Synthesis, Urease Inhibition, Molecular Docking, and Optical Analysis of a Symmetrical Schiff Base and Its Selected Metal Complexes
Abstract
1. Introduction
2. Results and Discussion
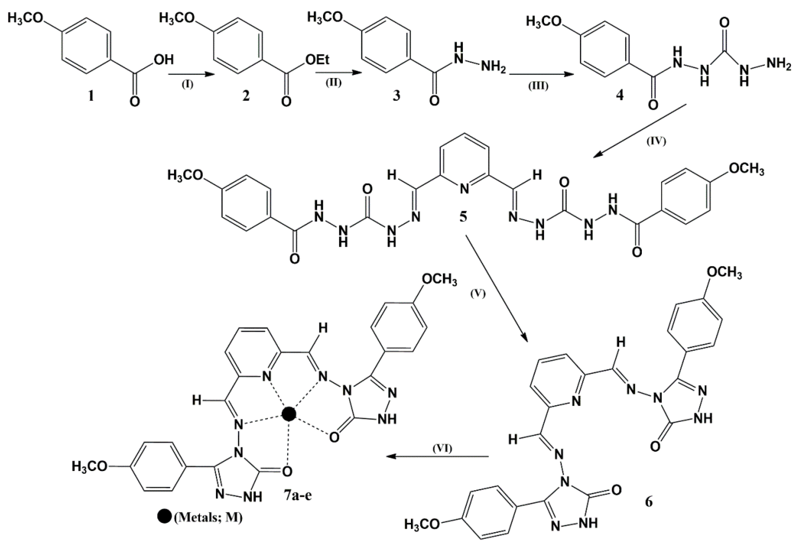
2.1. Synthesis of Ligand and Its Metal Complexes
2.2. Optical Analysis
2.2.1. UV–Visible Absorption Analysis
2.2.2. Solvent Tolerance
2.2.3. Fluorescence Analysis
2.3. Bioevaluation
2.3.1. Urease Inhibition Activity
2.3.2. Mechanism Underlying Compounds 7c and 7d’s Inhibitory Action
2.4. Molecular Docking
3. Experimental
3.1. Substrate and Reagents
3.2. Instrumentations
3.3. Characterization of Schiff Base Ligand 6
3.3.1. 4,4′-((1E,1′E)-(Pyridine-2,6-diylbis(methanylylidene))bis(azanylylidene))bis(3-(4-methoxyphenyl)-1H-1,2,4-triazol-5(4H)-one) (6)
3.3.2. Synthesis of 6-Metal Complexes 7a–e
Ligand–Fe(II) Complex (7a)
Ligand–Co(II) Complex (7b)
Ligand–Ni(II) Complex (7c)
Ligand–Cu(II) Complex (7d)
Ligand–Zn(II) Complex (7e)
3.4. Spectroscopic Analysis
3.5. Enzyme Inhibition
3.6. Enzyme Kinetics
3.7. Docking Analysis
4. Conclusions
Supplementary Materials
Author Contributions
Funding
Institutional Review Board Statement
Informed Consent Statement
Data Availability Statement
Conflicts of Interest
References
- Macegoniuk, K.; Grela, E.; Palus, J.; Rudzińska-Szostak, E.; Grabowiecka, A.; Biernat, M.; Berlicki, L. 1,2-Benzisoselenazol-3(2H)-one Derivatives As a New Class of Bacterial Urease Inhibitors. J. Med. Chem. 2016, 59, 8125–8133. [Google Scholar] [CrossRef] [PubMed]
- Zambelli, B.; Musiani, F.; Benini, S.; Ciurli, S. Chemistry Of Ni2+ In Urease: Sensing, Trafficking, and Catalysis. Acc. Chem. Res. 2011, 44, 520–530. [Google Scholar] [CrossRef]
- Al-Rooqi, M.A.; Mughal, E.U.; Raja, Q.A.; Hussein, E.M.; Naeem, N.; Sadiq, A.; Asghar, B.H.; Moussa, Z.; Ahmed, S.A. Flavonoids and related privileged scaffolds as potential urease inhibitors: A review. RSC Adv. 2023, 13, 3210–3233. [Google Scholar] [CrossRef] [PubMed]
- Ali, F.; Shamim, S.; Lateef, M.; Khan, K.M.; Taha, M.; Salar, U.; Wadood, A.; Rehman, A.; Nawaz, N.U.A.; Perveen, S. N-Aryl-3,4-dihydroisoquinoline Carbothioamide Analogues as Potential Urease Inhibitors. ACS Omega 2021, 6, 15794–15803. [Google Scholar] [CrossRef]
- Aslam, M.; Rahman, J.; Iqbal, A.; Mujtaba, S.; Ashok, A.K.; Kaouche, F.C.; Hayat, M.M.; Nisa, M.U.; Ashraf, M. Antiurease Activity of Antibiotics: In Vitro, In Silico, Structure Activity Relationship, and MD Simulations of Cephalosporins and Fluoroquinolones. ACS Omega 2024, 9, 14005–14016. [Google Scholar] [CrossRef]
- Aniceto, N.; Bonifacio, V.D.B.; Guedes, R.C.; Martinho, N. Exploring the Chemical Space of Urease Inhibitors to Extract Meaningful Trends and Drivers of Activity. J. Chem. Inf. Model. 2022, 62, 3535–3550. [Google Scholar] [CrossRef]
- Samori, C.; Mazzei, L.; Guidi, E.; Buscaroli, A.; Pasteris, A.; Rombolà, A.; Zannoni, D.; Galletti, P. Water-Soluble Pyrolysis Products as Novel Urease Inhibitors Safe for Plants and Soil Fauna. ACS Sustain. Chem. Eng. 2023, 11, 9216–9224. [Google Scholar] [CrossRef]
- Milo, S.; Heylen, R.A.; Glancy, J.; Williams, G.T.; Patenall, B.L.; Hathaway, H.J.; Thet, N.T.; Allinson, S.L.; Laabei, M.; Jenkins, A.T.A. A small-molecular inhibitor against Proteus mirabilis urease to treat catheter associated urinary tract infections. Sci. Rep. 2021, 11, 3726. [Google Scholar] [CrossRef] [PubMed]
- Modolo, L.V.; da-Silva, C.J.; Brandão, D.S.; Chaves, I.S. A minireview on what we have learned about urease inhibitors of agricultural interest since mid-2000sq. J. Adv. Res. 2018, 13, 29–37. [Google Scholar] [CrossRef]
- Pedrood, K.; Azizian, H.; Montazer, M.N.; Mohammadi-Khanaposhtani, M.; Asgari, M.S.; Asadi, M.; Bahadorikhalili, S.; Rastegar, H.; Larijani, B.; Amanlou, M.; et al. Arylmethylene hydrazine derivatives containing 1,3-dimethylbarbituric moiety as novel urease inhibitors. Sci. Rep. 2021, 11, 10607. [Google Scholar] [CrossRef]
- Rizvi, F.; Khan, M.; Jabeen, A.; Siddiqui, H.; Choudhary, M.I. Studies on Isoniazid Derivatives through a Medicinal Chemistry Approach for the Identification of New Inhibitors of Urease and Inflammatory Markers. Sci. Rep. 2019, 9, 6738. [Google Scholar] [CrossRef] [PubMed]
- Mehmood, R.; Sadiq, A.; Alsantali, R.I.; Mughal, E.U.; Alsharif, M.A.; Naeem, N.; Javid, A.; Al-Rooqi, M.M.; Chaudhry, G.S.; Ahmed, S.A. Synthesis and Evaluation of 1,3,5-Triaryl-2-Pyrazoline Derivatives as Potent Dual Inhibitors of Urease and α-Glucosidase Together with Their Cytotoxic, Molecular Modeling and Drug-Likeness Studies. ACS Omega 2022, 7, 3775–3795. [Google Scholar] [CrossRef] [PubMed]
- Hamad, A.; Khan, M.A.; Ahmad, I.; Khalil, R.; Khalid, M.; Abbas, U.; Azhar, R.; Uddin, J.; Batiha, G.E.; Khan, A.; et al. Bio-oriented synthesis of new sulphadiazine derivatives for urease inhibition and theirpharmacokinetic analysis. Sci. Rep. 2021, 11, 18973. [Google Scholar] [CrossRef] [PubMed]
- Tabor, W.; Katsogiannou, A.; Karta, D.; Andrianopoulou, E.; Berlicki, L.; Vassiliou, S.; Grabowiecka, A. Exploration of Thiourea-Based Scaffolds for the Construction of Bacterial Ureases Inhibitors. ACS Omega 2023, 8, 28783–28796. [Google Scholar] [CrossRef]
- Dastyafteh, N.; Noori, M.; Montazer, M.N.; Zomorodian, K.; Yazdanpanah, S.; Iraji, A.; Ghomi, M.K.; Javanshir, S.; Asadi, M.; Dianatpour, M.; et al. New thioxothiazolidinyl acetamides derivatives as potent urease inhibitors: Design, synthesis, in vitro inhibition, and molecular dynamic simulation. Sci. Rep. 2023, 13, 21. [Google Scholar] [CrossRef]
- Sohrabi, M.; Montazer, M.N.; Farid, S.M.; Tanideh, N.; Dianatpour, M.; Moazzam, A.; Zomorodian, K.; Yazdanpanah, S.; Asadi, M.; Hosseini, S.; et al. Design and synthesis of novel nitrothiazolacetamide conjugated to different thioquinazolinone derivatives as anti-urease agents. Sci. Rep. 2022, 12, 2003. [Google Scholar] [CrossRef]
- Taha, M.; Rahim, F.; Khan, A.A.; Anouar, E.H.; Ahmed, N.; Shah, S.A.A.; Ibrahim, M.I.; Zakari, Z.A. Synthesis of diindolylmethane (DIM) bearing thiadiazole derivatives as a potent urease inhibitor. Sci. Rep. 2020, 10, 7969. [Google Scholar] [CrossRef]
- Elbastawesy, M.A.I.; Aly, A.A.; El-Shaier, Y.A.M.; Brown, A.B.; El-Din, G.; Abuo-Rahma, A.; Ramadan, M. New 4-thiazolidinone/quinoline-2-ones scaffold: Design, synthesis, docking studies and biological evaluation as potential urease inhibitors. J. Mol. Struct. 2021, 1244, 130845. [Google Scholar] [CrossRef]
- Li, Y.X.; Duan, W.L.; Zhai, X.T.; Luan, J.; Guo, F. Synthesis of dual-functional pyrazole-based transition metal complexes for improved urease and nitrification activities. Inorganica Chim. Acta 2022, 543, 121184. [Google Scholar] [CrossRef]
- Kaya, M.; Mente, E.; Bilg, B.; Sökmen, B.B.; Akçay, H.T. The Determination of Molecular Dynamic Properties of Novel 5-Oxo-1,2,4-Triazole Phthalocyanines and Investigation of Their Urease Inhibition Properties. J. Mol. Struct. 2020, 1222, 128870. [Google Scholar] [CrossRef]
- Gültekin, E.; Bekircan, O.; Kara, Y.; Güler, H.I.; Soylu, M.S.; Kolaylı, S. 1,3,4-Thiadiazole and 1,2,4-triazole-5-thione derivatives bearing 2-pentyl-5-phenyl-2,4-dihydro-3H-1,2,4-triazole-3- one ring: Synthesis, molecular docking, urease inhibition, and crystal structure. Arch. Pharm. 2023, 356, e2200355. [Google Scholar] [CrossRef] [PubMed]
- Uddin, J.; Ullah, S.; Halim, S.A.; Waqas, M.; Ibrar, A.; Khan, I.; Muhsinah, A.B.; Khan, A.; Al-Harrasi, A. Triazolothiadiazoles and Triazolothiadiazines as New and Potent Urease Inhibitors: Insights from In Vitro Assay, Kinetics Data, and In Silico Assessment. ACS Omega 2023, 8, 31890–31898. [Google Scholar] [CrossRef] [PubMed]
- Fátima, A.D.; Pereira, C.P.; Olímpioa, C.R.S.D.G.; Oliveira, B.G.F.; Franco, L.L.; Silva, P.H.C. Schiff bases and their metal complexes as urease inhibitors-a brief review. J. Adv. Res. 2018, 13, 113–126. [Google Scholar] [CrossRef] [PubMed]
- Zhang, W.; Wang, H.; Ding, C.; Lei, Y.; Yin, C.; Wang, R.; Yang, Q.; Wu, T.; Zhang, M. Bioactivity and computational studies on the induction of urease inhibition by three Cu(II) complexes with a fluorinated Schiff base and different secondary ligands. Inorg. Chem. Commun. 2024, 159, 111780. [Google Scholar] [CrossRef]
- Wang, H.; Xu, C.; Zhang, X.; Zhang, D.; Jin, F.; Fan, Y. Urease inhibition studies of six Ni(II), Co(II) and Cu(II) complexes with two sexidentate N2O4-donor bis-Schiff base ligands: An experimental and DFT computational study. J. Inorg. Biochem. 2020, 204, 110959. [Google Scholar] [CrossRef]
- Mazzei, L.; Wenzel, M.N.; Cianci, M.; Palombo, M.; Casini, A.; Ciurli, S. Inhibition Mechanism of Urease by Au(III) Compounds Unveiled by X-ray Diffraction Analysis. ACS Med. Chem. Lett. 2019, 10, 564–570. [Google Scholar] [CrossRef]
- You, Z.L.; Shi, D.H.; Zhang, J.C.; Maa, Y.P.; Wang, C.; Li, K. Synthesis, structures, and urease inhibitory activities of oxovanadium(V) complexes with Schiff bases. Inorganica Chim. Acta 2012, 384, 54–61. [Google Scholar] [CrossRef]
- Zhu, Y.; Li, X.; Li, Y.; Wang, Q.; Lu, X. Synthesis, structures and urease inhibitory activities of three silver(I) complexes derived from 2,6-dichlorophenylacetic acid. Inorganica Chim. Acta 2019, 484, 42–46. [Google Scholar] [CrossRef]
- Shah, S.R.; Khan, M.; Halim, S.A.; Ali, W.; Karim, A.; Khan, A.; Shah, Z.; Al-Harrasi, A.; Anwar, M.U. Urease inhibition and molecular docking studies on transition metal complexes of ligands derived from barbituric and thiobarbituric acids. Appl. Organomet. Chem. 2024, 38, e7466. [Google Scholar] [CrossRef]
- You, Z.L.; Han, X.; Zhang, G.N. Synthesis, Crystal Structures, and Urease Inhibitory Activities of Three Novel Thiocyanato-bridged Polynuclear Schiff Base Cadmium(II) Complexes. Z. Anorg. Allg. Chem. 2008, 634, 142–146. [Google Scholar] [CrossRef]
- Barakat, A.; Soliman, S.M.; Ali, M.; Elmarghany, A.; Al-Majid, A.M.; Yousuf, S.; Ul-Haq, Z.; Choudhary, M.I.; El-Faham, A. Synthesis, crystal structure, evaluation of urease inhibition potential and the docking studies of cobalt(III) complex based on barbituric acid Schiff base ligand. Inorganica Chim. Acta 2020, 503, 119405. [Google Scholar] [CrossRef]
- Zheng, J.; Yue, R.; Yang, R.; Wu, Q.; Wu, Y.; Huang, M.; Liao, Y. Visualization of zika virus infection via a light-initiated bio-orthogonal cycloaddition labeling strategy. Front. Bioeng. Biotechnol. 2022, 10, 940511. [Google Scholar] [CrossRef] [PubMed]
- Hu, S.; Jiang, S.; Qi, X.; Bai, R.; Ye, X.; Xie, T. Races of small molecule clinical trials for the treatment of COVID-19: An up-to-date comprehensive review. Drug Dev. Res. 2022, 83, 16–54. [Google Scholar] [CrossRef]
- Zhu, J.; Jiang, X.; Luo, X.; Zhao, R.; Li, J.; Cai, H.; Xie, T. Combination of chemotherapy and gaseous signaling molecular therapy: Novel β-elemene nitric oxide donor derivatives against leukemia. Drug Dev. Res. 2023, 84, 718–735. [Google Scholar] [CrossRef]
- Asgari, M.S.; Azizian, H.; Montazer, M.N.; Mohammadi-Khanaposhtani, M.; Asadi, M.; Sepehri, S.; Ranjbar, P.R.; Rahimi, R.; Biglar, M.; Larijani, B.; et al. New 1,2,3-triazole–(thio)barbituric acid hybrids as urease inhibitors: Design, synthesis, in vitro urease inhibition, docking study, and molecular dynamic simulation. Arch. Pharm. 2020, 353, e2000023. [Google Scholar] [CrossRef] [PubMed]
- Moghimi, S.; Goli-Garmroodi, F.; Allahyari-Devin, M.; Pilali, H.; Hassanzadeh, M.; Mahernia, S.; Mahdavi, M.; Firoozpour, L.; Amanlou, M.; Foroumadi, A. Synthesis, evaluation, and molecular docking studies of aryl urea-triazole-based derivatives as anti-urease agents. Arch. Pharm. Chem. Life Sci. 2018, 351, e1800005. [Google Scholar] [CrossRef]
- Xu, Y.P.; Chen, Y.H.; Chen, Z.J.; Qin, J.; Qian, S.S.; Zhu, H.L. Synthesis, Crystal Structures, Molecular Docking, and Urease Inhibitory Activities of Transition-Metal Complexes with a 1,2,4-Triazolecarboxylic Acid Derived Ligand. Eur. J. Inorg. Chem. 2015, 2015, 2076–2084. [Google Scholar] [CrossRef]
- Fang, Z.Y.; Zhang, L.; Ma, J.P.; Zhao, L.; Wang, S.L.; Xie, N.H.; Liu, Y.Q.; Guo, X.Y.; Qin, J. Dinuclear cobalt and nickel complexes of a mercaptoacetic acid substituted 1,2,4-triazole ligand: Syntheses, structures and urease inhibitory studies. Acta Crystallogr. C 2019, C75, 1658–1665. [Google Scholar] [CrossRef]
- Xu, Y.P.; Qin, J.; Sun, S.M.; Liu, T.T.; Zhang, X.L.; Qian, S.S.; Zhu, H.L. Synthesis, crystal structures, molecular docking and urease inhibitory activity of nickel(II) complexes with 3-pyridinyl-4-amino-5-mercapto-1,2,4-triazole. Inorganica Chim. Acta 2014, 423, 469–476. [Google Scholar] [CrossRef]
- Rattanangkool, E.; Kittikhunnatham, P.; Damsud, T.; Wacharasindhu, S.; Phuwapraisirisan, P. Quercitylcinnamates, a new series of antidiabetic bioconjugates possessing a-glucosidase inhibition and antioxidant. Eur. J. Med. Chem. 2013, 66, 296–304. [Google Scholar] [CrossRef]
- Tahir, T.; Tabassum, R.; Javed, Q.; Ali, A.; Ashfaq, M.; Shahzad, M.I. Synthesis, kinetics, structure-activity relationship and in silico ADME studies of new diazenyl azo-phenol derivatives against urease, SARS-CoV-2 main protease (Mpro) and ribosomal protein S1 (RpsA) of Mycobacterium tuberculosis. J. Mol. Struct. 2022, 1254, 132336. [Google Scholar] [CrossRef]
- Chen, L.; Jiang, Z.; Yang, L.; Fang, Y.; Lu, S.; Akakuru, O.U.; Wu, A. HPDA/Zn as a CREB Inhibitor for Ultrasound Imaging and Stabilization of Atherosclerosis Plaque. Chin. J. Chem. 2023, 41, 199–206. [Google Scholar] [CrossRef]
- Rafiq, M.; Saleem, M.; Jabeen, F.; Hanif, M.; Seo, S.Y.; Kang, S.K.; Lee, K.H. Facile synthesis, biological evaluation and molecular docking studies of novel substituted azole derivatives. J. Mol. Struct. 2017, 1138, 177e191. [Google Scholar] [CrossRef]
- Smith, M.B.; March, J. March’s Advanced Organic Chemistry Reactions Mechanisms, and Structure, 6th ed.; John Wiley and Sons, Inc.: Hoboken, NJ, USA, 2007. [Google Scholar]
- Saleem, M.; Hussain, A.; Rauf, M.; Khan, S.U.; Haider, S.; Hanif, M.; Rafiq, M.; Park, S.H. Ratiometric Fluorescence and Chromogenic Probe for Trace Detection of Selected Transition Metals. J. Fluoresc. 2024; Online ahead of print. [Google Scholar] [CrossRef]
- Sun, T.; Lv, J.; Zhao, X.; Li, W.; Zhang, Z.; Nie, L. In vivo liver function reserve assessments in alcoholic liver disease by scalable photoacoustic imaging. Photoacoustics 2023, 34, 100569. [Google Scholar] [CrossRef] [PubMed]
- Zhang, J.; Wang, L.; Zhong, A.; Huang, G.; Wu, F.; Li, D.; Han, D. Deep red PhOLED from dimeric salophen Platinum(II) complexes. Dye. Pigment. 2019, 162, 590–598. [Google Scholar] [CrossRef]
- Zhang, J.; Zhong, A.; Huang, G.; Yang, M.; Li, D.; Teng, M.; Han, D. Enhanced efficiency with CDCA co-adsorption for dye-sensitized solar cells based on metallosalophen complexes. Sol. Energy 2020, 209, 316–324. [Google Scholar] [CrossRef]
- Weatherburn, M.W. Phenol-Hypochlorite Reaction for Determination of Ammonia. Anal. Chem. 1967, 39, 971–974. [Google Scholar] [CrossRef]
- Ashraf, Z.; Rafiq, M.; Seo, S.Y.; Babar, M.M.; Zaidi, N.U.S.S. Design, synthesis and bioevaluation of novel umbelliferone analogues as potential mushroom tyrosinase inhibitors. J. Enzym. Inhib. Med. Chem. 2015, 30, 874–883. [Google Scholar] [CrossRef] [PubMed]
- Houshmand, F.; Houshmand, S. Potentially highly effective drugs for COVID-19: Virtual screening and molecular docking study through PyRx-Vina Approach. Front. Health Inform. 2023, 12, 150. [Google Scholar] [CrossRef]










| Comp. | a App. | b MP | c Rf | FT-IR | |||||
|---|---|---|---|---|---|---|---|---|---|
| -N-H | Ar-C-H | C=O | C=N | C=C | C-O-C | ||||
| 6 | Yellow | 181–183 | 0.61 | 3675, 3323 | 2988, 2976, 2901 | 1709 | 1598, 1587 | 1512, 1450 | 1240 |
| 7a [6-Fe(II)] | Reddish | 218–220 | 0.59 | 3675, 3531, 3182 | 3071, 3003, 2989, 2934, 2910, 2834 | 1700 | 1657, 1609 | 1596, 1586, 1572, 1512 | 1240 |
| 7b [6-Co(II)] | Greenish | 231–233 | 0.60 | 3523, 3390 | 3175 | 1712 | 1609 | 1504, 1456, 1424 | 1251 |
| 7c [6-Ni(II)] | Brick red | 234–236 | 0.58 | 3675, 3323 | 2988, 2976, 2934, 2901 | 1709 | 1598, 1587 | 1455, 1450, 1411 | 1238 |
| 7d [6-Cu(II)] | Mustard yellow | 228–230 | 0.58 | 3675 | 3073, 2988, 2901 | 1675 | 1602, 1581 | 1554, 1498, 1453, 1418 | 1291 |
| 7e [6-Zn(II)] | Gray | 216–218 | 0.59 | 3445, 3372 | 2988, 2978, 2901 | 1698 | 1601, 1577 | 1510, 1495, 1471, 1460, 1440, 1420 | 1259 |
| Sample | Electronic Transitions | |||
|---|---|---|---|---|
| π→π* | n→π* | |||
| λmax (nm) | Molar Absorptivity (M−1cm−1) | λmax (nm) | Molar Absorptivity (M−1cm−1) | |
| 6 | 241 | 0.84 × 104 | 291 | 0.53 × 104 |
| 7a [6-Fe(II)] | 242 | 0.95 × 104 | 299 | 0.134 × 105 |
| 7b [6-Co(II)] | 244, 289 | 0.952 × 104; 0.607 × 104 | 654 | 0.396 × 104 |
| 7c [6-Ni(II)] | 243, 289 | 0.91 × 104; 0.55 × 104 | 342 | 0.147 × 104 |
| 7d [6-Cu(II)] | 241, 304 | 0.99 × 104; 0.156 × 105 | 841 | 0.44 × 104 |
| 7e [6-Zn(II)] | 241 | 0.898 × 104 | 296 | 0.10 × 105 |
| Comp. | Solvents | |||||||
|---|---|---|---|---|---|---|---|---|
| THF | Ethanol | DMSO | Acetonitrile | |||||
| π→π* | n→π* | π→π* | n→π* | π→π* | n→π* | π→π* | n→π* | |
| 6 | 0.89 | 0.53 | 0.891 | 0.53 | 0.88 | 0.53 | 0.89 | 0.54 |
| 7a [6-Fe(II)] | 0.95 | 1.34 | 0.95 | 1.35 | 0.94 | 1.33 | 0.96 | 1.35 |
| 7b [6-Co(II)] | 0.952, 0.607 | 0.396 | 0.953, 0.607 | 0.396 | 0.951, 0.607 | 0.39 | 0.955, 0.61 | 0.399 |
| 7c [6-Ni(II)] | 0.91, 0.55 | 0.147 | 0.92, 0.56 | 0.147 | 0.90, 0.52 | 0.144 | 0.92, 0.55 | 0.147 |
| 7d [6-Cu(II)] | 0.99, 1.56 | 0.44 | 0.99, 1.57 | 0.44 | 0.96, 1.53 | 0.43 | 0.98, 1.58 | 0.47 |
| 7e [6-Zn(II)] | 0.898 | 01 | 0.898 | 1.1 | 0.891 | 0.9 | 0.899 | 1.1 |
| Sample | Emission Spectral Analysis | |||
|---|---|---|---|---|
| 1 λmaxEm (nm) | 2 λmaxEx (nm) | Signal Intensity (a.u.) | 3 ΦFl | |
| 6 | 614 | 350 | 3482 | 0.09 |
| 7a [6-Fe(II)] | 643 | 350 | 15,253 | 0.14 |
| 7b [6-Co(II)] | 621 | 350 | 19,270 | 0.18 |
| 7c [6-Ni(II)] | 617 | 350 | 14,867 | 0.15 |
| 7d [6-Cu(II)] | 601 | 350 | 13,863 | 0.15 |
| 7e [6-Zn(II)] | 623 | 350 | 17,185 | 0.17 |
| S. No. | Molecules | IC50 (µM) | Reference Drug | Ref. |
|---|---|---|---|---|
| 1 | ![]() | 76.53 ± 0.46 to 08.10 ± 0.17 | Thiourea/IC50 (µM) 22.0 ± 0.03 | [35] |
| 2 | ![]() | 184.43.10 ± 2.16 to 22.81 ± 0.05 | Hydroxyurea and thiourea/IC50 (µM); 100 ± 0.15 and 23 ± 1.7 | [36] |
| 3 | ![]() | 15.094 ± 2.218 (HL) 4.052 ± 0.693 (HLZn) 6.868 ± 1.006 (HLFe) | Acetohydroxamic acid/IC50 (µM); 7.898 ± 0.898 | [37] |
| 4 | ![]() | 14.7 ± 1.4 (H2L) 3.5 ± 0.9 (H2LCo(II)) 1.3 ± 0.7 (H2LNi(II)) | Acetohydroxamic acid/IC50 (µM); 7.898 ± 0.898 | [38] |
| 5 | ![]() | >100 (ligand) 48.16 ± 2.46 to 15.22 ± 1.57 (ligand + Ni(II) | Acetohydroxamic acid/IC50 32.09 ± 5.09 | [39] |
| Compounds | Urease Inhibition IC50 (µM) | Compounds | Urease Inhibition IC50 (µM) |
|---|---|---|---|
| 6 | 21.80 ± 1.88 | 7c [6-Ni(II)] | 11.82 ± 1.14 |
| 7a [6-Fe(II)] | 31.58 ± 1.71 | 7d [6-Cu(II)] | 09.31 ± 1.31 |
| 7b [6-Co(II)] | 22.31 ± 1.90 | 7e [6-Zn(II)] | 51.06 ± 4.23 |
| Thiourea/reference drug | Urease inhibition IC50 (µM)/20.7 ± 0.45 | ||
Disclaimer/Publisher’s Note: The statements, opinions and data contained in all publications are solely those of the individual author(s) and contributor(s) and not of MDPI and/or the editor(s). MDPI and/or the editor(s) disclaim responsibility for any injury to people or property resulting from any ideas, methods, instructions or products referred to in the content. |
© 2024 by the authors. Licensee MDPI, Basel, Switzerland. This article is an open access article distributed under the terms and conditions of the Creative Commons Attribution (CC BY) license (https://creativecommons.org/licenses/by/4.0/).
Share and Cite
Bonne, S.; Saleem, M.; Hanif, M.; Najjar, J.; Khan, S.; Zeeshan, M.; Tahir, T.; Ali, A.; Lu, C.; Chen, T. Synthesis, Urease Inhibition, Molecular Docking, and Optical Analysis of a Symmetrical Schiff Base and Its Selected Metal Complexes. Molecules 2024, 29, 4899. https://doi.org/10.3390/molecules29204899
Bonne S, Saleem M, Hanif M, Najjar J, Khan S, Zeeshan M, Tahir T, Ali A, Lu C, Chen T. Synthesis, Urease Inhibition, Molecular Docking, and Optical Analysis of a Symmetrical Schiff Base and Its Selected Metal Complexes. Molecules. 2024; 29(20):4899. https://doi.org/10.3390/molecules29204899
Chicago/Turabian StyleBonne, Samuel, Muhammad Saleem, Muhammad Hanif, Joseph Najjar, Salahuddin Khan, Muhammad Zeeshan, Tehreem Tahir, Anser Ali, Changrui Lu, and Ting Chen. 2024. "Synthesis, Urease Inhibition, Molecular Docking, and Optical Analysis of a Symmetrical Schiff Base and Its Selected Metal Complexes" Molecules 29, no. 20: 4899. https://doi.org/10.3390/molecules29204899
APA StyleBonne, S., Saleem, M., Hanif, M., Najjar, J., Khan, S., Zeeshan, M., Tahir, T., Ali, A., Lu, C., & Chen, T. (2024). Synthesis, Urease Inhibition, Molecular Docking, and Optical Analysis of a Symmetrical Schiff Base and Its Selected Metal Complexes. Molecules, 29(20), 4899. https://doi.org/10.3390/molecules29204899






