and conditions of the Creative Commons Attribution (CC BY) license (https://creativecommons.org/licenses/by/4.0/).
Share and Cite
Porolnik, W.; Ratajczak, M.; Mackowiak, A.; Murias, M.; Kucinska, M.; Piskorz, J. Liposomal Formulations of Novel BODIPY Dimers as Promising Photosensitizers for Antibacterial and Anticancer Treatment. Molecules 2024, 29, 5304. https://doi.org/10.3390/molecules29225304
Porolnik W, Ratajczak M, Mackowiak A, Murias M, Kucinska M, Piskorz J. Liposomal Formulations of Novel BODIPY Dimers as Promising Photosensitizers for Antibacterial and Anticancer Treatment. Molecules. 2024; 29(22):5304. https://doi.org/10.3390/molecules29225304
Chicago/Turabian StylePorolnik, Weronika, Magdalena Ratajczak, Aleksandra Mackowiak, Marek Murias, Malgorzata Kucinska, and Jaroslaw Piskorz. 2024. "Liposomal Formulations of Novel BODIPY Dimers as Promising Photosensitizers for Antibacterial and Anticancer Treatment" Molecules 29, no. 22: 5304. https://doi.org/10.3390/molecules29225304
APA StylePorolnik, W., Ratajczak, M., Mackowiak, A., Murias, M., Kucinska, M., & Piskorz, J. (2024). Liposomal Formulations of Novel BODIPY Dimers as Promising Photosensitizers for Antibacterial and Anticancer Treatment. Molecules, 29(22), 5304. https://doi.org/10.3390/molecules29225304

