Abstract
Cordycepin has good antitumor activity, but its clinical application is limited due to the easy deamination of N6 in structure. In this study, a large lipolysis group was introduced at the cordycepin N6 to improve the problem, cordycepin derivatives (3a–4c) were synthesized, and biological evaluation of compounds was studied. In this study, the vitro antitumor activity of the compounds against MCF7 cells, HepG2 cells and SGC-7901 cells was evaluated by MTT assay. In the results, compound 4a showed the most obvious inhibitory effect on MCF7 cells with an IC50 value of 27.57 ± 0.52 μM, which was much lower than cordycepin. Compound 4a showed high selectivity between MCF7 and normal MCF-10A cells. Further biological evaluation showed that compound 4a promoted apoptosis and blocked the cell cycle in the G0/G1 phase. Then, Western Blot was used to detect related apoptotic proteins. It was found that Compound 4a could down-regulate the expression of Bcl-2 protein and up-regulate the expression of p53, Bax, Caspase-3 and Caspase-9 proteins. The mitochondrial membrane potential decreased continuously and the positive expression rate decreased. It was speculated that compound 4a induced the apoptosis of MCF7 cells through the mitochondrial pathway.
1. Introduction
According to estimates from the World Health Organization, cancer incidence and mortality are rapidly increasing worldwide. Cancer is expected to rank as the leading cause of death in the 21st century. Despite the advances in cancer clinical research, a high percentage of oncological patients will suffer from overwhelming morbi-mortality.
Cordyceps militaris has been used in traditional Chinese medicine for a long time [1]. C. militaris exhibits a variety of clinical health effects including immunomodulatory, anticancer, antioxidant, anti-inflammatory and anti-microbial activities [2,3], and is applied as a functional ingredient in health foods and cosmetics [4,5]. In recent years, traditional Chinese medicine has been used to treat various cancers. Cordycepin is a nucleoside antibiotic, isolated and purified from C. militaris. Cordycepin has anti-inflammatory [6,7], antitumor [8,9,10], antiviral and immunomodulatory effects [11,12,13,14], and plays an important role in antitumor activity. Cancer is a major public health problem worldwide. It is the second leading cause of death after cardiovascular disease and the most important obstacle to further improving life expectancy. There is clear evidence that cordycepin inhibits breast cancer (caspase, MAPK), liver cancer (caspase, PLC) and stomach cancer (PI3K/Akt) through a variety of signaling pathways [15,16,17]. Studies have shown the antitumor mechanism of cordycepin; that is, cordycepin is phosphorylated after entering cells, and it is a monophosphate derivative, a diphosphate derivative or a triphosphate derivative. Triphosphate derivatives can inhibit mRNA synthesis and ultimately affect the synthesis of corresponding proteins, thus inhibiting tumor growth. At the same time, studies have shown that after cordycepin enters the body, rapid deamination occurs under the catalysis of adenosine deaminase (ADA) to produce the inactive metabolite 3’-deoxyinosine. This can lead to a short half-life of cordycepin in the body, and influence clinical treatment. If structural modification can effectively improve its susceptibility to deamination and short half-life, and effectively improve its bioavailability, it will become a feasible way to develop cordycepin drugs. Many studies on the modification of cordycepin mainly focus on the modification of hydroxyl and N6 positions. In this study, the hydroxyl group in cordycepin was modified, and heterocyclic rings were introduced in the N6 position. A series of cordycepin derivatives were designed according to the principle of bioelectron equiplatoon, and biological activities and mechanisms were evaluated through related experiments.
2. Results and Discussion
2.1. Chemistry
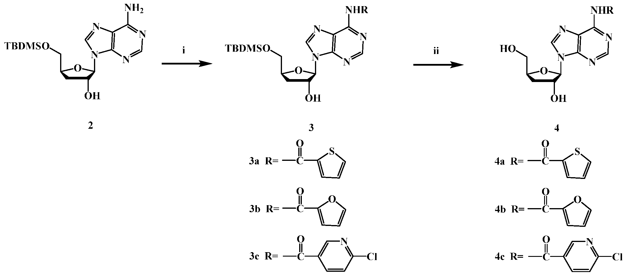
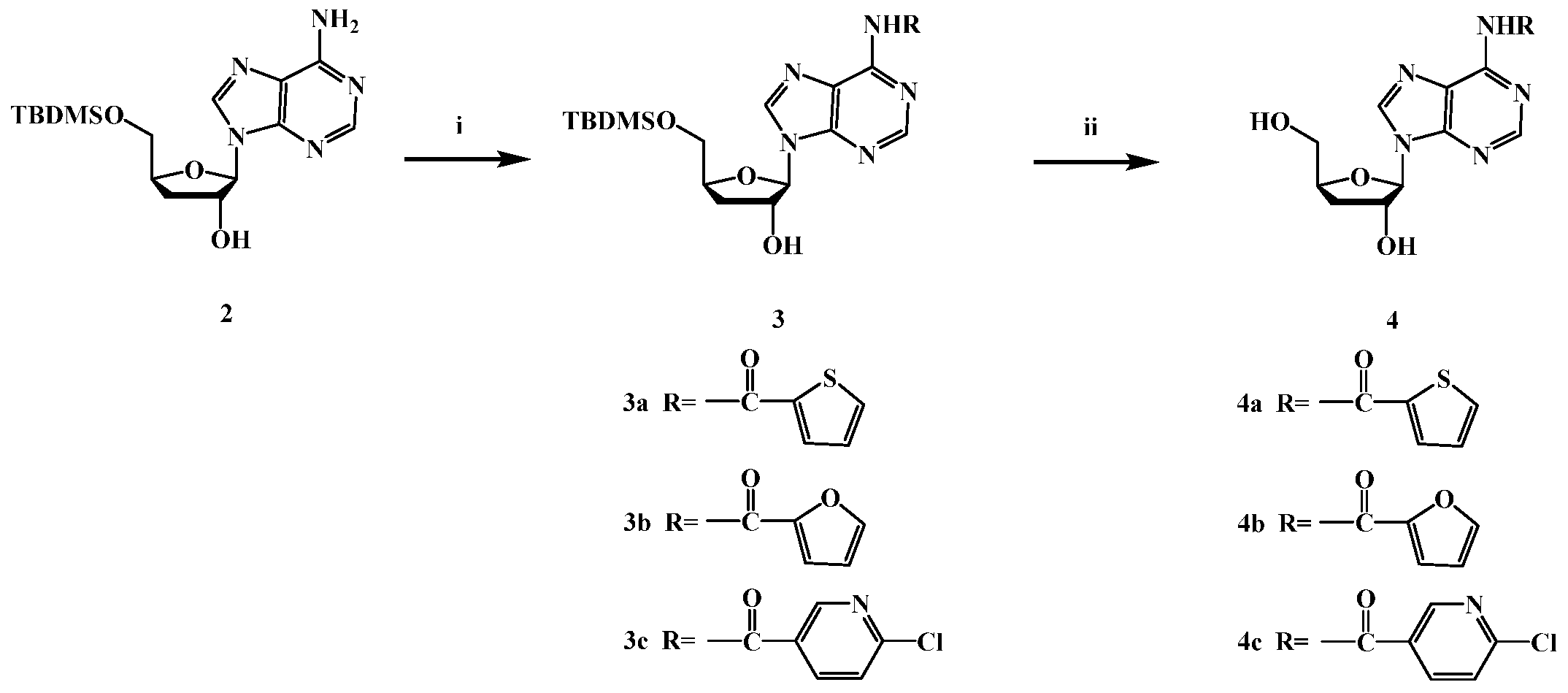
The novel derivatives were synthesized according to the procedures shown in Scheme 1 and Scheme 2. As the substrate, cordycepin was connected to TBDMSCL at the 5’-OH position, which acts as an intermediate. Then, heterocyclic compounds were introduced at the N6 position, respectively. Target compounds 3a–3c and 4a–4c were synthesized and characterized by 1H-NMR, 13CNMR and HRMS.
Scheme 1.
Synthesis of compound 2.
Scheme 2.
Synthesis of cordycepin derivatives (3a–4c). (i) RCI, pyridine, rt; (ii) TBAF, THF, rt.
2.2. Effects of Cordycepin Derivatives Inhibits the Proliferation on MCF7, HepG2 and SGC-7901
The assay of cell growth inhibitory effects of cordycepin derivatives 3a–4c was tested against by MTT assay. The results are summarized in Table 1. The results show that compounds 3a–c and 4a–c inhibit cell proliferation in a concentration-dependent manner within the range of 0 to 80 µM. Compounds 3c, 4a, 4b and 4c have better inhibitory effects on MCF7 than cordycepin. For HepG2 proliferation inhibition, the effect of 4b and 4c is better. Compounds 3b and 4a show enhanced inhibitory effects on SGC-7901 compared with cordycepin. In the results, compound 4a shows the most obvious inhibitory effect on MCF7 with an IC50 value of 27.57 ± 0.52. The results show that the modified compounds in the sugar ring had no obvious effect on the improvement of the activity, the introduction of heterocyclic rings in the base could improve the antitumor activity to a certain extent, and the introduction of thiophene ring had the best effect. It can be seen from the results that the structural modification of cordycepin can improve the antitumor activity effectively. Therefore, it is a feasible way to improve its activity by modifying its structure.
Table 1.
Inhibitory effect of compounds on MCF7, HepG2, SGC-7901 cells ( ± s, n = 6).
Then, compound 4a was evaluated for its in vitro cytotoxicity against one normal breast cell line (MCF-10A), which revealed low toxicity (Figure 1). With an inhibition rate ranging from 3.278% to 28.508%, compound 4a has higher selectivity between MCF7 and MCF-10A. Therefore, this led us to select compound 4a for further investigations against MCF7 breast cancer cells; according to its IC50 value, 56 μM, 28 μM and 14 μM were taken as the high, medium and low concentrations of compound 4a, HCPT (8 μM) and cordycepin (80 μM) were used as the positive control.
Figure 1.
Inhibition rate of compound 4a on MCF7 and MCF-10A cells.
It has been reported that cordycepin significantly reduced breast cancer cell viability in a dose- and time-dependent manner and has low toxicity against normal cells but greater toxicity against breast cancer cells [18]. This reveals IC50 values ranging between 135 μM for MCF7 and 70 μM for MDA-MB-453 cells. In contrast to MCF7, cordycepin appeared to be preferentially active against highly de-differentiated breast cancer cells [19]. Previous studies have indicated that we performed experiments in an optimal non-toxic concentration (50 and 100 μM) of cordycepin with no change in morphology [20].
Furthermore, inverted light microscopy showed a decrease in the number of MCF7 cells treated with compound 4a. The fluorescence staining results are shown in Figure 2. Breast cancer MCF7 cells adhered to the wall growth, the cell outline was clear, the cell development was good, and the number was large. When treated with cordycepin (as shown in Figure 2b), compared with the blank group, the number of cells is reduced, the cell edges are not clear, and there are spherical dead cells. But when treated with the positive drug HCPT, as shown in Figure 2c, the number of cells is decreased significantly. We can find that cell morphology changed, and the dead cells are spherical.
Figure 2.
MCF7 cell morphology of the blank group (a), cordycepin group (b), positive control (c), low dose of compound 4a (d), medium dose of compound 4a (e), high dose of compound 4a (f), (10 × 40 times).
Compared with normal breast cancer MCF7 cells, round dead cells can be seen when breast cancer MCF7 cells are treated with compound 4a at the concentration of 14 μM in the low-dose group (as shown in Figure 2d), the number of cells in the low-dose group is reduced. The cell adherent state is damaged in the medium-dose group, and spherical dead cells could be seen. When treated with compound 4a of 56 μM (as shown in Figure 2f), cells are not clear at the edge of the cells and had shrunken, and the number of cells is significantly less than that of the medium-dose cells, and spherical dead cells can be seen.
2.3. Compound 4a Induces Apoptosis in MCF7 Cells
Hoechst 33258 staining solution can pass through the cell membrane and combine with DNA inside the cell to produce blue fluorescence, thus reflecting the degree of apoptosis. Hoechst 33342 staining showed a significant increase in apoptosis in the MCF7 cells following compound 4a treatment (Figure 3). As shown in the figure, after MCF7 cells were treated with the increase in the dose, the cell density showed a concentration trend and gradually decreased, the intracellular dense staining granular fluorescence was enhanced, the cell shrank, the adhesion was damaged, and the volume decreased. Compound 4a broke the cell membranes leading to inducing the nuclear condensation by apoptotic in comparison with the control cells.
Figure 3.
MCF7 cell morphology of the blank group (a), cordycepin group (b), positive control (c), low dose of compound 4a (d), medium dose of compound 4a (e), high dose of compound 4a (f) under fluorescence microscopy (10 × 40 times).
To further determine the basis of the anti-proliferative action of compound 4a on the MCF7, we analyzed the cell cycle profile of the treated cells. Compound 4a treatment at 14, 28 and 56 μM significantly increased the accumulation of G0/G1 cells. Compared with the control group, the percentage of MCF7 cells in the G1 phase significantly increased compared with that in the control group, respectively, indicating that compound 4a induced MCF7 cell cycle arrest at the G0/G1 phase in a dose-dependent manner (Figure 4). We analyzed the proportion of apoptotic MCF7 cells by flow cytometry. After being treated with compound 4a, notably, as the compound 4a concentration increased, the degree of apoptosis also increased. As shown in Figure 4f, at 56 μM compound 4a, the percentage of apoptotic cells reached 50.422 ± 1.862%. Therefore, these results demonstrate that compound 4a exerts an apoptotic effect on MCF7 cells.
Figure 4.
Flow cytometric detection of compound 4a on the cycle of MCF7 cells (48 h). The blank group (a), positive control (b), low dose of compound 4a (c), medium dose of compound 4a (d), high dose of compound 4a (e). Apoptosis rate (f); ( ± s, n = 3) compared with control: ** p < 0.01.
Previous studies have indicated that in the MCF7 cells, treatment with etoposide leads to shrinkage of both chromatin and whole cells, without the appearance of endonucleosomal cleavage of DNA Typical characteristics of apoptosis [21], including DNA fragmentation, were not evident in cordycepin-treated MCF7 cells [22]. Since apoptosis induction is the mode of action of most anti-cancer drugs [23], we also analyze the potential apoptotic effects of compound 4a on the MCF7 in subsequent studies. Apoptosis can lead to increased permeability of the cell membrane [24], and previous studies have indicated that cordycepin administration promoted G2/M arrest and apoptosis of MCF7 cells [25]. It is known that inhibition of cell proliferation is often caused by cell cycle arrest [26].
Additionally, to investigate the proapoptotic effect of compound 4a on breast cancer period of time event, flow cytometry staining with Rhodamine 123 was used to detect the effect of compound 4a on the mitochondrial membrane potential of MCF7. The effects of different doses of compounds on membrane potential are shown in Figure 5a–e. The results show that, with the increase in dose, the positive expression rate and cell membrane potential decrease gradually, and have a dose–effect relationship. The positive expression rates are shown in Figure 5f. The results are significant and indicate compound 4a could significantly reduce MCF7 cells. Granular membrane potential induces apoptosis.
Figure 5.
Effect of compound 4a on mitochondrial membrane potential in MCF7 cells by flow cytometry (48 h). The blank group (a), positive control (b), low dose of compound 4a (c), medium dose of compound 4a (d), high dose of compound 4a (e), positive expression rate (f); ( ± s, n = 3) compared with control: ** p < 0.01.
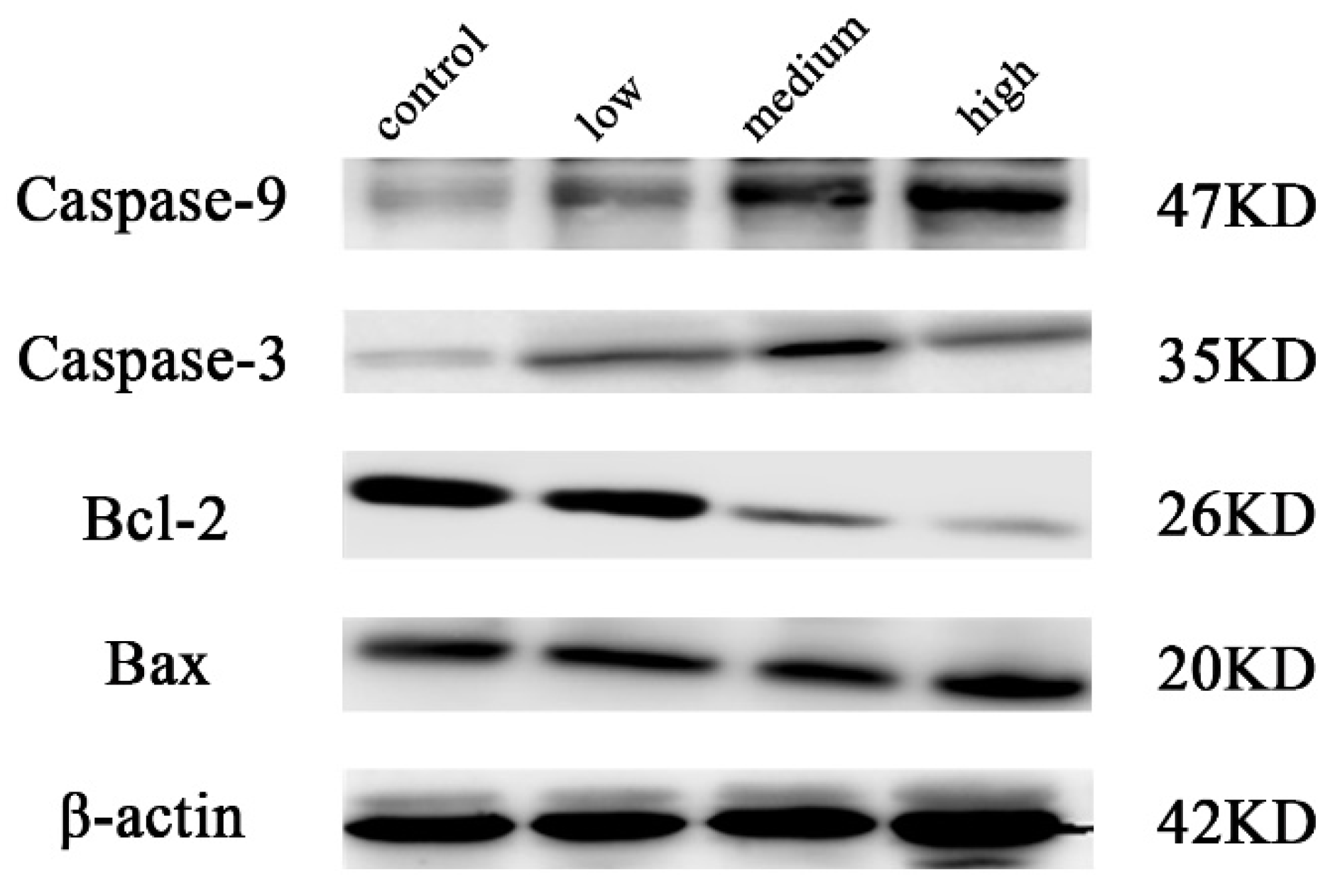
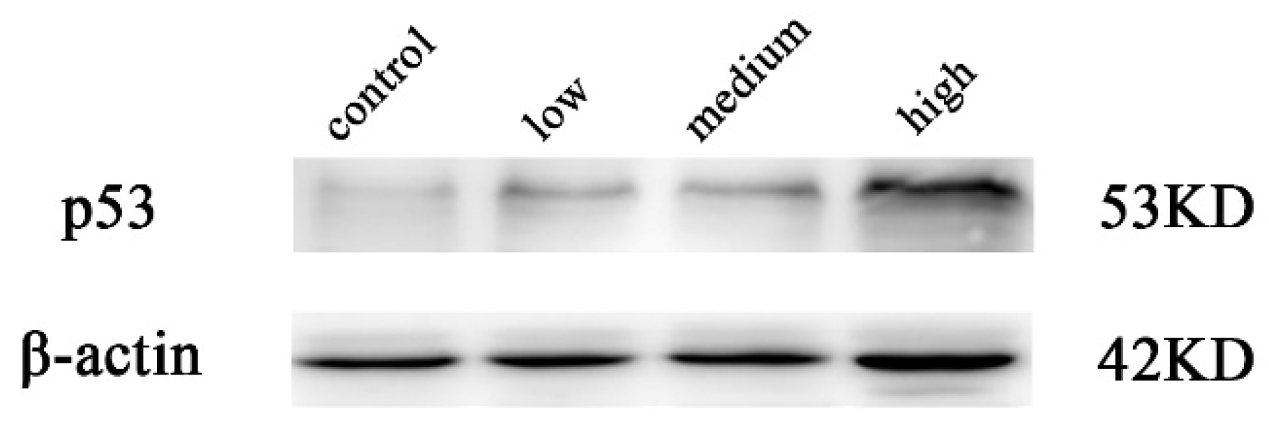
2.4. Results of Western Blot Analysis
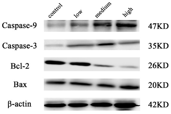
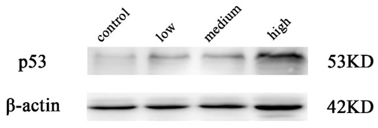
To investigate the mechanism and induction of cordycepin on MCF7 cell activity, after different concentrations of compound 4a on cells, test results of associated proteins by way of Western Blot assay were shown in Figure 6, Figure 7, Figure 8 and Figure 9. In this experiment, the blank group, compound 4a low dose (14 μM), medium dose (28 μM) and high dose (56 μM), Western Blot detected the expression levels of related apoptotic proteins, Caspase-9, Caspase-3, Bcl-2, Bax and p53 in each group. The results showed that compound 4a could down-regulate the expression of Bcl-2 protein and up-regulate the expression of Caspase-9, Caspase-3, Bax and p53.
Figure 6.
Western Blot method was used to detect the effect of sophocarpine on the expression of Caspase-9, Caspase-3, Bcl-2 and Bax in breast cancer MCF7 cells.
Figure 7.
Western Blot method was used to detect the effect of sophocarpine on the expression of p53 in breast cancer MCF7 cells.
Figure 8.
Western Blot detection of Bax, Bcl-2, Caspase-3 and Caspase-9 protein expression ( ± s, n = 3); compared with control: * p < 0.05, ** p < 0.01, *** p < 0.001.
Figure 9.
Western Blot detection of p53 protein expression ( ± s, n = 3); compared with control: *** p < 0.001.
There are three confirmed apoptosis pathways: death receptor pathway, mitochondrial pathway and endoplasmic reticulum pathway. After receiving apoptosis stimulation, cyt-C enters the cytoplasm through the mitochondrial membrane and activates caspase-9 and caspase-3. Caspase-3 is in the downstream effector part of various apoptotic pathways and acts as the ultimate executor of the caspase cascade reaction. The Bcl-2 family is an important regulatory protein in the mitochondrial pathway of apoptosis. The pro-apoptotic and anti-apoptotic proteins of the Bcl family remained relatively stable, but when Bax is overexpressed, the number of Bax/Bax homologous dimers increased, and the cell response to the death signal was enhanced, promoting the occurrence of apoptosis. However, when Bcl-2 is highly expressed, the activation of caspase-3 is inhibited, and more heterodimers of Bcl-2/Bax with stable structure are formed, which can resist the induction effect of Bax/Bax on apoptosis. The ratio relationship between Bcl-2 and Bax is critical for cell survival. And p53 functions beyond its ability to trigger cell cycle arrest and programmed cell death and new activities such as regulating metabolism, autophagy and cellular oxidation status. P53 protein can specifically inhibit the expression of Bcl-2, secrete pro-apoptotic proteins (Bax, Bad, Bak) and anti-apoptotic proteins (Bcl-2, Bcl-xl) to induce the activation of pre-apoptotic protein Bax, induce mitochondria to release cyt-C and form apoptotic bodies. Activate the Caspases (Caspase-3, Caspase-9) pathway and cause cell apoptosis through protease hydrolysis. In this experiment, with the increasing dose of compound 4a, the relative expression levels of BAX, caspase-3 and p53 showed an increasing trend, while the expression of Bcl-2 showed an obvious decreasing trend, which indicated that compound 4a could promote apoptosis of MCF7, and the promotion effect of high dose on apoptosis was more obvious than that of low dose. We suggest that compound 4a may induce apoptosis of MCF7 in breast cancer through the mitochondrial pathway.
3. Conclusions
We modified the structure of cordycepin and synthesized new cordycepin derivatives by introducing fat-soluble groups on the N6 groups. The MTT method was used to investigate the bioactivity of the synthesized compounds against MCF7 cells of breast cancer, HepG2 cells of liver cancer and SGC-7901 cells of gastric cancer. Compound 4a showed significant inhibitory activity against MCF7 cells with an IC50 value of 27.57 ± 0.52 μM, which was superior to cordycepin (46.85± 1.62 μM). In the cytotoxicity test, it was found to be less toxic to normal cells MCF-10A, showing high selectivity between breast cancer cells and normal cell lines. Therefore, compound 4a was further studied to explore the effect of compound 4a on MCF7 through in vitro cell experiments. The results showed that the number of breast cancer MCF7 cells decreased gradually in a concentration-dependent manner after treatment and spherical dead cells were visible. Compound 4a can induce apoptosis and arrest the cell cycle in the G0/G1 phase. The related animal experiments need further verification.
In order to clarify the mechanism of compound 4a affecting MCF7 cells, Western Blot analysis showed that compound 4a could down-regulate the expression of Bcl-2 protein and up-regulate the expression of p53, Bax, Caspase-3 and Caspase-9 proteins. The mitochondrial membrane potential decreased continuously and the positive expression rate decreased. It was speculated that compound 4a induced the apoptosis of MCF7 cells through the mitochondrial pathway.
4. Experimental Section
4.1. Chemicals and Reagents
Cordycepin (more than 99% in purity) (TIANBAO Biopharmaceuticals, Canton, China). 2-Thiophenecarbonyl chloride; 2-Furoyl chloride; 6-Chloronicotinoyl chloride, tert-Butyldimethyl chlorosilane (TBDMSCl), imidazole, and tetrabutylammonium fluoride (TBAF) were purchased from Aladdin (Shanghai, China). All reagents were of analytical grade. RPMI-1640 (Gibco, Oakland, CA, USA); fetal bovine serum (Sijiqing, Hangzhou, China); MTT (Solarbio, Beijing, China); HCPT (Shengtai, Harbin, China); DMSO (BASF, Shanghai, China). Mitochondrial membrane potential assay kit, cell cycle apoptosis analysis kit, trypsin, RIPA lysis buffer, and Hoechst 33258 were purchased from Beyotime (Shanghai, China); Infinite F50 Microplate reader (TECAN group, Männedorf, Switzerland); HF90 Incubator (Lishen, Shanghai, China).
4.2. Synthesis
4.2.1. Synthesis of Compound 2
Cordycepin (1) (1.5 g, 6 mmol) and 0.4446 g imidazole (680 mg, 10 mmol) were dissolved in dry DMF (6 mL) under ultrasound-assisted dissolution. TBDMSCl (1.5 g, 10 mmol) was added in batches. The reaction was stirred for 5 h at room temperature and then concentrated in a vacuum. The organic layer was washed with water and ethyl acetate, then afterward dried and concentrated, and then the crude product was purified by silica gel column chromatography with MeOH/CH2CI2 (1:15). The compound 2 was obtained.
4.2.2. Synthesis of Compounds 3a–3c (i)
Compound 2 (0.5 g, 1 mmol) was dissolved in dry pyridine (14 mL). 2-Thiophenecarbonyl chloride (0.57 g, 4 mmol), 2-Furoyl chloride (0.59 g, 4 mmol) and 6-Chloronicotinoyl chloride (1.13 g, 4 mmol) were added to the solution under N2 protection, respectively. The reaction was stirred at room temperature for 8 h and then cooled to 0 °C. NH4OH (28% aq) (4 mL) was slowly added to the solution. After the mixture was stirred for 30 min, the solvent was removed, and the residue was dissolved in EtOAc. The organic layer was washed with water, NaHCO3 solution and salt water. Organic layers were incorporated together, and then the solvent was removed by vacuum concentration. The residues were purified by silica gel column (MeOH/CH2Cl2 = 1:25) to obtain target compounds 3a, 3b and 3c, respectively. The products were dried and weighed.
4.2.3. Synthesis of Compound 4a–4c (ii)
Compounds 3a (0.43 g, 0.4 mmol), 3b (0.42 g, 0.4 mmol) and 3c (0.6 g, 0.4 mmol) were dissolved in THF (13 mL) and TBAF (0.94 mL, 1.0 M THF solution) at 0 °C respectively. The reaction was stirred at room temperature for 5 h, and then the solvent was removed. The residues were purified by silica gel column (MeOH/CH2Cl2 = 1:20) to obtain compounds 4a, 4b and 4c respectively. The products were dried and weighed.
Melting points, optical rotation, TLC, 1H NMR. 13C NMR and MS were used to identify structures of new compounds. Melting points were tested on a YRT-3 melting point apparatus (Tianjin, China). Optical rotation was tested on PRO/P850 Polarimeter (Jinan, China). 1H NMR and 13C NMR were tested with Bruker Avance-500 MHz spectrometer (1H: 500 MHz, 13C: 125 MHz). Molecular weight was tested with TripIeTOF6600 (AB Sciex, Framingham, MA, USA).
4.3. Characterization
4.3.1. 5′-O-(Tert-butyldimethylsilyl)-3′-deoxyadenosine (2)
1H-NMR (500 MHz, CDCl3) δ: δ8.26 (1H, s, 2-H), 8.23 (1H, s, 8-H), 6.08 (2H, s, -NH2), 5.93 (1H, s, 1′-H), 4.62 (1H, s, 2′-H), 4.54 (1H, s, 4′-H), 3.97–3.66 (2H, ddd, 5′-CH2), 2.30–2.03 (2H, ddd, 3′-CH2), 0.80–0.01 (15H, m, -CH3); 13C-NMR (125 MHz, CDCl3): δ 155.30, 152.30, 148.77, 138.96, 120.14, 92.67, 81.71, 65.64, 63.92, 32.38, 30.61, 25.97, 19.26, 18.51, 13.69. White powder; yield 92.9%; mp 256–258 °C; [α −50 (0.1, MeOH).
4.3.2. 5′-O-(Tert-butyldimethylsilyl)-6-thiophenecarboxamide-3′-deoxya-denosine (3a)
1H-NMR (500 MHz, CDCl3) δ: 9.30 (1H, s, -NH), 8.65 (1H, s, 2-H), 8.37 (1H, s, 8-H), 7.76–7.00 (3H, dd, 6-CH=), 6.30 (1H, s, 1′-H), 5.75 (1H, d, 2′-H), 4.50 (1H, dt, 4′-H), 4.00–3.71 (2H, ddd, 5′-CH2), 2.64–2.18 (2H, ddd, 3′-CH2), 0.88–0.00 (15H, m, -CH3); 13C-NMR (125 MHz, CDCl3): δ161.13, 141.39, 134.50, 133.53, 132.62, 132.42, 130.90, 130.10, 128.82, 127.91, 89.27, 81.65, 78.98, 65.57, 63.65, 31.69, 30.53, 26.02, 19.17, 18.52, 13.75. Light yellow oily liquid; yield 92.3%; mp 263–267 °C; [α −60 (0.1, MeOH).
4.3.3. 5′-O-(Tert-butyldimethylsilyl)-6-furancarboxamide-3′-deoxyadenosine (3b)
1H-NMR (500 MHz, CDCl3) δ: 9.40 (1H, s, -NH), 8.70 (1H, s, 2-H), 8.40 (1H, s, 8-H), 7.60–7.17 (3H, d, 6-CH=), 6.30 (1H, s, 1′-H), 5.79 (1H, d, 2′-H), 4.51 (1H, dt, 4′-H), 4.00–3.70 (2H, ddd, 5′-CH2), 2.69–2.18 (2H, ddd, 3′-CH2), 0.86–0.00 (15H, m, -CH3);13C-NMR (125 MHz, CDCl3): 157.51, 147.00, 145.28, 143.73, 141.66, 123.20, 117.10, 112.90, 112.19, 89.22, 81.54, 78.67, 63.63, 53.49, 31.67, 30.54, 25.95, 19.15, 18.51, 13.72. Light yellow oily liquid; yield 95.2%; mp 235–236 °C; [α −65 (0.1, MeOH).
4.3.4. 5′-O-(Tert-butyldimethylsilyl)-6-6-chloroformamide-3′-deoxya-denosine (3c)
1H-NMR (500 MHz, CDCl3) δ: 1H-NMR (500 MHz, CDCl3): 10.03 (1H, s, -NH), 8.93 (1H, s, 2-H), 8.45 (1H, s, 8-H), 8.18–7.23 (3H, d, 6-CH=), 6.33 (1H, s, 1′-H), 5.81 (1H, s, 2′-H), 4.53 (1H, s, 4′-H), 4.03–3.73 (2H, ddd, 5′-CH2), 2.66–2.22 (2H, ddd, 3′-CH2), 0.81–0.01 (15H, m, -CH3); 13C-NMR (125 MHz, CDCl3): 167.71, 163.43, 156.34, 151.24, 139.71, 132.25, 130.86, 128.80, 124.43, 124.20, 89.11, 81.61, 79.44, 63.61, 53.49, 31.43, 30.57, 25.95, 19.08, 18.49, 13.72. Yellow oily liquid; yield 85.5%; mp 231–233 °C; [α −64 (0.1, MeOH).
4.3.5. 6-Thiophenecarboxamide-3′-deoxyadenosine (4a)
IR (KBr) υmax: 3475, 3400, 3145, 2355, 1908, 1714, 1660, 1422, 1286, 1085, 995, 730, 639 cm−1; 1H-NMR (500 MHz, CDCl3) δ: 8.65 (1H, s, 2-H), 8.24 (1H, s, 8-H), 7.80–7.00 (3H, dd, 6-CH=), 6.14 (1H, s, 1′-H), 5.73 (1H, d, 2′-H), 4.58 (1H, t, 4′-H), 4.07–3.66 (2H, ddd, 5′-CH2), 2.91–2.23 (1H, ddd, 3′-CH2); 13C-NMR (125 MHz, CDCl3): δ161.38, 152.28, 150.83, 149.64, 142.33, 132.16, 130.46, 128.10, 128.05, 123.50, 91.06, 82.03, 78.89, 62.82, 31.23. MS m/z 362.1094 [M+H]+; white powder; yield 83.5%; mp 267–269 °C; [α−71 (0.1, MeOH).
4.3.6. 6-Furancarboxamide-3′-deoxyadenosine (4b)
IR (KBr) υmax: 3620, 3118, 2335, 2363, 1915, 1801, 1400, 1155, 1050, 977, 835, 672 cm−1; 1H-NMR (500 MHz, CDCl3) δ: 8.80 (1H, s, 2-H), 8.28 (1H, s, 8-H), 7.62–7.25 (3H, d, 6-CH=), 6.20 (1H, s, 1′-H), 5.82 (1H, dt, 2′-H), 4.67 (1H, t, 4′-H), 3.75–4.18 (2H, ddd, 5′-CH2), 2.30–3.08 (1H, ddd, 3′-CH2); 13C-NMR (125 MHz, CDCl3): δ157.8, 154.53, 152.52, 150.72, 149.42, 119.42, 117.44, 113.01, 112.21, 123.65, 91.34, 81.97, 78.70, 63.00, 31.21. MS m/z 346.1324 [M+H]+; white powder; yield 67.2%; mp 213–215 °C; [α −73 (0.1, MeOH).
4.3.7. 6-6-Chloronicotinamide-3′-deoxyadenosine (4c)
IR (KBr) υmax: 3400, 3330, 3220, 2949, 1736, 165, 1605, 1298, 1135, 1094, 760, 646, 521 cm−1; 1H-NMR (500 MHz, DMSO-d6): 11.57 (1H, s, -NH2), 9.00 (1H, s, 2-H), 8.77 (1H, s, 8-H), δ 8.77–7.25 (3H, d, 6-CH=), 6.04 (1H, s, 1′-H), 5.78 (1H, d, 2′-OH), 5.10 (1H, t, 5′-OH), 4.65 (1H, s, 2′-H), 4.41 (1H, d, 4′-H), 3.75–3.54 (2H, ddd, 5′-CH2), 1.96–1.93 (1H, ddd, 3′-CH2); 13C-NMR (125 MHz, DMSO-d6): δ163.82, 153.95, 152.35, 152.03, 150.54, 150.00, 143.28, 140.22, 129.13, 125.92, 124.74, 91.38, 81.67, 75.34, 62.8, 34.24. MS m/z 391.1080 [M+H]+; white powder; yield 87.6%; mp 225–227 °C;[α −74 (0.1, MeOH).
4.4. Cell Culture
MCF7, HepG2, SGC-7901 and MCF-10A were purchased from the National Infrastructure of Cell Line Resources in the Chinese Academy of Sciences (Shanghai Institute of Biochemistry and Cell Biology, Shanghai, China). Cells were maintained using RPMI-1640 medium with 10% fetal bovine serum. The cells were maintained at 37 °C in a 5% CO2-containing incubator for all treatments. Logarithmic growth phase cells were used in all experiments.
4.5. Cell Proliferation and Cytotoxicity Assays
The effect of compounds on the proliferation of cancer cells was determined with an MTT assay [27,28,29]. Cells monolayer in exponential growth were seeded in 96-well plates at 5 × 103 cells/well. After cultured at 37 °C for 24 h, the culture medium was removed, then compounds (3a–4c) (1.25, 2.5, 5, 10, 20, 40, 80 μM) and HCPT (4, 8, 16 μM) were added. After 48 h incubation, 100 µL of MTT was added to each well and then cultured for 4 h in a 37 °C incubator. After that, the medium was aspirated, 150 µL of DMSO was then added to each well, and the 96-well plates were placed on an orbital shaker for 12 min until the formazan dissolved completely. The absorbance was measured at a test wavelength of 490 nm with a microplate reader, the optical density (OD) values were tested and the inhibitory rate and half inhibitory concentration (IC50) were calculated for each administration group.
4.6. Hoechst 33258 Staining Assay
Cells were cultured in the medium for 24 h and treated with compounds, cordycepin and HCPT. Cells were observed under inverted light microscopy (Olympus Corporation Tokyo, Japan). Then, cells were fixed for 1 h at room temperature with 4% paraformaldehyde, and Hoechst 33258 was used to stain the cells. Fluorescence microscopy (ECLIPSE Ti2; Nikon, Tokyo, Japan) was used to observe the apoptotic cells.
4.7. Mitochondrial Membrane Potential Assay
MCF7 cells were cultured in 6-well plates, after treatment with compounds in different concentrations and positive control group (HCPT), cells were harvested, washed with PBS, and then stained with rhodamine 123 (100 µg) for 30 min at 37 °C. The cells were collected by pipetting, washed twice with PBS and analyzed by flow cytometry (BD Biosciences, San Jose, CA, USA).
4.8. Cell Cycle Detection
Cells were cultured in the medium for 24 h and treated with compounds in different concentrations and HCPT incubated for 48 h. The cells were centrifuged at 1000 rpm for 10 min and washed with PBS. Subsequently, the cells were fixed with 70% ethanol for 24 h and then stained with annexin V-FITC (10 μL) and propidium iodide (PI; 10 μL). The proportion of apoptotic cells was then measured by flow cytometry.
After the treatments, the harvested cells were incubated at 70% in ice-ethanol overnight. Subsequently, they were washed twice using PBS and incubated with propidium iodide (PI) and RNase A. Finally, the proportions of cells in different cell cycle phases were determined by flow cytometry.
4.9. Western Blot Assay
Cells were cultured in the medium for 24 h and treated with compounds in different concentrations and HCPT for 48 h. After lysis buffer (RIPA: PMSF = 100:1) was used to lyse cells. The lysate was further sonicated and centrifuged at 12,000 rpm for 15 min, then the supernatant obtained was collected and the denatured protein mixture was subjected to SDS gel electrophoresis and transferred to nitrocellulose membranes, and blocked with containing 5% nonfat milk. Then, the membranes were incubated with the primary antibodies (1:1000, overnight 4 °C) and secondary antibodies (1:5000, 1 h). Then, ECL Solution was used to detect the antigen–antibody complexes. The data were analyzed by NIH Image J 1.53a software.
4.10. Statistical Analysis
Data were presented as mean ± SEM. The statistical significance was tested using Student’s t-test, one-way ANOVA, or two-way ANOVA with Bonferroni posttests. p < 0.05 was considered to be statistically significant. Tested significance is displayed in the figures as * p < 0.05; ** p < 0.01; *** p < 0.001.
Author Contributions
L.C. designed the procedure and wrote the manuscript. L.Z. and T.Y. synthesized the compounds. G.S. analyzed the data. D.Y. and Y.Z. performed the biological assay. B.Y. conceived the project. All authors have read and agreed to the published version of the manuscript.
Funding
This study was supported financially by the Postdoctoral Project of Heilongjiang Province (LBH-Z21066) and training program for young innovative talents in scientific research of Harbin University of Commerce (2023-KYYWF-1025).
Institutional Review Board Statement
Not applicable.
Informed Consent Statement
Not applicable.
Data Availability Statement
Data are contained within the article.
Acknowledgments
All the research was conducted by the authors.
Conflicts of Interest
The authors declare no conflict of interest.
References
- Cunningham, K.; Manson, W.; Spring, F.; Hutchinson, S. Cordycepin, a metabolic product isolated from cultures of Cordyceps militaris (Linn.) Link. Nature 1950, 166, 949. [Google Scholar]
- Tuli, H.S.; Sandhu, S.S.; Sharma, A. Pharmacological and therapeutic potential of Cordyceps with special reference to Cordycepin. 3 Biotech 2014, 4, 1–12. [Google Scholar] [CrossRef] [PubMed]
- Yue, K.; Ye, M.; Zhou, Z.; Sun, W.; Lin, X. The genus Cordyceps: A chemical and pharmacological review. J. Pharm. Pharmacol. 2013, 65, 474–493. [Google Scholar] [PubMed]
- Park, J.M.; Lee, J.S.; Lee, K.R.; Ha, S.J.; Hong, E.K. Cordyceps militaris extract protects human dermal fibroblasts against oxidative stress-induced apoptosis and premature senescence. Nutrients 2014, 6, 3711–3726. [Google Scholar] [CrossRef] [PubMed]
- Yin, J.; Xin, X.; Weng, Y.; Gui, Z. Transcriptome-wide analysis reveals the progress of Cordyceps militaris subculture degeneration. PLoS ONE 2017, 12, e0186279. [Google Scholar]
- Liu, W.; Zhang, L.; Sun, S.; Tang, L.; He, S.; Chen, A.; Yao, L.; Ren, D. Cordycepin inhibits inflammatory responses through suppression of ERK activation in zebrafish. Dev. Comp. Immunol. 2021, 124, 104178. [Google Scholar]
- Zhang, X.; Huang, W.; Tang, P.; Sun, Y.; Zhang, X.; Qiu, L.; Yu, B.; Zhang, X.; Hong, Y.; He, Y. Anti-inflammatory and neuroprotective effects of natural cordycepin in rotenone-induced PD models through inhibiting Drp1-mediated mitochondrial fission. Neurotoxicology 2021, 84, 1–13. [Google Scholar] [CrossRef]
- Liao, X.; Gao, Y.; Zhao, H.; Zhou, M.; Chen, D.; Tao, L.; Guo, W.; Sun, L.; Gu, C.; Chen, H. Cordycepin reverses cisplatin resistance in non-small cell lung cancer by activating AMPK and inhibiting AKT signaling pathway. Front. Cell Dev. Biol. 2021, 8, 609285. [Google Scholar]
- Mai, N.X.D.; Le, U.-C.N.; Nguyen, L.H.T.; Ta, H.T.K.; Van, N.H.; Le, T.M.; Phan, T.B.; Nguyen, L.T.T.; Tamanoi, F.; Doan, T.L.H. Facile synthesis of biodegradable mesoporous functionalized-organosilica nanoparticles for enhancing the anti-cancer efficiency of cordycepin. Microporous. Mesoporous. Mater. 2021, 315, 110913. [Google Scholar]
- Wen, Z.; Du, X.; Meng, N.; Li, Y.; Mi, R.; Li, X.; Sun, Y.; Ma, S.; Li, S. Tussah silkmoth pupae improve anti-tumor properties of Cordyceps militaris (L.) Link by increasing the levels of major metabolite cordycepin. RSC Adv. 2019, 9, 5480–5491. [Google Scholar] [CrossRef]
- Lee, C.; Huang, K.; Shaw, J.; Chen, J.; Kuo, W.; Shen, G.; Grumezescu, A.M.; Holban, A.M.; Wang, Y.; Wang, J. Trends in the immunomodulatory effects of Cordyceps militaris: Total extracts, polysaccharides and cordycepin. Front. Pharmacol. 2020, 1824, 575704. [Google Scholar] [CrossRef] [PubMed]
- Fei, X.; Zhang, X.; Zhang, G.; Bao, W.; Zhang, Y.; Zhang, M.; Zhou, X. Cordycepin inhibits airway remodeling in a rat model of chronic asthma. Biomed. Pharmacother. 2017, 88, 335–341. [Google Scholar] [PubMed]
- Han, F.; Dou, M.; Wang, Y.; Xu, C.; Li, Y.; Ding, X.; Xue, W.; Zheng, J.; Tian, P.; Ding, C. Cordycepin protects renal ischemia/reperfusion injury through regulating inflammation, apoptosis, and oxidative stress. Acta Biochim. Biophys. Sin. 2020, 52, 125–132. [Google Scholar] [CrossRef]
- Jia, Y.; Li, H.; Bao, H.; Zhang, D.; Feng, L.; Xiao, Y.; Zhu, K.; Hou, Y.; Luo, S.; Zhang, Y. Cordycepin (3′-deoxyadenosine) promotes remyelination via suppression of neuroinflammation in a cuprizone-induced mouse model of demyelination. Int. Immunopharmacol. 2019, 75, 105777. [Google Scholar] [CrossRef] [PubMed]
- Chang, M.M.; Hong, S.Y.; Yang, S.H.; Wu, C.C.; Wang, C.Y.; Huang, B.M. Anti-cancer effect of cordycepin on FGF9-induced testicular tumorigenesis. Int. J. Mol. Sci. 2020, 21, 8336. [Google Scholar] [CrossRef] [PubMed]
- Radhi, M.; Ashraf, S.; Lawrence, S.; Tranholm, A.A.; Wellham, P.A.D.; Hafeez, A.; Khamis, A.S.; Thomas, R.; McWilliams, D.; DeMoor, C.H. A systematic review of the biological effects of cordycepin. Molecules 2021, 26, 5886. [Google Scholar] [CrossRef]
- Yoon, S.Y.; Park, S.J.; Park, Y.J. The anticancer properties of cordycepin and their underlying mechanisms. Int. J. Mol. Sci. 2018, 19, 3027. [Google Scholar] [CrossRef]
- Liu, C.; Qi, M.; Li, L.; Yuan, Y.; Wu, X.; Fu, J. Natural cordycepin induces apoptosis and suppresses metastasis in breast cancer cells by inhibiting the Hedgehog pathway. Food Funct. 2020, 11, 2107–2116. [Google Scholar] [CrossRef]
- Lee, H.J.; Burger, P.; Vogel, M.; Friese, K.; Brüning, A. The nucleoside antagonist cordycepin causes DNA double strand breaks in breast cancer cells. Investig. New Drugs 2012, 30, 1917–1925. [Google Scholar]
- Noh, E.M.; Jung, S.H.; Han, J.H.; Chung, E.Y.; Jung, J.Y.; Kim, B.S.; Lee, S.H.; Lee, Y.R.; Kim, J.S. Cordycepin inhibits TPA-induced matrix metalloproteinase-9 expression by suppressing the MAPK/AP-1 pathway in MCF-7 human breast cancer cells. Int. J. Mol. Med. 2010, 25, 255–260. [Google Scholar]
- Thomadaki, H.; Tsiapalis, C.M.; Scorilas, A. Polyadenylate polymerase modulations in human epithelioid cervix and breast cancer cell lines, treated with etoposide or cordycepin, follow cell cycle rather than apoptosis induction. Biol. Chem. 2005. [Google Scholar] [CrossRef] [PubMed]
- Choi, S.; Lim, M.H.; Kim, K.M.; Jeon, B.H.; Song, W.O.; Kim, T.W. Cordycepin-induced apoptosis and autophagy in breast cancer cells are independent of the estrogen receptor. Toxicol. Appl. Pharmacol. 2011, 257, 165–173. [Google Scholar] [CrossRef]
- Bi, Y.; Li, H.; Yi, D.; Sun, Y.; Bai, Y.; Zhong, S.; Song, Y.; Zhao, G.; Chen, Y. Cordycepin augments the chemosensitivity of human glioma cells to temozolomide by activating AMPK and inhibiting the AKT signaling pathway. Mol. Pharm. 2018, 15, 4912–4925. [Google Scholar] [CrossRef] [PubMed]
- Zhou, Y.; Guo, Z.; Meng, Q.; Lu, J.; Wang, N.; Liu, H.; Liang, Q.; Quan, Y.; Wang, D.; Xie, J. Cordycepin affects multiple apoptotic pathways to mediate hepatocellular carcinoma cell death. Anti-Cancer Agents Med. Chem. 2017, 17, 143–149. [Google Scholar]
- Dong, J.; Li, Y.; Xiao, H.; Luo, D.; Zhang, S.; Zhu, C.; Jiang, M.; Cui, M.; Lu, L.; Fan, S. Cordycepin sensitizes breast cancer cells toward irradiation through elevating ROS production involving Nrf2. Toxicol. Appl. Pharmacol. 2019, 364, 12–21. [Google Scholar] [CrossRef]
- Alberts, S.R.; Wagman, L.D. Chemotherapy for colorectal cancer liver metastases. Oncologist 2008, 13, 1063–1073. [Google Scholar] [CrossRef]
- Lu, H.; Li, X.; Zhang, J.; Shi, H.; Zhu, X.; He, H. Effects of cordycepin on HepG2 and EA. hy926 cells: Potential antiproliferative, antimetastatic and anti-angiogenic effects on hepatocellular carcinoma. Oncol. Lett. 2014, 7, 1556–1562. [Google Scholar] [CrossRef]
- Nasser, M.I.; Masood, M.; Wei, W.; Li, X.; Zhou, Y.; Liu, B.; Li, J.; Li, X. Cordycepin induces apoptosis in SGC-7901 cells through mitochondrial extrinsic phosphorylation of PI3K/Akt by generating ROS. Int. J. Oncol. 2017, 50, 911–919. [Google Scholar] [CrossRef]
- Wei, C.; Khan, M.A.; Du, J.; Cheng, J.; Tania, M.; Leung, E.L.H.; Fu, J. Cordycepin inhibits triple-negative breast cancer cell migration and invasion by regulating EMT-TFs SLUG, TWIST1, SNAIL1, and ZEB1. Front. Oncol. 2022, 12, 898583. [Google Scholar] [CrossRef]
Disclaimer/Publisher’s Note: The statements, opinions and data contained in all publications are solely those of the individual author(s) and contributor(s) and not of MDPI and/or the editor(s). MDPI and/or the editor(s) disclaim responsibility for any injury to people or property resulting from any ideas, methods, instructions or products referred to in the content. |
© 2024 by the authors. Licensee MDPI, Basel, Switzerland. This article is an open access article distributed under the terms and conditions of the Creative Commons Attribution (CC BY) license (https://creativecommons.org/licenses/by/4.0/).
















