Serendipitous Conversion of an Acetylamino Dideoxy-Octonic Acid Derivate into a Functionalized Carbohydrate–Pyrazole Conjugate and Investigation of the Method´s General Applicability
Abstract
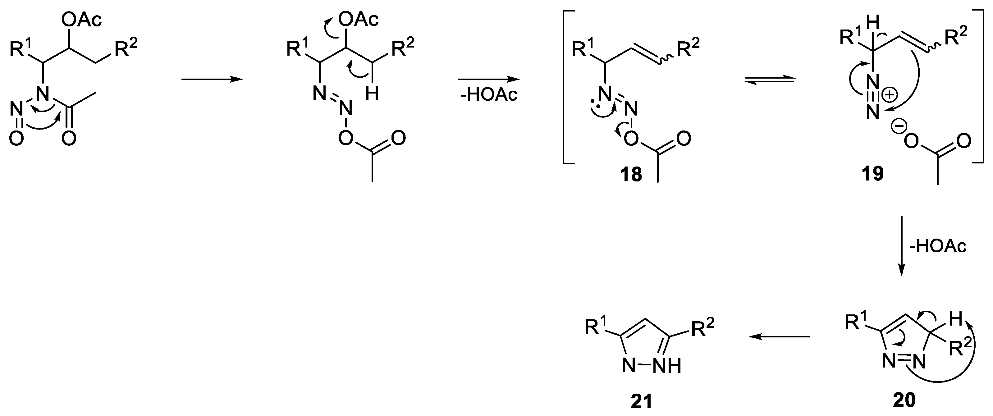
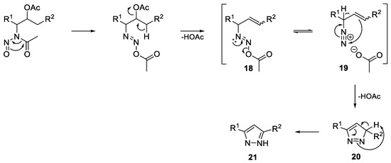
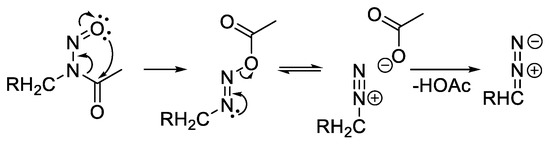
1. Introduction
2. Results
3. Conclusions
4. Experimental Procedure
4.1. General
4.2. Syntheses
4.2.1. General Procedure A for Nitrosation
4.2.2. General Procedure B for Nitrosation
4.2.3. General Procedure for Base Induced Cyclization
4.2.4. General Procedure of Heat-Induced Cyclization
4.2.5. (1R,2S,3R)-1-(3-(Methoxycarbonyl)-1H-pyrazol-5-yl)butane-1,2,3,4-tetrayl tetraacetate (11)
4.2.6. Hydrazinolysis and Acetylation
4.2.7. N-Acetyl-allyl amine (12a)
4.2.8. (E)-2-(Hex-2-en-1-yl)isoindoline-1,3-dione (22b)
4.2.9. (E)-N-(Hex-2-en-1-yl)Acetamide (12b)
4.2.10. (E/Z)-2-(But-2-en-1-yl)isoindoline-1,3-dione (22c)
4.2.11. (E/Z)-N-(But-2-en-1-yl)acetamide (12c)
4.2.12. N-(2-Methylallyl)-acetamide (12d)
4.2.13. N-Allyl-N-nitroso acetamide (13a)
4.2.14. (E)-N-Nitroso-N-acetylhex-2-enylamine (13b)
4.2.15. (E/Z)-N-Nitroso-N-acetylcrotylamine (13c)
4.2.16. N-(2-Methylallyl)-N-nitrosoacetamide (13d)
4.2.17. 1H-pyrazole (14a)
4.2.18. 3(5)-Propyl-1H-pyrazole (14b)
4.2.19. 3(5)-Methyl-1H-pyrazole (14c)
4.2.20. 4-Methyl-1H-pyrazole (14d)
4.2.21. (E,Z)-4-N-Acetamido but-2-Enoic Acid Ethylester (15a)
4.2.22. Ethyl(E)-3-[(R)-3-(tert-butoxycarbonyl)-2,2-dimethyloxazolidine-4-yl]propenoate (23b)
4.2.23. Ethyl (R,E)-4-acetamido-5-acetoxypent-2-enoate (15b)
4.2.24. (R)-Tert-Butyl 4-{[(Z)-2-methoxycarbonyl]vinyl}-2,2-dimethyloxazolidine-3-car-boxylate (23c)
4.2.25. Methyl (R,Z)-4-Acetamido-5-acetoxypent-2-enoate (15c)
4.2.26. (E)-4-N-Acetamido-N-nitrosobut-2-enoic Acid Ethylester (16a)
4.2.27. Ethyl (R,E)-5-Acetoxy-4-(N-nitroso-acetamido)pent-2-enoate (16b)
4.2.28. Methyl (R,Z)-5-Acetoxy-4-(N-nitroso-acetamido)pent-2-enoate (16c)
4.2.29. Ethyl-1H-pyrazole-3-carboxylate (17a)
4.2.30. Ethyl 5-(Acetoxymethyl)-1H-pyrazole-3-carboxylate (17b)
4.2.31. Methyl 5-(Acetoxymethyl)-1H-pyrazole-3-carboxylate (17c)
Supplementary Materials
Author Contributions
Funding
Institutional Review Board Statement
Informed Consent Statement
Data Availability Statement
Conflicts of Interest
References
- Kumar, V.; Kaur, K.; Gupta, G.K.; Sharma, A.K. Pyrazole containing natural products: Synthetic preview and biological significance. Eur. J. Med. Chem. 2013, 69, 735–753. [Google Scholar] [CrossRef] [PubMed]
- Naim, M.J.; Alam, O.; Nawaz, F.; Alam, M.J.; Alam, P. Current status of pyrazole and its biological activities. J. Pharm. Bioallied. Sci. 2016, 8, 2–17. [Google Scholar] [CrossRef] [PubMed]
- Mykhailiuk, P.K. Fluorinated Pyrazoles: From Synthesis to Applications. Chem. Rev. 2021, 121, 1670–1715. [Google Scholar] [CrossRef] [PubMed]
- Fustero, S.; Sánchez-Roselló, M.; Barrio, P.; Simón-Fuentes, A. From 2000 to Mid-2010: A Fruitful Decade for the Synthesis. Chem. Rev. 2011, 111, 6984–7034. [Google Scholar] [CrossRef]
- Trofimenko, S. The Coordination Chemistry of Pyrazole-Derived Ligands. Chem. Rev. 1972, 72, 497–509. [Google Scholar] [CrossRef]
- Karrouchi, K.; Radi, S.; Ramli, Y.; Taoufik, J.; Mabkhot, Y.N.; Al-aizari, F.A.; Ansar, M. Synthesis and Pharmacological Activities of Pyrazole Derivatives: A Review. Molecules 2018, 23, 134–219. [Google Scholar] [CrossRef]
- Pearce, A.J.; Harkins, R.P.; Reiner, B.R.; Wotal, A.C.; Dunscomb, R.J.; Tonks, I.A. Multicomponent Pyrazole Synthesis from Alkynes, Nitriles, and Titanium Imido Complexes via Oxidatively Induced N−N Bond Coupling. J. Am. Chem. Soc. 2020, 142, 4390–4399. [Google Scholar] [CrossRef] [PubMed]
- Guo, H.; Tian, L.; Liu, Y.; Wan, J.-P. DMSO as a C1 Source for [2 + 2 + 1] Pyrazole Ring Construction via Metal-Free Annulation with Enaminones and Hydrazines. Org. Lett. 2022, 24, 228–233. [Google Scholar] [CrossRef]
- Bartholomew, G.L.; Carpaneto, F.; Sarpong, R. Skeletal Editing of Pyrimidines to Pyrazoles by Formal Carbon Deletion. J. Am. Chem. Soc. 2022, 144, 22309–22315. [Google Scholar] [CrossRef]
- Zheng, Y.; Long, Y.; Gong, H.; Xu, J.; Zhang, C.; Fu, H.; Zheng, X.; Chen, H.; Li, R. Ruthenium-Catalyzed Divergent Acceptorless Dehydrogenative Coupling of 1,3-Diols with Arylhydrazines: Synthesis of Pyrazoles and 2-Pyrazolines. Org. Lett. 2022, 24, 3878–3883. [Google Scholar] [CrossRef]
- Bekhit, A.A.; Ashour, H.M.A.; Ghany, Y.S.A.; Bekhit, A.; Baraka, A.E.-D.A. Synthesis and biological evaluation of some thiazolyl and thiadiazolyl derivatives of 1H-pyrazole as anti-inflammatory antimicrobial agents. Eur. J. Med. Chem. 2008, 43, 456–463. [Google Scholar] [CrossRef] [PubMed]
- Mert, S.; Kasımogulları, R.; Iça, T.; Çolak, F.; Altun, A.; Ok, S. Synthesis, structure-activity relationships, and in vitro antibacterial and antifungal activity evaluations of novel pyrazole carboxylic and dicarboxylic acid derivatives. Eur. J. Med. Chem. 2014, 78, 86–96. [Google Scholar] [CrossRef] [PubMed]
- Padwal, R.S.; Majumdar, S.R. Drug treatments for obesity: Orlistat, sibutramine, and rimonabant. Lancet 2007, 369, 71–77. [Google Scholar] [CrossRef]
- Langtry, H.D.; Markham, A. A Review of its Use in Erectile Dysfunction. Drugs 1999, 57, 967–989. [Google Scholar] [CrossRef]
- Terrett, N.K.; Bell, A.S.; Brown, D.; Ellis, P. Sildenafil (VIAGRATM), a potent and selective inhibitor of type 5 cGMP phosphodiesterase with utility for the treatment of male erectile dysfunction. Bioorg. Med. Chem. Lett. 1996, 6, 1819–1824. [Google Scholar] [CrossRef]
- Schmidt, D.; Thiem, J. Chemical synthesis using enzymatically generated building units for construction of the human milk pentasaccharides sialyllacto-N-tetraose and sialyllacto-N-neotetraose epimer. Beilstein J. Org. Chem. 2010, 6, 18. [Google Scholar] [CrossRef]
- Meinke, S.; Thiem, J. Trypanosomal Trans-sialidases: Valuable Synthetic Tools and Targets for Medicinal Chemistry. Top. Curr. Chem. 2015, 367, 231–250. [Google Scholar] [CrossRef]
- Böttcher, S.; Hederos, M.; Champion, E.; Dékány, G.; Thiem, J. Novel Efficient Routes to Indoxyl Glycosides for Monitoring Glycosidase Activities. Org. Lett. 2013, 15, 3766–3769. [Google Scholar] [CrossRef]
- Czaschke, C.; Figueira de Abreu, R.; Stark, C.B.W.; Thiem, J. Synthesis of Dideoxy-octonic Acid and Cyclic and Acyclic Derivatives Thereof. Org. Lett. 2020, 22, 3373–3376. [Google Scholar] [CrossRef]
- Iijima, R.; Takahashi, H.; Namme, R.; Ikegami, S.; Yamazaki, M. Novel biological function of sialic acid (N-acetylneuraminic acid) asa hydrogen peroxide scavenger. FEBS Lett. 2004, 561, 163–166. [Google Scholar] [CrossRef]
- Schreiner, E.; Zbiral, E. A Convenient Approach to 3-Deoxy-d-glycero-d-galacto-nonulosonic (KDN), 5-Azido-5-deoxy-KDN and 5-Deoxy-KDN, and Their 4-Methylumbelliferyl 2α-Glycosides. Liebigs. Ann. Chem. 1990, 1990, 581–586. [Google Scholar] [CrossRef]
- Crich, D.; Navuluri, C. Stereoselective Synthesis of α-Keto-deoxy-d-glycero-d-galacto-nonulosonic Acid Glycosides by Means of the 4,5-O-Carbonate Protecting Group. Angew. Chem. Int. Ed. 2010, 49, 3049–3052. [Google Scholar] [CrossRef] [PubMed]
- Adamson, D.W.; Kenner, J. The Preparation of Diazomethane and its Homologues. J. Chem.Soc. 1935, 286–289. [Google Scholar] [CrossRef]
- Hurd, C.D.; Lui, S.C. Vinyldiazomethane. J. Am. Chem. Soc. 1935, 57, 2656–2657. [Google Scholar] [CrossRef]
- Marx, J.; Marx-Moll, L. Notiz zur Synthese des Pyrazols über N-Nitroso-N-allyl-harnstoff. Chem. Ber. 1954, 87, 1499–1500. [Google Scholar] [CrossRef]
- Brewbaker, J.L.; Hart, H. The Cyclization of 3-Diazoalkenes to Pyrazoles. J. Am. Chem. Soc. 1969, 91, 711–715. [Google Scholar] [CrossRef]
- Supurgibekov, M.B.; Zakharova, V.M.; Sieler, J.; Nikolaev, V.A. Stereochemistry and reactivity of F- and H-vinyldiazocarbonyl compounds and their phosphazines: Synthesis of pyrazoles and pyridazines. Tetrahedron Lett. 2011, 52, 341–345. [Google Scholar] [CrossRef]
- Supurgibekov, M.B.; Cantillo, D.; Kappe, C.O.; Prakash, G.K.S.; Nikolaev, V.A. Effect of configuration of 2-vinyldiazocarbonyl compounds on their reactivity: Experimental and computational study. Org. Biomol. Chem. 2014, 12, 682–689. [Google Scholar] [CrossRef]
- Babinski, D.J.; Aguilar, H.R.; Still, R.; Frantz, D.E. Synthesis of Substituted Pyrazoles via Tandem Cross-Coupling/Electrocyclization of Enol Triflates and Diazoacetates. J. Org. Chem. 2011, 76, 5915–5923. [Google Scholar] [CrossRef]
- Narode, A.S.; Liu, R.-S. Gold(I)-Catalyzed Reaction of 1-(1-Alkynyl)-cyclopropyl Ketones with Vinyldiazo Ketones for Divergent Synthesis of Substituted Furanyl Heterocycles. Asian J. Org. Chem. 2023, 12, e202300199. [Google Scholar] [CrossRef]
- Kirmse, W. Nitrogen as Leaving Group: Aliphatic Diazonium Ions. Angew. Chem. Int. Ed. 1976, 15, 251–319. [Google Scholar] [CrossRef]
- Huisgen, R.; Reimlinger, H. Nitroso-acyl-amine und Diazo-ester X. Die Isomerisierung der Nitroso-acyl-alykylamine zu Diazo-estern und ihre Kinetik. Liebigs Ann. Chem. 1956, 599, 161–182. [Google Scholar] [CrossRef]
- White, E.H. The Chemistry of the N-Alkyl-N-nitrosoamides. II. A New Method for the Deamination of Aliphatic Amines. J. Am. Chem. Soc. 1955, 77, 6011–6014. [Google Scholar] [CrossRef]
- Tietze, L.F. Domino Reactions in Organic Synthesis. Chem. Rev. 1996, 96, 115–136. [Google Scholar] [CrossRef]
- Tietze, L.F.; Modi, A. Multicomponent Domino Reactions for the Synthesis of Biologically Active Natural Products and Drugs. Med. Res. Rev. 2000, 20, 231–322. [Google Scholar] [CrossRef]
- Stille, J.K.; Becker, Y. Isomerization of N-Allylamides and -imides to Aliphatic Enamides by Iron, Rhodium, and Ruthenium Complexes. J. Org. Chem. 1980, 45, 2139–2145. [Google Scholar] [CrossRef]
- Tomanová, M.; Jedinák, L.; Cankař, P. Reductive dehalogenation and dehalogenative sulfonation of phenols and heteroaromatics with sodium sulfite in an aqueous medium. Green Chem. 2019, 21, 2621–2628. [Google Scholar] [CrossRef]
- Ahmed, B.; Mezei, G. Green protection of pyrazole, thermal isomerization and deprotection of tetrahydropyranylpyrazoles and high-yield one-pot synthesis of 3(5)-alkylpyrazoles. RSC Adv. 2015, 5, 24081–24093. [Google Scholar] [CrossRef]
- Finar, I.L.; Mooney, E.F. Proton magnetic resonance studies of pyrazole and its derivatives. Gazz. Chim. Ital. 1964, 20, 1269–1273. [Google Scholar] [CrossRef]
- Upadhyay, P.K.; Kumar, P. A concise synthesis of (2S,3S,4S)-2-(hydroxymethyl)pyrrolidine-3,4-diol (LAB1). Synthesis 2010, 2010, 3063–3066. [Google Scholar] [CrossRef]
- Passiniemi, M.; Koskinen, A.M.P. A short and efficient synthesis of (2S,3S,4S)-tert-butyl 3,4-dihydroxy-2-(methoxymethyl)-5-oxo-pyrrolidine-1-carboxylate. Synthesis 2010, 2010, 2816–2822. [Google Scholar] [CrossRef][Green Version]
- Vuluga, V.; Legros, J.; Crousse, B.; Bonnet-Delpon, D. Synthesis of pyrazoles through catalyst-free cycloaddition of diazo compounds to alkynes. Green. Chem. 2009, 11, 156–159. [Google Scholar] [CrossRef]
- Akhrem, A.A.; Kvasyuk, E.I.; Mikhailopulo, I.A. Unusual reaction of 3-carbomethoxy-Δ2-pyrazoline in the presence of lead tetraacetate. Chem. Heterocycl. Com. 1976, 12, 1029–1032. [Google Scholar] [CrossRef]







![]() | ||||
|---|---|---|---|---|
| Entry | R1 | R2 | 14 (Yield via Two Steps %) | |
| 1 | H | H | a | 43 b |
| 2 | Pr | H | b | 23 b |
| 3 | Me | H | c | 12 c |
| 4 | H | Me | d | 5 c |
![]() | |||||
|---|---|---|---|---|---|
| Entry | Substrate | Configuration DB | Yield 17 (%) Method A d | Yield 17 (%) Method B e | |
| 1 | R1 = H, R2 = CO2Et | E:Z 20:1 | a | decomposition | 14 b |
| 2 | R1 = CH2OAc, R2 = CO2Et | E | b | decomposition | 15 c |
| 3 | R1 = CH2OAc, R2 = CO2Me | Z | c | 21 | 63 c |
| Entry | Solvent/Base | Temperature [°C] | Reaction Time [h] | Yield (8c) [%] |
|---|---|---|---|---|
| 1 | CH2Cl2/pyridine | 40 | 15 | 25 |
| 2 | ClCH2CH2Cl/pyridine | 40 | 20 | 63 |
| 3 | CDCl3/pyridine | 40 | 20 | 60 |
| 4 | ClCH2CH2Cl/pyridine | 23 | 20 | 3 |
| 5 | CDCl3/pyridine | 23 | 20 | 2 |
| 6 | ClCH2CH2Cl/pyridine | 60 | 20 | 11 |
| 7 | CDCl3/pyridine | 60 | 20 | 16 |
Disclaimer/Publisher’s Note: The statements, opinions and data contained in all publications are solely those of the individual author(s) and contributor(s) and not of MDPI and/or the editor(s). MDPI and/or the editor(s) disclaim responsibility for any injury to people or property resulting from any ideas, methods, instructions or products referred to in the content. |
© 2024 by the authors. Licensee MDPI, Basel, Switzerland. This article is an open access article distributed under the terms and conditions of the Creative Commons Attribution (CC BY) license (https://creativecommons.org/licenses/by/4.0/).
Share and Cite
Berl, J.K.; Czaschke, C.; Pramor, A.-K.; Stark, C.B.W.; Thiem, J. Serendipitous Conversion of an Acetylamino Dideoxy-Octonic Acid Derivate into a Functionalized Carbohydrate–Pyrazole Conjugate and Investigation of the Method´s General Applicability. Molecules 2024, 29, 4885. https://doi.org/10.3390/molecules29204885
Berl JK, Czaschke C, Pramor A-K, Stark CBW, Thiem J. Serendipitous Conversion of an Acetylamino Dideoxy-Octonic Acid Derivate into a Functionalized Carbohydrate–Pyrazole Conjugate and Investigation of the Method´s General Applicability. Molecules. 2024; 29(20):4885. https://doi.org/10.3390/molecules29204885
Chicago/Turabian StyleBerl, Jelena K., Christian Czaschke, Ann-Kathrin Pramor, Christian B. W. Stark, and Joachim Thiem. 2024. "Serendipitous Conversion of an Acetylamino Dideoxy-Octonic Acid Derivate into a Functionalized Carbohydrate–Pyrazole Conjugate and Investigation of the Method´s General Applicability" Molecules 29, no. 20: 4885. https://doi.org/10.3390/molecules29204885
APA StyleBerl, J. K., Czaschke, C., Pramor, A.-K., Stark, C. B. W., & Thiem, J. (2024). Serendipitous Conversion of an Acetylamino Dideoxy-Octonic Acid Derivate into a Functionalized Carbohydrate–Pyrazole Conjugate and Investigation of the Method´s General Applicability. Molecules, 29(20), 4885. https://doi.org/10.3390/molecules29204885


