1,1′-Disubstituted Ferrocene Ligand Scaffolds Featuring Pnictogens Other than Phosphorus as Donor Sites
Abstract
1. Introduction

2. Itemization and Inventory
| Group 15 Elements Substituting 1,1′-Ferrocenes | Precursors for Syntheses | Chemical Applications and Complexes |
|---|---|---|
| 1,1′-Symmetrically substituted systems: 1,1′-diaminoferrocenes | ||
![]() | C5H4LiNMe2 and FeCl2 (Scheme 2A) [49] | Isolated complexes of 1 are reported with TiCl2 [50]. Compound 1 has frequently been used for the purpose of electrochemical measurements [51,52,53]. |
![]() | Fc’Br2, NaNPh2, and CuI [54] | Compound 2 has been used for electrochemical measurements [51,53,54]. |
![]() | Fc’(NH2)2, 3,5-Me2-C6H3-Br, and PdBINAP [55] | No application reported [55]. |
![]() | Fc’(NH2)2 and (2R,5R)-2,5-hexanediol cyclic sulfate [56] | Used for comprehending N-CpFc electron donation [56]. |
![]() | C5H4LiN(CH2Py)2 and FeCl2 (Scheme 2B) [57] | Isolated complex of 5 is reported with ZnBr2, Zn(CF3SO3)2, and Co(CF3SO3)2 [58,59,60]. Compound 5 has further been used for synthesizing redox-switchable complexes. |
![]() | C5H4LiNMe(CH2CH2NMe2) and FeCl2 (Scheme 2B) [57] | Compound 6 has been used for electrochemical measurements [58]. |
![]() | C5H4LiN(CH2)4NMe and FeCl2 (Scheme 2B) [57,58] | Compound 7 was used for electrochemical measurements [58]. |
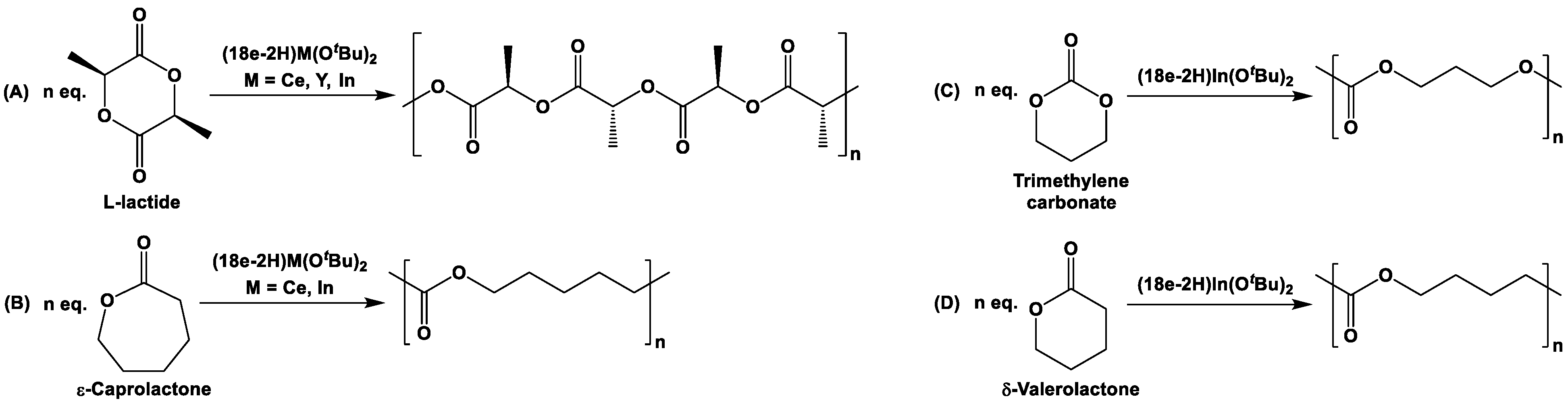
![]() | Fc’(NH2)2 and 3,5-di-tert-butyl-2-hydroxybenzaldehyde [61]. | Isolated complexes of 8 are reported with Zr(OtBu)2, which was further used in ROP for L-lactide and ε-caprolactone [61]. |
![]() | Fc’(NH2)2 and aldehydes or silylchlorides or respective ketones (with p-toluene sulfonic acid monohydrate) [62,63,64,65,66]. | Different variations of 9 were used for electrochemical measurements and computational purposes [64], and to act as substituents for carbenes, stannylenes, germylenes [62,63,67], Zr(Bn)2, Mg(THF)2, TiCl2, and TiMe2 [68]. Germylenes with deprotonated 9a, 9d, 9e, and 9h were further explored for oxidation reactions with S, Se, and (PhSe)2 [69]. Isolated complexes of [M(CH2Ar)(THF)] (M = Sc, Y, La, Lu) with 9d and 9f were used for dearomatization and ring-opening reactions [70,71,72,73,74]. |
![]() | Fc’(NH2)2, PhBr, and Pd2(dba)3 (similar to Scheme 2D) [75]. | Compound 10 was used to synthesize zirconium chelates [76]. |
![]() | Fc’(NH2)2, respective arylbromides, and Pd2(dba)3 (similar to Scheme 2D) [65,75,77]. | 11b and 11c were used to synthesize N-heterocyclic silylenes [78], germylenes, and stannylenes [79]. Germylenes of 11b and 11c were further explored for oxidation reactions with S, Se, and (PhSe)2 [69]. Isolated complexes of 11c were reported with Al(III) [77]. Isolated complexes of 11d were reported with Zr(NMe2)2 and Zr(Bz)2 [76]. |
![]() | Fc’(NH2)2, 3,5-Me2-C6H3-Br, and PdBINAP [55]. | No application reported [55]. |
| 1,1′-Symmetrically substituted systems: 1,1′-diimidazoliumferrocenes | ||
![]() | Fc’I2, imidazole and CuI [80]. | Compound 13 was used to synthesize ferrocene-based redox-responsive receptors [80]. |
![]() | Fc’(NH2)2 and 2-fluoronitrobenzene [81]. | Isolated complexes of compound 14 were reported with Ir(cod), where “cod” stands for 1,5-cyclooctadiene [81]. |
![]() | Fc’(N3)2, ethynylpyrene and CuSO4 [82]. | Compound 15 was used to synthesize ion-pair recognition receptors [82]. |
![]() | M and L-proline (Scheme 2E) [31]. | No application reported [31]. |
| 1,1′-Symmetrically substituted systems: 1,1′-diiminoferrocenes | ||
![]() | Fc’(NH2)2 and respective arylaldehydes [83,84,85,86,87]. | Isolated complex of 17a was reported with PdCl2 and PdMeCl, which have further been used for catalytic purposes [88,89]. Reduced versions of 17 were used for complexation with Zr(Bz)4 [90]. Cationic Ni(II) and Pd(II) complexes are reported with 17c–17i [84,85,86,87]. |
![]() | Fc’(NH2)2 and respective arylaldehydes (for 18a–18e) [89,91]; Fc’(N3)2, PPh3, and Fc’(CHO)2 (for 18f) [92]. | Isolated complexes for different variations of 18 were reported with Zr(Bz)2 [91], Mg(THF)2 [91], TiCl2 [89], Ti(OiPr)2 [89,93,94], Ce(OtBu)2 [95], In(OtBu) [94,96], Zn [97], Co [97], Zr(OiPr)2 [98], Zr(OtBu)2 [94,98], and Al(OiPr) [94]. Some of these complexes were further used for ethylene, lactone, and lactide polymerizations [89,93,94,95,96,98]. |
![]() | Fc’(N3)2 and respective arylphosphine (Scheme 2F) [92,99,100]. | Isolated complexes with 19 are reported with Ce(OtBu)2 [99], Ce(OtBu)THF [99], CeCl(THF) [99], CeI(THF) [99], YCl [99], Y(OtBu) [99], YCl [101], Y(CH2Ph) [101], and Y(CH2SiMe3) [101]. |
| 1,1′-Symmetrically substituted systems: 1,1’-diarsanylferrocenes | ||
![]() | Fc’Li2·2/3tmeda and Me2AsCl (Scheme 3A) [2]. | Isolated complexes with compounds 20 are reported with Cr(CO)4 [102], Mo(CO)4 [102], W(CO)4 [102], PdCl2 [103], PdBr2 [103], PtCl2 [103], PtBr2 [103], PtI2 [103], Ni(CO)2 [103], Ni(CO)I2 [103], NiBr2 [104], and [Cu(MeCN)2]BF4 [105]. |
![]() | 1,1′-bis(benzodithiaarsole) ferrocene and excess CyMgCl (Scheme 3E) [106]. | 21 was reported for in situ complexation with Pd2(dba)3, which was further used as an arsa-Buchwald ligand for catalytic purposes [106]. |
![]() | Fc’Li2·2/3tmeda and Ph2AsCl (Scheme 3A) [2]. | Isolated complexes with compounds 20 are reported with Cr(CO)4 [102], Mo(CO)4 [102], W(CO)4 [102], Ni(CO)2 [103], Ni(CO)I2 [103], (η2-C60)Pt [107], and PdCl2 [108]. |
![]() | (α-CH2NMe2, β-SiMe3-C5H3)(C5H5)Fe, nBuLi, and Ph2AsCl (Scheme 3C) [109]. | Fungicidal activity of compound 23 for crop plants was examined against fusarium head blight of wheat, early blight of tomato, wilt disease of cotton, ring-rot disease of apple, and brown blotch disease of peanut [109]. |
| 1,1′-Symmetrically substituted systems: 1,1′-distibanylferrocene | ||
![]() | Fc’Br2, nBuLi, and Ph2SbCl (Scheme 3B) [110]. | Isolated complexes with compounds 24 are reported with AgClO4 [110]. Compound 24 was further oxidized to stiboranes, which was eventually converted to a rare SbOSb [3]FCP [110]. |
| 1,1′-Symmetrically substituted systems: 1,1′-dibismuthanylferrocenes | ||
![]() | (α-CHO-C5H4)(C5H5)Fe, Me2N(CH2)2NMeLi, and nBuLi, and (p-Tol)2BiCl in the next step [111]. | No application reported for 25 [111]. |
![]() | (α-CH2NMe2-C5H3)(C5H5)Fe, nBuLi, and Ph2BiCl (Scheme 3D) for 26b, [112] which acted as a precursor for other species. | No application reported for 26 [112]. |
| 1,1′-Unsymmetrically substituted systems: 1,1′-aminophosphanylferrocenes | ||
![]() | Fc’(PPh2·BH3)N3 and DABCO (Scheme 4A) [113]. | No application reported for 27 [113]. |
![]() | Fc’(NMe2)Br, nBuLi, and R2PCl (R = Ph and Mes) [114]. | Isolated complexes with compound 28a were reported with PdCl2, PdCl(SbF6), PPh3(BF4)2, PdPPh2Cp(SbF6)2, [28a·Pd(PPh2)Fc’(NMe2)], and P(p-OMe-C6H4)3(BF4)2 [114]. |
![]() | Fc’(PPh2·S)N3, Raney Ni, and HCOOAc (Scheme 4B) [113]. | Compound 29 was used to synthesize 32a [113]. |
![]() | 30·S and Raney Ni [115]. | No application reported for 30 [115]. |
![]() | Fc’(PPh2·BH3)NH2 and Ph2PCH2CO2H·BH3, followed by DABCO [116]. | Isolated complexes with compounds 31 are reported with PdCl2, PdCl(SbF6), and PdCl(SbF6)2 [116]. |
![]() | 29 and BOP/DBU for 32a [113], Fc’(Ph2P·BH3)Br or Fc’(Ph2P·S)Br, and nBuLi and TsN3 for 32b, followed by removal of BH3 or S [113]. | Isolated complexes with compound 32a are reported with AgCl [113], Ag(SbF6) [113], Ag(Me2CO)(SbF6) [113], AuCl [113], (AuCl)2 [113], (AuCN)2(SbF6)2 [113], and (AuCN)2(NTf)2 [113]. Au-complexes of 32a were used for cyclodimerization of enynol [113]. Fischer-type and Mesoionic carbenes were also synthesized from 32a and 32b, respectively [117,118]. |
![]() | Fc’(PPh2)NH2 and Me2NCH(OMe)2 [119]. | Isolated complexes with compounds 33 are reported with PdCl2, PdCl(BARF) (BARF = B(3,5-(CF3)2C6H3)4), (η6–1-Me, 3-iPr-C6H4)Ru, and (η6-C5Me5)Rh [119]. |
![]() | Fc’(PPh2)NH2, nBuLi, and respective RNCNR [120,121]. | Isolated complexes with compounds 34 are reported with PdCl2 [120], PdCl(SbF6) [120], PdCl(BF4) [120], PtCl2 [121], PdCl(BARF) [121], PdBr(4-CN-C6H4) [121], and Pd(4-CN-C6H4)SbF6 [121]. Isolated complexes with [34·H]SbF6 were reported with PdCl2 and μ-Pd2Cl4 [120]. |
![]() | 35·PdCl2: Fc’(PPh2)NC, PdCl2(cod), and respective RR’NH [118]. | Isolated complexes with compound 35 are reported with PdCl2, which was further reported with Miyaura borylation [118]. |
![]() | 36·PdCl2: Fc’(PPh2)NC, PdCl2(cod), and respective [Cl(CH2)2NH2Me]Cl [118]. | Isolated complexes with compound 36 are reported with PdCl2, which was further reported with Miyaura borylation [118]. |
![]() | 37·PdCl2: Fc’(PPh2)NC, PdCl2(cod), and (S)-2-(chloromethyl)pyrrolidine [118]. | No application reported for 37 [118]. |
![]() | 38·PdCl2: Fc’(PPh2)NC, PdCl2(cod), and respective (MeO)2CHCH2NHR (R = Me, iPr) [118]. | Isolated complexes with compound 38 are reported with PdCl2, which was further reported with Miyaura borylation [118]. |
![]() | Fc’(PPh2·BH3)N3, RC≡CH (R = Bz, Mes), and CuSO4·5H2O [122]. | Isolated complexes with compound 39 are reported with MeBF4, PdCl2(MeBF4), AuiPr(MeBF4), and [PdCl2(AuiPr)2(MeBF4)2]1/2 [122]. |
| 1,1’-Unsymmetrically substituted systems: 1,1’-arsanylphosphanylferrocenes | ||
![]() | [1]PhosphaFCP and nBuLi, followed by Ph2AsCl [123,124]. | No application reported for 37 [123,124,125]. |
| 1,1′-Unsymmetrically substituted systems: 1,1′-phosphanylstibanylferrocene | ||
![]() | Fc’(PPh2)Br and nBuLi, followed by Ph2SbCl [126]. | Isolated complexes with compound 41 are reported with AuCl, which was further treated with 3,5-di-tert-butyl-o-benzoquinone for further complexation with Sb. Both complexes were eventually used for gold catalysis [127]. |

3. Synthetic Aspects
4. Complexation Motifs of Pnictogen-Substituted 1,1′-Ferrocenes
5. Electronic Situation in Pnictogen-Disubstituted 1,1′-Ferrocenes and Their Complexes
6. Applications
6.1. Redox-Active Sensoric Materials
6.1.1. Redox-Responsive Molecular Switches
6.1.2. Ion Recognition Receptor
6.1.3. Mesoionic and Fischer-Type Carbenes
6.1.4. Dearomatization Reactions of N-Heterocycles
6.1.5. Exploration of Oxidation Reactions of Germylenes
6.2. Catalytic Reactions
6.2.1. Ring-Opening Polymerization (ROP) of Lactides and Cyclic Esters
6.2.2. Redox-Switchable Catalysis
6.2.3. Pd(II)-Catalyzed Cross-Coupling Reactions
6.2.4. Au(I)-Catalyzed Annellation Reactions
7. Perspectives
Supplementary Materials
Funding
Acknowledgments
Conflicts of Interest
References
- Sollott, G.P.; Mertwoy, H.E.; Portnoy, S.; Snead, J.L. Unsymmetrical Tertiary Phosphines of Ferrocene by Friedel-Crafts Reactions. I. Ferrocenylphenylphosphines. J. Org. Chem. 1963, 28, 1090–1092. [Google Scholar] [CrossRef]
- Bishop, J.J.; Davison, A.; Katcher, M.L.; Lichtenberg, D.W.; Merrill, R.E.; Smart, J.C. Symmetrically disubstituted ferrocenes. J. Organomet. Chem. 1971, 27, 241–249. [Google Scholar] [CrossRef]
- Butler, I.R.; Coles, S.J.; Fontani, M.; Hursthouse, M.B.; Lewis, E.; Malik, K.L.M.A.; Meunier, M.; Zanello, P. Diferrocenyltriphosphines 2. Reversible phosphine deligation in the chemistry of diferrocenyltriphosphine Ru(II) dichloride complexes with nitriles and pyridines: Towards a pH-switchable catalyst? J. Organomet. Chem. 2001, 637–639, 538–548. [Google Scholar] [CrossRef]
- Mizuta, T.; Aotani, T.; Imamura, Y.; Kubo, K.; Miyoshi, K. Structure and properties of the macrocyclic tridentate ferrocenylphosphine ligand (-PhPC5H4FeC5H4-)3. Organometallics 2008, 27, 2457–2463. [Google Scholar] [CrossRef]
- Mizuta, T.; Inami, Y.; Kubo, K.; Miyoshi, K. Synthesis of binuclear complexes bound in an enlarged tetraphosphamacrocycle: Two diphosphine metal units linked in front-to-front style. Inorg. Chem. 2009, 48, 7534–7536. [Google Scholar] [CrossRef]
- Favre, H.A.; Powell, W.H. Nomenclature of Organic Chemistry: IUPAC Recommendations and Preferred Names; The Royal Society of Chemistry: London, UK, 2013. [Google Scholar]
- Dey, S.; Pietschnig, R. Chemistry of sterically demanding dppf-analogs. Coord. Chem. Rev. 2021, 437, 213850. [Google Scholar] [CrossRef]
- Siemeling, U. Other Symmetric 1,1′-Bidentate Ferrocene Ligands. In Ferrocenes: Ligands, Materials and Biomolecules; Štěpnička, P., Ed.; John Wiley & Sons: Hoboken, NJ, USA, 2008; pp. 141–176. [Google Scholar]
- Stepnicka, P. Forever young: The first seventy years of ferrocene. Dalton Trans. 2022, 51, 8085–8102. [Google Scholar] [CrossRef]
- Štěpnička, P. Ferrocene Chemistry. Eur. J. Inorg. Chem. 2022, 2022, e202200388. [Google Scholar] [CrossRef]
- Gan, K.-S.; Hor, T.S.A. 1,1′-Bis(diphenylphosphino)ferrocene—Coordination Chemistry, Organic Syntheses, and Catalysis. In Ferrocenes: Homogeneous Catalysis, Organic Synthesis, Materials Science; Togni, A., Hayashi, T., Eds.; John Wiley & Sons: Hoboken, NJ, USA, 2007; pp. 3–104. [Google Scholar]
- Dey, S.; Roesler, F.; Höfler, M.V.; Bruhn, C.; Gutmann, T.; Pietschnig, R. Synthesis, Structure and Cu-Phenylacetylide Coordination of an Unsymmetrically Substituted Bulky dppf-Analog. Eur. J. Inorg. Chem. 2021, 2022, e202100939. [Google Scholar] [CrossRef]
- Tolman, C.A. Steric effects of phosphorus ligands in organometallic chemistry and homogeneous catalysis. Chem. Rev. 2002, 77, 313–348. [Google Scholar] [CrossRef]
- Dierkes, P.; van Leeuwen, P.W.N.M. The bite angle makes the difference: A practical ligand parameter for diphosphine ligands. J. Chem. Soc. Dalton Trans. 1999, 1519–1529. [Google Scholar] [CrossRef]
- Herbert, D.E.; Mayer, U.F.; Manners, I. Strained metallocenophanes and related organometallic rings containing π-hydrocarbon ligands and transition-metal centers. Angew. Chem. Int. Ed. 2007, 46, 5060–5081. [Google Scholar] [CrossRef] [PubMed]
- Green, J.C. Bent metallocenes revisited. Chem. Soc. Rev. 1998, 27, 263–272. [Google Scholar] [CrossRef]
- Dey, S.; Szathmari, B.; Franz, R.; Bruhn, C.; Kelemen, Z.; Pietschnig, R. Controlled Ring Opening of a Tetracyclic Tetraphosphane with Twofold Metallocene Bridging. Chem. Eur. J. 2024, 30, e202400194. [Google Scholar] [CrossRef]
- Dey, S.; Kargin, D.; Höfler, M.V.; Szathmári, B.; Bruhn, C.; Gutmann, T.; Kelemen, Z.; Pietschnig, R. Oligo- and polymerization of phospha [2]ferrocenophanes to one dimensional phosphorus chains with ferrocenylene handles. Polymer 2022, 242, 124589. [Google Scholar] [CrossRef]
- Butler, I.R.; Cullen, W.R.; Einstein, F.W.B.; Rettig, S.J.; Willis, A.J. Synthesis of some ring-substituted [1]ferrocenophanes and the structure of four representative examples. Organometallics 1983, 2, 128–135. [Google Scholar] [CrossRef]
- Abramovitch, R.A.; Azogu, C.I.; Sutherland, R.G. A novel bridged ferrocene derivative. J. Chem. Soc. D Chem. Commun. 1969, 1439–1440. [Google Scholar] [CrossRef]
- Abramovitch, R.A.; Azogu, C.I.; Sutherland, R.G. The thermolysis and photolysis of ferrocenylsulphonyl azide. Evidence for a metal-nitrene complex in the thermolysis. Tetrahedron Lett. 1971, 12, 1637–1640. [Google Scholar] [CrossRef]
- Abramovitch, R.A.; Atwood, J.L.; Good, M.L.; Lampert, B.A. Crystal structure and Moessbauer spectrum of [2]-ferrocenophanethiazine 1,1-dioxide. Inorg. Chem. 1975, 14, 3085–3089. [Google Scholar] [CrossRef]
- Dey, S.; Quail, J.W.; Müller, J. [2]Ferrocenophanes with Nitrogen in Bridging Positions. Organometallics 2015, 34, 3039–3046. [Google Scholar] [CrossRef]
- Dey, S.; Sun, W.; Muller, J. [n]Ferrocenophanes (n = 2, 3) with Nitrogen and Phosphorus in Bridging Positions. Inorg. Chem. 2016, 55, 3630–3639. [Google Scholar] [CrossRef] [PubMed]
- Bhattacharjee, H.; Dey, S.; Zhu, J.; Sun, W.; Muller, J. Strained azabora[2]ferrocenophanes. Chem. Commun. 2018, 54, 5562–5565. [Google Scholar] [CrossRef] [PubMed]
- Gurskaya, L.; Bagryanskaya, I.; Amosov, E.; Kazantsev, M.; Politanskaya, L.; Zaytseva, E.; Bagryanskaya, E.; Chernonosov, A.; Tretyakov, E. 1,3-Diaza[3]ferrocenophanes functionalized with a nitronyl nitroxide group. Tetrahedron 2018, 74, 1942–1950. [Google Scholar] [CrossRef]
- Mizuta, T.; Yamasaki, T.; Miyoshi, K. Syntheses and X-Ray Crystal Structures of Platinum(II) Complexes Bearing Two and Three Phosphorus-Bridged [1]Ferrocenophanes, cis-[PtCl2(fcpp)2] and [PtCl(fcpp)3]BF4. Chem. Lett. 2000, 29, 924–925. [Google Scholar] [CrossRef]
- Zayakin, I.A.; Syroeshkin, M.A.; Shangin, P.G.; Korlyukov, A.A.; Dmitriev, A.A.; Gritsan, N.P.; Tretyakov, E.V. Binuclear complex of the organogold derivative of nitronyl nitroxide with 1,1′-bis(diphenylphosphino)ferrocene: Synthesis, structure, and properties. Russ. Chem. Bull. 2024, 73, 1216–1228. [Google Scholar] [CrossRef]
- Bagryanskaya, I.; Fedin, M.; Gorbunov, D.; Gritsan, N.; Gurskaya, L.; Kazantsev, M.; Polienko, Y.; Stass, D.; Tretyakov, E. A nitroxide diradical containing a ferrocen-1,1′-diyl-substituted 1,3-diazetidine-2,4-diimine coupler. Tetrahedron Lett. 2017, 58, 478–481. [Google Scholar] [CrossRef]
- Gurskaya, L.Y.; Polienko, Y.F.; Rybalova, T.V.; Gritsan, N.P.; Dmitriev, A.A.; Kazantsev, M.S.; Zaytseva, E.V.; Parkhomenko, D.A.; Beregovaya, I.V.; Zakabluk, G.A.; et al. Multispin Systems with a Rigid Ferrocene-1,1′-diyl-Substituted 1,3-Diazetidine-2,4-diimine Coupler: A General Approach. Eur. J. Org. Chem. 2022, 2022, e202101234. [Google Scholar] [CrossRef]
- Talisic, L.; Snelgrove, C.; Wijesundara, M.; Pilkington, M.; Metallinos, C. Stereoselective Synthesis of 1,1′,2,2′-Tetrasubstituted Ferrocenes by Double Lithiation of a 1,1′-Disubstituted Ferrocenyl Pyrroloimidazolone. Eur. J. Inorg. Chem. 2023, 26, e202200694. [Google Scholar] [CrossRef]
- Dascalu, M.; Balan, M.; Shova, S.; Racles, C.; Cazacu, M. Design and synthesis of the first ferrocenylsiloxane urea: Structure and properties. Polyhedron 2015, 102, 583–592. [Google Scholar] [CrossRef]
- Károlyi, B.I.; Bősze, S.; Orbán, E.; Sohár, P.; Drahos, L.; Gál, E.; Csámpai, A. Acylated mono-, bis- and tris- Cinchona-Based Amines Containing Ferrocene or Organic Residues: Synthesis, Structure and In Vitro Antitumor Activity on Selected Human Cancer Cell Lines. Molecules 2012, 17, 2316–2329. [Google Scholar] [CrossRef]
- Sato, M.; Ebine, S.; Tiedemann, S. Condensation of Halobenzenes and Haloferrocenes with Phthalimide in the Presence of Copper(I) Oxide; A Simplified Gabriel Reaction. Synthesis 1981, 1981, 472–473. [Google Scholar] [CrossRef]
- Abdulmalic, M.A.; Rüffer, T. A New Facile Two-Step Synthetic Procedure of 1,1′-Diaminoferrocene. Bull. Chem. Soc. Jpn. 2013, 86, 724–728. [Google Scholar] [CrossRef]
- Colacot, T.J.; Parisel, S. Synthesis, Coordination Chemistry and Catalytic Use of dppf Analogs. In Ferrocenes: Ligands, Materials and Biomolecules; Štěpnička, P., Ed.; John Wiley & Sons: Hoboken, NJ, USA, 2008; pp. 117–140. [Google Scholar]
- Štěpnička, P. 1′-Functionalised Ferrocene Phosphines: Synthesis, Coordination Chemistry and Catalytic Applications. In Ferrocenes: Ligands, Materials and Biomolecules; Štěpnička, P., Ed.; John Wiley & Sons: Hoboken, NJ, USA, 2008; pp. 177–204. [Google Scholar]
- Štěpnička, P.; Lamač, M. Synthesis and Catalytic Use of Planar Chiral and Polydentate Ferrocene Donors. In Ferrocenes: Ligands, Materials and Biomolecules; Štěpnička, P., Ed.; John Wiley & Sons: Hoboken, NJ, USA, 2008; pp. 237–277. [Google Scholar]
- Blaser, H.-U.; Chen, W.; Camponovo, F.; Togni, A. Chiral 1,2-Disubstituted Ferrocene Diphosphines for Asymmetric Catalysis. In Ferrocenes: Ligands, Materials and Biomolecules; Štěpnička, P., Ed.; John Wiley & Sons: Hoboken, NJ, USA, 2008; pp. 205–235. [Google Scholar]
- Fihri, A.; Meunier, P.; Hierso, J.-C. Performances of symmetrical achiral ferrocenylphosphine ligands in palladium-catalyzed cross-coupling reactions: A review of syntheses, catalytic applications and structural properties. Coord. Chem. Rev. 2007, 251, 2017–2055. [Google Scholar] [CrossRef]
- Dey, S.; Buzsaki, D.; Bruhn, C.; Kelemen, Z.; Pietschnig, R. Bulky 1,1′-bisphosphanoferrocenes and their coordination behaviour towards Cu(i). Dalton Trans. 2020, 49, 6668–6681. [Google Scholar] [CrossRef]
- Dey, S.; Dettling, L.; Gál, D.; Bruhn, C.; Kelemen, Z.; Müller, C.; Pietschnig, R. Tuning the Sterics: Rh-Catalyzed Hydroformylation Reactions with Ferrocene Based Diphosphorus Ligands. Soc. Sci. Res. Netw. 2024, preprint. [Google Scholar] [CrossRef]
- Ito, M.; Iseki, M.; Itazaki, M.; Nakazawa, H. Tetrahedral cage complex with planar vertices: Selective synthesis of Pt4L6 cage complexes involving hydrogen bonds driven by halide binding. Chem. Commun. 2016, 52, 7205–7208. [Google Scholar] [CrossRef]
- Dascalu, M.; Musteata, V.E.; Vacareanu, L.; Racles, C.; Cazacu, M. Synthesis and characterization of metal-containing poly(siloxane-urethane) crosslinked structures derived from siloxane diols and ferrocene diisocyanate. RSC Adv. 2015, 5, 99193–99200. [Google Scholar] [CrossRef]
- Petrov, A.R.; Jess, K.; Freytag, M.; Jones, P.G.; Tamm, M. Large-Scale Preparation of 1,1′-Ferrocenedicarboxylic Acid, a Key Compound for the Synthesis of 1,1′-Disubstituted Ferrocene Derivatives. Organometallics 2013, 32, 5946–5954. [Google Scholar] [CrossRef]
- Bildstein, B.; Malaun, M.; Kopacka, H.; Wurst, K.; Mitterböck, M.; Ongania, K.-H.; Opromolla, G.; Zanello, P. N,N′-Diferrocenyl-N-heterocyclic Carbenes and Their Derivatives. Organometallics 1999, 18, 4325–4336. [Google Scholar] [CrossRef]
- Otón, F.; Espinosa, A.; Tárraga, A.; Molina, P. Synthesis of Multifunctional Aza-Substituted Ruthenocene Derivatives Displaying Charge-Transfer Transitions and Selective Zn(II) Ions Sensing Properties. Organometallics 2007, 26, 6234–6242. [Google Scholar] [CrossRef]
- You, S.-L.; Hou, X.-L.; Dai, L.-X.; Zhu, X.-Z. Highly Efficient Ligands for Palladium-Catalyzed Asymmetric Alkylation of Ketone Enolates. Org. Lett. 2001, 3, 149–151. [Google Scholar] [CrossRef] [PubMed]
- Bernheim, M.; Boche, G. Electrophilic Amination of Cyclopentadienyllithium Compounds. Angew. Chem. Int. Ed. 1980, 19, 1010–1011. [Google Scholar] [CrossRef]
- Stahl, K.-P.; Boche, G.; Massa, W. 1,1′-Bis(N,N-dimethylamino)ferrocene,1,1′-bis(N,N-dimethylamino) cobaltocenium hexafluorophosphate and 1,1′-bis(N,N-dimethylamino)titanocene dichloride. Crystal structure of 1,1′-bis(N,N-dimethylamino)titanocene dichloride. J. Organomet. Chem. 1984, 277, 113–125. [Google Scholar] [CrossRef]
- Britton, W.E.; Kashyap, R.; El-Hashash, M.; El-Kady, M.; Herberhold, M. The anomalous electrochemistry of the ferrocenylamines. Organometallics 1986, 5, 1029–1031. [Google Scholar] [CrossRef]
- Cerveau, G.; Chuit, C.; Colomer, E.; Corriu, R.J.P.; Reye, C. Ferrocenyl compounds containing two hypervalent silicon species. Electrochemical studies. Organometallics 1990, 9, 2415–2417. [Google Scholar] [CrossRef]
- Lu, S.; Strelets, V.V.; Ryan, M.F.; Pietro, W.J.; Lever, A.B.P. Electrochemical Parametrization in Sandwich Complexes of the First Row Transition Metals. Inorg. Chem. 1996, 35, 1013–1023. [Google Scholar] [CrossRef]
- Herberhold, M.; Ellinger, M.; Kremnitz, W. Ferrocenylamine. J. Organomet. Chem. 1983, 241, 227–240. [Google Scholar] [CrossRef]
- Lee, J.A.; Williams, B.N.; Ogilby, K.R.; Miller, K.L.; Diaconescu, P.L. Synthesis of symmetrically and unsymmetrically 3,5-dimethylbenzyl-substituted 1,1′-ferrocene diamines. J. Organomet. Chem. 2011, 696, 4090–4094. [Google Scholar] [CrossRef]
- Blank, N.F.; Glueck, D.S.; Zakharov, L.N.; Rheingold, A.L.; Saybolt, M.D.; Ghent, B.L.; Nataro, C. Synthesis, Structure, and Electrochemistry of an Electron-Rich Chiral Diaminoferrocene, (S,S)-Bis(2,5-dimethylpyrrolidinyl)ferrocene. Organometallics 2005, 24, 5184–5187. [Google Scholar] [CrossRef]
- Plenio, H.; Burth, D. Aminocyclopentadienes, Aminoferrocenes, and Aminocobaltocenes. Angew. Chem. Int. Ed. 1995, 34, 800–803. [Google Scholar] [CrossRef]
- Plenio, H.; Burth, D. Aminoferrocenes and Aminocobaltocenes as Redox-Active Chelating Ligands: Syntheses, Structures, and Coordination Chemistry1. Organometallics 1996, 15, 4054–4062. [Google Scholar] [CrossRef]
- Plenio, H.; Aberle, C. An Artificial Regulatory System with Coupled Molecular Switches. Angew. Chem. Int. Ed. 1998, 37, 1397–1399. [Google Scholar] [CrossRef]
- Plenio, H.; Aberle, C. Coupled Molecular Switches: A Redox-Responsive Ligand and the Redox-Switched Complexation of Metal Ions. Chem. Eur. J. 2001, 7, 4438–4446. [Google Scholar] [CrossRef] [PubMed]
- Wang, X.; Thevenon, A.; Brosmer, J.L.; Yu, I.; Khan, S.I.; Mehrkhodavandi, P.; Diaconescu, P.L. Redox Control of Group 4 Metal Ring-Opening Polymerization Activity toward l-Lactide and ε-Caprolactone. J. Am. Chem. Soc. 2014, 136, 11264–11267. [Google Scholar] [CrossRef]
- Siemeling, U.; Färber, C.; Bruhn, C. A stable crystalline N-heterocyclic carbene with a 1,1′-ferrocenediyl backbone. Chem. Commun. 2009, 98–100. [Google Scholar] [CrossRef]
- Volk, J.; Bicho, B.A.C.; Bruhn, C.; Siemeling, U. N-Heterocyclic germylenes and stannylenes of the type [Fe{(η5-C5H4)NR}2E] with bulky alkyl substituents. Z. Naturforsch. B 2017, 72, 785–794. [Google Scholar] [CrossRef]
- Duhović, S.; Diaconescu, P.L. An experimental and computational study of 1,1′-ferrocene diamines. Polyhedron 2013, 52, 377–388. [Google Scholar] [CrossRef]
- Shafir, A.; Arnold, J. Zirconium complexes incorporating diaryldiamidoferrocene ligands: Generation of cationic derivatives and polymerization activity towards ethylene and 1-hexene. Inorg. Chim. Acta 2003, 345, 216–220. [Google Scholar] [CrossRef]
- Siemeling, U.; Färber, C.; Leibold, M.; Bruhn, C.; Mücke, P.; Winter, R.F.; Sarkar, B.; von Hopffgarten, M.; Frenking, G. Six-Membered N-Heterocyclic Carbenes with a 1,1′-Ferrocenediyl Backbone: Bulky Ligands with Strong Electron-Donor Capacity and Unusual Non-Innocent Character. Eur. J. Inorg. Chem. 2009, 2009, 4607–4612. [Google Scholar] [CrossRef]
- Oetzel, J.; Weyer, N.; Bruhn, C.; Leibold, M.; Gerke, B.; Pöttgen, R.; Maier, M.; Winter, R.F.; Holthausen, M.C.; Siemeling, U. Redox-Active N-Heterocyclic Germylenes and Stannylenes with a Ferrocene-1,1′-diyl Backbone. Chem. Eur. J. 2017, 23, 1187–1199. [Google Scholar] [CrossRef]
- Shafir, A.; Power, M.P.; Whitener, G.D.; Arnold, J. Silylated 1,1′-Diaminoferrocene: Ti and Zr Complexes of a New Chelating Diamide Ligand. Organometallics 2001, 20, 1365–1369. [Google Scholar] [CrossRef]
- Weyer, N.; Guthardt, R.; Correia Bicho, B.A.; Oetzel, J.; Bruhn, C.; Siemeling, U. Stable N-Heterocyclic Germylenes of the Type [Fe{(η5-C5H4)NR}2Ge] and Their Oxidation Reactions with Sulfur, Selenium, and Diphenyl Diselenide. Z. Anorg. Allg. Chem. 2019, 645, 188–197. [Google Scholar] [CrossRef]
- Carver, C.T.; Diaconescu, P.L. Ring-Opening Reactions of Aromatic N-Heterocycles by Scandium and Yttrium Alkyl Complexes. J. Am. Chem. Soc. 2008, 130, 7558–7559. [Google Scholar] [CrossRef] [PubMed]
- Carver, C.T.; Monreal, M.J.; Diaconescu, P.L. Scandium Alkyl Complexes Supported by a Ferrocene Diamide Ligand. Organometallics 2008, 27, 363–370. [Google Scholar] [CrossRef]
- Carver, C.T.; Benitez, D.; Miller, K.L.; Williams, B.N.; Tkatchouk, E.; Goddard, W.A., III; Diaconescu, P.L. Reactions of Group III Biheterocyclic Complexes. J. Am. Chem. Soc. 2009, 131, 10269–10278. [Google Scholar] [CrossRef]
- Miller, K.L.; Williams, B.N.; Benitez, D.; Carver, C.T.; Ogilby, K.R.; Tkatchouk, E.; Goddard, W.A., III; Diaconescu, P.L. Dearomatization Reactions of N-Heterocycles Mediated by Group 3 Complexes. J. Am. Chem. Soc. 2010, 132, 342–355. [Google Scholar] [CrossRef]
- Wong, A.W.; Miller, K.L.; Diaconescu, P.L. Reactions of aromatic N-heterocycles with a lutetium benzyl complex supported by a ferrocene-diamide ligand. Dalton Trans. 2010, 39, 6726–6731. [Google Scholar] [CrossRef]
- Siemeling, U.; Auch, T.C.; Kuhnert, O.; Malaun, M.; Kopacka, H.; Bildstein, B. 1, 1′-Di(arylamino)ferrocenes. A New Family of Privileged [N, N] Ligands with Tunable Steric Control for Applications in Homogeneous Organometallic Catalysis and Coordination Chemistry. Z. Anorg. Allg. Chem. 2003, 629, 1334–1336. [Google Scholar] [CrossRef]
- Siemeling, U.; Auch, T.-C.; Tomm, S.; Fink, H.; Bruhn, C.; Neumann, B.; Stammler, H.-G. Zirconium Chelates of a Bulky Ferrocene-Based Diamido Ligand. Organometallics 2007, 26, 1112–1115. [Google Scholar] [CrossRef]
- Correia Bicho, B.A.; Bruhn, C.; Guthardt, R.; Weyer, N.; Siemeling, U. [Fe{(η5-C5H4)N(SiMe2tBu)}2Al]2: A Stable Redox-Functionalized Dialumane(4). Z. Anorg. Allg. Chem. 2018, 644, 1329–1336. [Google Scholar] [CrossRef]
- Weyer, N.; Heinz, M.; Schweizer, J.I.; Bruhn, C.; Holthausen, M.C.; Siemeling, U. A Stable N-Heterocyclic Silylene with a 1,1′-Ferrocenediyl Backbone. Angew. Chem. Int. Ed. 2021, 60, 2624–2628. [Google Scholar] [CrossRef] [PubMed]
- Walz, F.; Moos, E.; Garnier, D.; Köppe, R.; Anson, C.E.; Breher, F. A Redox-Switchable Germylene and its Ligating Properties in Selected Transition Metal Complexes. Chem. Eur. J. 2017, 23, 1173–1186. [Google Scholar] [CrossRef] [PubMed]
- Kong, D.; Weng, T.; He, W.; Liu, B.; Jin, S.; Hao, X.; Liu, S. Synthesis, characterization, and electrochemical properties of ferrocenylimidazolium. J. Organomet. Chem. 2013, 727, 19–27. [Google Scholar] [CrossRef]
- Varnado, C.D., Jr.; Lynch, V.M.; Bielawski, C.W. 1,1′-Bis(N-benzimidazolylidene)ferrocene: Synthesis and study of a novel ditopic ligand and its transition metal complexes. Dalton Trans. 2009, 7253–7261. [Google Scholar] [CrossRef]
- Otón, F.; González, M.D.C.; Espinosa, A.; Ramírez de Arellano, C.; Tárraga, A.; Molina, P. Ion Pair Recognition Receptor Based on an Unsymmetrically 1,1′-Disubstituted Ferrocene–Triazole Derivative. J. Org. Chem. 2012, 77, 10083–10092. [Google Scholar] [CrossRef]
- Gibson, V.C.; Long, N.J.; Marshall, E.L.; Oxford, P.J.; White, A.J.P.; Williams, D.J. The synthesis and metal coordination chemistry of new 1,1′-N-substituted ferrocenediyl ligands derived from 1,1′-diaminoferrocene. J. Chem. Soc. Dalton Trans. 2001, 1162–1164. [Google Scholar] [CrossRef]
- Abubekerov, M.; Khan, S.I.; Diaconescu, P.L. Ferrocene-bis(phosphinimine) Nickel(II) and Palladium(II) Alkyl Complexes: Influence of the Fe–M (M = Ni and Pd) Interaction on Redox Activity and Olefin Coordination. Organometallics 2017, 36, 4394–4402. [Google Scholar] [CrossRef]
- Metallinos, C.; Tremblay, D.; Barrett, F.B.; Taylor, N.J. 1,1′-Bis(phosphoranylidenamino)ferrocene palladium(II) complexes: An unusual case of dative Fe→Pd bonding. J. Organomet. Chem. 2006, 691, 2044–2047. [Google Scholar] [CrossRef]
- Klapp, L.R.R.; Bruhn, C.; Leibold, M.; Siemeling, U. Ferrocene-Based Bis(guanidines): Superbases for Tridentate N, Fe, N-Coordination. Organometallics 2013, 32, 5862–5872. [Google Scholar] [CrossRef]
- Jess, K.; Baabe, D.; Bannenberg, T.; Brandhorst, K.; Freytag, M.; Jones, P.G.; Tamm, M. Ni–Fe and Pd–Fe Interactions in Nickel(II) and Palladium(II) Complexes of a Ferrocene-Bridged Bis(imidazolin-2-imine) Ligand. Inorg. Chem. 2015, 54, 12032–12045. [Google Scholar] [CrossRef]
- Weng, Z.; Koh, L.L.; Hor, T.S.A. Suzuki cross-coupling in aqueous media catalyzed by a 1,1′-N-substituted ferrocenediyl Pd(II) complex. J. Organomet. Chem. 2004, 689, 18–24. [Google Scholar] [CrossRef]
- Gibson, V.C.; Gregson, C.K.A.; Halliwell, C.M.; Long, N.J.; Oxford, P.J.; White, A.J.P.; Williams, D.J. The synthesis, coordination chemistry and ethylene polymerisation activity of ferrocenediyl nitrogen-substituted ligands and their metal complexes. J. Organomet. Chem. 2005, 690, 6271–6283. [Google Scholar] [CrossRef]
- Shafir, A.; Fiedler, D.; Arnold, J. Highly diastereoselective reduction of ferrocene bis-imines with methyllithium and the formation of C2-symmetric Zr complexes. Chem. Commun. 2003, 2598–2599. [Google Scholar] [CrossRef] [PubMed]
- Shafir, A.; Fiedler, D.; Arnold, J. Formation of 1:1 complexes of ferrocene-containing salen ligands with Mg, Ti and Zr. J. Chem. Soc. Dalton Trans. 2002, 555–560. [Google Scholar] [CrossRef]
- Otón, F.; Ratera, I.; Espinosa, A.; Wurtz, K.; Parella, T.; Tárraga, A.; Veciana, J.; Molina, P. Selective Metal-Cation Recognition by [2.2]Ferrocenophanes: The Cases of Zinc- and Lithium-Sensing. Chem. Eur. J. 2010, 16, 1532–1542. [Google Scholar] [CrossRef]
- Brown, L.A.; Rhinehart, J.L.; Long, B.K. Effects of Ferrocenyl Proximity and Monomer Presence during Oxidation for the Redox-Switchable Polymerization of l-Lactide. ACS Catal. 2015, 5, 6057–6060. [Google Scholar] [CrossRef]
- Lai, A.; Hern, Z.C.; Diaconescu, P.L. Switchable Ring-Opening Polymerization by a Ferrocene Supported Aluminum Complex. ChemCatChem 2019, 11, 4210–4218. [Google Scholar] [CrossRef]
- Broderick, E.M.; Diaconescu, P.L. Cerium(IV) Catalysts for the Ring-Opening Polymerization of Lactide. Inorg. Chem. 2009, 48, 4701–4706. [Google Scholar] [CrossRef]
- Quan, S.M.; Diaconescu, P.L. High activity of an indium alkoxide complex toward ring opening polymerization of cyclic esters. Chem. Commun. 2015, 51, 9643–9646. [Google Scholar] [CrossRef]
- Shepard, S.M.; Diaconescu, P.L. Redox-Switchable Hydroelementation of a Cobalt Complex Supported by a Ferrocene-Based Ligand. Organometallics 2016, 35, 2446–2453. [Google Scholar] [CrossRef]
- Dai, R.; Lai, A.; Alexandrova, A.N.; Diaconescu, P.L. Geometry Change in a Series of Zirconium Compounds during Lactide Ring-Opening Polymerization. Organometallics 2018, 37, 4040–4047. [Google Scholar] [CrossRef]
- Broderick, E.M.; Thuy-Boun, P.S.; Guo, N.; Vogel, C.S.; Sutter, J.; Miller, J.T.; Meyer, K.; Diaconescu, P.L. Synthesis and Characterization of Cerium and Yttrium Alkoxide Complexes Supported by Ferrocene-Based Chelating Ligands. Inorg. Chem. 2011, 50, 2870–2877. [Google Scholar] [CrossRef] [PubMed]
- Tárraga, A.; Otón, F.; Espinosa, A.; Desamparados Velasco, M.; Molina, P.; Evans, D.J. Synthesis and properties of a new class of nitrogen-rich multinuclear[m.n] ferrocenophanes. Chem. Commun. 2004, 458–459. [Google Scholar] [CrossRef] [PubMed]
- Brosmer, J.L.; Diaconescu, P.L. Yttrium-Alkyl Complexes Supported by a Ferrocene-Based Phosphinimine Ligand. Organometallics 2015, 34, 2567–2572. [Google Scholar] [CrossRef]
- Davison, A.; Bishop, J.J. Symmetrically disubstituted ferrocenes. II. Complexes of ferrocene-1,1′-bis(dimethylarsine) and ferrocene-1,1′-bis(diphenylarsine) with Group VI carbonyls. Inorg. Chem. 1971, 10, 826–831. [Google Scholar] [CrossRef]
- Davison, A.; Bishop, J.J. Symmetrically disubstituted ferrocenes. III. Complexes of ferrocene-1,1′-bis(dimethylarsine) and ferrocene-1,1′-bis(diphenylarsine) with the Group VIII metals. Inorg. Chem. 1971, 10, 832–837. [Google Scholar] [CrossRef]
- Fitzpatrick, M.G.; Hanton, L.R.; Simpson, J. Conformationally flexible arsine ligands: Two forms of bis [1,1′-bis (dimethylarsino) ferrocene] dibromonickel (II). Inorg. Chim. Acta 1996, 244, 131–136. [Google Scholar] [CrossRef]
- Fitzpatrick, M.G.; Hanton, L.R.; Henderson, W.; Kneebone, P.E.; Levy, E.G.; McCaffrey, L.J.; McMorran, D.A. Application of electrospray mass spectrometry to the characterisation of tertiary arsine ligands. Inorg. Chim. Acta 1998, 281, 101–110. [Google Scholar] [CrossRef]
- Sumida, A.; Imoto, H.; Naka, K. Synthetic Strategy for AB2-Type Arsines via Bidentate Dithiolate Leaving Groups. Inorg. Chem. 2022, 61, 17419–17426. [Google Scholar] [CrossRef]
- Song, L.-C.; Wang, G.-F.; Liu, P.-C.; Hu, Q.-M. Synthetic and Structural Studies on Transition Metal Fullerene Complexes Containing Phosphorus and Arsenic Ligands: Crystal and Molecular Structures of (η2-C60)M(dppf) (dppf = 1,1′-Bis(diphenylphosphino)ferrocene; M = Pt, Pd), (η2-C60)Pt(AsPh3)2, (η2-C60)Pt(dpaf) (dpaf = 1,1′-Bis(diphenylarsino)ferrocene), and (η2-C70)Pt(dpaf). Organometallics 2003, 22, 4593–4598. [Google Scholar]
- Warnick, E.P.; Dupuis, R.J.; Piro, N.A.; Scott Kassel, W.; Nataro, C. Compounds containing weak, non-covalent interactions to the metal in the backbone of 1,1′-bis(phosphino)metallocene ligands. Polyhedron 2016, 114, 156–164. [Google Scholar] [CrossRef]
- Du, H.; Park, K.C.; Wang, F.; Wang, S.; Liu, Q.; Zhang, S.; Huang, Y.; Shi, S. Synthesis and Characterization of Homoannularly Disubstituted and Heteroannularly Trisubstituted Ferrocene Derivatives by Arsenic and Silicon or by Arsenic and Tin. Organometallics 2007, 26, 6219–6224. [Google Scholar] [CrossRef]
- Schulz, J.; Antala, J.; Cisarova, I.; Stepnicka, P. Beyond phosphorus: Synthesis, reactivity, coordination behaviour and catalytic properties of 1,1′-bis(diphenylstibino)ferrocene. Dalton Trans. 2023, 52, 1198–1211. [Google Scholar] [CrossRef]
- Murafuji, T.; Mutoh, T.; Sugihara, Y. Synthesis of (formylferrocenyl)bismuthanes. A way to control the stereochemistry at the chiral bismuth centre using hypervalent bond formation and planar chirality of ferrocene. Chem. Commun. 1996, 1693–1694. [Google Scholar] [CrossRef]
- Villamizar C, C.P.; Anzaldo, B.; Sharma, P.; González, R.; Toscano, A.; Peña, M.A.; Sharma, M.; Gutierrez, R. 1,1′-2-Trisubstituted ferrocenyl dibismuthines containing N/O donor pendant arm. J. Organomet. Chem. 2020, 930, 121593. [Google Scholar] [CrossRef]
- Skoch, K.; Cisarova, I.; Schulz, J.; Siemeling, U.; Stepnicka, P. Synthesis and characterization of 1′-(diphenylphosphino)-1-isocyanoferrocene, an organometallic ligand combining two different soft donor moieties, and its Group 11 metal complexes. Dalton Trans. 2017, 46, 10339–10354. [Google Scholar] [CrossRef]
- Dey, S.; Roesler, F.; Bruhn, C.; Kelemen, Z.; Pietschnig, R. Tailoring the Fe→Pd interaction in cationic Pd(ii) complexes via structural variation of the ligand scaffold of sterically demanding dppf-analogs and their P,N-counterparts. Inorg. Chem. Front. 2023, 10, 3828–3843. [Google Scholar] [CrossRef]
- Ritte, M.; Bruhn, C.; Siemeling, U. Synthesis and Crystal Structures of the P,N-Substituted Ferrocenes [Fe{η5-C5H4–P(S)Ph2}(η5-C5H4–NHCH2tBu)] and [Fe(η5-C5H4–PPh2)(η5-C5H4–NHCH2tBu)]. Z. Naturforsch. B 2014, 69, 906–912. [Google Scholar] [CrossRef]
- Navrátil, M.; Císařová, I.; Štěpnička, P. Synthesis and coordination of hybrid phosphinoferrocenes with extended donor pendants. Dalton Trans. 2022, 51, 14618–14629. [Google Scholar] [CrossRef]
- Skoch, K.; Cisarova, I.; Uhlik, F.; Stepnicka, P. Comparing the reactivity of isomeric phosphinoferrocene nitrile and isocyanide in Pd(ii) complexes: Synthesis of simple coordination compounds vs. preparation of P-chelated insertion products and Fischer-type carbenes. Dalton Trans. 2018, 47, 16082–16101. [Google Scholar] [CrossRef]
- Škoch, K.; Schulz, J.; Císařová, I.; Štěpnička, P. Pd(II) Complexes with Chelating Phosphinoferrocene Diaminocarbene Ligands: Synthesis, Characterization, and Catalytic Use in Pd-Catalyzed Borylation of Aryl Bromides. Organometallics 2019, 38, 3060–3073. [Google Scholar] [CrossRef]
- Binnani, C.; Leitner, Z.; Císařová, I.; Štěpnička, P. Synthesis and Coordination Behavior of a Hybrid Phosphanylferrocene Amidine Ligand. Eur. J. Inorg. Chem. 2024, 27, e202300644. [Google Scholar] [CrossRef]
- Bárta, O.; Gyepes, R.; Císařová, I.; Alemayehu, A.; Štěpnička, P. Synthesis and study of Fe→Pd interactions in unsymmetric Pd(ii) complexes with phosphinoferrocene guanidine ligands. Dalton Trans. 2020, 49, 4225–4229. [Google Scholar] [CrossRef]
- Bárta, O.; Císařová, I.; Štěpnička, P. The protonation state governs the coordination of phosphinoferrocene guanidines. Dalton Trans. 2021, 50, 14662–14671. [Google Scholar] [CrossRef]
- Škoch, K.; Vosáhlo, P.; Císařová, I.; Štěpnička, P. Synthesis and characterisation of Pd(ii) and Au(i) complexes with mesoionic carbene ligands bearing phosphinoferrocene substituents and isomeric carbene moieites. Dalton Trans. 2020, 49, 1011–1021. [Google Scholar] [CrossRef]
- Withers, H.P.; Seyferth, D.; Fellmann, J.D.; Garrou, P.E.; Martin, S. Phosphorus- and arsenic-bridged [1]ferrocenophanes. 2. Synthesis of poly((1,1′-ferrocenediyl)phenylphosphine) oligomers and polymers. Organometallics 1982, 1, 1283–1288. [Google Scholar] [CrossRef]
- Butler, I.R.; Cullen, W.R. The synthesis of α-N,N-dimethyl-1′-diphenylphosphinoferrocenylethylamine and related ligands. Can. J. Chem. 1983, 61, 147–153. [Google Scholar] [CrossRef]
- Butler, I.R.; Cullen, W.R. Lithiophosphinoferrocenes. A route to polyphosphines and ring-substituted ferrocenophanes. Organometallics 1986, 5, 2537–2542. [Google Scholar] [CrossRef]
- Schulz, J.; Antala, J.; Rezazgui, D.; Cisarova, I.; Stepnicka, P. Synthesis, Structure, Reactivity, and Intramolecular Donor-Acceptor Interactions in a Phosphinoferrocene Stibine and Its Corresponding Phosphine Chalcogenides and Stiboranes. Inorg. Chem. 2023, 62, 14028–14043. [Google Scholar] [CrossRef]
- Zhou, B.; Bedajna, S.; Gabbaï, F.P. Pnictogen bonding at the service of gold catalysis: The case of a phosphinostiborane gold complex. Chem. Commun. 2024, 60, 192–195. [Google Scholar] [CrossRef]
- Shafir, A.; Power, M.P.; Whitener, G.D.; Arnold, J. Synthesis, Structure, and Properties of 1,1′-Diamino- and 1,1′-Diazidoferrocene. Organometallics 2000, 19, 3978–3982. [Google Scholar] [CrossRef]
- Butler, I.R.; Cullen, W.R.; Ni, J.; Rettig, S.J. The structure of the 3:2 adduct of 1,1′-dilithioferrocene with tetramethylethylenediamine. Organometallics 1985, 4, 2196–2201. [Google Scholar] [CrossRef]
- Boston, G.M.R.; Philipp, H.M.; Butenschön, H. Fluorosulfonylferrocene, (Trifluoromethylsulfonyl)ferrocene and New Ferrocenyl Sulfonates: Directed ortho Lithiation and New Anionic Thia-Fries Rearrangements at Ferrocene. Eur. J. Inorg. Chem. 2021, 2021, 4903–4914. [Google Scholar] [CrossRef]
- Sadeh, S.; Cao, M.P.T.; Quail, J.W.; Zhu, J.; Müller, J. Enantiopure Phospha[1]ferrocenophanes: Textbook Examples of Through-Space Nuclear Spin–Spin Coupling. Chem. Eur. J. 2018, 24, 8298–8301. [Google Scholar] [CrossRef]
- Sadeh, S.; Schatte, G.; Müller, J. A Flexible Approach to Strained Sandwich Compounds: Chiral [1]Ferrocenophanes with Boron, Gallium, Silicon, and Tin in Bridging Positions. Chem. Eur. J. 2013, 19, 13408–13417. [Google Scholar] [CrossRef]
- Ringenberg, M.R. Beyond Common Metal–Metal Bonds, κ3-Bis(donor)ferrocenyl → Transition-Metal Interactions. Chem. Eur. J. 2019, 25, 2396–2406. [Google Scholar] [CrossRef]
- Ganesh, V.; Sudhir, V.S.; Kundu, T.; Chandrasekaran, S. 10 Years of Click Chemistry: Synthesis and Applications of Ferrocene-Derived Triazoles. Chem. Asian J. 2011, 6, 2670–2694. [Google Scholar] [CrossRef]
- Alfonso, M.; Espinosa, A.; Tárraga, A.; Molina, P. A Simple but Effective Dual Redox and Fluorescent Ion Pair Receptor Based on a Ferrocene–Imidazopyrene Dyad. Org. Lett. 2011, 13, 2078–2081. [Google Scholar] [CrossRef]
- Chang, K.-C.; Su, I.-H.; Wang, Y.-Y.; Chung, W.-S. A Bifunctional Chromogenic Calix[4]arene Chemosensor for Both Cations and Anions: A Potential Ca2+ and F− Switched INHIBIT Logic Gate with a YES Logic Function. Eur. J. Org. Chem. 2010, 2010, 4700–4704. [Google Scholar] [CrossRef]
- Picot, S.C.; Mullaney, B.R.; Beer, P.D. Ion-Pair Recognition by a Heteroditopic Triazole-Containing Receptor. Chem. Eur. J. 2012, 18, 6230–6237. [Google Scholar] [CrossRef]
- Alfonso, M.; Tárraga, A.; Molina, P. Ferrocene-Based Heteroditopic Receptors Displaying High Selectivity toward Lead and Mercury Metal Cations through Different Channels. J. Org. Chem. 2011, 76, 939–947. [Google Scholar] [CrossRef] [PubMed]
- Alfonso, M.; Espinosa, A.; Tárraga, A.; Molina, P. Multichannel HSO4− recognition promoted by a bound cation within a ferrocene-based ion pair receptor. Chem. Commun. 2012, 48, 6848–6850. [Google Scholar] [CrossRef] [PubMed]
- Vivancos, Á.; Segarra, C.; Albrecht, M. Mesoionic and Related Less Heteroatom-Stabilized N-Heterocyclic Carbene Complexes: Synthesis, Catalysis, and Other Applications. Chem. Rev. 2018, 118, 9493–9586. [Google Scholar] [CrossRef] [PubMed]
- Hettmanczyk, L.; Suntrup, L.; Klenk, S.; Hoyer, C.; Sarkar, B. Heteromultimetallic Complexes with Redox-Active Mesoionic Carbenes: Control of Donor Properties and Redox-Induced Catalysis. Chem. Eur. J. 2017, 23, 576–585. [Google Scholar] [CrossRef]
- Klenk, S.; Rupf, S.; Suntrup, L.; van der Meer, M.; Sarkar, B. The Power of Ferrocene, Mesoionic Carbenes, and Gold: Redox-Switchable Catalysis. Organometallics 2017, 36, 2026–2035. [Google Scholar] [CrossRef]
- Dötz, K.H. Carbene Complexes in Organic Synthesis [New Synthetic Methods (47)]. Angew. Chem. Int. Ed. 1984, 23, 587–608. [Google Scholar] [CrossRef]
- Chen, H.; White, P.S.; Gagné, M.R. Synthesis and Reactivity of Titanium(IV)–Salen Complexes Containing Oxygen and Chloride Ligands. Organometallics 1998, 17, 5358–5366. [Google Scholar] [CrossRef]
- Clarkson, G.J.; Gibson, V.C.; Goh, P.K.Y.; Hammond, M.L.; Knight, P.D.; Scott, P.; Smit, T.M.; White, A.J.P.; Williams, D.J. Group 4 catalysts for ethene polymerization containing tetradentate salicylaldiminato ligands. Dalton Trans. 2006, 5484–5491. [Google Scholar] [CrossRef]
- Gregson, C.K.A.; Blackmore, I.J.; Gibson, V.C.; Long, N.J.; Marshall, E.L.; White, A.J.P. Titanium–salen complexes as initiators for the ring opening polymerisation of rac-lactide. Dalton Trans. 2006, 3134–3140. [Google Scholar] [CrossRef]
- Quan, S.M.; Wang, X.; Zhang, R.; Diaconescu, P.L. Redox Switchable Copolymerization of Cyclic Esters and Epoxides by a Zirconium Complex. Macromolecules 2016, 49, 6768–6778. [Google Scholar] [CrossRef]
- Quan, S.M.; Wei, J.; Diaconescu, P.L. Mechanistic Studies of Redox-Switchable Copolymerization of Lactide and Cyclohexene Oxide by a Zirconium Complex. Organometallics 2017, 36, 4451–4457. [Google Scholar] [CrossRef]
- Hern, Z.C.; Quan, S.M.; Dai, R.; Lai, A.; Wang, Y.; Liu, C.; Diaconescu, P.L. ABC and ABAB Block Copolymers by Electrochemically Controlled Ring-Opening Polymerization. J. Am. Chem. Soc. 2021, 143, 19802–19808. [Google Scholar] [CrossRef] [PubMed]
- Gregson, C.K.A.; Gibson, V.C.; Long, N.J.; Marshall, E.L.; Oxford, P.J.; White, A.J.P. Redox Control within Single-Site Polymerization Catalysts. J. Am. Chem. Soc. 2006, 128, 7410–7411. [Google Scholar] [CrossRef] [PubMed]
- Shigehisa, H.; Aoki, T.; Yamaguchi, S.; Shimizu, N.; Hiroya, K. Hydroalkoxylation of Unactivated Olefins with Carbon Radicals and Carbocation Species as Key Intermediates. J. Am. Chem. Soc. 2013, 135, 10306–10309. [Google Scholar] [CrossRef]
- Yin, J.; Rainka, M.P.; Zhang, X.-X.; Buchwald, S.L. A Highly Active Suzuki Catalyst for the Synthesis of Sterically Hindered Biaryls: Novel Ligand Coordination. J. Am. Chem. Soc. 2002, 124, 1162–1163. [Google Scholar] [CrossRef]
- Škoch, K.; Císařová, I.; Štěpnička, P. Synthesis and Catalytic Use of Gold(I) Complexes Containing a Hemilabile Phosphanylferrocene Nitrile Donor. Chem. Eur. J. 2015, 21, 15998–16004. [Google Scholar] [CrossRef]
- He, W.; Li, C.; Zhang, L. An Efficient [2 + 2 + 1] Synthesis of 2,5-Disubstituted Oxazoles via Gold-Catalyzed Intermolecular Alkyne Oxidation. J. Am. Chem. Soc. 2011, 133, 8482–8485. [Google Scholar] [CrossRef]
- Bhoyare, V.W.; Tathe, A.G.; Das, A.; Chintawar, C.C.; Patil, N.T. The interplay of carbophilic activation and Au(i)/Au(iii) catalysis: An emerging technique for 1,2-difunctionalization of C–C multiple bonds. Chem. Soc. Rev. 2021, 50, 10422–10450. [Google Scholar] [CrossRef]
- de Lima, G.M.; Filgueiras, C.A.L.; Giotto, M.T.S.; Mascarenhas, Y.P. Tin, palladium and platinum derivatives of 1,1′-bis(diphenylphosphine)ferrocene. Crystal and molecular structures of 1,1′- bis-(diphenylphosphine)ferrocenedichloropalladium(II) and of 1,1′-bis(diphenylphosphine)ferrocenedichloroplatinum(II). Transit. Met. Chem. 1995, 20, 380–383. [Google Scholar] [CrossRef]
- Jess, K.; Baabe, D.; Freytag, M.; Jones, P.G.; Tamm, M. Transition-Metal Complexes with Ferrocene-Bridged Bis(imidazolin-2-imine) and Bis(diaminocyclopropenimine) Ligands. Eur. J. Inorg. Chem. 2017, 2017, 412–423. [Google Scholar] [CrossRef]
- Khramov, D.M.; Rosen, E.L.; Lynch, V.M.; Bielawski, C.W. Diaminocarbene[3]ferrocenophanes and Their Transition-Metal Complexes. Angew. Chem. Int. Ed. 2008, 47, 2267–2270. [Google Scholar] [CrossRef] [PubMed]
- Macrae, C.F.; Edgington, P.R.; McCabe, P.; Pidcock, E.; Shields, G.P.; Taylor, R.; Towler, M.; van de Streek, J. Mercury: Visualization and analysis of crystal structures. J. Appl. Crystallogr. 2006, 39, 453–457. [Google Scholar] [CrossRef]
- Macrae, C.F.; Bruno, I.J.; Chisholm, J.A.; Edgington, P.R.; McCabe, P.; Pidcock, E.; Rodriguez-Monge, L.; Taylor, R.; van de Streek, J.; Wood, P.A. Mercury CSD 2.0– new features for the visualization and investigation of crystal structures. J. Appl. Crystallogr. 2008, 41, 466–470. [Google Scholar] [CrossRef]
- Gramigna, K.M.; Oria, J.V.; Mandell, C.L.; Tiedemann, M.A.; Dougherty, W.G.; Piro, N.A.; Kassel, W.S.; Chan, B.C.; Diaconescu, P.L.; Nataro, C. Palladium(II) and Platinum(II) Compounds of 1,1′-Bis(phosphino)metallocene (M = Fe, Ru) Ligands with Metal–Metal Interactions. Organometallics 2013, 32, 5966–5979. [Google Scholar] [CrossRef]
- Cabrera, K.D.; Rowland, A.T.; Szarko, J.M.; Diaconescu, P.L.; Bezpalko, M.W.; Kassel, W.S.; Nataro, C. Monodentate phosphine substitution in [Pd(κ3-dppf)(PR3)][BF4]2 (dppf = 1,1′-bis(diphenylphosphino)ferrocene) compounds. Dalton Trans. 2017, 46, 5702–5710. [Google Scholar] [CrossRef]
- Jover, J.; Miloserdov, F.M.; Benet-Buchholz, J.; Grushin, V.V.; Maseras, F. On the Feasibility of Nickel-Catalyzed Trifluoromethylation of Aryl Halides. Organometallics 2014, 33, 6531–6543. [Google Scholar] [CrossRef]
- Blass, B.L.; Sánchez, R.H.; Decker, V.A.; Robinson, M.J.; Piro, N.A.; Kassel, W.S.; Diaconescu, P.L.; Nataro, C. Structural, Computational, and Spectroscopic Investigation of [Pd(κ3-1,1′-bis(di-tert-butylphosphino)ferrocenediyl)X]+ (X = Cl, Br, I) Compounds. Organometallics 2016, 35, 462–470. [Google Scholar] [CrossRef]
- Elschenbroich, C. Organometallics; Wiley-VCH Verlag GmbH & Co. KGaA: Weinheim, Germany, 2006. [Google Scholar]
- Noviandri, I.; Brown, K.N.; Fleming, D.S.; Gulyas, P.T.; Lay, P.A.; Masters, A.F.; Phillips, L. The decamethylferrocenium/decamethylferrocene redox couple: A superior redox standard to the ferrocenium/ferrocene redox couple for studying solvent effects on the thermodynamics of electron transfer. J. Phys. Chem. B 1999, 103, 6713–6722. [Google Scholar] [CrossRef]























Disclaimer/Publisher’s Note: The statements, opinions and data contained in all publications are solely those of the individual author(s) and contributor(s) and not of MDPI and/or the editor(s). MDPI and/or the editor(s) disclaim responsibility for any injury to people or property resulting from any ideas, methods, instructions or products referred to in the content. |
© 2024 by the authors. Licensee MDPI, Basel, Switzerland. This article is an open access article distributed under the terms and conditions of the Creative Commons Attribution (CC BY) license (https://creativecommons.org/licenses/by/4.0/).
Share and Cite
Dey, S.; Pietschnig, R. 1,1′-Disubstituted Ferrocene Ligand Scaffolds Featuring Pnictogens Other than Phosphorus as Donor Sites. Molecules 2024, 29, 5283. https://doi.org/10.3390/molecules29225283
Dey S, Pietschnig R. 1,1′-Disubstituted Ferrocene Ligand Scaffolds Featuring Pnictogens Other than Phosphorus as Donor Sites. Molecules. 2024; 29(22):5283. https://doi.org/10.3390/molecules29225283
Chicago/Turabian StyleDey, Subhayan, and Rudolf Pietschnig. 2024. "1,1′-Disubstituted Ferrocene Ligand Scaffolds Featuring Pnictogens Other than Phosphorus as Donor Sites" Molecules 29, no. 22: 5283. https://doi.org/10.3390/molecules29225283
APA StyleDey, S., & Pietschnig, R. (2024). 1,1′-Disubstituted Ferrocene Ligand Scaffolds Featuring Pnictogens Other than Phosphorus as Donor Sites. Molecules, 29(22), 5283. https://doi.org/10.3390/molecules29225283










































