Alkaloids with Their Protective Effects Against Aβ25-35-Induced PC-12 Cell Injury from the Tubers of Pinellia pedatisecta Schott
Abstract
1. Introduction
2. Results and Discussion
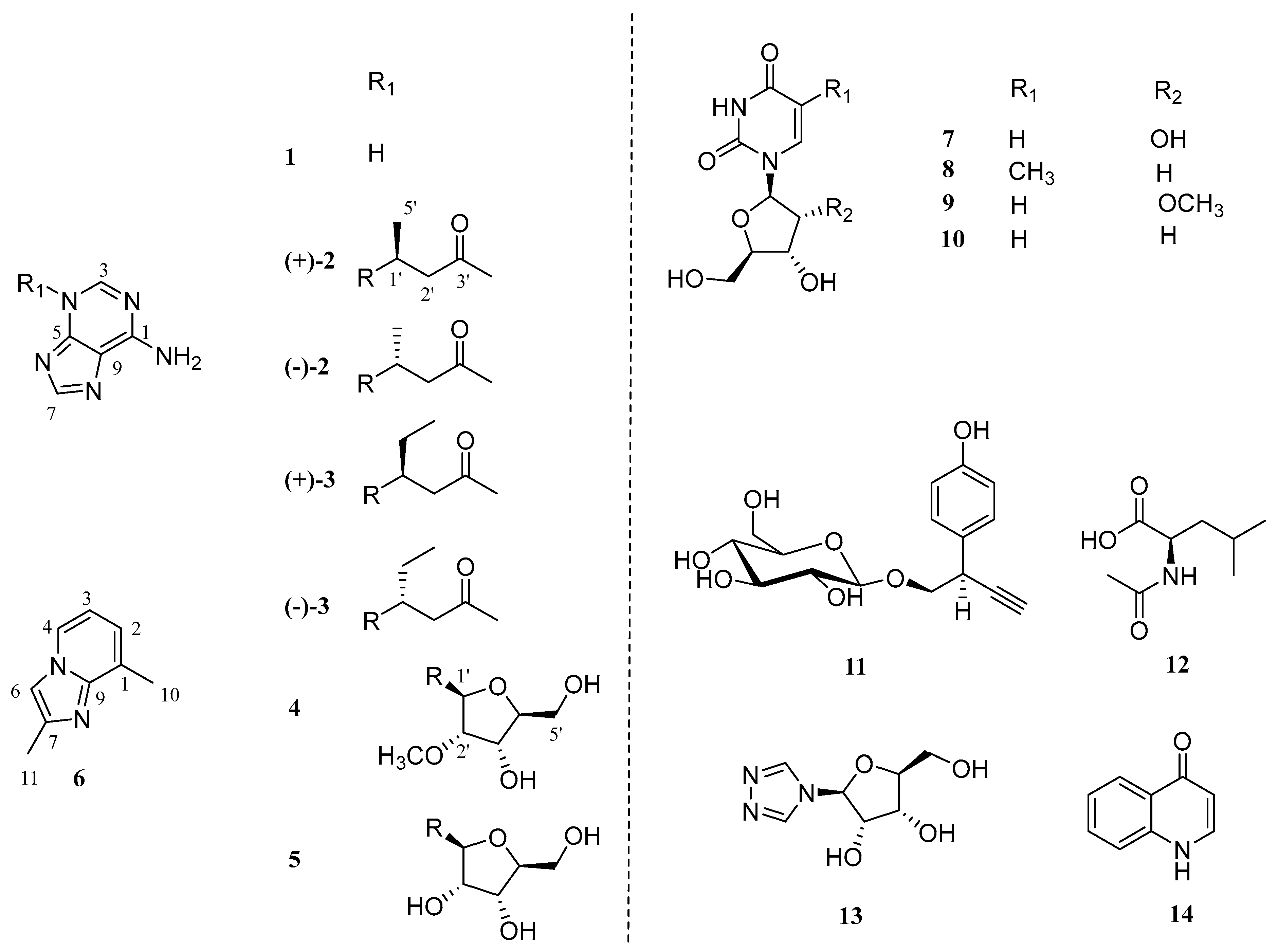
2.1. Structure Characterization
2.2. Biological Activity
3. Experimental Section
3.1. General Experimental Procedures
3.2. Plant Material
3.3. Extraction and Isolation
3.4. Computational Analysis
3.5. MTT Assay
3.6. Flow Cytometry
3.7. Statistical Analyses
4. Conclusions
Supplementary Materials
Author Contributions
Funding
Institutional Review Board Statement
Informed Consent Statement
Data Availability Statement
Conflicts of Interest
References
- Gong, J.H.; Wang, J.M.; Zhang, Z.L.; Wan, Y.; Zheng, X.K.; Feng, W.S. Advances in chemical constituents and pharmacological activities of Pinellia pedatisecta Schott. Henan Sci. 2020, 38, 386–396. [Google Scholar]
- Jing, Y.; Lai, Y.Y.; Chen, H.; Li, M.; Zhou, J.; Lan, Z.L. Study on the identification of Pinelliae rhizoma and Pinelliae pedatisectae rhizoma based on the characteristic component triglochinic acid. RSC Adv. 2019, 9, 11774–11780. [Google Scholar] [CrossRef] [PubMed]
- Du, J.; Ding, J.; Mu, Z.Q.; Guan, S.H.; Cheng, C.R.; Liu, X.; Guo, D.A. Three new alkaloids isolated from the stem tuber of Pinellia pedatisecta. Chin. J. Nat. Med. 2018, 16, 139–142. [Google Scholar] [CrossRef] [PubMed]
- Liu, X.C.; Tian, X.P.; Liu, T.; Liang, J.L. Disclosure of the Tuberous Lectin Composed of Homogeneous Tetramers in Pinellia pedatisecda Schott. Appl. Biochem. Biotechnol. 2010, 162, 1214–1223. [Google Scholar] [CrossRef] [PubMed]
- Wang, R.; Wen, Y.S.; Yang, L.; Qin, W.J.; Ma, L.B.; Tu, G.Z. Studies on the chemical constituents of Rhizoma Pinellia pedatisecta. China J. Chin. Mater. Med. 1997, 22, 421–423. [Google Scholar]
- Kong, K.; Huang, Z.D.; Shi, S.P.; Pan, W.D.; Zhang, Y.L. Diversity, antibacterial and phytotoxic activities of culturable endophytic fungi from Pinellia pedatisecta and Pinellia ternata. BMC Microbiol. 2023, 23, 30. [Google Scholar] [CrossRef]
- Tao, T.; Zhang, P.; Zeng, Z.; Wang, M. Advances in autophagy modulation of natural products in cervical cancer. J. Ethnopharmacol. 2023, 314, 116575. [Google Scholar] [CrossRef]
- Wang, W.; Mao, S.H.; Yu, H.L.; Wu, H.; Shan, X.L.; Zhang, X.D.; Cui, G.J.; Liu, X.Q. Pinellia pedatisecta lectin exerts a proinflammatory activity correlated with ROS-MAPKs/NF-κB pathways and the NLRP3 inflammasome in RAW264.7 cells accompanied by cell pyroptosis. Int. Immunopharmacol. 2019, 66, 1–12. [Google Scholar] [CrossRef]
- Cao, B.; Zeng, M.N.; Hao, F.X.; Hao, Z.Y.; Liang, X.W.; Zhang, Z.K.; Wu, Y.Y.; Zhang, Y.H.; Wang, R.; Feng, W.S.; et al. Cornus officinalis Sieb. Et Zucc. attenuates Aβ25-35-induced mitochondrial damage and neuroinffammation in mice by modulating the ERK pathway. Phytomedicine 2024, 129, 155709. [Google Scholar] [CrossRef]
- Liu, F.; Hong, X.Q.; Liu, Y.; Yu, Z. Glycolysis disorder is an important feature of Alzheimer’s disease. Asian J. Surg. 2024, 47, 4246–4248. [Google Scholar] [CrossRef]
- Alshammari, S.O. Computational insight of oleracone L, portulacatone B, and portulacatal from Portulaca oleracea L. as potential anticholinesterase inhibitors for Alzheimer’s. Processes 2024, 12, 1456. [Google Scholar] [CrossRef]
- Vrabec, R.; Maríková, J.; Locárek, M.; Korábecny, J.; Hulcová, D.; Hostálková, A.; Kunes, J.; Chlebek, J.; Kucera, T.; Hrabinová, M.; et al. Monoterpene indole alkaloids from Vinca mminor L. (Apocynaceae): Identification of new structural scaffold for treatment of Alzheimer’s disease. Phytochemistry 2022, 194, 113017. [Google Scholar] [CrossRef] [PubMed]
- Wenzek, F.; Biallas, A.; Müller, S. Nicotinamide riboside: What it takes to incorporate it into RNA. Molecules 2024, 29, 3788. [Google Scholar] [CrossRef] [PubMed]
- Chen, M.; Wu, X.D.; Shen, N.X.; Wang, C.Y. Four new 6-oxy purine alkaloids from the South China Sea Sponge, Haliclona cymaeformis. J. Ocean. Univ. China 2017, 16, 1183–1186. [Google Scholar] [CrossRef]
- Cao, Y.G.; Wang, J.C.; Wang, M.N.; He, Y.H.; Li, H.W.; Hao, Z.Y.; Zheng, X.K.; Feng, W.S. Chemical constituents from the flower buds of Magnolia biondii and their in vitro acetylcholinesterase inhibitory activities. Chin. Tradit. Pat. Med. 2024, 46, 2278–2283. [Google Scholar]
- Aubuchon, L.N.; Schmiederer, K.; Lee, S.G. Comparative structural analysis of plant uridine diphosphate (UDP)-dependent glycosyltransferases (UGTs) in plant specialized metabolism: Structures of plant UGTs for biosynthesis of steviol glycosides. Phytochem. Rev. 2023, 22, 385–406. [Google Scholar] [CrossRef]
- Harada, N.; Nagasaki, H.; Yamamoto, H.; Matsubara, K.; Suzuki, T.; Gomori, A.; Yokogawa, T.; Matsuo, K.; Miyadera, K. Depletion of plasma thymidine results in growth retardation and mitochondrial myopathy in mice overexpressing human thymidine phosphorylase. J. Biol. Chem. 2023, 299, 103002. [Google Scholar] [CrossRef]
- Lozac’h, F.; Christensen, J.; Faller, T.; Krauser, J.; Garnier, M.; Litherland, K.; Catoire, A.; Natt, F.; Hunziker, J.; Swart, P. ADME studies of [5-(3)H]-2′-O-methyluridine nucleoside in mice: A building block in siRNA therapeutics. Pharmacol. Res. Perspect. 2016, 4, e00209. [Google Scholar] [CrossRef]
- Michalska, L.; Wawrzyniak, D.; Szymanska-Michalak, A.; Barciszewski, J.; Boryski, J.; Baraniak, D. Synthesis and biological assay of new 2′-deoxyuridine dimers containing a 1,2,3-triazole linker. Part I. Nucleosides Nucleotides Nucleic Acids 2019, 38, 218–235. [Google Scholar] [CrossRef]
- Tsukioka, J.; Ohki, Y.; Nakao, M.; Nakamura, S. Quantitative analysis of taxiphyllin, a cyanogenic glycoside, in the leaves of Hydrangea macrophylla var. thunbergii. J. Nat. Med. 2023, 77, 978–985. [Google Scholar] [CrossRef]
- Martakis, K.; Claassen, J.; Gascon-Bayari, J.; Goldschagg, N.; Hahn, A.; Hassan, A.; Hennig, A.; Jones, S.; Kay, R.; Lau, H.; et al. Efficacy and safety of N-acetyl-L-leucine in children and adults with GM2 gangliosidoses. Neurology 2023, 100, e1072–e1083. [Google Scholar] [CrossRef] [PubMed]
- Ding, Y.; Zhang, J.; Chen, Y.Q. Synthesis of ribonucleoside analogues containing thio-substituted 1,3,4-triazole as heterocyclic base. Chin. J. Chem. 1997, 15, 379–384. [Google Scholar] [CrossRef]
- Bu, L.; Peng, C.; Liu, F.; Meng, C.W.; Guo, L.; Zhou, Q.M.; Xiong, L. A novel diterpene glycoside from Leonurus japonicus. Chin. Tradit. Herb. Drugs 2022, 53, 8–13. [Google Scholar]
- Millucci, L.; Ghezzi, L.; Bernardini, G.; Santucci, A. Conformations and biological activities of amyloid beta peptide 25-35. Curr. Protein Pept. Sci. 2010, 11, 54–67. [Google Scholar] [CrossRef]
- Gajendra, K.; Pratap, G.K.; Poornima, D.V.; Shantaram, M.; Ranjita, G. Natural acetylcholinesterase inhibitors: A multi-targeted therapeutic potential in Alzheimer’s disease. Eur. J. Med. Chem. 2024, 11, 100154. [Google Scholar] [CrossRef]
- Li, S.; Wei, Y.L.; Liang, Z.Z.; Guo, L.L.; Hao, X.J.; Zhang, Y. Review on dietary supplements as an effective improvement of Alzheimer’s disease: Focus on structures and mechanisms. Food Sci. Hum. Wellness 2024, 13, 1787–1805. [Google Scholar] [CrossRef]
- Cao, Y.G.; Zhang, Y.L.; Zeng, M.N.; Qi, M.; Ren, Y.J.; Liu, Y.L.; Zhao, X.; Zheng, X.K.; Feng, W.S. Renoprotective mono- and triterpenoids from the fruit of Gardenia jasminoides. J. Nat. Prod. 2020, 83, 1118–1130. [Google Scholar] [CrossRef]







| Position | 1 | 2 | ||||
|---|---|---|---|---|---|---|
| δH (J in Hz) | δC (Type) | HMBC(H→C) | δH (J in Hz) | δC (Type) | HMBC(H→C) | |
| 1 | 153.1 (C) | 153.5 (C) | ||||
| 3 | 8.38 (s) | 146.3 (CH) | 1, 5 | 8.33 (s) | 147.3 (CH) | 1, 5 |
| 5 | 151.0 (C) | 150.5 (C) | ||||
| 7 | 8.33 (s) | 144.1 (CH) | 5, 9 | 8.31 (s) | 143.9 (CH) | 5, 9 |
| 9 | 117.5 (C) | 120.2 (C) | ||||
| 1′ | 5.14 (m) | 49.9 (CH) | 3, 5, 2′, 3′, 5′; | |||
| 2′ | 3.45 (dd, 18.2, 8.2) 2.68 (dd, 18.2, 5.5) | 49.6 (CH2) | 1′, 3′, 4′, 5′ | |||
| 3′ | 207.5 (C) | |||||
| 4′ | 2.11 (s) | 30.0 (CH3) | 2′, 3′ | |||
| 5′ | 1.62 (d, 6.9) | 20.7 (CH3) | 1′, 2′ | |||
| Position | 3 | 4 | ||||
|---|---|---|---|---|---|---|
| δH (J in Hz) | δC (Type) | HMBC(H→C) | δH (J in Hz) | δC (Type) | HMBC(H→C) | |
| 1 | 154.0 (C) | 154.1 (C) | ||||
| 3 | 8.26 (s) | 149.8 (CH) | 1, 5 | 8.56 (s) | 148.5 (CH) | 1, 5 |
| 5 | 150.5 (C) | 149.8 (C) | ||||
| 7 | 8.26 (s) | 143.7 (CH) | 5, 9 | 8.33 (s) | 143.1 (CH) | 5, 9 |
| 9 | 120.2 (C) | 120.7 (C) | ||||
| 1′ | 4.86 (m) | 55.6 (CH) | 3, 5, 2′, 3′, 5′ | 6.15 (d, 5.1) | 88.8 (CH) | 3, 5, 2′, 3′, 5′ |
| 2′ | 3.47 (dd, 18.2, 8.9) 3.19 (dd, 18.2, 4.8) | 47.6 (CH2) | 1′, 3′, 4′, 5′ | 4.34 (t, 5.0) | 85.2 (CH) | 1′, 3′, 4′, 6′ |
| 3′ | 207.7 (C) | 4.48 (t, 4.5) | 70.5 (CH) | 1′, 2′, 4′, 5′ | ||
| 4′ | 2.09 (s) | 30.0 (CH3) | 2′, 3′ | 4.14 (m) | 87.9 (CH) | 1′, 2′, 3′, 5′ |
| 5′ | 2.10 (m) 1.93 (m) | 28.4 (CH2) | 1′, 2′, 6′ | 3.89 (dd, 12.4, 2.7) 3.77 (dd, 12.4, 3.0) | 62.6 (CH2) | 3′, 4′ |
| 6′ | 0.79 (t, 7.4) | 10.7 (CH3) | 1′, 5′ | 3.47 (s) | 58.8 (CH3) | 2′ |
| Position | 5 | 6 | ||||
|---|---|---|---|---|---|---|
| δH (J in Hz) | δC (Type) | HMBC(H→C) | δH (J in Hz) | δC (Type) | HMBC(H→C) | |
| 1 | 152.8 (C) | 127.2 (C) | ||||
| 2 | 7.88 (d, 4.4) | 116.2 (CH) | 4, 9, 10 | |||
| 3 | 8.60 (s) | 146.6 (CH) | 1, 5 | 7.39 (dd, 4.4, 2.6) | 121.0 (CH) | 1, 2, 4 |
| 4 | 8.14 (d, 1.7) | 122.8 (CH) | 2, 6, 9 | |||
| 5 | 149.8 (C) | |||||
| 6 | 7.44 (s) | 114.1 (CH) | 4, 9, 11 | |||
| 7 | 8.33 (s) | 143.7 (CH) | 5, 9 | 130.7 (C) | ||
| 9 | 120.5 (C) | 149.5 (C) | ||||
| 10 | 2.93 (s) | 16.9 (CH3) | 1, 2, 9 | |||
| 11 | 2.68 (s) | 15.5 (CH3) | 6, 7 | |||
| 1′ | 6.09 (d, 5.4) | 90.6 (CH) | 3, 5, 2′, 3′, 5′ | |||
| 2′ | 4.34 (t, 5.0) | 76.4 (CH) | 1′, 3′, 4′, 6′ | |||
| 3′ | 4.63 (t, 5.2) | 72.0 (CH) | 1′, 2′, 4′, 5′ | |||
| 4′ | 4.15 (m) | 87.6 (CH) | 1′, 2′, 3′, 5′ | |||
| 5′ | 3.88 (dd, 12.3, 3.0) 3.78 (dd, 12.3, 3.3) | 62.7 (CH2) | 3′, 4′ | |||
Disclaimer/Publisher’s Note: The statements, opinions and data contained in all publications are solely those of the individual author(s) and contributor(s) and not of MDPI and/or the editor(s). MDPI and/or the editor(s) disclaim responsibility for any injury to people or property resulting from any ideas, methods, instructions or products referred to in the content. |
© 2024 by the authors. Licensee MDPI, Basel, Switzerland. This article is an open access article distributed under the terms and conditions of the Creative Commons Attribution (CC BY) license (https://creativecommons.org/licenses/by/4.0/).
Share and Cite
Chen, X.; Cao, Y.; Ye, K.; Liu, Y.; Chi, F.; Niu, Y.; Lu, D.; Zhao, B.; Chen, L.; Zheng, X.; et al. Alkaloids with Their Protective Effects Against Aβ25-35-Induced PC-12 Cell Injury from the Tubers of Pinellia pedatisecta Schott. Molecules 2024, 29, 5059. https://doi.org/10.3390/molecules29215059
Chen X, Cao Y, Ye K, Liu Y, Chi F, Niu Y, Lu D, Zhao B, Chen L, Zheng X, et al. Alkaloids with Their Protective Effects Against Aβ25-35-Induced PC-12 Cell Injury from the Tubers of Pinellia pedatisecta Schott. Molecules. 2024; 29(21):5059. https://doi.org/10.3390/molecules29215059
Chicago/Turabian StyleChen, Xu, Yangang Cao, Kaili Ye, Yanling Liu, Fangge Chi, Ying Niu, Di Lu, Bingxian Zhao, Lan Chen, Xiaoke Zheng, and et al. 2024. "Alkaloids with Their Protective Effects Against Aβ25-35-Induced PC-12 Cell Injury from the Tubers of Pinellia pedatisecta Schott" Molecules 29, no. 21: 5059. https://doi.org/10.3390/molecules29215059
APA StyleChen, X., Cao, Y., Ye, K., Liu, Y., Chi, F., Niu, Y., Lu, D., Zhao, B., Chen, L., Zheng, X., & Feng, W. (2024). Alkaloids with Their Protective Effects Against Aβ25-35-Induced PC-12 Cell Injury from the Tubers of Pinellia pedatisecta Schott. Molecules, 29(21), 5059. https://doi.org/10.3390/molecules29215059
