The Role of Protein Methyltransferases in Immunity
Abstract
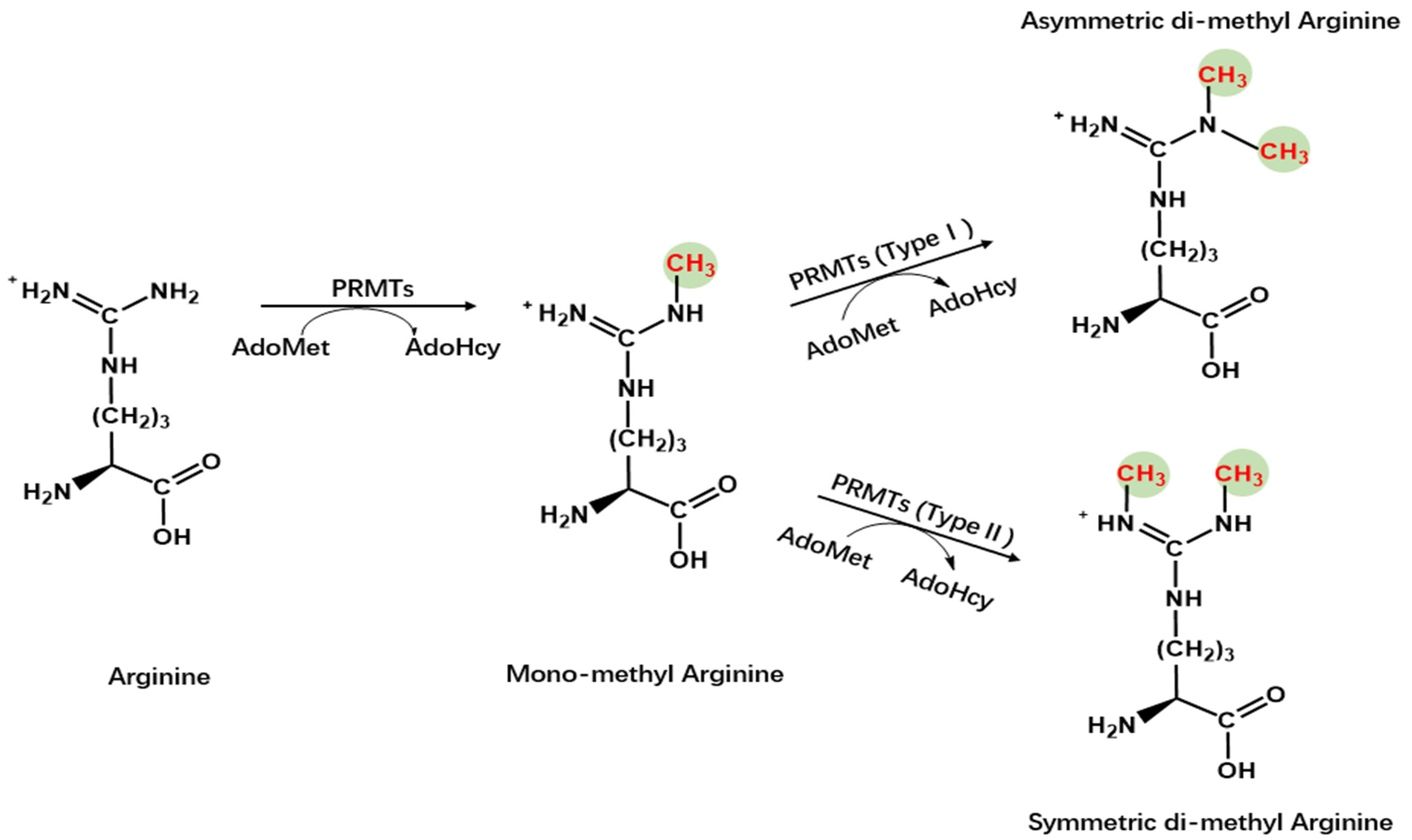
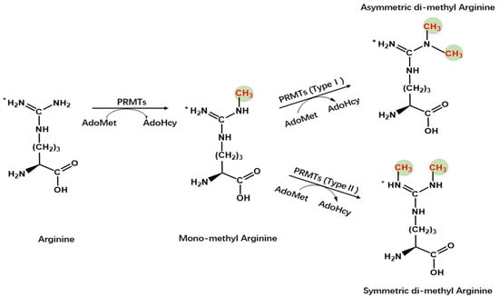
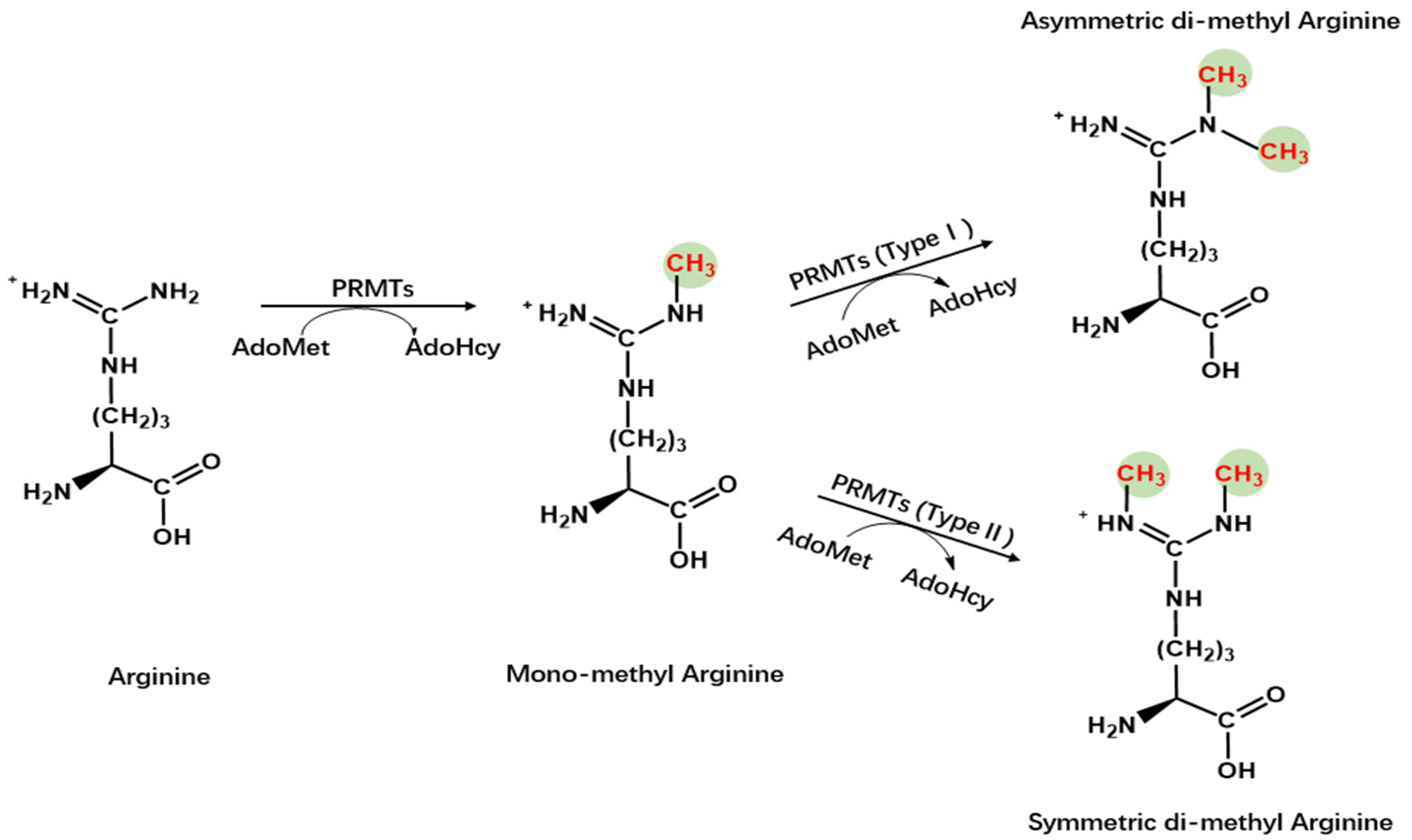
1. Introduction
2. The Role of Arginine Methyltransferases in Inflammatory Responses
2.1. PRMT1
2.2. CARM1
2.3. PRMT5
2.4. PRMT6
3. The Role of Lysine Methyltransferases in Inflammatory Responses
3.1. G9a
3.2. EHMT1
3.3. SETDB1
3.4. SMYDs
3.5. EZH2
4. Summary and Perspectives
Author Contributions
Funding
Institutional Review Board Statement
Informed Consent Statement
Data Availability Statement
Conflicts of Interest
References
- Yu, H.; Waddell, J.N.; Kuang, S.; Tellam, R.L.; Cockett, N.E.; Bidwell, C.A. Identification of genes directly responding to DLK1 signaling in Callipyge sheep. BMC Genom. 2018, 19, 283. [Google Scholar] [CrossRef] [PubMed]
- Tewary, S.K.; Zheng, Y.G.; Ho, M.C. Protein arginine methyltransferases: Insights into the enzyme structure and mechanism at the atomic level. Cell. Mol. Life Sci. 2019, 76, 2917–2932. [Google Scholar] [CrossRef]
- Alban, C.; Tardif, M.; Mininno, M.; Brugière, S.; Gilgen, A.; Ma, S.; Mazzoleni, M.; Gigarel, O.; Martin-Laffon, J.; Ferro, M.; et al. Uncovering the protein lysine and arginine methylation network in Arabidopsis chloroplasts. PLoS ONE 2014, 9, e95512. [Google Scholar] [CrossRef] [PubMed]
- Batra, R.; Gautam, T.; Pal, S.; Chaturvedi, D.; Rakhi; Jan, I.; Balyan, H.S.; Gupta, P.K. Identification and characterization of SET domain family genes in bread wheat (Triticum aestivum L.). Sci. Rep. 2020, 10, 14624. [Google Scholar] [CrossRef]
- Bedford, M.T.; Clarke, S.G. Protein Arginine Methylation in Mammals: Who, What, and Why. Mol. Cell 2009, 33, 1–13. [Google Scholar] [CrossRef]
- Bedford, M.T.; Richard, S. Arginine Methylation: An Emerging Regulator of Protein Function. Mol. Cell 2005, 18, 263–272. [Google Scholar] [CrossRef]
- Gary, J.D.; Clarke, S. RNA and protein interactions modulated by protein arginine methylation. Prog. Nucleic Acid. Res. Mol. Biol. 1998, 61, 65–131. [Google Scholar]
- Guccione, E.; Richard, S. The regulation, functions and clinical relevance of arginine methylation. Nat. Rev. Mol. Cell Biol. 2019, 20, 642–657. [Google Scholar] [CrossRef]
- Di Lorenzo, A.; Bedford, M.T. Histone arginine methylation. FEBS Lett. 2011, 585, 2024–2031. [Google Scholar] [CrossRef] [PubMed]
- Nicholson, T.B.; Chen, T.; Richard, S. The physiological and pathophysiological role of PRMT1-mediated protein arginine methylation. Pharmacol. Res. 2009, 60, 466–474. [Google Scholar] [CrossRef]
- Roth, M.; Helm-Kruse, S.; Friedrich, T.; Jeltsch, A. Functional Roles of Conserved Amino Acid Residues in DNA Methyltransferases Investigated by Site-directed Mutagenesis of theEcoRV Adenine-N6-methyltransferase*. J. Biol. Chem. 1998, 273, 17333–17342. [Google Scholar] [CrossRef] [PubMed]
- Lukashevich, O.V.; Cherepanova, N.A.; Jurkovska, R.Z.; Jeltsch, A.; Gromova, E.S. Conserved motif VIII of murine DNA methyltransferase Dnmt3a is essential for methylation activity. BMC Biochem. 2016, 17, 7. [Google Scholar] [CrossRef]
- Zakrzewicz, D.; Eickelberg, O. From arginine methylation to ADMA: A novel mechanism with therapeutic potential in chronic lung diseases. BMC Pulm. Med. 2009, 9, 5. [Google Scholar] [CrossRef] [PubMed]
- Sun, L.; Wang, M.; Lv, Z.; Yang, N.; Liu, Y.; Bao, S.; Gong, W.; Xu, R.-M. Structural insights into protein arginine symmetric dimethylation by PRMT5. Proc. Natl. Acad. Sci. USA 2011, 108, 20538–20543. [Google Scholar] [CrossRef] [PubMed]
- Smith, B.C.; Denu, J.M. Chemical mechanisms of histone lysine and arginine modifications. Biochim. Biophys. Acta 2009, 1789, 45–57. [Google Scholar] [CrossRef]
- Hyun, K.; Jeon, J.; Park, K.; Kim, J. Writing, erasing and reading histone lysine methylations. Exp. Mol. Med. 2017, 49, e324. [Google Scholar] [CrossRef]
- Black, J.C.; Van Rechem, C.; Whetstine, J.R. Histone lysine methylation dynamics: Establishment, regulation, and biological impact. Mol. Cell 2012, 48, 491–507. [Google Scholar] [CrossRef] [PubMed]
- Dillon, S.C.; Zhang, X.; Trievel, R.C.; Cheng, X. The SET-domain protein superfamily: Protein lysine methyltransferases. Genome Biol. 2005, 6, 227. [Google Scholar] [CrossRef]
- Liu, H.; Galka, M.; Mori, E.; Liu, X.; Lin, Y.F.; Wei, R.; Pittock, P.; Voss, C.; Dhami, G.; Li, X.; et al. A method for systematic mapping of protein lysine methylation identifies functions for HP1β in DNA damage response. Mol. Cell 2013, 50, 723–735. [Google Scholar] [CrossRef][Green Version]
- Lee, T.Y.; Chang, C.W.; Lu, C.T.; Cheng, T.H.; Chang, T.H. Identification and characterization of lysine-methylated sites on histones and non-histone proteins. Comput. Biol. Chem. 2014, 50, 11–18. [Google Scholar] [CrossRef] [PubMed]
- Wu, Z.; Connolly, J.; Biggar, K.K. Beyond histones—The expanding roles of protein lysine methylation. FEBS J. 2017, 284, 2732–2744. [Google Scholar] [CrossRef] [PubMed]
- Morera, L.; Lübbert, M.; Jung, M. Targeting histone methyltransferases and demethylases in clinical trials for cancer therapy. Clin. Epigenetics 2016, 8, 57. [Google Scholar] [CrossRef] [PubMed]
- Greer, E.L.; Shi, Y. Histone methylation: A dynamic mark in health, disease and inheritance. Nat. Rev. Genet. 2012, 13, 343–357. [Google Scholar] [CrossRef]
- Poulard, C.; Corbo, L.; Le Romancer, M. Protein arginine methylation/demethylation and cancer. Oncotarget 2016, 7, 67532–67550. [Google Scholar] [CrossRef] [PubMed]
- Yang, X.; Wong, M.P.M.; Ng, R.K. Aberrant DNA Methylation in Acute Myeloid Leukemia and Its Clinical Implications. Int. J. Mol. Sci. 2019, 20, 4576. [Google Scholar] [CrossRef] [PubMed]
- Song, Y.; Wu, F.; Wu, J. Targeting histone methylation for cancer therapy: Enzymes, inhibitors, biological activity and perspectives. J. Hematol. Oncol. 2016, 9, 49. [Google Scholar] [CrossRef] [PubMed]
- Li, M.; An, W.; Xu, L.; Lin, Y.; Su, L.; Liu, X. The arginine methyltransferase PRMT5 and PRMT1 distinctly regulate the degradation of anti-apoptotic protein CFLARL in human lung cancer cells. J. Exp. Clin. Cancer Res. 2019, 38, 64. [Google Scholar] [CrossRef] [PubMed]
- Bedford, M.T. Arginine methylation at a glance. J. Cell Sci. 2007, 120, 4243–4246. [Google Scholar] [CrossRef] [PubMed]
- Tikhanovich, I.; Kuravi, S.; Artigues, A.; Villar, M.T.; Dorko, K.; Nawabi, A.; Roberts, B.; Weinman, S.A. Dynamic Arginine Methylation of Tumor Necrosis Factor (TNF) Receptor-associated Factor 6 Regulates Toll-like Receptor Signaling. J. Biol. Chem. 2015, 290, 22236–22249. [Google Scholar] [CrossRef] [PubMed]
- Hassa, P.O.; Covic, M.; Bedford, M.T.; Hottiger, M.O. Protein Arginine Methyltransferase 1 Coactivates NF-κB-Dependent Gene Expression Synergistically with CARM1 and PARP1. J. Mol. Biol. 2008, 377, 668–678. [Google Scholar] [CrossRef] [PubMed]
- Reintjes, A.; Fuchs, J.E.; Kremser, L.; Lindner, H.H.; Liedl, K.R.; Huber, L.A.; Valovka, T. Asymmetric arginine dimethylation of RelA provides a repressive mark to modulate TNFα/NF-κB response. Proc. Natl. Acad. Sci. USA 2016, 113, 4326–4331. [Google Scholar] [CrossRef] [PubMed]
- Tai, D.J.C.; Hsu, W.L.; Liu, Y.C.; Ma, Y.L.; Lee, E.H.Y. Novel role and mechanism of protein inhibitor of activated STAT1 in spatial learning. EMBO J. 2011, 30, 205–220. [Google Scholar] [CrossRef]
- Weber, S.; Maaß, F.; Schuemann, M.; Krause, E.; Suske, G.; Bauer, U.-M. PRMT1-mediated arginine methylation of PIAS1 regulates STAT1 signaling. Genes Dev. 2011, 25, 1451. [Google Scholar] [CrossRef] [PubMed]
- Mowen, K.A.; Tang, J.; Zhu, W.; Schurter, B.T.; Shuai, K.; Herschman, H.R.; David, M. Arginine Methylation of STAT1 Modulates IFNα/β-Induced Transcription. Cell 2001, 104, 731–741. [Google Scholar] [CrossRef] [PubMed]
- Tikhanovich, I.; Zhao, J.; Olson, J.; Adams, A.; Taylor, R.; Bridges, B.; Marshall, L.; Roberts, B.; Weinman, S.A. Protein arginine methyltransferase 1 modulates innate immune responses through regulation of peroxisome proliferator-activated receptor γ-dependent macrophage differentiation. J. Biol. Chem. 2017, 292, 6882–6894. [Google Scholar] [CrossRef]
- Infantino, S.; Light, A.; O’Donnell, K.; Bryant, V.; Avery, D.T.; Elliott, M.; Tangye, S.G.; Belz, G.; Mackay, F.; Richard, S.; et al. Arginine methylation catalyzed by PRMT1 is required for B cell activation and differentiation. Nat. Commun. 2017, 8, 891. [Google Scholar] [CrossRef]
- Mowen, K.A.; Schurter, B.T.; Fathman, J.W.; David, M.; Glimcher, L.H. Arginine Methylation of NIP45 Modulates Cytokine Gene Expression in Effector T Lymphocytes. Mol. Cell 2004, 15, 559–571. [Google Scholar] [CrossRef]
- Sen, S.; He, Z.; Ghosh, S.; Dery, K.J.; Yang, L.; Zhang, J.; Sun, Z. PRMT1 Plays a Critical Role in Th17 Differentiation by Regulating Reciprocal Recruitment of STAT3 and STAT5. J. Immunol. 2018, 201, 440–450. [Google Scholar] [CrossRef] [PubMed]
- Parry, R.V.; Ward, S.G. Protein arginine methylation: A new handle on T lymphocytes? Trends Immunol. 2010, 31, 164–169. [Google Scholar] [CrossRef] [PubMed]
- Blanchet, F.; Cardona, A.; Letimier, F.A.; Hershfield, M.S.; Acuto, O. CD28 costimulatory signal induces protein arginine methylation in T cells. J. Exp. Med. 2005, 202, 371–377. [Google Scholar] [CrossRef] [PubMed]
- Yadav, N.; Lee, J.; Kim, J.; Shen, J.; Hu, M.C.; Aldaz, C.M.; Bedford, M.T. Specific protein methylation defects and gene expression perturbations in coactivator-associated arginine methyltransferase 1-deficient mice. Proc. Natl. Acad. Sci. USA 2003, 100, 6464–6468. [Google Scholar] [CrossRef] [PubMed]
- Chen, D.; Ma, H.; Hong, H.; Koh, S.S.; Huang, S.-M.; Schurter, B.T.; Aswad, D.W.; Stallcup, M.R. Regulation of Transcription by a Protein Methyltransferase. Science 1999, 284, 2174–2177. [Google Scholar] [CrossRef] [PubMed]
- Covic, M.; Hassa, P.O.; Saccani, S.; Buerki, C.; Meier, N.I.; Lombardi, C.; Imhof, R.; Bedford, M.T.; Natoli, G.; Hottiger, M.O. Arginine methyltransferase CARM1 is a promoter-specific regulator of NF-kappaB-dependent gene expression. EMBO J. 2005, 24, 85–96. [Google Scholar] [CrossRef]
- Li, H.; Park, S.; Kilburn, B.; Jelinek, M.A.; Henschen-Edman, A.; Aswad, D.W.; Stallcup, M.R.; Laird-Offringa, I.A. Lipopolysaccharide-induced methylation of HuR, an mRNA-stabilizing protein, by CARM1. Coactivator-associated arginine methyltransferase. J. Biol. Chem. 2002, 277, 44623–44630. [Google Scholar] [CrossRef]
- Li, J.; Zhao, Z.; Carter, C.; Ehrlich, L.I.R.; Bedford, M.T.; Richie, E.R. Coactivator-Associated Arginine Methyltransferase 1 Regulates Fetal Hematopoiesis and Thymocyte Development. J. Immunol. 2013, 190, 597–604. [Google Scholar] [CrossRef] [PubMed]
- Snyder, K.J.; Zitzer, N.C.; Gao, Y.; Choe, H.K.; Sell, N.E.; Neidemire-Colley, L.; Ignaci, A.; Kale, C.; Devine, R.D.; Abad, M.G.; et al. PRMT5 regulates T cell interferon response and is a target for acute graft-versus-host disease. J. Clin. Investig. 2020, 5, e131099. [Google Scholar] [CrossRef]
- Webb, L.M.; Amici, S.A.; Jablonski, K.A.; Savardekar, H.; Panfil, A.R.; Li, L.; Zhou, W.; Peine, K.; Karkhanis, V.; Bachelder, E.M.; et al. PRMT5-Selective Inhibitors Suppress Inflammatory T Cell Responses and Experimental Autoimmune Encephalomyelitis. J. Immunol. 2017, 198, 1439–1451. [Google Scholar] [CrossRef]
- Chung, J.; Karkhanis, V.; Tae, S.; Yan, F.; Smith, P.; Ayers, L.W.; Agostinelli, C.; Pileri, S.; Denis, G.V.; Baiocchi, R.A.; et al. Protein arginine methyltransferase 5 (PRMT5) inhibition induces lymphoma cell death through reactivation of the retinoblastoma tumor suppressor pathway and polycomb repressor complex 2 (PRC2) silencing. J. Biol. Chem. 2013, 288, 35534–35547. [Google Scholar] [CrossRef]
- Nagai, Y.; Ji, M.Q.; Zhu, F.; Xiao, Y.; Tanaka, Y.; Kambayashi, T.; Fujimoto, S.; Goldberg, M.M.; Zhang, H.; Li, B.; et al. PRMT5 Associates with the FOXP3 Homomer and When Disabled Enhances Targeted p185(erbB2/neu) Tumor Immunotherapy. Front. Immunol. 2019, 10, 174. [Google Scholar] [CrossRef] [PubMed]
- Tanaka, Y.; Nagai, Y.; Okumura, M.; Greene, M.I.; Kambayashi, T. PRMT5 Is Required for T Cell Survival and Proliferation by Maintaining Cytokine Signaling. Front. Immunol. 2020, 11, 621. [Google Scholar] [CrossRef]
- Litzler, L.C.; Zahn, A.; Meli, A.P.; Hébert, S.; Patenaude, A.-M.; Methot, S.P.; Sprumont, A.; Bois, T.; Kitamura, D.; Costantino, S.; et al. PRMT5 is essential for B cell development and germinal center dynamics. Nat. Commun. 2019, 10, 22. [Google Scholar] [CrossRef] [PubMed]
- Avasarala, S.; Wu, P.-Y.; Khan, S.Q.; Yanlin, S.; Van Scoyk, M.; Bao, J.; Di Lorenzo, A.; David, O.; Bedford, M.T.; Gupta, V.; et al. PRMT6 Promotes Lung Tumor Progression via the Alternate Activation of Tumor-Associated Macrophages. Mol. Cancer Res. 2020, 18, 166–178. [Google Scholar] [CrossRef]
- Xie, B.; Invernizzi, C.F.; Richard, S.; Wainberg, M.A. Arginine Methylation of the Human Immunodeficiency Virus Type 1 Tat Protein by PRMT6 Negatively Affects Tat Interactions with both Cyclin T1 and the Tat Transactivation Region. J. Virol. 2007, 81, 4226–4234. [Google Scholar] [CrossRef]
- Di Lorenzo, A.; Yang, Y.; Macaluso, M.; Bedford, M.T. A gain-of-function mouse model identifies PRMT6 as a NF-κB coactivator. Nucleic Acids Res. 2014, 42, 8297–8309. [Google Scholar] [CrossRef] [PubMed]
- Zhang, H.; Han, C.; Li, T.; Li, N.; Cao, X. The methyltransferase PRMT6 attenuates antiviral innate immunity by blocking TBK1–IRF3 signaling. Cell. Mol. Immunol. 2018, 16, 800–809. [Google Scholar] [CrossRef]
- Lin, W.J.; Gary, J.D.; Yang, M.C.; Clarke, S.; Herschman, H.R. The mammalian immediate-early TIS21 protein and the leukemia-associated BTG1 protein interact with a protein-arginine N-methyltransferase. J. Biol. Chem. 1996, 271, 15034–15044. [Google Scholar] [CrossRef] [PubMed]
- Tang, J.; Frankel, A.; Cook, R.J.; Kim, S.-W.; Paik, W.K.; Williams, K.; Clarke, S.; Herschman, H. PRMT1 is the predominant type I protein arginine methyltransferase in mammalian cells. J. Biol. Chem. 2000, 275, 7723–7730. [Google Scholar] [CrossRef]
- Hayden, M.S.; West, A.P.; Ghosh, S. NF-κB and the immune response. Oncogene 2006, 25, 6758–6780. [Google Scholar] [CrossRef]
- Oeckinghaus, A.; Ghosh, S. The NF-kappaB family of transcription factors and its regulation. Cold Spring Harb. Perspect. Biol. 2009, 1, a000034. [Google Scholar] [CrossRef]
- Bonizzi, G.; Karin, M. The two NF-κB activation pathways and their role in innate and adaptive immunity. Trends Immunol. 2004, 25, 280–288. [Google Scholar] [CrossRef]
- Abramovich, C.; Yakobson, B.; Chebath, J.; Revel, M. A protein-arginine methyltransferase binds to the intracytoplasmic domain of the IFNAR1 chain in the type I interferon receptor. EMBO J. 1997, 16, 260–266. [Google Scholar] [CrossRef] [PubMed]
- Kim, E.; Rahmawati, L.; Aziz, N.; Kim, H.G.; Kim, J.H.; Kim, K.H.; Yoo, B.C.; Parameswaran, N.; Kang, J.S.; Hur, H.; et al. Protection of c-Fos from autophagic degradation by PRMT1-mediated methylation fosters gastric tumorigenesis. Int. J. Biol. Sci. 2023, 19, 3640–3660. [Google Scholar] [CrossRef] [PubMed]
- Wu, C.-T.; Gershwin, M.E.; Davis, P.A. What Makes an Autoantigen an Autoantigen? Ann. N. Y. Acad. Sci. 2005, 1050, 134–145. [Google Scholar] [CrossRef]
- Helou, Y.A.; Petrashen, A.P.; Salomon, A.R. Vav1 Regulates T-Cell Activation through a Feedback Mechanism and Crosstalk between the T-Cell Receptor and CD28. J. Proteome Res. 2015, 14, 2963–2975. [Google Scholar] [CrossRef] [PubMed]
- Charvet, C.; Canonigo, A.J.; Bécart, S.; Maurer, U.; Miletic, A.V.; Swat, W.; Deckert, M.; Altman, A. Vav1 promotes T cell cycle progression by linking TCR/CD28 costimulation to FOXO1 and p27kip1 expression. J. Immunol. 2006, 177, 5024–5031. [Google Scholar] [CrossRef] [PubMed]
- Mowen, K.A.; David, M. Unconventional post-translational modifications in immunological signaling. Nat. Immunol. 2014, 15, 512–520. [Google Scholar] [CrossRef] [PubMed]
- Lee, Y.H.; Stallcup, M.R. Minireview: Protein arginine methylation of nonhistone proteins in transcriptional regulation. Mol. Endocrinol. 2009, 23, 425–433. [Google Scholar] [CrossRef]
- Xu, W.; Chen, H.; Du, K.; Asahara, H.; Tini, M.; Emerson, B.M.; Montminy, M.; Evans, R.M. A transcriptional switch mediated by cofactor methylation. Science 2001, 294, 2507–2511. [Google Scholar] [CrossRef]
- Stallcup, M.R.; Kim, J.H.; Teyssier, C.; Lee, Y.-H.; Ma, H.; Chen, D. The roles of protein–protein interactions and protein methylation in transcriptional activation by nuclear receptors and their coactivators. J. Steroid Biochem. Mol. Biol. 2003, 85, 139–145. [Google Scholar] [CrossRef]
- Pang, L.; Tian, H.; Chang, N.; Yi, J.; Xue, L.; Jiang, B.; Gorospe, M.; Zhang, X.; Wang, W. Loss of CARM1 is linked to reduced HuR function in replicative senescence. BMC Mol. Biol. 2013, 14, 15. [Google Scholar] [CrossRef]
- Constantinescu, C.S.; Farooqi, N.; O’Brien, K.; Gran, B. Experimental autoimmune encephalomyelitis (EAE) as a model for multiple sclerosis (MS). Br. J. Pharmacol. 2011, 164, 1079–1106. [Google Scholar] [CrossRef] [PubMed]
- Feng, J.; Dang, Y.; Zhang, W.; Zhao, X.; Zhang, C.; Hou, Z.; Jin, Y.; McNutt, M.A.; Marks, A.R.; Yin, Y. PTEN arginine methylation by PRMT6 suppresses PI3K–AKT signaling and modulates pre-mRNA splicing. Proc. Natl. Acad. Sci. USA 2019, 116, 6868–6877. [Google Scholar] [CrossRef] [PubMed]
- Cardamone, M.D.; Krones, A.; Tanasa, B.; Taylor, H.; Ricci, L.; Ohgi, K.A.; Glass, C.K.; Rosenfeld, M.G.; Perissi, V. A protective strategy against hyperinflammatory responses requiring the nontranscriptional actions of GPS2. Mol. Cell 2012, 46, 91–104. [Google Scholar] [CrossRef] [PubMed]
- Huang, J.; Cardamone, M.D.; Johnson, H.E.; Neault, M.; Chan, M.; Floyd, Z.E.; Mallette, F.A.; Perissi, V. Exchange Factor TBL1 and Arginine Methyltransferase PRMT6 Cooperate in Protecting G Protein Pathway Suppressor 2 (GPS2) from Proteasomal Degradation. J. Biol. Chem. 2015, 290, 19044–19054. [Google Scholar] [CrossRef]
- Yoshida, K.; Maekawa, T.; Zhu, Y.; Renard-Guillet, C.; Chatton, B.; Inoue, K.; Uchiyama, T.; Ishibashi, K.; Yamada, T.; Ohno, N.; et al. The transcription factor ATF7 mediates lipopolysaccharide-induced epigenetic changes in macrophages involved in innate immunological memory. Nat. Immunol. 2015, 16, 1034–1043. [Google Scholar] [CrossRef] [PubMed]
- Merkling, S.H.; Bronkhorst, A.W.; Kramer, J.M.; Overheul, G.J.; Schenck, A.; Van Rij, R.P. The epigenetic regulator G9a mediates tolerance to RNA virus infection in Drosophila. PLoS Pathog. 2015, 11, e1004692. [Google Scholar] [CrossRef]
- Lehnertz, B.; Northrop, J.P.; Antignano, F.; Burrows, K.; Hadidi, S.; Mullaly, S.C.; Rossi, F.M.V.; Zaph, C. Activating and inhibitory functions for the histone lysine methyltransferase G9a in T helper cell differentiation and function. J. Exp. Med. 2010, 207, 915–922. [Google Scholar] [CrossRef]
- Antignano, F.; Burrows, K.; Hughes, M.R.; Han, J.M.; Kron, K.J.; Penrod, N.M.; Oudhoff, M.J.; Wang, S.K.H.; Min, P.H.; Gold, M.J.; et al. Methyltransferase G9A regulates T cell differentiation during murine intestinal inflammation. J. Clin. Investig. 2014, 124, 1945–1955. [Google Scholar] [CrossRef]
- Shin, H.M.; Kapoor, V.; Guan, T.; Kaech, S.M.; Welsh, R.M.; Berg, L.J. Epigenetic modifications induced by Blimp-1 Regulate CD8⁺ T cell memory progression during acute virus infection. Immunity 2013, 39, 661–675. [Google Scholar] [CrossRef]
- Antignano, F.; Braam, M.; Hughes, M.R.; Chenery, A.L.; Burrows, K.; Gold, M.J.; Oudhoff, M.J.; Rattray, D.; Halim, T.Y.; Cait, A.; et al. G9a regulates group 2 innate lymphoid cell development by repressing the group 3 innate lymphoid cell program. J. Exp. Med. 2016, 213, 1153–1162. [Google Scholar] [CrossRef]
- Ea, C.K.; Hao, S.; Yeo, K.S.; Baltimore, D. EHMT1 protein binds to nuclear factor-κB p50 and represses gene expression. J. Biol. Chem. 2012, 287, 31207–31217. [Google Scholar] [CrossRef]
- Levy, D.; Kuo, A.J.; Chang, Y.; Schaefer, U.; Kitson, C.; Cheung, P.; Espejo, A.; Zee, B.M.; Liu, C.L.; Tangsombatvisit, S.; et al. Lysine methylation of the NF-κB subunit RelA by SETD6 couples activity of the histone methyltransferase GLP at chromatin to tonic repression of NF-κB signaling. Nat. Immunol. 2011, 12, 29–36. [Google Scholar] [CrossRef] [PubMed]
- Karl, M.; Sommer, C.; Gabriel, C.H.; Hecklau, K.; Venzke, M.; Hennig, A.F.; Radbruch, A.; Selbach, M.; Baumgrass, R. Recruitment of Histone Methyltransferase Ehmt1 to Foxp3 TSDR Counteracts Differentiation of Induced Regulatory T Cells. J. Mol. Biol. 2019, 431, 3606–3625. [Google Scholar] [CrossRef] [PubMed]
- Roy, A.; Ghosh, A.; Kumar, B.; Chandran, B. IFI16, a nuclear innate immune DNA sensor, mediates epigenetic silencing of herpesvirus genomes by its association with H3K9 methyltransferases SUV39H1 and GLP. eLife 2019, 8, e49500. [Google Scholar] [CrossRef]
- Hachiya, R.; Shiihashi, T.; Shirakawa, I.; Iwasaki, Y.; Matsumura, Y.; Oishi, Y.; Nakayama, Y.; Miyamoto, Y.; Manabe, I.; Ochi, K.; et al. The H3K9 methyltransferase Setdb1 regulates TLR4-mediated inflammatory responses in macrophages. Sci. Rep. 2016, 6, 28845. [Google Scholar] [CrossRef] [PubMed]
- Xiao, X.; Shi, X.; Fan, Y.; Wu, C.; Zhang, X.; Minze, L.; Liu, W.; Ghobrial, R.M.; Lan, P.; Li, X.C. The Costimulatory Receptor OX40 Inhibits Interleukin-17 Expression through Activation of Repressive Chromatin Remodeling Pathways. Immunity 2016, 44, 1271–1283. [Google Scholar] [CrossRef]
- Croft, M.; So, T.; Duan, W.; Soroosh, P. The significance of OX40 and OX40L to T-cell biology and immune disease. Immunol. Rev. 2009, 229, 173–191. [Google Scholar] [CrossRef]
- Martin, F.J.; Xu, Y.; Lohmann, F.; Ciccone, D.N.; Nicholson, T.B.; Loureiro, J.J.; Chen, T.; Huang, Q. KMT1E-mediated chromatin modifications at the FcγRIIb promoter regulate thymocyte development. Genes. Immun. 2015, 16, 162–169. [Google Scholar] [CrossRef]
- Takikita, S.; Muro, R.; Takai, T.; Otsubo, T.; Kawamura, Y.I.; Dohi, T.; Oda, H.; Kitajima, M.; Oshima, K.; Hattori, M.; et al. A Histone Methyltransferase ESET Is Critical for T Cell Development. J. Immunol. 2016, 197, 2269–2279. [Google Scholar] [CrossRef]
- Collins, P.L.; Kyle, K.E.; Egawa, T.; Shinkai, Y.; Oltz, E.M. The histone methyltransferase SETDB1 represses endogenous and exogenous retroviruses in B lymphocytes. Proc. Natl. Acad. Sci. USA 2015, 112, 8367–8372. [Google Scholar] [CrossRef]
- Pasquarella, A.; Ebert, A.; Pereira de Almeida, G.; Hinterberger, M.; Kazerani, M.; Nuber, A.; Ellwart, J.; Klein, L.; Busslinger, M.; Schotta, G. Retrotransposon derepression leads to activation of the unfolded protein response and apoptosis in pro-B cells. Development 2016, 143, 1788–1799. [Google Scholar] [CrossRef] [PubMed]
- Cuellar, T.L.; Herzner, A.M.; Zhang, X.; Goyal, Y.; Watanabe, C.; Friedman, B.A.; Janakiraman, V.; Durinck, S.; Stinson, J.; Arnott, D.; et al. Silencing of retrotransposons by SETDB1 inhibits the interferon response in acute myeloid leukemia. J. Cell Biol. 2017, 216, 3535–3549. [Google Scholar] [CrossRef]
- Xu, G.; Liu, G.; Xiong, S.; Liu, H.; Chen, X.; Zheng, B. The histone methyltransferase Smyd2 is a negative regulator of macrophage activation by suppressing interleukin 6 (IL-6) and tumor necrosis factor α (TNF-α) production. J. Biol. Chem. 2015, 290, 5414–5423. [Google Scholar] [CrossRef] [PubMed]
- Nagata, D.E.d.A.; Ting, H.A.; Cavassani, K.A.; Schaller, M.A.; Mukherjee, S.; Ptaschinski, C.; Kunkel, S.L.; Lukacs, N.W. Epigenetic control of Foxp3 by SMYD3 H3K4 histone methyltransferase controls iTreg development and regulates pathogenic T-cell responses during pulmonary viral infection. Mucosal Immunol. 2015, 8, 1131–1143. [Google Scholar] [CrossRef] [PubMed]
- Stender, J.D.; Pascual, G.; Liu, W.; Kaikkonen, M.U.; Do, K.; Spann, N.J.; Boutros, M.; Perrimon, N.; Rosenfeld, M.G.; Glass, C.K. Control of proinflammatory gene programs by regulated trimethylation and demethylation of histone H4K20. Mol. Cell 2012, 48, 28–38. [Google Scholar] [CrossRef]
- Jacobsen, J.A.; Woodard, J.; Mandal, M.; Clark, M.R.; Bartom, E.T.; Sigvardsson, M.; Kee, B.L. EZH2 Regulates the Developmental Timing of Effectors of the Pre-Antigen Receptor Checkpoints. J. Immunol. 2017, 198, 4682–4691. [Google Scholar] [CrossRef] [PubMed]
- Karantanos, T.; Christofides, A.; Bardhan, K.; Li, L.; Boussiotis, V.A. Regulation of T Cell Differentiation and Function by EZH2. Front. Immunol. 2016, 7, 172. [Google Scholar] [CrossRef] [PubMed]
- Tumes, D.J.; Onodera, A.; Suzuki, A.; Shinoda, K.; Endo, Y.; Iwamura, C.; Hosokawa, H.; Koseki, H.; Tokoyoda, K.; Suzuki, Y.; et al. The Polycomb Protein Ezh2 Regulates Differentiation and Plasticity of CD4+ T Helper Type 1 and Type 2 Cells. Immunity 2013, 39, 819–832. [Google Scholar] [CrossRef]
- Chakir, H.; Wang, H.; Lefebvre, D.E.; Webb, J.; Scott, F.W. T-bet/GATA-3 ratio as a measure of the Th1/Th2 cytokine profile in mixed cell populations: Predominant role of GATA-3. J. Immunol. Methods 2003, 278, 157–169. [Google Scholar] [CrossRef]
- Yang, X.P.; Jiang, K.; Hirahara, K.; Vahedi, G.; Afzali, B.; Sciume, G.; Bonelli, M.; Sun, H.W.; Jankovic, D.; Kanno, Y.; et al. EZH2 is crucial for both differentiation of regulatory T cells and T effector cell expansion. Sci. Rep. 2015, 5, 10643. [Google Scholar] [CrossRef]
- Zhang, Y.; Kinkel, S.; Maksimovic, J.; Bandala-Sanchez, E.; Tanzer, M.C.; Naselli, G.; Zhang, J.-G.; Zhan, Y.; Lew, A.M.; Silke, J.; et al. The polycomb repressive complex 2 governs life and death of peripheral T cells. Blood 2014, 124, 737–749. [Google Scholar] [CrossRef] [PubMed]
- Su, I.H.; Basavaraj, A.; Krutchinsky, A.N.; Hobert, O.; Ullrich, A.; Chait, B.T.; Tarakhovsky, A. Ezh2 controls B cell development through histone H3 methylation and Igh rearrangement. Nat. Immunol. 2003, 4, 124–131. [Google Scholar] [CrossRef] [PubMed]
- Beguelin, W.; Popovic, R.; Teater, M.; Jiang, Y.; Bunting, K.L.; Rosen, M.; Shen, H.; Yang, S.N.; Wang, L.; Ezponda, T.; et al. EZH2 is required for germinal center formation and somatic EZH2 mutations promote lymphoid transformation. Cancer Cell 2013, 23, 677–692. [Google Scholar] [CrossRef] [PubMed]
- Herviou, L.; Jourdan, M.; Martinez, A.-M.; Cavalli, G.; Moreaux, J. EZH2 is overexpressed in transitional preplasmablasts and is involved in human plasma cell differentiation. Leukemia 2019, 33, 2047–2060. [Google Scholar] [CrossRef]
- Zhang, X.; Wang, Y.; Yuan, J.; Li, N.; Pei, S.; Xu, J.; Luo, X.; Mao, C.; Liu, J.; Yu, T.; et al. Macrophage/microglial Ezh2 facilitates autoimmune inflammation through inhibition of Socs3. J. Exp. Med. 2018, 215, 1365–1382. [Google Scholar] [CrossRef]
- Qin, H.; Holdbrooks, A.T.; Liu, Y.; Reynolds, S.L.; Yanagisawa, L.L.; Benveniste, E.N. SOCS3 deficiency promotes M1 macrophage polarization and inflammation. J. Immunol. 2012, 189, 3439–3448. [Google Scholar] [CrossRef]
- Scheer, S.; Zaph, C. The Lysine Methyltransferase G9a in Immune Cell Differentiation and Function. Front. Immunol. 2017, 8, 429. [Google Scholar] [CrossRef]
- Liu, C.; Yu, Y.; Liu, F.; Wei, X.; Wrobel, J.A.; Gunawardena, H.P.; Zhou, L.; Jin, J.; Chen, X. A chromatin activity-based chemoproteomic approach reveals a transcriptional repressome for gene-specific silencing. Nat. Commun. 2014, 5, 5733. [Google Scholar] [CrossRef] [PubMed]
- Chen, X.; El Gazzar, M.; Yoza, B.K.; McCall, C.E. The NF-κB Factor RelB and Histone H3 Lysine Methyltransferase G9a Directly Interact to Generate Epigenetic Silencing in Endotoxin Tolerance*. J. Biol. Chem. 2009, 284, 27857–27865. [Google Scholar] [CrossRef]
- El Gazzar, M.; Yoza, B.K.; Chen, X.; Hu, J.; Hawkins, G.A.; McCall, C.E. G9a and HP1 couple histone and DNA methylation to TNFalpha transcription silencing during endotoxin tolerance. J. Biol. Chem. 2008, 283, 32198–32208. [Google Scholar] [CrossRef]
- Miao, F.; Wu, X.; Zhang, L.; Riggs, A.D.; Natarajan, R. Histone methylation patterns are cell-type specific in human monocytes and lymphocytes and well maintained at core genes. J. Immunol. 2008, 180, 2264–2269. [Google Scholar] [CrossRef] [PubMed]
- Thomas, L.R.; Miyashita, H.; Cobb, R.M.; Pierce, S.; Tachibana, M.; Hobeika, E.; Reth, M.; Shinkai, Y.; Oltz, E.M. Functional analysis of histone methyltransferase g9a in B and T lymphocytes. J. Immunol. 2008, 181, 485–493. [Google Scholar] [CrossRef]
- Eberl, G.; Colonna, M.; Di Santo, J.P.; McKenzie, A.N.J. Innate lymphoid cells: A new paradigm in immunology. Science 2015, 348, aaa6566. [Google Scholar] [CrossRef] [PubMed]
- Thompson, M.R.; Sharma, S.; Atianand, M.; Jensen, S.B.; Carpenter, S.; Knipe, D.M.; Fitzgerald, K.A.; Kurt-Jones, E.A. Interferon γ-inducible protein (IFI) 16 transcriptionally regulates type i interferons and other interferon-stimulated genes and controls the interferon response to both DNA and RNA viruses. J. Biol. Chem. 2014, 289, 23568–23581. [Google Scholar] [CrossRef]
- Zhou, Z.; Wu, B.; Tang, X.; Yang, W.; Zou, Q.; Wang, H. High SET Domain Bifurcated 1 (SETDB1) Expression Predicts Poor Prognosis in Breast Carcinoma. Med. Sci. Monit. Int. Med. J. Exp. Clin. Res. 2020, 26, e922982. [Google Scholar] [CrossRef]
- Adoue, V.; Binet, B.; Malbec, A.; Fourquet, J.; Romagnoli, P.; van Meerwijk, J.P.M.; Amigorena, S.; Joffre, O.P. The Histone Methyltransferase SETDB1 Controls T Helper Cell Lineage Integrity by Repressing Endogenous Retroviruses. Immunity 2019, 50, 629–644.e8. [Google Scholar] [CrossRef] [PubMed]
- Doughan, M.; Spellmon, N.; Li, C.; Yang, Z. SMYD proteins in immunity: Dawning of a new era. AIMS Biophys. 2016, 3, 450–455. [Google Scholar] [CrossRef] [PubMed]
- Kim, K.H.; Roberts, C.W.M. Targeting EZH2 in cancer. Nat. Med. 2016, 22, 128–134. [Google Scholar] [CrossRef]
- Shao, F.-F.; Chen, B.-J.; Wu, G.-Q. The functions of EZH2 in immune cells: Principles for novel immunotherapies. J. Leukoc. Biol. 2020, 110, 77–87. [Google Scholar] [CrossRef]
- Roychoudhuri, R.; Hirahara, K.; Mousavi, K.; Clever, D.; Klebanoff, C.A.; Bonelli, M.; Sciumè, G.; Zare, H.; Vahedi, G.; Dema, B.; et al. BACH2 represses effector programs to stabilize Treg-mediated immune homeostasis. Nature 2013, 498, 506–510. [Google Scholar] [CrossRef]
- Overacre-Delgoffe, A.E.; Chikina, M.; Dadey, R.E.; Yano, H.; Brunazzi, E.A.; Shayan, G.; Horne, W.; Moskovitz, J.M.; Kolls, J.K.; Sander, C.; et al. Interferon-γ Drives T(reg) Fragility to Promote Anti-tumor Immunity. Cell 2017, 169, 1130–1141.e11. [Google Scholar] [CrossRef] [PubMed]
- Delgoffe, G.M.; Woo, S.R.; Turnis, M.E.; Gravano, D.M.; Guy, C.; Overacre, A.E.; Bettini, M.L.; Vogel, P.; Finkelstein, D.; Bonnevier, J.; et al. Stability and function of regulatory T cells is maintained by a neuropilin-1-semaphorin-4a axis. Nature 2013, 501, 252–256. [Google Scholar] [CrossRef] [PubMed]
- Klein, U.; Dalla-Favera, R. Germinal centres: Role in B-cell physiology and malignancy. Nat. Rev. Immunol. 2008, 8, 22–33. [Google Scholar] [CrossRef] [PubMed]
- Qiao, Y.; Kang, K.; Giannopoulou, E.; Fang, C.; Ivashkiv, L.B. IFN-γ Induces Histone 3 Lysine 27 Trimethylation in a Small Subset of Promoters to Stably Silence Gene Expression in Human Macrophages. Cell Rep. 2016, 16, 3121–3129. [Google Scholar] [CrossRef]







| PRMTs | Pathology/Affected Field | Treatment/Model | Target Molecules (Binding Partner) | Observations | Refs. |
|---|---|---|---|---|---|
| PRMT1 | Toll-like receptor signaling | Primary and cultured cells | TRAF6 | -Decreased ubiquitin ligase activity of TRAF6 -Reduced activation of Toll-like receptor signaling -Suppressed basal NF-κB activation | [29] |
| Macrophages | PRMT1 mutation PARP1−/− macrophages | p65 (p50), PARP1 | -Activated NF-κB-dependent gene expression | [30] | |
| Inflammatory and immune responses | Knockdown of PRMT1 | RelA, p65 (p50) | -Increased levels of NF-κB target genes | [31] | |
| IFN-dependent responses | Methyltransferase inhibitor | PIAS1 | -Decreased anti-viral and anti-proliferative abilities of type I interferons | [32,33,34] | |
| Innate immune responses | Myeloid-specific PRMT1 knockout mice | PPARγ | -Caused a lower survival rate and higher pro-inflammatory cytokine production | [35] | |
| Humoral immunity in B cells | PRMT1-impaired B cells | -Decreased the immune system response to T cell-dependent antigens -Reduced survival, proliferation, and differentiation of B cells | [36] | ||
| T cells | NIP45-impaired mice | NIP45 (NFAT) | -Deficient expression of IFN-γ and IL-4 | [37] | |
| Th17 cells | Knockdown of PRMT1 by shRNA, specific PRMT1 inhibitor autoimmune encephalomyelitis in mice | RORγt | -Regulated the production of Th17 cells and Th17 differentiation -Alleviated activation of EAE in mice | [38] | |
| Human and mouse T cells | Transmethylation inhibition | Vav1 (Rac) | -Reduced methylation of Vav1 and IL-2 production | [39,40] | |
| CARM1 | Immune responses | CARM1−/− mouse embryonic fibroblasts | p160 (ER), p300 (BRCA1), p65 | -Dampened expression of a group of NF-κB target genes | [41,42,43] |
| Macrophages | LPS stimulation | RNA-binding protein HuR | -Stabilized TNF-α mRNA | [44] | |
| Thymocytes | CARM1-deleted embryos | -Reduced the number of thymocytes | [45] | ||
| PRMT5 | T cell-mediated immune dysfunction | aGVHD mouse model, inhibitor of PRMT5 | ERK1/2, STAT1 | -Improved survival and reduced disease incidence and clinical severity -Decreased phosphorylation of STAT1 and ERK1/2 and transcription of pro-inflammatory genes | [46] |
| T cells | Autoimmune encephalomyelitis (EAE) mouse model inhibitor of PRMT5 | -Repressed memory T cell responses -Downregulated IL-2 production and proliferation of recall Th cells | [47] | ||
| Lymphoma cells | PRMT5 knockdown by shRNA | -Regulated TP53K372 methylation, cyclin D1 transcriptional activation, BCL3 production | [48] | ||
| Tregs | Conditional knockout of PRMT5 mice, pharmacological inhibition | FOXP3 | -Developed severe scurfy-like autoimmunity -Reduced human Treg functions | [49] | |
| Natural killer T cells | T cell-specific PRMT5 conditional knockout mice | -Led to peripheral T cell lymphopenia in mice -Impaired IL-7-mediated survival and TCR-induced proliferation in vitro | [50] | ||
| Pro-B and pre-B cells | Conditional deletion of PRMT5 in pro-B cells | -Severe deficit in antibody-secreting cells -Reduced pre-immune serum IgG1 | [51] | ||
| PRMT6 | Tumor-associated macrophages | Tamoxifen-inducible lung-targeted PRMT6 gain-of-function mouse model | ILF2 | -Regulated pro-inflammatory genes: TNFα and iNOS | [52] |
| HIV | Knockdown of PRMT6 | HIV-1 Tat | -Enhanced HIV-1 production and faster viral replication | [53] | |
| Inflammatory responses | Transgenic mice that ubiquitously express PRMT6 fused to the hormone-binding portion of the estrogen receptor | RelA | -Regulated NF-κB target genes | [54] | |
| Anti-viral innate immunity | PRMT6-deficient mice | IRF3 | -Promoted the TBK1–IRF3 interaction -Enhanced IRF3 activation and type I interferon production | [55] |
| KMTs | Pathology/Affected Field | Treatment/Model | Target Molecules (Biding Partners) | Observations and Molecular Effects | Refs. |
|---|---|---|---|---|---|
| G9a | Macrophages | ATF7−/− peritoneal macrophages | ATF7 (M-phase phosphoprotein 8) | -Larger subpopulation of cells expressing MHC class II and CD86 | [75] |
| RNA virus infection | G9a−/− flies | -More sensitive to RNA virus and succumb faster to infection, activated JAK/STAT pathway | [76] | ||
| CD4+ T helper cells | G9a-deficient mouse model | -Impaired induction of IL-4, IL-5, and IL13, mediated Th cell differentiation | [77] | ||
| Intestinal inflammation | G9a−/− T cells | -Increased frequency of IL-17A-producing and Foxp3+ Tregs | [78] | ||
| Methyltransferase activity inhibitors | -Promoted Th17 and Treg differentiation | [78] | |||
| Acute viral infection | Blimp-1-deficient CD8+ T cells | Blimp-1 (Groucho, H3) | -Activated CD25 and CD27, enhanced proliferation and survival | [79] | |
| Innate lymphoid cells | Mice with a hematopoietic cell-specific deletion of G9a | -Deficient development of immature ILC2s -Greater resistance to allergic lung inflammation | [80] | ||
| EHMT1 | Viral infection | EHMT1-specific siRNAs | p50 (p65) | -Promoted IL-8 production in response to TNFα stimulation | [81,82] |
| CD4+ Treg cells | Knockout of EHMT1 in primary cells | Wiz | -Enhanced Foxp3 expression during iTreg differentiation | [83] | |
| Kaposi’s sarcoma-associated herpesvirus | Knockdown of EHMT1 by shRNA | IFI16 | -Regulated KSHV lytic genes | [84] | |
| SETDB1 | Macrophages | Knockdown of SETDB1 by shRNA | -Augmented TLR4-mediated NF-κB recruitment -Promoted interleukin-6 promoter activity. | [85] | |
| Macrophage-specific SETDB1-knockout mice | -Higher serum interleukin-6 concentration in response to LPS -More sensitive to endotoxin shock | ||||
| Autoimmune diseases | Experimental autoimmune encephalomyelitis (EAE) | OX40 | -Regulated IL-17 expression | [86,87] | |
| Knockdown of SETDB1 by shRNA | |||||
| T cell development | SETDB1-knockout T cells | FcγRIIb | -Decreased the numbers of CD69+ and T-cell receptor TCRβ+ cells -Promoted apoptosis in the double-positive compartment | [88,89] | |
| B cell development | Deficient SETDB1 in pro-B cells | -Diminished B cell development | [90,91] | ||
| Innate immunity | Knockout and knockdown of SETDB1 | -Induced type I interferon response | [92] | ||
| SMYDs | Macrophages | SMYD2-specific siRNA1 | -Regulated expression of pro-inflammatory cytokines and MHC-II -Regulated NF-κB and ERK signaling | [93] | |
| Treg cells | SMYD3−/− mice | -Increased severity of pulmonary viral infection | [94] | ||
| Macrophages | siRNAs directed against SMYD5 | -Elevated transcriptional responses of a group of TLR4 target genes | [95] | ||
| EZH2 | Adaptive lymphocytes | Murine model of lymphoid-specific EZH2 deficiency | -Promoted Cdkn2a and generation of IFN-γ and IL-10 under stimulation | [96] | |
| T cells | EZH2-deficient Th cells | -Generated higher levels of IL-4, IL5, IL-13, and IFN-γ during respective stimulation | [97,98] | ||
| DO11.10/Rag2−/− transgenic mice | -Enhanced production of T-bet and Gata-3 | [99] | |||
| CD4+ T cells | EZH2fl/fl mice | -Reduced numbers of Treg cells in vivo and differentiation in vitro, enhanced the production of memory CD4 T cells | [100] | ||
| Effector T cells | EZH2fl/fl mice | -Accelerated effector Th cell death | [101] | ||
| Pro-B cells, pre-B cells | EZH2fl/fl mice | -Reduced the frequencies and numbers of pre-B cells and immature B cells | [102] | ||
| Germinal center B-cells | Conditional EZH2 knockout and EZH2Y641N knockin mice Methyltransferase activity inhibitors | -Decreased the number of splenic GC B cells -Defected affinity maturation of immunoglobulin and formation of high-affinity antibodies | [103] | ||
| B cells | Methyltransferase activity inhibitors | -Reduced the proliferation of pre-B cells and B cells | [104] | ||
| Macrophages | Myeloid cell-conditional EZH2 knockout mice | -Attenuated autoimmune inflammation -Stimulated Socs3 -Enhanced degradation of TRAF6 | [105,106] |
Disclaimer/Publisher’s Note: The statements, opinions and data contained in all publications are solely those of the individual author(s) and contributor(s) and not of MDPI and/or the editor(s). MDPI and/or the editor(s) disclaim responsibility for any injury to people or property resulting from any ideas, methods, instructions or products referred to in the content. |
© 2024 by the authors. Licensee MDPI, Basel, Switzerland. This article is an open access article distributed under the terms and conditions of the Creative Commons Attribution (CC BY) license (https://creativecommons.org/licenses/by/4.0/).
Share and Cite
Song, C.; Kim, M.-Y.; Cho, J.Y. The Role of Protein Methyltransferases in Immunity. Molecules 2024, 29, 360. https://doi.org/10.3390/molecules29020360
Song C, Kim M-Y, Cho JY. The Role of Protein Methyltransferases in Immunity. Molecules. 2024; 29(2):360. https://doi.org/10.3390/molecules29020360
Chicago/Turabian StyleSong, Chaoran, Mi-Yeon Kim, and Jae Youl Cho. 2024. "The Role of Protein Methyltransferases in Immunity" Molecules 29, no. 2: 360. https://doi.org/10.3390/molecules29020360
APA StyleSong, C., Kim, M.-Y., & Cho, J. Y. (2024). The Role of Protein Methyltransferases in Immunity. Molecules, 29(2), 360. https://doi.org/10.3390/molecules29020360

