Cytotoxic and Antibacterial Activity of Koninginins Isolated from the Mangrove-Derived Endophytic Fungus Trichoderma sp.
Abstract
1. Introduction
2. Results
2.1. HPLC-DAD of AF Extract
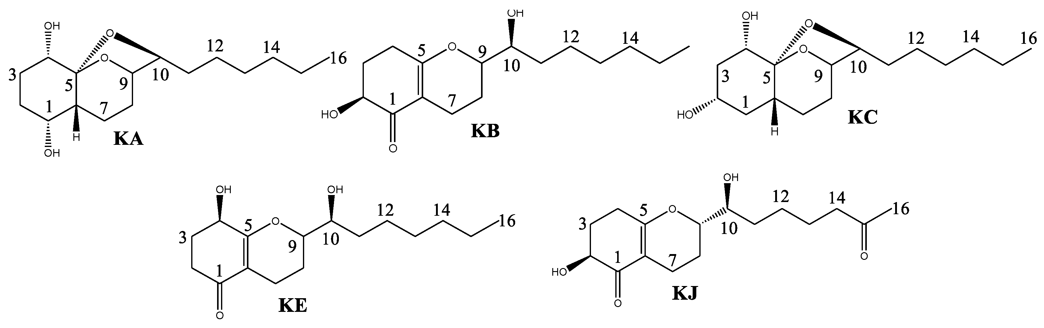
2.2. Isolation and Identification of the Koninginins
2.3. Antimicrobial Assays
2.4. Cytotoxic Activity
2.5. Cytotoxic Activity of Koninginins Isolated from Trichoderma sp. AcCC18.2
3. Discussion
4. Materials and Methods
4.1. Microorganism
4.2. Cultivation of Fungus and Obtaining Extracts
4.3. HPLC-DAD of Ethyl Acetate Phase Extract (AF)
4.4. Fractionation of AF Extracts from the Fungus Trichoderma sp. AcCC18.2
4.5. NMR and MS Analysis of the Isolated Compounds
4.6. Antimicrobial Assays
4.7. In Vitro MTT (3-(4,5-Dimethylazol-2-yl)-2,5-Dephenitetrazolium Bromide) Assay
4.8. Data Analysis
5. Conclusions
Supplementary Materials
Author Contributions
Funding
Institutional Review Board Statement
Informed Consent Statement
Data Availability Statement
Acknowledgments
Conflicts of Interest
References
- World Health Organization. Available online: https://www.who.int/health-topics/cancer#tab=tab_1 (accessed on 3 June 2024).
- Knox, S.S. From “omics” to complex disease: A systems biology approach to gene-environment interactions in cancer. Cancer Cell Int. 2010, 10, 1–13. [Google Scholar] [CrossRef] [PubMed]
- Sung, H.; Ferley, J.; Siegel, R.L.; Laversanne, M.; Soerjomataram, I.; Jemal, A.; Bray, F. Global Cancer Statistics 2020: GLOBOCAN Estimates of Incidence and Mortality Worldwide for 36 Cancers in 185 Countries. CA Cancer J. Clin. 2021, 71, 209–249. [Google Scholar] [CrossRef] [PubMed]
- Estimate. 2023—Cancer Incidence in Brazil/Instituto nacional de Câncer; INCA: Rio de Janeiro, Brazil, 2022; p. 160. [Google Scholar]
- Rawla, P.; Barsouk, A. Epidemiology of gastric cancer: Global trends, risk factors and prevention. Gastroenterol. Rev. 2019, 14, 26–38. [Google Scholar] [CrossRef] [PubMed]
- da Silva, M.J.S. ‘Basic Approaches to the Cancer Control’, Brazilian National Cancer Institute José Alencar Gomes da Silva, Revised 6th Edition Revised and Updated; INCA: Rio de Janeiro, Brazil, 2019. [Google Scholar]
- Galucio, N.C.R.; Moysés, D.A.; Pina, J.R.S.; Marinho, P.S.B.; Gomes-Junior, P.C.; Cruz, J.N.; Vieira Vale, V.V.; Khayat, A.S.; Marinho, A.M.R. Antiproliferative, genotoxic activities and quantification of extracts and cucurbitacin B obtained from Luffa operculata (L.) Cogn. Arab. J. Chem. 2022, 15, 103589. [Google Scholar] [CrossRef]
- Pulingam, T.; Parumasivam, T.; Gazzali, A.M.; Sulaiman, A.M.; Chee, J.Y.; Lakshmanan, M.; Chin, C.F.; Sudesh, K. Antimicrobial resistance: Prevalence, economic burden, mechanisms of resistance and strategies to overcome. Eur. J. Pharm. Sci. 2022, 170, 106103. [Google Scholar] [CrossRef]
- Zhang, D.; Li, S.; Fan, M.; Zhao, C. The Novel Compounds with Biological Activity Derived from Soil Fungi in the Past Decade. Drug Des. Devel Ther. 2022, 16, 3493–3555. [Google Scholar] [CrossRef]
- Ibrar, M.; Ullah, M.W.; Manan, S.; Farooq, U.; Rafiq, M.; Hasan, F. Fungi from the extremes of life: An untapped treasure for bioactive compounds. Appl. Microbiol. Biotechnol. 2020, 104, 2777–2801. [Google Scholar] [CrossRef]
- Pina, J.R.S.; Silva-Silva, J.V.; Carvalho, J.M.; Bitencourt, H.R.; Watanabe, L.A.; Fernandes, J.M.P.; de Souza, G.E.; Aguiar, A.C.C.; Guido, R.V.C.; Almeida-Souza, F.; et al. Antiprotozoal and Antibacterial Activity of Ravenelin, a Xanthone Isolated from the Endophytic Fungus Exserohilum Rostratum. Molecules 2021, 26, 3339. [Google Scholar] [CrossRef]
- Varli, M.; Lee, E.Y.; Yang, Y.; Zhou, R.; Tas, I.; Pulat, S.; Gamage, C.D.B.; Park, S.Y.; Hur, J.S.; Nam, S.J.; et al. 1′-O-methyl-averantin isolated from the endolichenic fungus Jackrogersella sp. EL001672 suppresses colorectal cancer stemness via sonic Hedgehog and Notch signaling. Sci. Rep. 2023, 13, 2811. [Google Scholar] [CrossRef]
- Cutler, H.G.; Himmelsbach, D.S.; Yagen, B.; Arrendale, R.F.; Jacyno, J.M.; Cole, P.D.; Cox, R.H. Koninginin B: A Biologically Active Congener of Koninginin A from Trichoderma koningii. J. Agric. Food Chern. 1991, 39, 977–980. [Google Scholar] [CrossRef]
- Parker, S.R.; Cutler, H.G.; Schrelner, P.R. Koninginin C: A Biologically Active Natural Product from Trichoderma koningii. Biosci. Biotech. Biochem. 1995, 59, 1126–1127. [Google Scholar] [CrossRef] [PubMed][Green Version]
- Shi, X.S.; Wang, D.J.; Li, X.M.; Li, H.L.; Meng, L.H.; Li, X.; Pi, Y.; Zhou, X.W.; Wang, B.G. Antimicrobial polyketides from Trichoderma koningiopsis QA-3, an endophytic fungus obtained from the medicinal plant Artemisia argyi. RSC Adv. 2017, 7, 51335–51342. [Google Scholar] [CrossRef]
- Zhou, X.X.; Li, J.; Yang, Y.H.; Zeng, Y.; Zhao, P.J. Three new koninginins from Trichoderma neokongii 8722. Phytochem. Lett. 2014, 8, 137–140. [Google Scholar] [CrossRef]
- Lang, B.Y.; Li, J.; Zhou, X.X.; Chen, Y.H.; Yang, Y.H.; Li, X.N.; Zeng, Y.; Zhao, P.J. Koninginins L and M, two polyketides from Trichoderma koningii 8662. Phytochem. Lett. 2015, 11, 1–4. [Google Scholar] [CrossRef]
- Almassi, F.; Ghisalberti, E.L.; Narbey, M.J.; Sivasithamparam, K. New antibiotics from strains of Trichoderma harzianum. J. Nat. Prod. 1991, 54, 396–402. [Google Scholar] [CrossRef]
- Liu, G.; Wang, Z. Total Synthesis of Koninginin, D., B and E. Synthesis 2001, 1, 119–127. [Google Scholar] [CrossRef]
- Gouveia, D.N.; Guimarães, A.G.; Santos, W.B.R.; Quintans-Junior, L.J. Natural products as a perspective for cancer pain management: A systematic review. Phytomedicine 2019, 58, 152766. [Google Scholar] [CrossRef]
- Luo, H.; Vong, C.T.; Chen, H.; Gao, Y.; Lyu, P.; Qiu, L.; Zhao, M.; Liu, Q.; Cheng, Z.; Zou, J.; et al. Naturally occurring anti-cancer compounds: Shining from Chinese herbal medicine. Chin. Med. 2019, 14, 1–58. [Google Scholar]
- Hu, M.; Li, Q.L.; Yang, Y.B.; Liu, K.; Miao, C.P.; Zhao, L.X.; Ding, Z.T. Koninginins R-S from the endophytic fungus Trichoderma koningiopsis. Nat. Prod. Res. 2016, 31, 835–839. [Google Scholar] [CrossRef]
- Wang, Y.L.; Hu, B.Y.; Qian, M.A.; Wang, Z.H.; Zou, J.M.; Sang, X.Y.; Li, L.; Luo, X.D.; Zhao, L.X. Koninginin W, a New Polyketide from the Endophytic Fungus Trichoderma koningiopsis YIM PH30002. Chem. Biodivers. 2021, 18, e2100460. [Google Scholar] [CrossRef]
- Zin, N.A.; Badaluddin, N.A. Biological functions of Trichoderma spp. for agriculture applications. Ann. Agric. Sci. 2020, 65, 168–178. [Google Scholar] [CrossRef]
- Cutler, H.G.; Himmelsbach, D.S.; Arrendale, R.F.; Cole, P.D.; Cox, R.H. Koninginin A: A Novel Plant Growth Regulator from Trichoderma koning. Agric. Bioi. Chern. 1989, 53, 2605–2611. [Google Scholar]
- Tarawneh, A.H.; León, F.; Radwan, M.M.; Rosa, L.H.; Cutler, S.J. Secondary metabolites from the fungus Emericella nidulans. Nat. Prod. Commun. 2013, 8, 1285–1288. [Google Scholar] [CrossRef] [PubMed]
- Kondo, J.; Hainrichson, M.; Nudelman, I.; Shallom-Shezifi, D.; Barbieri, C.M.; Pilch, D.S.; Westhof, E.; Baasov, T. Differential Selectivity of Natural and Synthetic Aminoglycosides towards the Eukaryotic and Prokaryotic Decoding, A. Sites. ChemBioChem 2007, 8, 1700–1709. [Google Scholar] [CrossRef] [PubMed]
- Brönstrup, M.; Sasse, F. Natural products targeting the elongation phase of eukaryotic protein biosynthesis. Nat. Prod. Rep. 2020, 37, 752–762. [Google Scholar] [CrossRef]
- Wu, H.T.; Lu, F.H.; Su, Y.C.; Ou, H.Y.; Hung, H.C.; Wu, J.S.; Yang, Y.C.; Chang, C.J. In Vivo and In Vitro Anti-Tumor Effects of Fungal Extracts. Molecules 2014, 19, 2546–2556. [Google Scholar] [CrossRef]
- Yang, Y.; Bae, W.C.; Nam, S.J.; Jeong, M.H.; Zhou, R.; Park, S.Y.; Tas, I.; Hwang, Y.H.; Park, M.S.; Chung, I.J.; et al. Acetonic extracts of the endolichenic fungus EL002332 isolated from Endocarpon pusillum exhibits anticancer activity in human gastric cancer Cells. Phytomedicine 2018, 40, 106–115. [Google Scholar] [CrossRef]
- CLSI. Methods for Dilution Antimicrobial Susceptibility Tests for Bacteria That Grow Aerobically, 11th ed.; CLSI Standard M07; Clinical and Laboratory Standars Institute: Wayne, PA, USA, 2018. [Google Scholar]
- Ramos, G.C.; Silva-Silva, J.V.; Watanabe, L.A.; Siqueira, J.E.S.; Almeida-Souza, F.; Calabrese, K.S.; Marinho, A.M.R.; Marinho, P.S.B.; Oliveira, A.S. Phomoxanthone A, Compound of Endophytic Fungi Paecilomyces sp. and Its Potential Antimicrobial and Antiparasitic. Antibiotics 2022, 11, 1332. [Google Scholar] [CrossRef]




| Sample | MIC (µg/mL) | ||||
|---|---|---|---|---|---|
| Bs g | Ec h | Pa i | St j | Sa k | |
| AF a | 500 (=); 125 (−) | >500 | >500 | NT | NT |
| HF b | >500 | >500 | >500 | NT | NT |
| HEF c | >500 | >500 | >500 | NT | NT |
| KA d | 250 (=) | >500 | >500 | >500 | 500 (−) |
| KB e | >500 | >500 | >500 | >500 | 500 (−) |
| KE f | 500 (=); 250 (−) | >500 | >500 | >500 | 500 (=) |
| Amoxicillin | 7.81 (=) | 7.81 (=) | 125 (=) | 7.81 (=) | 7.81 (=) |
| Inhibition Percentage (%) | |||||
|---|---|---|---|---|---|
| Extracts | Cell Lines | ||||
| AGP01 | AGP01 PIWIL1-/- | ACP02 | ACP03 | SK-MEL 19 | |
| NC a | 0 | 0 | 0 | 0 | 0 |
| 5-FU b | 47 | 50 | 40 | 46 | 48 |
| AF c | 54 | 63 | 51 | 51 | 56 |
| HF d | 13 | 20 | 16 | 16 | −3 |
| HEF e | 23 | 21 | 23 | 22 | 14 |
| IC50 (μg/mL) * | ||||||
|---|---|---|---|---|---|---|
| Extracts | Cell Lines | |||||
| AGP01 | AGP01 PIWIL1-/- | ACP02 | ACP03 | SK-MEL 19 | MRC5 | |
| AF a | 39.91 (37.14–42.89) R2= 0.9894 | 31.37 (20.62–47.72) R2= 0.9358 | 28.97 (26.78–31.33) R2= 0.9858 | 45.34 (19.24–106.8) R2= 0.9963 | 22.18 (19.86–24.77) R2= 0.9849 | 29.17 (21.2–40.12) R2= 0.9591 |
| Inhibition Percentage (%) | |||||
|---|---|---|---|---|---|
| Cell Lines | |||||
| Sample | AGP01 | AGP01 PIWIL1-/- | ACP02 | ACP03 | SK-MEL 19 |
| NC a | 0 | 0 | 0 | 0 | 0 |
| 5-FU b | 47 | 50 | 40 | 46 | 48 |
| KA | 54 | 42 | 46 | 45 | 36 |
| KB | 3 | 8 | 14 | 2 | 10 |
| KE | 5 | 3 | −2 | −4 | 7 |
| IC50 (μg/mL) * | ||
|---|---|---|
| Cell Lines | ||
| Sample | AGP01 | ACP02 |
| KA a | 36.43 (24.36–39.52) R2 = 0.9752 | 40.19 (38.22–45.87) R2 = 0.9624 |
Disclaimer/Publisher’s Note: The statements, opinions and data contained in all publications are solely those of the individual author(s) and contributor(s) and not of MDPI and/or the editor(s). MDPI and/or the editor(s) disclaim responsibility for any injury to people or property resulting from any ideas, methods, instructions or products referred to in the content. |
© 2024 by the authors. Licensee MDPI, Basel, Switzerland. This article is an open access article distributed under the terms and conditions of the Creative Commons Attribution (CC BY) license (https://creativecommons.org/licenses/by/4.0/).
Share and Cite
Ramos, G.d.C.; Ramos, I.N.d.F.; Watanabe, L.A.; Castro, L.A.W.; Moraes, A.J.G.d.; Santos, G.R.d.; Siqueira, J.E.d.S.; Khayat, A.S.; Marinho, A.M.d.R.; Marinho, P.S.B. Cytotoxic and Antibacterial Activity of Koninginins Isolated from the Mangrove-Derived Endophytic Fungus Trichoderma sp. Molecules 2024, 29, 5278. https://doi.org/10.3390/molecules29225278
Ramos GdC, Ramos INdF, Watanabe LA, Castro LAW, Moraes AJGd, Santos GRd, Siqueira JEdS, Khayat AS, Marinho AMdR, Marinho PSB. Cytotoxic and Antibacterial Activity of Koninginins Isolated from the Mangrove-Derived Endophytic Fungus Trichoderma sp. Molecules. 2024; 29(22):5278. https://doi.org/10.3390/molecules29225278
Chicago/Turabian StyleRamos, Gisele da Costa, Ingryd Nayara de Farias Ramos, Luciano Almeida Watanabe, Luciana Almeida Watanabe Castro, Alessandra Jackeline Guedes de Moraes, Gleiciane Rodrigues dos Santos, José Edson de Sousa Siqueira, André Salim Khayat, Andrey Moacir do Rosario Marinho, and Patrícia Santana Barbosa Marinho. 2024. "Cytotoxic and Antibacterial Activity of Koninginins Isolated from the Mangrove-Derived Endophytic Fungus Trichoderma sp." Molecules 29, no. 22: 5278. https://doi.org/10.3390/molecules29225278
APA StyleRamos, G. d. C., Ramos, I. N. d. F., Watanabe, L. A., Castro, L. A. W., Moraes, A. J. G. d., Santos, G. R. d., Siqueira, J. E. d. S., Khayat, A. S., Marinho, A. M. d. R., & Marinho, P. S. B. (2024). Cytotoxic and Antibacterial Activity of Koninginins Isolated from the Mangrove-Derived Endophytic Fungus Trichoderma sp. Molecules, 29(22), 5278. https://doi.org/10.3390/molecules29225278

