Dendrimer Coated Silica as a Sorbent for Dispersive Solid-Phase Extraction of Select Non-Steroidal Anti-Inflammatory Drugs from Water
Abstract
1. Introduction
2. Results
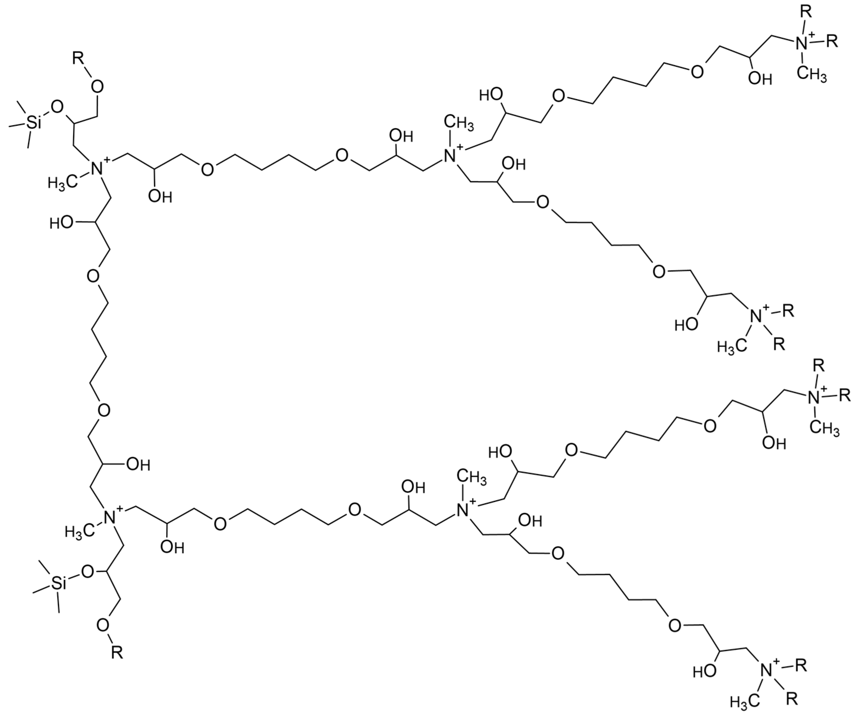
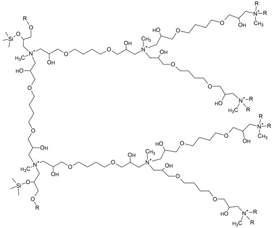
2.1. Sorbent Characterization
2.2. HPLC Calibration
2.3. Sorption Effectiveness
2.4. Environmental Samples
3. Discussion
4. Materials and Methods
5. Conclusions
Author Contributions
Funding
Institutional Review Board Statement
Informed Consent Statement
Data Availability Statement
Conflicts of Interest
References
- Chopra, S.; Kumar, D. Ibuprofen as an emerging organic contaminant in environment, distribution and remediation. Heliyon 2020, 6, e04087. [Google Scholar] [CrossRef] [PubMed]
- Jurado, A.; Vàzquez-Suñé, E.; Carrera, J.; López de Alda, M.; Pujades, E.; Barceló, D. Emerging organic contaminants in groundwater in Spain: A review of sources, recent occurrence and fate in a European context. Sci. Total Environ. 2012, 440, 82–94. [Google Scholar] [CrossRef] [PubMed]
- Oaks, J.L.; Gilbert, M.; Virani, M.Z.; Watson, R.T.; Meteyer, C.U.; Rideout, B.A.; Shivaprasad, H.L.; Ahmed, S.; Chaudhry, M.J.I.; Arshad, M.; et al. Diclofenac residues as the cause of vulture population decline in Pakistan. Nature 2004, 427, 630–633. [Google Scholar] [CrossRef] [PubMed]
- Wolecki, D.; Caban, M.; Pazdro, K.; Mulkiewicz, E.; Stepnowski, P.; Kumirska, J. Simultaneous determination of non-steroidal anti-inflammatory drugs and natural estrogens in the mussels Mytilus edulis trossulus. Talanta 2019, 200, 316–323. [Google Scholar] [CrossRef]
- Álvarez-Muñoz, D.; Rodríguez-Mozaz, S.; Maulvault, A.L.; Tediosi, A.; Fernández-Tejedor, M.; Van den Heuvel, F.; Kotterman, M.; Marques, A.; Barceló, D. Occurrence of pharmaceuticals and endocrine disrupting compoundsin macroalgaes, bivalves, and fish from coastal areas in Europe. Environ. Res. 2015, 143, 56–64. [Google Scholar] [CrossRef]
- Marchlewicz, A.; Guzik, U.; Wojcieszyńska, D. Over-the-Counter Monocyclic Non-Steroidal Anti-Inflammatory Drugs in Environment—Sources, Risks, Biodegradation. Water Air Soil Pollut. 2015, 226, 355. [Google Scholar] [CrossRef]
- Baranowska, I.; Kowalski, B. Using HPLC Method with DAD Detection for Simultaneous Determination of 15 Drugs in Surface Water and Wastewater. Pol. J. Environ. Stud. 2010, 20, 21–28. [Google Scholar]
- Patrolecco, L.; Ademollo, N.; Grenni, P.; Tolomei, A.; Caracciolo, A.B.; Capri, S. Simultaneous determination of human pharmaceuticals in water samples by solid phase extraction and HPLC with UV-fluorescence detection. Michrochemical J. 2013, 107, 165–171. [Google Scholar] [CrossRef]
- Shanmugam, G.; Sampath, S.; Selvaraj, K.K.; Larsson, D.G.J.; Ramaswamy, B.R. Non-steroidal anti-inflammatory drugs in Indian rivers. Environ. Sci. Pollut. Res. 2014, 21, 921–931. [Google Scholar] [CrossRef]
- Fekadu, S.; Alemayehu, E.; Dewil, R.; Van der Bruggen, B. Pharmaceuticals in freshwater aquatic environments: A comparison of the African and European challenge. Sci. Total Environ. 2019, 654, 324–337. [Google Scholar] [CrossRef]
- Caliman, F.A.; Gavrilescu, M. Pharmaceuticals, Personal Care Products and Endocrine Disrupting Agents in the Environment—A Review. Clean Soil Air Water 2009, 37, 277–303. [Google Scholar] [CrossRef]
- Chander, V.; Sharma, B.; Negi, V.; Aswal, R.S.; Singh, P.; Singh, R.; Dobhal, R. Pharmaceutical compounds in drinking water. J. Xenobiotics 2016, 6, 5774. [Google Scholar] [CrossRef] [PubMed]
- Li, W.C. Occurrence, sources, and fate of pharmaceuticals in aquatic environment and soil. Environ. Pollut. 2014, 187, 193–201. [Google Scholar] [CrossRef]
- European Union Strategic Approach to Pharmaceuticals in the Environment. Communication from the Comission to the European Parliament, the Council and European Economic and Social Committee, Brussels, 11.3.2019 COM(2019) 128 Final; European Union: Brussels, Belgium, 2019.
- Azizi, A.; Bottaro, C.S. A critical review of molecularly imprinted polymers for the analysis of organic pollutants in environmental water samples. J. Chromatogr. A 2020, 1614, 460603. [Google Scholar] [CrossRef] [PubMed]
- Majors, R.E. Sample Preparation Fundamentals for Chromatography; Agilent Technologies: Mississauga, ON, Canada, 2013. [Google Scholar]
- Kanu, A.B. Recent developments in sample preparation techniques combined with high-performance liquid chromatography: A critical review. J. Chromatogr. A 2021, 1654, 462444. [Google Scholar] [CrossRef] [PubMed]
- Faraji, M.; Yamini, Y.; Gholami, M. Recent Advances and Trends in Applications of Solid-Phase Extraction Techniques in Food and Environmental Analysis. Chromatographia 2019, 82, 1207–1249. [Google Scholar] [CrossRef]
- Anastassiades, M.; Lehotay, S.J.; Štajnbaher, D.; Schenck, F.J. Fast and easy multiresidue method employing acetonitrile extraction/partitioning and “dispersive solid-phase extraction” for the determination of pesticide residues in produce. J. AOAC Int. 2003, 86, 412–431. [Google Scholar] [CrossRef] [PubMed]
- Ma, Y.; Han, D.; Lei, Y.; Zhu, T. Dispersion solid-phase extraction of flavonoid with amphiphilic monomers N-vinyl pyrrolidone and 1H,1H,7H-dodecafluoroheptyl methacrylate based poly(styrene-divinylbenzene) and silica. Anal. Methods 2018, 10, 4680–4688. [Google Scholar] [CrossRef]
- Casado, N.; Pérez-Quintanilla, D.; Morante-Zarcero, S.; Sierra, I. Bi-functionalised mesostructured silicas as reversed phase/strong anion exchange sorbents. Application to extraction of polyphenols prior to their quantification by UHPLC with ion-trap mass spectrometry detection. Microchim. Acta 2019, 186, 164. [Google Scholar] [CrossRef]
- Si, R.; Han, Y.; Wu, D.; Qiao, F.; Bai, L.; Wang, Z.; Yan, H. Ionic liquid-organic-functionalized ordered mesoporous silica-integrated dispersive solid-phase extraction for determination of plant growth regulators in fresh Panax ginseng. Talanta 2020, 207, 120247. [Google Scholar] [CrossRef]
- Oellig, C.; Shmid, S. Polyethyleneimine as weak anionic exchanger adsorbent for clean-up in pesticide residue analysis of fruits and vegetables. J. Chromatogr. A 2019, 1597, 9–17. [Google Scholar] [CrossRef] [PubMed]
- Płotka-Wasylka, J.; Marć, M.; Szczepańska, N.; Namieśnik, J. New Polymeric Materials for Solid Phase Extraction. Crit. Rev. Anal. Chem. 2017, 47, 373–383. [Google Scholar] [CrossRef] [PubMed]
- El Kadib, A.; Katir, N.; Bousmina, M.; Majoral, J.P. Dendrimer–silica hybrid mesoporous materials. New J. Chem. 2012, 36, 241–255. [Google Scholar] [CrossRef]
- Li, Y.; Yang, J.; Huang, C.; Wang, L.; Wang, J.; Chen, J. Dendrimer-functionalized mesoporous silica as a reversed-phase/anion-exchange mixed-mode sorbent for solid phase extraction of acid drugs in human urine. J. Chromatogr. A 2015, 1392, 28–36. [Google Scholar] [CrossRef]
- Chavan, S.D.; Desai, D.M. Analytical method validation: A brief review. World J. Adv. Res. Rev. 2022, 16, 389–402. [Google Scholar] [CrossRef]
- Racamonde, I.; Rosario, R.; Quintana, J.B.; Sieira, B.J.; Kabir, A.; Furton, K.J.; Cela, R. Fabric phase sorptive extraction: A new sorptive microextraction technique for the determination of non-steroidal anti-inflammatory drugs from environmental water samples. Anal. Chim. Acta 2015, 865, 22–30. [Google Scholar] [CrossRef] [PubMed]
- Zhou, Y.; Xu, J.; Lu, N.; Wu, X.; Zhang, Y.; Hou, X. Development and application of metal-organic framework@GA based on solid-phase extraction coupling with UPLC-MS/MS for the determination of five NSAIDs in water. Talanta 2021, 225, 121846. [Google Scholar] [CrossRef] [PubMed]
- Wang, T.; Liu, S.; Gao, G.; Zhao, P.; Lu, N.; Lun, X.; Hou, X. Magnetic solid phase extraction of non-steroidal anti-inflammatory drugs from water samples using a metal organic framework of type Fe3O4/MIL-101(Cr), and their quantitation by UPLC-MS/MS. Microchim. Acta 2017, 184, 2981–2990. [Google Scholar] [CrossRef]
- Alinezhad, H.; Amiri, A.; Tarahomi, M.; Maleki, B. Magnetic solid-phase extraction of non-steroidal anti-inflammatory drugs from environmental water samples using polyamidoamine dendrimer functionalized with magnetite nanoparticles as a sorbent. Talanta 2018, 183, 149–157. [Google Scholar] [CrossRef]
- Chen, D.; Shi, F.; Xu, W.; Shen, H.; Zhy, Y. A simultaneous extraction and enrichment method for rapid detection of polar chlorophenoxy acid and non-steroidal anti-inflammatory drugs from wastewater based on low-generation dendrimer poly(propylene imine). Microchem. J. 2021, 168, 106454. [Google Scholar] [CrossRef]
- Al-Khadeeb, L.A.; Dahas, F.A. Green method development approach of superheated water liquid chromatography for separation and trace determination of non-steroidal anti-inflammatory compounds in pharmaceutical and water samples and their extraction. Arab. J. Chem. 2021, 14, 103226. [Google Scholar] [CrossRef]
- Skowroński, W. Preparation of Ion-Exchange Dendrimeric Sorbents for SPE. Master’s Thesis, Nicolaus Copernicus University, Toruń, Poland, 2015. [Google Scholar]





| Analyte | R2 | LOD [ng mL−1] | LOQ [ng mL−1] |
|---|---|---|---|
| Aspirin | 0.9936 | 131 | 396 |
| Ketoprofen | 0.9744 | 265 | 802 |
| Naproxen | 0.9952 | 114 | 346 |
| Diclofenac | 0.9985 | 63 | 191 |
| Ibuprofen | 0.9970 | 89 | 270 |
| Analyte | Sorption Capacity [mg g−1] | |
|---|---|---|
| MA-BDDE | Silica Gel 60 | |
| Aspirin | 2.005 | 0.08 |
| Ketoprofen | 1.073 | 0.11 |
| Naproxen | 2.131 | 0.11 |
| Diclofenac | 2.253 | 0.10 |
| Ibuprofen | 1.253 | 0.06 |
| Analyte | Recovery (%) (RSD (%); n = 3) | |
|---|---|---|
| Methanol | 1% HAc * | |
| Aspirin | 22 (8.5) | n.d. |
| Ketoprofen | 4 (5.8) | 96 (4.3) |
| Naproxen | 9 (6.8) | 103 (14.3) |
| Diclofenac | 12 (6.1) | 88 (9.7) |
| Ibuprofen | 26 (11.0) | 77 (10.1) |
| Analyte | Concentration (ng mL−1) | |
|---|---|---|
| Vistula | Brda | |
| Aspirin | n.d. | n.d. |
| Ketoprofen | n.d. | n.d. |
| Naproxen | n.d. | n.d. |
| Diclofenac | 32.7 | n.d. |
| Ibuprofen | 31.6 | n.d. |
| Brda River | Vistula River | Distilled Water | Tap Water | |
|---|---|---|---|---|
| Aspirin | 80 (13.8) | n.d. | n.d. | 92 (5.3) |
| Ketoprofen | 92 (8.1) | 88 (3.3) | 99 (3.7) | 99 (6.3) |
| Naproxen | 98 (8.7) | 93 (4.8) | 88 (7.8) | 96 (4.5) |
| Diclofenac | 96 (6.1) | 101 (6.0) | 93 (6.3) | 92 (5.2) |
| Ibuprofen | 72 (9.3) | 86 (10.1) | 79 (7.6) | 83 (9.3) |
| Analyte | Analytical Method | LOD (ng mL−1) | Linear Range (ng mL−1) | Reference |
|---|---|---|---|---|
| Diclofenac, ibuprofen, ketoprofen, naproxen | FPSE a-GC-MS | 0.8–5 | 0.005–0.5 | [28] |
| Phenlacetin, meloxicam, naproxen, diclofenac, carprofen | SPE-UHPLC-MS/MS | 0.019–0.041 | 0.02–5 | [29] |
| Piroxcam, meloxicam, ketoprofen, naproxen, diclofenac, indomethacin, mefenamic acid, tolfenamic acid | MSPE b-UHPLC-MS/MS | 0.003–0.06 | 0.02–25 | [30] |
| Naproxen, diclofenac, ibuprofen | MSPE-HPLC-UV | 0.05–0.08 | 0.15–500 | [31] |
| Ketoprofen, naproxen, diclofenac, ibuprofen | SPE-HPLC-UV | 2–32 | 5–500,000 | [33] |
| Ibuprofen, diclofenac, ketoprofen, 4-CAA c, clofibric acid | dSPE-HPLC-UV | 2.9–21.4 | 10–10,000 | [32] |
| Aspirin, diclofenac, ibuprofen, ketoprofen, naproxen | dSPE-HPLC-UV/Vis | 63–265 | 100–2000 | present study |
Disclaimer/Publisher’s Note: The statements, opinions and data contained in all publications are solely those of the individual author(s) and contributor(s) and not of MDPI and/or the editor(s). MDPI and/or the editor(s) disclaim responsibility for any injury to people or property resulting from any ideas, methods, instructions or products referred to in the content. |
© 2024 by the authors. Licensee MDPI, Basel, Switzerland. This article is an open access article distributed under the terms and conditions of the Creative Commons Attribution (CC BY) license (https://creativecommons.org/licenses/by/4.0/).
Share and Cite
Ścigalski, P.; Kosobucki, P. Dendrimer Coated Silica as a Sorbent for Dispersive Solid-Phase Extraction of Select Non-Steroidal Anti-Inflammatory Drugs from Water. Molecules 2024, 29, 380. https://doi.org/10.3390/molecules29020380
Ścigalski P, Kosobucki P. Dendrimer Coated Silica as a Sorbent for Dispersive Solid-Phase Extraction of Select Non-Steroidal Anti-Inflammatory Drugs from Water. Molecules. 2024; 29(2):380. https://doi.org/10.3390/molecules29020380
Chicago/Turabian StyleŚcigalski, Piotr, and Przemysław Kosobucki. 2024. "Dendrimer Coated Silica as a Sorbent for Dispersive Solid-Phase Extraction of Select Non-Steroidal Anti-Inflammatory Drugs from Water" Molecules 29, no. 2: 380. https://doi.org/10.3390/molecules29020380
APA StyleŚcigalski, P., & Kosobucki, P. (2024). Dendrimer Coated Silica as a Sorbent for Dispersive Solid-Phase Extraction of Select Non-Steroidal Anti-Inflammatory Drugs from Water. Molecules, 29(2), 380. https://doi.org/10.3390/molecules29020380

