An Ultra-Performance Liquid Chromatography–Tandem Mass Spectrometry (UPLC–MS/MS) Method for Qualifying DAPB in Rat Plasma and Application to Pharmacokinetic Studies
Abstract
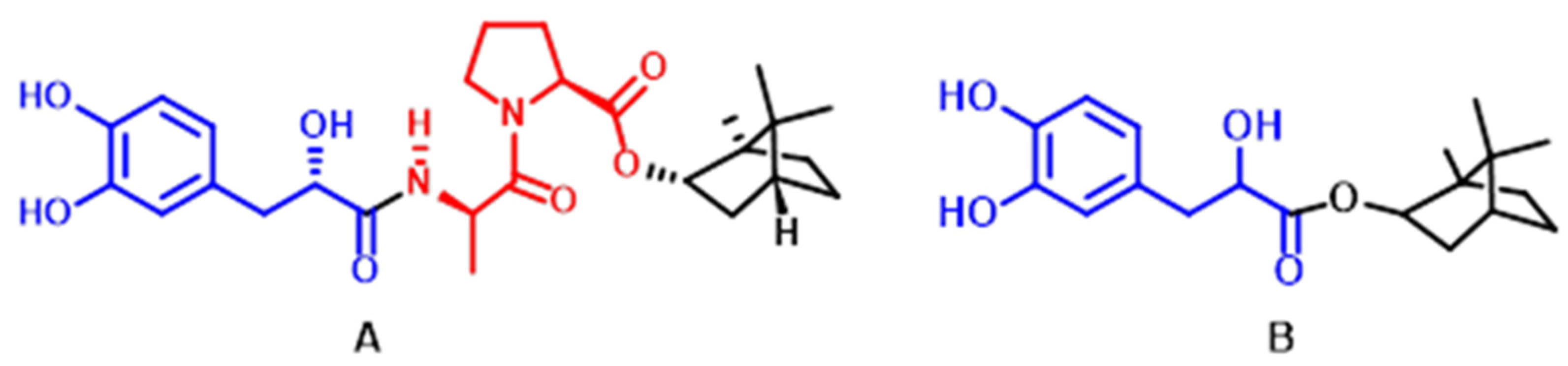
1. Introduction
2. Results
2.1. Method Development
2.2. Method Validation
2.2.1. Selectivity and Specificity
2.2.2. Linearity and LLOQ
2.2.3. Precision and Accuracy
2.2.4. Extraction Recovery and Matrix Effect
2.2.5. Stability
2.3. Pharmacokinetic Study in Rats
3. Discussion
4. Materials and Methods
4.1. Chemicals and Reagents
4.2. UPLC–MS/MS Instrument and Conditions
4.3. Preparation of Calibration Standards and Quality Control Samples
4.4. Method Validation
4.4.1. Selectivity and Specificity
4.4.2. Linearity and LLOQ
4.4.3. Precision and Accuracy
4.4.4. Extraction Recovery and Matrix Effect
4.4.5. Stability
4.5. Pharmacokinetic Study
5. Conclusions
Author Contributions
Funding
Institutional Review Board Statement
Informed Consent Statement
Data Availability Statement
Acknowledgments
Conflicts of Interest
Correction Statement
References
- Al Ghorani, H.; Gotzinger, F.; Bohm, M.; Mahfoud, F. Arterial hypertension—Clinical trials update 2021. Nutr. Metab. Cardiovasc. Dis. 2022, 32, 21–31. [Google Scholar] [CrossRef] [PubMed]
- Carey, R.M.; Moran, A.E.; Whelton, P.K. Treatment of Hypertension: A Review. JAMA 2022, 328, 1849–1861. [Google Scholar] [CrossRef] [PubMed]
- Lauder, L.; Mahfoud, F.; Azizi, M.; Bhatt, D.L.; Ewen, S.; Kario, K.; Parati, G.; Rossignol, P.; Schlaich, M.P.; Teo, K.K.; et al. Hypertension management in patients with cardiovascular comorbidities. Eur. Heart J. 2023, 44, 2066–2077. [Google Scholar] [CrossRef] [PubMed]
- Gao, Q.; Xu, L.; Cai, J. New drug targets for hypertension: A literature review. Biochim. Biophys. Acta Mol. Basis Dis. 2021, 1867, 166037. [Google Scholar] [CrossRef] [PubMed]
- Laurent, S. Antihypertensive drugs. Pharmacol. Res. 2017, 124, 116–125. [Google Scholar] [CrossRef] [PubMed]
- Pinto, B.; Jadhav, U.; Singhai, P.; Sadhanandham, S.; Shah, N. ACEI-induced cough: A review of current evidence and its practical implications for optimal CV risk reduction. Indian Heart J. 2020, 72, 345–350. [Google Scholar] [CrossRef]
- Niyibizi, A.; Cisse, M.S.; Rovito, P.F.; Puente, M. Angiotensin-Converting Enzyme (ACE) Inhibitor-Induced Angioedema of the Small Bowel: A Diagnostic Dilemma. J. Am. Board. Fam. Med. 2023, 36, 160–163. [Google Scholar] [CrossRef]
- Yao, T.; Wu, Z.; Wang, Z.; Chen, L.; Liu, B.; Lu, M.; Shen, N. Association between angiotensin-converting enzyme inhibitor-induced cough and the risk of lung cancer: A Mendelian randomization study. Front. Pharmacol. 2023, 14, 1267924. [Google Scholar] [CrossRef]
- Antonios, T.; Macgregor, G.A. Angiotensin converting enzyme inhibitors in hypertension: Potential problems. J. Hypertens. 1995, 13 (Suppl. S3), 11–16. [Google Scholar] [CrossRef]
- Zhao, X.; Zheng, X.; Fan, T.; Li, Z.; Zhang, Y.; Zheng, J. A novel drug discovery strategy inspired by traditional medicine philosophies. Science 2015, 347, S38–S40. [Google Scholar]
- Zheng, X.H.; Jia, P.; Bai, Y.J. Research strategy for Combination of Traditional Chinese Medicine Molecular Chemistry Based on the Traditional Theory of ‘Jun-Chen-Zuo-Shi’. J. Northwest Univ. 2015, 45, 405–411. [Google Scholar]
- Qin, B.; Yu, L.; Wang, R.; Tang, Y.; Chen, Y.; Wang, N.; Zhang, Y.; Tan, X.; Yang, K.; Zhang, B.; et al. Chemical Synthesis, Safety and Efficacy of Antihypertensive Candidate Drug 221s (2,9). Molecules 2023, 28, 4975. [Google Scholar] [CrossRef]
- Zhang, Q.; Wu, D.; Wu, J.; Ou, Y.; Mu, C.; Han, B.; Zhang, Q. Improved blood-brain barrier distribution: Effect of borneol on the brain pharmacokinetics of kaempferol in rats by in vivo microdialysis sampling. J. Ethnopharmacol. 2015, 162, 270–277. [Google Scholar] [CrossRef] [PubMed]
- Lam, F.F.; Yeung, J.H.; Chan, K.M.; Or, P.M. Relaxant effects of danshen aqueous extract and its constituent danshensu on rat coronary artery are mediated by inhibition of calcium channels. Vasc. Pharmacol. 2007, 46, 271–277. [Google Scholar] [CrossRef] [PubMed]
- Chan, K.; Chui, S.H.; Wong, D.Y.; Ha, W.Y.; Chan, C.L.; Wong, R.N. Protective effects of Danshensu from the aqueous extract of Salvia miltiorrhiza (Danshen) against homocysteine-induced endothelial dysfunction. Life Sci. 2004, 75, 3157–3171. [Google Scholar] [CrossRef] [PubMed]
- Wu, L.; Qiao, H.; Li, Y.; Li, L. Protective roles of puerarin and Danshensu on acute ischemic myocardial injury in rats. Phytomedicine 2007, 14, 652–658. [Google Scholar] [CrossRef] [PubMed]
- Li, H.; Xie, Y.H.; Yang, Q.; Wang, S.W.; Zhang, B.L.; Wang, J.B.; Cao, W.; Bi, L.L.; Sun, J.Y.; Miao, S.; et al. Cardioprotective effect of paeonol and danshensu combination on isoproterenol-induced myocardial injury in rats. PLoS ONE 2012, 7, e48872. [Google Scholar] [CrossRef]
- Du, X.; Tao, Q.; Du, H.; Zhao, Z.; Dong, Y.; He, S.; Shao, R.; Wang, Y.; Han, W.; Wang, X.; et al. Tengdan Capsule Prevents Hypertensive Kidney Damage in SHR by Inhibiting Periostin-Mediated Renal Fibrosis. Front. Pharmacol. 2021, 12, 638298. [Google Scholar] [CrossRef]
- Cao, Y.; Lu, K.; Xia, Y.; Wang, Y.; Wang, A.; Zhao, Y. Danshensu Attenuated Epithelial-Mesenchymal Transformation and Chemoresistance of Colon Cancer Cells Induced by Platelets. Front. Biosci. 2022, 27, 160. [Google Scholar] [CrossRef]
- Jia, S.; Chen, Q.; Wu, J.; Yao, X.; Shao, J.; Cheng, X.; Zhang, C.; Cen, D.; Wang, Y.; Shen, Z.; et al. Danshensu derivative ADTM ameliorates CCl4-induced acute liver injury in mice through inhibiting oxidative stress and apoptosis. Pathology 2021, 228, 153656. [Google Scholar] [CrossRef]
- Wang, R.; Liuz, I.; Wang, N.; Tan, X.; Yixin, Z. The study on acute toxicity test of anti-hypertensive new drug proline Danshensu borneol ester on mice. Chin. J. Pharmacovigil. 2023, 20, 754–757. [Google Scholar]
- Singh, S.S. Preclinical Pharmacokinetics: An Approach Towards Safer and Efficacious Drugs. Curr. Drug Metab. 2006, 7, 165–182. [Google Scholar] [CrossRef] [PubMed]
- Ju, Z.; Tang, X.; Liao, Q.; Guan, H.; Yang, L.; Wang, Z. Pharmacokinetic, bioavailability, and metabolism studies of lusianthridin, a dihydrophenanthrene compound, in rats by liquid chromatography/electrospray ionization tandem mass spectrometry. J. Pharm. Biomed. Anal. 2021, 195, 113836. [Google Scholar] [CrossRef] [PubMed]
- He, M.; Zhang, B.; Tang, Y.; Yu, L.; Bei, Q. Determination of a novel antihypertensive drug substance by HPLC. Sci. Technol. Chem. Ind. 2023, 31, 34–38. [Google Scholar]
- Rashid, F.; Ghimire, S.; Mangalam, A.K.; Giri, S. A UPLC-MS/MS Based Rapid, Sensitive, and Non-Enzymatic Methodology for Quantitation of Dietary Isoflavones in Biological Fluids. Molecules 2023, 28, 6729. [Google Scholar] [CrossRef]
- Bahar, F.G.; Ohura, K.; Ogihara, T.; Imai, T. Species difference of esterase expression and hydrolase activity in plasma. J. Pharm. Sci. 2012, 101, 3979–3988. [Google Scholar] [CrossRef]
- Oda, F.B.; Carvalho, F.A.; Yamamoto, P.A.; de Oliveira, J.A.; Peccinini, R.G.; Zocolo, G.J.; Ribeiro, P.R.V.; de Moraes, N.V.; Dos Santos, A.G. Metabolism Characterization and Chemical and Plasma Stability of Casearin B and Caseargrewiin F. Planta Med. 2023, 89, 1097–1105. [Google Scholar] [CrossRef]




| Normial Conc. (ng/mL) | Intra-Day | Inter-Day | ||||
|---|---|---|---|---|---|---|
| Measured Conc. (Mean ± SD, ng/mL) | Accuracy (RE, %) | Precision (RSD, %) | Measured Conc. (Mean ± SD, ng/mL) | Accuracy (RE, %) | Precision (RSD, %) | |
| 2 | 1.81 ± 0.23 | −9.5 | 12.7 | 1.86 ± 0.19 | −7.1 | 10.2 |
| 10 | 10.24 ± 0.58 | 2.4 | 5.6 | 9.93 ± 0.45 | −0.7 | 4.5 |
| 500 | 521.88 ± 9.34 | 4.4 | 1.8 | 518.25 ± 8.47 | 3.7 | 1.6 |
| 800 | 791.34 ± 10.19 | −1.1 | 1.3 | 822.67 ± 11.13 | 2.8 | 1.4 |
| 1000 | 1068.47 ± 18.92 | 6.8 | 1.8 | 1042.59 ± 21.46 | 4.3 | 2.1 |
| Spiked Conc. (ng/mL) | Matrix Effect (Mean ± SD, %) | RSD (%) |
|---|---|---|
| 10 | 103.22 ± 8.91 | 8.6 |
| 500 | 95.88 ± 5.12 | 5.3 |
| 1000 | 99.43± 7.45 | 7.5 |
| Spiked Conc. (ng/mL) | Extraction Recovery (Mean ± SD, %) | RSD (%) |
|---|---|---|
| 5 | 80.61 ± 5.68 | 7.1 |
| 500 | 97.16 ± 2.61 | 2.7 |
| 1000 | 96.32 ± 1.76 | 1.8 |
| Stability Conditions | Spiked Conc. (5 ng/mL) | Spiked Conc. (500 ng/mL) | Spiked Conc. (1000 ng/mL) | |||
|---|---|---|---|---|---|---|
| RE (%) | RSD (%) | RE (%) | RSD (%) | RE (%) | RSD (%) | |
| Room temperature for 2 h | −10.2 | 7.8 | −7.5 | 6.4 | 1.2 | 4.9 |
| Three freeze/thaw cycles | −6.4 | 9.1 | 2.6 | 5.7 | −2.0 | 4.5 |
| −80 °C for 30 days | 5.3 | 6.7 | −6.2 | 3.5 | −4.6 | 2.7 |
| Autosampler rack (4 °C) for 24 h | −11.6 | 9.4 | −7.4 | 5.5 | −3.4 | 7.8 |
| Dilution capability (factor: 5) | - | - | 4.2 | 6.6 | −9.7 | 6.8 |
| PK Parameters | Unit | Intravenous (Mean ± SD) | Oral (Mean ± SD) |
|---|---|---|---|
| t1/2 | h | 0.19 ± 0.01 | 1.63 ± 0.36 |
| AUC0–t | h·ng/mL | 11.77 ± 1.66 | 49.62 ± 7.92 |
| AUC0–∞ | h·ng/mL | 13.78 ± 2.10 | 53.87 ± 8.34 |
| Vss | L/kg | 910.03 ± 24.38 | 264.73 ± 65.86 |
| CL | mL/h/kg | 440,589.57 ± 67,015.75 | 89,992.36 ± 10,292.61 |
| Tmax | min | - | 14.67 ± 4.54 |
| Cmax | ng/mL | - | 33.25 ± 10.87 |
| F | % | - | 78.20 |
Disclaimer/Publisher’s Note: The statements, opinions and data contained in all publications are solely those of the individual author(s) and contributor(s) and not of MDPI and/or the editor(s). MDPI and/or the editor(s) disclaim responsibility for any injury to people or property resulting from any ideas, methods, instructions or products referred to in the content. |
© 2024 by the authors. Licensee MDPI, Basel, Switzerland. This article is an open access article distributed under the terms and conditions of the Creative Commons Attribution (CC BY) license (https://creativecommons.org/licenses/by/4.0/).
Share and Cite
Qin, B.; Chen, Y.; Yang, K.; Wang, R.; Yu, L.; Wang, N.; Liu, S. An Ultra-Performance Liquid Chromatography–Tandem Mass Spectrometry (UPLC–MS/MS) Method for Qualifying DAPB in Rat Plasma and Application to Pharmacokinetic Studies. Molecules 2024, 29, 541. https://doi.org/10.3390/molecules29020541
Qin B, Chen Y, Yang K, Wang R, Yu L, Wang N, Liu S. An Ultra-Performance Liquid Chromatography–Tandem Mass Spectrometry (UPLC–MS/MS) Method for Qualifying DAPB in Rat Plasma and Application to Pharmacokinetic Studies. Molecules. 2024; 29(2):541. https://doi.org/10.3390/molecules29020541
Chicago/Turabian StyleQin, Bei, Yunmei Chen, Kuan Yang, Rong Wang, Lili Yu, Nana Wang, and Shaojing Liu. 2024. "An Ultra-Performance Liquid Chromatography–Tandem Mass Spectrometry (UPLC–MS/MS) Method for Qualifying DAPB in Rat Plasma and Application to Pharmacokinetic Studies" Molecules 29, no. 2: 541. https://doi.org/10.3390/molecules29020541
APA StyleQin, B., Chen, Y., Yang, K., Wang, R., Yu, L., Wang, N., & Liu, S. (2024). An Ultra-Performance Liquid Chromatography–Tandem Mass Spectrometry (UPLC–MS/MS) Method for Qualifying DAPB in Rat Plasma and Application to Pharmacokinetic Studies. Molecules, 29(2), 541. https://doi.org/10.3390/molecules29020541

