Mode of Antibacterial Action of Tomatidine C3-Diastereoisomers
Abstract
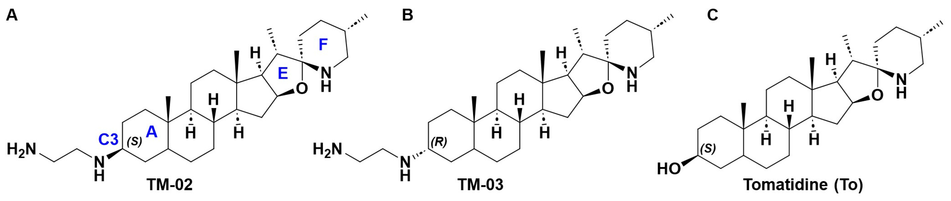
1. Introduction
2. Results
2.1. Antibiotic Susceptibility
2.2. TM-02 Is More Potent at Inhibiting the ATP Synthase
2.3. In Silico Docking Model Confirms the Greater Inhibition Potency of TM-02 against the ATP Synthase Subunit c
2.4. Killing Kinetics of TM-02 and TM-03
2.5. ROS Production Is Induced by Both Diastereoisomers
2.6. TM-02 and TM-03 Affect Membrane Potential Differently
2.7. TM-03 Rigidifies the Bacterial Membrane
2.8. TM-03 Has a Longer Post-Antibiotic Effect (PAE)
2.9. No Resistance Arose from the Exposition to Sub-Inhibitory Concentrations of TM-02 or TM-03
2.10. In Vivo Efficacy of TM-02
3. Discussion
4. Materials and Methods
4.1. Enantioselective Synthesis of TM-02
4.2. Strains and Growth Conditions
4.3. Generation of atpE Overexpression Strains
4.4. Antibiotic Susceptibility Testing
4.5. Bacterial ATP Synthase Inhibition Assay
- (i)
- Preparation of E. coli membrane vesicles. Membrane vesicles containing the bacterial ATP synthase were prepared as previously described [23]. Briefly, E. coli ATCC 25922 membrane vesicles were prepared from a 1.2 L broth culture grown to an A600 of 0.8–0.9. Bacteria were collected by centrifugation at 4000× g for 20 min at 4 °C. Pellets were frozen at −80 °C for 24 h and then thawed on ice for 30 min in a lysis buffer consisting of 50 mM MOPS, 10 mM MgCl2, 10% glycerol, 100 µg/mL lysozyme, 8 µg/mL DNAse, and 1 mM PMSF. Bacteria were lysed in a French pressure cell at 18,000 lb/in2. The bacterial lysate was then centrifuged at 10,000× g at 4 °C for 20 min to remove unbroken cells before ultracentrifugation at 150,000× g for 40 min at 4 °C to collect membrane vesicles in MOPS-MgCl2 with 10% glycerol. Aliquots were kept at −80 °C. Protein concentration was estimated using Micro BCA protein assay kit (Thermo Fisher, Rockford, IL, USA) and using bovine serum albumin as a standard.
- (ii)
- Enzyme kinetics and Ki determination. For these assays, 22.5 µg of membrane vesicles were mixed with a 10 mM MOPS-MgCl2 buffer. Inhibitors were then added at concentrations ranging from 0 to 12 µM. To start the reaction, 2.5 mM NADH and 1 mM ADP were added. The reaction was stopped after 10 min with 2 mM EDTA containing 1% trichloroacetic acid. Each sample was diluted 1:20 in Tris acetate buffer and luminescence was measured using ATPlite 1-step Luminescence Assay system (Perkin Elmer, Woodbridge, ON, Canada) in a LumiStar OPTIMA microplate reader. Data were analyzed using the method of Burlingham et al., 2003 [30]. Briefly, the inverse of the luminescence production rate (s/RLU) was plotted against the inhibitor concentration. The y-intercept value was then divided by the slope. To obtain the Ki, the value previously calculated is corrected with the Km.
4.6. In Silico Docking Model
4.7. Bactericidal Activity
4.8. Reactive Oxygen Species (ROS)
4.9. Measurement of Membrane Potential
4.10. Laurdan Microscopy
4.11. Membrane Vesicles Microscopy
4.12. Post-Antibiotic Effect
4.13. Serial Passage of E. coli MC4100 on Sub-MIC of TM-02 and TM-03
4.14. Mouse Model of Pulmonary Infection
4.15. Statistical Analysis
5. Patents
Supplementary Materials
Author Contributions
Funding
Institutional Review Board Statement
Informed Consent Statement
Data Availability Statement
Conflicts of Interest
References
- World Health Organization (WHO). WHO Publishes List of Bacteria for Which New Antibiotics Are Urgently Needed; WHO: Geneva, Switzerland, 2017; Available online: https://www.who.int/news/item/27-02-2017-who-publishes-list-of-bacteria-for-which-new-antibiotics-are-urgently-needed (accessed on 21 July 2023).
- O’Neill, J. Review on Antimicrobial Resistance. Antimicrobial Resistance: Tackling a Crisis for the Health and Wealth of Nations. Wellcome Trust & UK Govt 2014. Available online: https://amr-review.org/ (accessed on 21 July 2023).
- Murray, C.J.; Ikuta, K.S.; Sharara, F.; Swetschinski, L.; Robles Aguilar, G.; Gray, A.; Han, C.; Bisignano, C.; Rao, P.; Wool, E.; et al. Global Burden of Bacterial Antimicrobial Resistance in 2019: A Systematic Analysis. Lancet 2022, 399, 629–655. [Google Scholar] [CrossRef] [PubMed]
- Akil, N.; Muhlebach, M.S. Biology and Management of Methicillin Resistant Staphylococcus aureus in Cystic Fibrosis. Pediatr. Pulmonol. 2018, 53, S64–S74. [Google Scholar] [CrossRef]
- Millette, G.D.; Lalonde Séguin, C.; Isabelle, S.; Chamberland, J.-F.; Lucier, S.; Rodrigue, A.M.; Cantin, F. Malouin Staphylococcus aureus Small-Colony Variants from Airways of Adult Cystic Fibrosis Patients as Precursors of Adaptive Antibiotic-Resistant Mutations. Antibiotics 2023, 12, 1069. [Google Scholar] [CrossRef] [PubMed]
- Mitchell, G.; Gattuso, M.; Grondin, G.; Marsault, É.; Bouarab, K.; Malouin, F. Tomatidine Inhibits Replication of Staphylococcus aureus Small-Colony Variants in Cystic Fibrosis Airway Epithelial Cells. Antimicrob. Agents Chemother. 2011, 55, 1937–1945. [Google Scholar] [CrossRef] [PubMed]
- Lamontagne Boulet, M.; Isabelle, C.; Guay, I.; Brouillette, E.; Langlois, J.-P.; Jacques, P.-É.; Rodrigue, S.; Brzezinski, R.; Beauregard, P.B.; Bouarab, K.; et al. Tomatidine Is a Lead Antibiotic Molecule That Targets Staphylococcus aureus ATP Synthase Subunit C. Antimicrob. Agents Chemother. 2018, 62, e02197-17. [Google Scholar] [CrossRef]
- Langlois, J.P.; Millette, G.; Guay, I.; Dubé-Duquette, A.; Chamberland, S.; Jacques, P.É.; Rodrigue, S.; Bouarab, K.; Marsault, É.; Malouin, F. Bactericidal Activity of the Bacterial ATP Synthase Inhibitor Tomatidine and the Combination of Tomatidine and Aminoglycoside Against Persistent and Virulent Forms of Staphylococcus aureus. Front. Microbiol. 2020, 11, 805. [Google Scholar] [CrossRef] [PubMed]
- Mitchell, G.; Lafrance, M.; Boulanger, S.; Seguin, D.L.; Guay, I.; Gattuso, M.; Marsault, E.; Bouarab, K.; Malouin, F. Tomatidine Acts in Synergy with Aminoglycoside Antibiotics against Multiresistant Staphylococcus aureus and Prevents Virulence Gene Expression. J. Antimicrob. Chemother. 2012, 67, 559–568. [Google Scholar] [CrossRef]
- Chagnon, F.; Guay, I.; Bonin, M.-A.; Mitchell, G.; Bouarab, K.; Malouin, F.; Marsault, É. Unraveling the Structure–Activity Relationship of Tomatidine, a Steroid Alkaloid with Unique Antibiotic Properties against Persistent Forms of Staphylococcus aureus. Eur. J. Med. Chem. 2014, 80, 605–620. [Google Scholar] [CrossRef]
- Guay, I.; Boulanger, S.; Isabelle, C.; Brouillette, E.; Chagnon, F.; Bouarab, K.; Marsault, E.; Malouin, F. Tomatidine and Analog FC04-100 Possess Bactericidal Activities against Listeria, Bacillus and Staphylococcus Spp. BMC Pharmacol. Toxicol. 2018, 19, 7. [Google Scholar] [CrossRef]
- Vestergaard, M.; Bald, D.; Ingmer, H. Targeting the ATP Synthase in Bacterial and Fungal Pathogens: Beyond Mycobacterium tuberculosis. J. Glob. Antimicrob. Resist. 2022, 29, 29–41. [Google Scholar] [CrossRef]
- Van Acker, H.; Coenye, T. The Role of Reactive Oxygen Species in Antibiotic-Mediated Killing of Bacteria. Trends Microbiol. 2017, 25, 456–466. [Google Scholar] [CrossRef] [PubMed]
- Brynildsen, M.P.; Winkler, J.A.; Spina, C.S.; MacDonald, I.C.; Collins, J.J. Potentiating Antibacterial Activity by Predictably Enhancing Endogenous Microbial ROS Production. Nat. Biotechnol. 2013, 31, 160. [Google Scholar] [CrossRef]
- Lobritz, M.A.; Belenky, P.; Porter, C.B.M.; Gutierrez, A.; Yang, J.H.; Schwarz, E.G.; Dwyer, D.J.; Khalil, A.S.; Collins, J.J. Antibiotic Efficacy Is Linked to Bacterial Cellular Respiration. Proc. Natl. Acad. Sci. USA 2015, 112, 8173–8180. [Google Scholar] [CrossRef] [PubMed]
- Müller, A.; Wenzel, M.; Strahl, H.; Grein, F.; Saaki, T.N.V.; Kohl, B.; Siersma, T.; Bandow, J.E.; Sahl, H.G.; Schneider, T.; et al. Daptomycin Inhibits Cell Envelope Synthesis by Interfering with Fluid Membrane Microdomains. Proc. Natl. Acad. Sci. USA 2016, 113, E7077–E7086. [Google Scholar] [CrossRef] [PubMed]
- Li, H.; Zhou, X.; Huang, Y.; Liao, B.; Cheng, L.; Ren, B. Reactive Oxygen Species in Pathogen Clearance: The Killing Mechanisms, the Adaption Response, and the Side Effects. Front. Microbiol. 2021, 11, 3610. [Google Scholar] [CrossRef] [PubMed]
- Harris, F.M.; Best, K.B.; Bell, J.D. Use of Laurdan Fluorescence Intensity and Polarization to Distinguish between Changes in Membrane Fluidity and Phospholipid Order. Biochim. Biophys. Acta 2002, 1565, 123–128. [Google Scholar] [CrossRef]
- Sabnis, A.; Hagart, K.L.H.; Klöckner, A.; Becce, M.; Evans, L.E.; Furniss, R.C.D.; Mavridou, D.A.I.; Murphy, R.; Stevens, M.M.; Davies, J.C.; et al. Colistin Kills Bacteria by Targeting Lipopolysaccharide in the Cytoplasmic Membrane. eLife 2021, 10, e65836. [Google Scholar] [CrossRef]
- Bluma, T.B.; Hahn, A.; Meier, T.; Davies, K.M.; Kühlbrandt, W. Dimers of Mitochondrial ATP Synthase Induce Membrane Curvature and Self-Assemble into Rows. Proc. Natl. Acad. Sci. USA 2019, 116, 4250–4255. [Google Scholar] [CrossRef]
- Liu, L.; Beck, C.; Nøhr-Meldgaard, K.; Peschel, A.; Kretschmer, D.; Ingmer, H.; Vestergaard, M. Inhibition of the ATP Synthase Sensitizes Staphylococcus aureus towards Human Antimicrobial Peptides. Sci. Rep. 2020, 10, 11391. [Google Scholar] [CrossRef]
- Hards, K.; Cook, G.M. Targeting Bacterial Energetics to Produce New Antimicrobials. Drug Resist. Updates 2018, 36, 1–12. [Google Scholar] [CrossRef]
- Delbrouck, J.A.; Murza, A.; Diachenko, I.; Ben Jamaa, A.; Devi, R.; Larose, A.; Chamberland, S.; Malouin, F.; Boudreault, P.-L. From Garden to Lab: C-3 Chemical Modifications of Tomatidine Unveil Broad-Spectrum ATP Synthase Inhibitors to Combat Bacterial Resistance. Eur. J. Med. Chem. 2023, 262, 115886. [Google Scholar] [CrossRef] [PubMed]
- Côté-Gravel, J.; Brouillette, E.; Obradović, N.; Ster, C.; Talbot, B.G.; Malouin, F. Characterization of a VraG Mutant in a Genetically Stable Staphylococcus aureus Small-Colony Variant and Preliminary Assessment for Use as a Live-Attenuated Vaccine against Intrammamary Infections. PLoS ONE 2016, 11, e0166621. [Google Scholar] [CrossRef]
- Brouillette, E.; Martinez, A.; Boyll, B.J.; Allen, N.E.; Malouin, F. Persistence of a Staphylococcus aureus Small-Colony Variant under Antibiotic Pressure in vivo. FEMS Immunol. Med. Microbiol. 2004, 41, 35–41. [Google Scholar] [CrossRef] [PubMed]
- Sampson, B.A.; Misra, R.; Benson, S.A. Identification and Characterization of a New Gene of Escherichia coli K-12 Involved in Outer Membrane Permeability. Genetics 1989, 122, 491–501. [Google Scholar] [CrossRef] [PubMed]
- Baba, T.; Ara, T.; Hasegawa, M.; Takai, Y.; Okumura, Y.; Baba, M.; Datsenko, K.A.; Tomita, M.; Wanner, B.L.; Mori, H. Construction of Escherichia coli K-12 in-Frame, Single-Gene Knockout Mutants: The Keio Collection. Mol. Syst. Biol. 2006, 2, 1–11. [Google Scholar] [CrossRef]
- Kolber, N.S.; Fattal, R.; Bratulic, S.; Carver, G.D.; Badran, A.H. Orthogonal Translation Enables Heterologous Ribosome Engineering in Escherichia coli. Nat. Commun. 2021, 12, 599. [Google Scholar] [CrossRef]
- CLSI—Clinical and Laboratory Standards Institute. Methods for Dilution Antimicrobial Susceptibility Tests for Bacteria That Grow Aerobically, 11th ed.; CLSI: Berwyn, PA, USA, 2018; ISBN 1-56238-837-1 [Electronic]. [Google Scholar]
- Burlingham, B.T.; Widlanski, T.S. An Intuitive Look at the Relationship of Ki and IC50: A More General Use for the Dixon Plot. J. Chem. Educ. 2003, 80, 214–218. [Google Scholar] [CrossRef]
- CLSI—Clinical and Laboratory Standards Institute. Methods for Determining Bactericidal Activity of Antimicrobial Agents; Approved Guideline, M26-A; CLSI: Berwyn, PA, USA, 1999; ISBN 1-56238-384-1. [Google Scholar]
- Craig, W.A.; Gudmundsson, S. Postantibiotic effect. In Antibiotics in Laboratory Medicine, 3rd ed.; Lorian, V., Ed.; Williams and Wilkins: Baltimore, MD, USA, 1991; pp. 403–431. [Google Scholar]
- Mitchell, G.; Pépin Gaudreau, K.; Fugère, A.; Brouillette, E.; Frost, E.H.; Cantin, A.M.; Malouin, F. SigB is a Dominant Regulator of Virulence in Staphylococcus aureus Small-Colony Variants. PLoS ONE 2013, 8, e65018. [Google Scholar] [CrossRef]










| Bacterial Strain | Characteristic | Antibiotic MIC (µg/mL) | ||||
|---|---|---|---|---|---|---|
| TO | TM-02 | TM-03 | GEN | VAN | ||
| Gram-positive | ||||||
| S. aureus | ||||||
| ATCC 29213 | WT | >128 | 8 | 8 | 0.25 | 0.5 |
| ATCC 29213ΔhemB | SCV | 0.06 | 0.5 | 4 | 8 | 1 |
| Newbould | WT | >128 | 4 | 4 | 0.25 | 0.5 |
| NewbouldΔhemB | SCV | 0.06 | 0.06 | 2 | 8 | 1 |
| NewbouldΔhemB pCN36-atpE | SCV, overproducing AtpE | >128 | 8 | 64 | 8 | 1 |
| NewbouldΔhemB_atpE | SCV, AtpE mutation A17S | >128 | 2 | 8 | 8 | 1 |
| B. subtilis str. 168 | WT | >128 | 8 | 8 | 0.12 | - |
| Gram-negative | ||||||
| E. coli | ||||||
| ATCC 25922 | WT | >128 | 32 | 32 | - | - |
| MC4100 | WT | >128 | 32 | 32 | 0.5 | >128 |
| MC4100-altlptD | Hyperpermeable | >128 | 1 | 8 | 0.25 | 0.25 |
| MC4100-altlptD pAC027_ColE1-atpE | Hyperpermeable, overproducing AtpE | >128 | 64 | 64 | - | - |
| BW25113 | WT | >128 | 32 | 32 | - | - |
| BW25113ΔatpE | atpE transposon mutant | >128 | 32 | 32 | - | - |
| Compound | Free Energy Kcal/mol | Ki (µM) In Silico | Ki (µM) In Vitro | Km (µM) In Vitro |
|---|---|---|---|---|
| TM-02 | −7.21 | 5.1 | 1.1 | 0.0985 |
| TM-03 | −6.86 | 9.3 | 3.5 |
| PAE (Hours) at the Indicated Concentration | |||
|---|---|---|---|
| Strain and Compound | 0.5× MIC | 1× MIC | 4× MIC |
| S. aureus ATCC 29213 | |||
| Ciprofloxacin | 0.38 ± 0.53 | 0.78 ± 0.23 | 1.11 ± 0.42 |
| TM-02 | −0.17 ± 0.05 | 0.06 ± 0.06 | 1.14 ± 0.87 |
| TM-03 | −0.13 ± 0.03 | 0.73 ± 0.13 | 2.09 ± 0.94 |
| E. coli MC4100 | |||
| Ciprofloxacin | 1.91 ± 0.92 | 3.04 ± 1.95 | 4.09 ± 2.28 |
| TM-02 | 0.09 ± 0.04 | 0.18 ± 0.13 | 2.37 ± 0.51 |
| TM-03 | 0.10 ± 0.10 | 0.47 ± 0.34 | no regrowth |
Disclaimer/Publisher’s Note: The statements, opinions and data contained in all publications are solely those of the individual author(s) and contributor(s) and not of MDPI and/or the editor(s). MDPI and/or the editor(s) disclaim responsibility for any injury to people or property resulting from any ideas, methods, instructions or products referred to in the content. |
© 2024 by the authors. Licensee MDPI, Basel, Switzerland. This article is an open access article distributed under the terms and conditions of the Creative Commons Attribution (CC BY) license (https://creativecommons.org/licenses/by/4.0/).
Share and Cite
Langlois, J.-P.; Larose, A.; Brouillette, E.; Delbrouck, J.A.; Boudreault, P.-L.; Malouin, F. Mode of Antibacterial Action of Tomatidine C3-Diastereoisomers. Molecules 2024, 29, 343. https://doi.org/10.3390/molecules29020343
Langlois J-P, Larose A, Brouillette E, Delbrouck JA, Boudreault P-L, Malouin F. Mode of Antibacterial Action of Tomatidine C3-Diastereoisomers. Molecules. 2024; 29(2):343. https://doi.org/10.3390/molecules29020343
Chicago/Turabian StyleLanglois, Jean-Philippe, Audrey Larose, Eric Brouillette, Julien A. Delbrouck, Pierre-Luc Boudreault, and François Malouin. 2024. "Mode of Antibacterial Action of Tomatidine C3-Diastereoisomers" Molecules 29, no. 2: 343. https://doi.org/10.3390/molecules29020343
APA StyleLanglois, J.-P., Larose, A., Brouillette, E., Delbrouck, J. A., Boudreault, P.-L., & Malouin, F. (2024). Mode of Antibacterial Action of Tomatidine C3-Diastereoisomers. Molecules, 29(2), 343. https://doi.org/10.3390/molecules29020343

