Comparative Analysis of Nickel–Phosphine Complexes with Cumulated Double Bond Ligands: Structural Insights and Electronic Interactions via ETS-NOCV and QTAIM Approaches
Abstract
1. Introduction
2. Computational Details
3. Results and Discussion
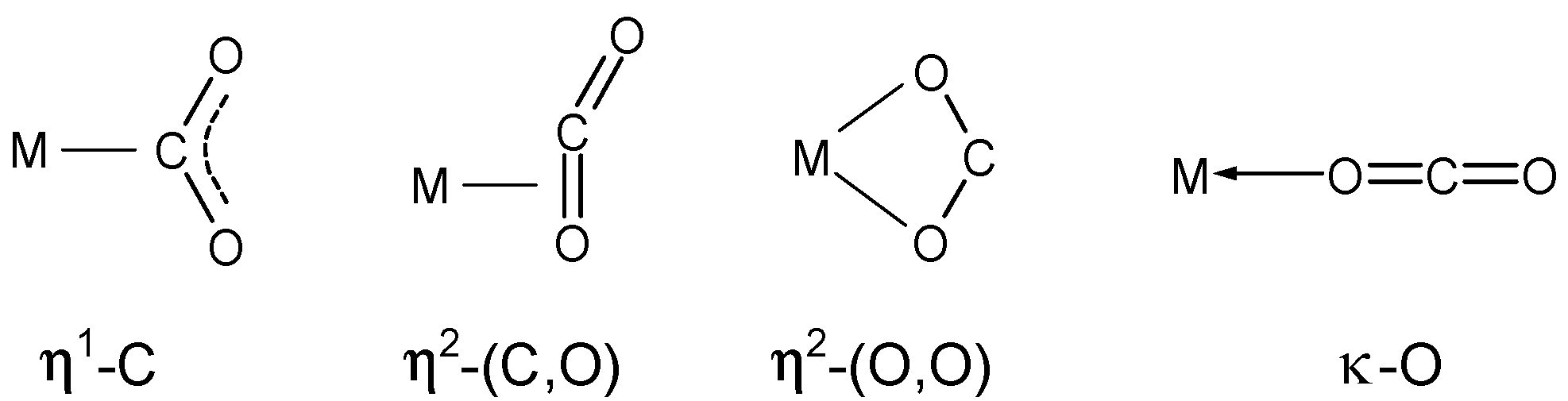
3.1. The Electron Structure of Carbon Dioxide
3.2. Electron Structure of Small Molecules Containing Cumulated Double Bonds
3.3. Electron Structure of Metal Complexes Containing Ligands with Cumulated Double Bonds
3.4. Summary and Conclusions
- Orbital Energy Decomposition and Ligand Charges: The study revealed that the primary source of donor interactions in diazomethane complexes is the diazomethane HOMO orbital, with the nickel 4s orbital being integral to electron transitions. The ketene and allene complexes showed interaction patterns consistent with those in the Ni(PH3)2(H2CNN) complex, suggesting similar electronic behaviors.
- Interaction Energy Analysis: The total interaction energy for all complexes was found to be slightly over 60 kcal/mol. The carbon dioxide complex emerged as an outlier with a slightly lower interaction energy. This finding enriches our understanding of the energy dynamics within these complexes and their potential reactivity profiles.
- Back-donation versus Donor Interactions: A significant observation was the predominance of back-donation over donor interactions in all cases. This was supported by Hirshfeld analysis, which revealed the nuances of charge distributions within the ligand fragments and between different complexes.
- Charge Distribution and Interaction Strengths: The study noted that in the -C diazomethane complex, the charge difference between the two fragments was minimal, aligning with the subtle differences in coordination and back-donation interaction energies.
Supplementary Materials
Author Contributions
Funding
Institutional Review Board Statement
Informed Consent Statement
Data Availability Statement
Conflicts of Interest
References
- Wang, W.; Wang, S.; Ma, X.; Gong, J. Recent advances in catalytic hydrogenation of carbon dioxide. Chem. Soc. Rev. 2011, 40, 3703–3727. [Google Scholar] [CrossRef] [PubMed]
- Arakawa, H.; Aresta, M.; Armor, J.N.; Barteau, M.A.; Beckman, E.J.; Bell, A.T.; Bercaw, J.E.; Creutz, C.; Dinjus, E.; Dixon, D.A.; et al. Catalysis research of relevance to carbon management: Progress, challenges, and opportunities. Chem. Rev. 2001, 101, 953–996. [Google Scholar] [CrossRef] [PubMed]
- Sordakis, K.; Tang, C.; Vogt, L.K.; Junge, H.; Dyson, P.J.; Beller, M.; Laurenczy, G. Homogeneous catalysis for sustainable hydrogen storage in formic acid and alcohols. Chem. Rev. 2018, 118, 372–433. [Google Scholar] [CrossRef] [PubMed]
- Kégl, T. Computational aspects of carbon dioxide coordination to transition metals. Glob. J. Inorg. Chem. 2010, 2, 286–303. [Google Scholar]
- Jessop, P.G.; Ikariya, T.; Noyori, R. Homogeneous hydrogenation of carbon dioxide. Chem. Rev. 1995, 95, 259–272. [Google Scholar] [CrossRef]
- Leitner, W. Carbon dioxide as a raw material: The synthesis of formic acid and its derivatives from CO2. Angew. Chem. Int. Ed. Engl. 1995, 34, 2207–2221. [Google Scholar] [CrossRef]
- Farlow, M.W.; Adkins, H. The hydrogenation of carbon dioxide and a correction of the reported synthesis of urethans. J. Am. Chem. Soc. 1935, 57, 2222–2223. [Google Scholar] [CrossRef]
- Inoue, Y.; Izumida, H.; Sasaki, Y.; Hashimoto, H. Catalytic fixation of carbon dioxide to formic acid by transition-metal complexes under mild conditions. Chem. Lett. 1976, 5, 863–864. [Google Scholar] [CrossRef]
- Denise, B.; Sneeden, R. Hydrogenate CO2. Chemtech 1982, 12, 108–112. [Google Scholar]
- Denise, B.; Sneeden, R. Hydrocondensation of CO2. J. Organomet. Chem. 1981, 221, 111–116. [Google Scholar] [CrossRef]
- Koinuma, H.; Kawakami, F.; Kato, H.; Hirai, H. Hydrosilylation of carbon dioxide catalysed by ruthenium complexes. J. Chem. Soc. Chem. Commun. 1981, 213–214. [Google Scholar] [CrossRef]
- Suess-Fink, G.; Reiner, J. Anionische rutheniumcluster als katalysatoren bei der hydrosilylierung von kohlendioxid. J. Organomet. Chem. 1981, 221, C36–C38. [Google Scholar] [CrossRef]
- Deglmann, P.; Ember, E.; Hofmann, P.; Pitter, S.; Walter, O. Experimental and theoretical investigations on the catalytic hydrosilylation of carbon dioxide with ruthenium nitrile complexes. Chem.–Eur. J. 2007, 13, 2864–2879. [Google Scholar] [CrossRef] [PubMed]
- Hoberg, H.; Schaefer, D. Nickel(0)-induzierte C-C-verknüpfung zwischen kohlendioxid und ethylen sowie mono- oder di-substituierten alkenen. J. Organomet. Chem. 1983, 251, c51–c53. [Google Scholar] [CrossRef]
- Schubert, G.; Pápai, I. Acrylate formation via metal-assisted C- C coupling between CO2 and C2H4: Reaction mechanism as revealed from density functional calculations. J. Am. Chem. Soc. 2003, 125, 14847–14858. [Google Scholar] [CrossRef] [PubMed]
- Pápai, I.; Schubert, G.; Mayer, I.; Besenyei, G.; Aresta, M. Mechanistic details of nickel (0)-assisted oxidative coupling of CO2 with C2H4. Organometallics 2004, 23, 5252–5259. [Google Scholar] [CrossRef]
- Li, J.; Jia, G.; Lin, Z. Theoretical studies on coupling reactions of carbon dioxide with alkynes mediated by nickel(0) complexes. Organometallics 2008, 27, 3892–3900. [Google Scholar] [CrossRef]
- Tidwell, T.T. Ketenes; John Wiley & Sons: Hoboken, NJ, USA, 2006. [Google Scholar]
- Borrmann, D. Methoden zur Herstellung und Umwandlung von Ketenen; G. Thieme Verlag Stuttgart: Stuttgart, Germany, 1968; Volume 7, pp. 94–95. [Google Scholar]
- Tidwell, T.T. Ketene chemistry: The second golden age. Acc. Chem. Res. 1990, 23, 273–279. [Google Scholar] [CrossRef]
- Tidwell, T.T. The first century of ketenes (1905–2005): The birth of a versatile family of reactive intermediates. Angew. Chem. Int. Ed. 2005, 44, 5778–5785. [Google Scholar] [CrossRef]
- Tidwell, T.T. Ketene chemistry after 100 years: Ready for a new century. Eur. J. Org. Chem. 2006, 2006, 563–576. [Google Scholar] [CrossRef]
- Seikaly, H.R.; Tidwell, T.T. Addition reactions of ketenes. Tetrahedron 1986, 42, 2587–2613. [Google Scholar] [CrossRef]
- Allen, A.D.; Tidwell, T.T. New Directions in Ketene Chemistry: The Land of Opportunity. Eur. J. Org. Chem. 2012, 2012, 1081–1096. [Google Scholar] [CrossRef]
- Staudinger, H.; Kupfer, O. Über Reaktionen des Methylens. III. Diazomethan. Ber. Dtsch. Chem. Ges. 1912, 45, 501–509. [Google Scholar] [CrossRef]
- McCarney, C.C.; Ward, R.S. An improved method for the preparation of monoalkylketens. J. Chem. Soc. Perkin Trans. 1 1975, 1600–1603. [Google Scholar] [CrossRef]
- Ungvári, N.; Kégl, T.; Ungváry, F. Octacarbonyl dicobalt-catalyzed selective carbonylation of (trimethylsilyl)diazomethane to obtain (trimethylsilyl)ketene. J. Mol. Catal. A Chem. 2004, 219, 7–11. [Google Scholar] [CrossRef]
- Ungvári, N.; Fördős, E.; Kégl, T.; Ungváry, F. Reactions of triphenylphosphane-substituted ethoxycarbonylcarbene-bridged dicobalt carbonyl complexes with carbon monoxide or 13CO: An experimental and theoretical study. Inorg. Chim. Acta 2009, 362, 1333–1342. [Google Scholar] [CrossRef]
- Ungvári, N.; Fördős, E.; Balogh, J.; Kégl, T.; Párkányi, L.; Ungváry, F. Triphenylphosphane-modified cobalt catalysts for the selective carbonylation of ethyl diazoacetate. Organometallics 2010, 29, 3837–3851. [Google Scholar] [CrossRef]
- Barcs, B.; Kollár, L.; Kégl, T. Density Functional Study on the Mechanism of Nickel-Mediated Diazo Carbonylation. Organometallics 2012, 31, 8082–8097. [Google Scholar] [CrossRef]
- Kégl, T.R.; Kollár, L.; Kégl, T. DFT Study on the Mechanism of Iron-Catalyzed Diazocarbonylation. Molecules 2020, 25, 5860. [Google Scholar] [CrossRef]
- Frisch, M.J.; Trucks, G.W.; Schlegel, H.B.; Scuseria, G.E.; Robb, M.A.; Cheeseman, J.R.; Scalmani, G.; Barone, V.; Mennucci, B.; Petersson, G.A.; et al. Gaussian 16 Revision C.01; Gaussian Inc.: Wallingford, CT, USA, 2016. [Google Scholar]
- Perdew, J.P.; Burke, K.; Ernzerhof, M. Generalized gradient approximation made simple. Phys. Rev. Lett. 1996, 77, 3865–3868. [Google Scholar] [CrossRef]
- Weigend, F.; Ahlrichs, R. Balanced basis sets of split valence, triple zeta valence and quadruple zeta valence quality for H to Rn: Design and assessment of accuracy. Phys. Chem. Chem. Phys. 2005, 7, 3297–3305. [Google Scholar] [CrossRef] [PubMed]
- Glendening, E.D.; Badenhoop, J.K.; Reed, A.E.; Carpenter, J.E.; Bohmann, J.A.; Morales, C.M.; Landis, C.R.; Weinhold, F. NBO 7.0; Theoretical Chemistry Institute, University of Wisconsin: Madison, MA, USA, 2018. [Google Scholar]
- Bader, R.F.W. Atoms in Molecules—A Quantum Theory; Oxford University Press: Oxford, UK, 1990. [Google Scholar]
- Keith, T.A. AIMAll, Version 19.10.12; TK Gristmill Software: Overland Park, KS, USA, 2019. Available online: https://aim.tkgristmill.com/ (accessed on 17 March 2020).
- ADF2023; SCM, Theoretical Chemistry. Vrije Universiteit: Amsterdam, The Netherlands, 2023. Available online: http://www.scm.com (accessed on 1 October 2023).
- Mitoraj, M.; Michalak, A. Donor-Acceptor Properties of Ligands from the Natural Orbitals for Chemical Valence. Organometallics 2007, 26, 6576–6580. [Google Scholar] [CrossRef]
- Mitoraj, M.; Michalak, A. Natural orbitals for chemical valence as descriptors of chemical bonding in transition metal complexes. J. Mol. Model. 2007, 13, 347–355. [Google Scholar] [CrossRef] [PubMed]
- Mitoraj, M.P.; Michalak, A.; Ziegler, T. A Combined Charge and Energy Decomposition Scheme for Bond Analysis. J. Chem. Theory Comput. 2009, 5, 962–975. [Google Scholar] [CrossRef] [PubMed]
- Mitoraj, M.P.; Zhu, H.; Michalak, A.; Ziegler, T. On the origin of the trans-influence in square planar d8-complexes: A theoretical study. Int. J. Quantum Chem. 2009, 109, 3379–3386. [Google Scholar] [CrossRef]
- Mitoraj, M.P.; Michalak, A. σ-donor and π-acceptor properties of phosphorus ligands: An insight from the natural orbitals for chemical valence. Inorg. Chem. 2010, 49, 578–582. [Google Scholar] [CrossRef] [PubMed]
- Cukrowski, I.; de Lange, J.H.; Mitoraj, M. Physical nature of interactions in ZnII complexes with 2, 2’-bipyridyl: Quantum theory of atoms in molecules (QTAIM), interacting quantum atoms (IQA), noncovalent interactions (NCI), and extended transition state coupled with natural orbitals for chemical valence (ETS-NOCV) comparative studies. J. Phys. Chem. A 2014, 118, 623–637. [Google Scholar] [PubMed]
- Xu, S.; Li, M.; Pei, G.; Zhao, P.; Zhao, X.; Wu, G.; Kong, C.; Yang, Z.; Ehara, M.; Yang, T. Stabilities, Electronic Structures, and Bonding Properties of 20-Electron Transition Metal Complexes (Cp) 2TMO and their One-Dimensional Sandwich Molecular Wires (Cp = C5H5, C5(CH3)H4, C5(CH3)5; TM = Cr, Mo, W). J. Phys. Chem. A 2021, 125, 721–730. [Google Scholar] [CrossRef] [PubMed]
- Poater, J.; Vermeeren, P.; Hamlin, T.A.; Bickelhaupt, F.M.; Solà, M. On the existence of collective interactions reinforcing the metal-ligand bond in organometallic compounds. Nat. Commun. 2023, 14, 3872. [Google Scholar] [CrossRef] [PubMed]
- Parr, J.M.; White, A.J.; Crimmin, M.R. Calcium-stabilised transition metal bis (formyl) complexes: Structure and bonding. Chem. Commun. 2023, 59, 9840–9843. [Google Scholar] [CrossRef]
- Katlenok, E.A.; Kuznetsov, M.L.; Cherkasov, A.V.; Kryukov, D.M.; Bokach, N.A.; Kukushkin, V.Y. Metal-involved C... d z2-Pt II tetrel bonding as a principal component of the stacking interaction between arenes and the platinum (ii) square-plane. Inorg. Chem. Front. 2023, 10, 3916–3928. [Google Scholar] [CrossRef]
- Gironés, X.; Ponec, R.; Roithová, J. Program WinFermi, version 2.0; Prague, Czech Republic, 2002.
- Kégl, T.; Ponec, R.; Kollár, L. Theoretical Insights into the Nature of Nickel Carbon Dioxide Interactions in Pt(PH3)2(η2-CO2). J. Phys. Chem. A 2011, 115, 12463–12473. [Google Scholar] [CrossRef] [PubMed]
- Kégl, T.R.; Carrilho, R.M.; Kégl, T. Theoretical insights into the electronic structure of nickel (0)-diphosphine-carbon dioxide complexes. J. Organomet. Chem. 2020, 924, 121462. [Google Scholar] [CrossRef]
- Pálinkás, N.; Kollár, L.; Kégl, T. Nature of the Metal-Ligand Interactions in Complexes M (PH3) 2 (η2-L)(M = Ni, Pd, Pt; L = CO2, COS, CS2): A Theoretical Study. ChemistrySelect 2017, 2, 5740–5750. [Google Scholar] [CrossRef]
- Greenwood, N.N.; Earnshaw, A. Chemistry of the Elements, 2nd ed.; Elsevier: Amsterdam, The Netherlands, 1995. [Google Scholar]
- Fradera, X.; Austen, M.A.; Bader, R.F. The Lewis model and beyond. J. Phys. Chem. A 1999, 103, 304–314. [Google Scholar] [CrossRef]
- Ponec, R.; Cooper, D.L. Anatomy of bond formation. Bond length dependence of the extent of electron sharing in chemical bonds from the analysis of domain-averaged Fermi holes. Faraday Discuss. 2007, 135, 31–42. [Google Scholar] [CrossRef]









| Bond | (r) | WBI | Bond | (r) | WBI | ||||
|---|---|---|---|---|---|---|---|---|---|
| Ni(PH3)2(OCCH2) | Ni-C1 | 0.119 | 0.274 | 1.518 | 0.465 | C1-O | 0.363 | 0.073 | 1.496 |
| (1) | C1-C2 | 0.328 | 0.389 | 1.784 | |||||
| Ni(PH3)2(H2CCO) | Ni-C2 | 0.119 | 0.257 | 1.474 | 0.442 | C1-C2 | 0.294 | 0.222 | 1.381 |
| (2) | Ni-C1 | 0.103 | 1.543 | 1.369 | 0.332 | C2-O | 0.423 | 0.008 | 1.891 |
| Ni(PH3)2(H2CCCH2) | Ni-C2 | 0.118 | 0.344 | 1.474 | 0.386 | C1-C2 | 0.303 | 0.225 | 1.481 |
| (3) | Ni-C1 | 0.101 | 8.533 | 1.318 | 0.353 | C2-C3 | 0.342 | 0.302 | 1.946 |
| Ni(PH3)2(NNCH2) | Ni-N2 | 0.112 | 0.663 | 1.226 | 0.315 | N1-N2 | 0.472 | 0.063 | 1.730 |
| (4) | Ni-N1 | 0.116 | 0.332 | 1.304 | 0.525 | N2-C | 0.323 | 0.567 | 1.456 |
| Ni(PH3)2(H2CNN) | Ni-C | 0.097 | 0.043 | 1.376 | 0.264 | C-N1 | 0.270 | 0.452 | 1.228 |
| (5) | N1-N2 | 0.596 | 0.025 | 2.421 |
| Complex | * | |||||
|---|---|---|---|---|---|---|
| Ni(PH3)2(OCCH2) | 50.3 | −113.1 | −62.8 | −11.1 (0.31) | −90.7 [%] (0.99) | −0.362 |
| Ni(PH3)2(H2CCO) | 41.1 | −105.2 | −64.2 | −15.1 (0.40) | −67.2 [%] (0.80) | −0.320 |
| Ni(PH3)2(H2CCCH2) | 33.2 | −96.7 | −63.5 | −15.1 (0.37) | −67.8 [%] (0.82) | −0.283 |
| Ni(PH3)2(NNCH2) | 59.6 | −123.0 | −63.4 | −12.1 (0.31) | −99.3 [77%] (1.05) | −0.365 |
| Ni(PH3)2(H2CNN) | 12.2 | −39.2 | −27.1 | −14.2 (0.37) | −17.6 [58%] (0.52) | −0.038 |
Disclaimer/Publisher’s Note: The statements, opinions and data contained in all publications are solely those of the individual author(s) and contributor(s) and not of MDPI and/or the editor(s). MDPI and/or the editor(s) disclaim responsibility for any injury to people or property resulting from any ideas, methods, instructions or products referred to in the content. |
© 2024 by the authors. Licensee MDPI, Basel, Switzerland. This article is an open access article distributed under the terms and conditions of the Creative Commons Attribution (CC BY) license (https://creativecommons.org/licenses/by/4.0/).
Share and Cite
Kégl, T.R.; Kégl, T. Comparative Analysis of Nickel–Phosphine Complexes with Cumulated Double Bond Ligands: Structural Insights and Electronic Interactions via ETS-NOCV and QTAIM Approaches. Molecules 2024, 29, 324. https://doi.org/10.3390/molecules29020324
Kégl TR, Kégl T. Comparative Analysis of Nickel–Phosphine Complexes with Cumulated Double Bond Ligands: Structural Insights and Electronic Interactions via ETS-NOCV and QTAIM Approaches. Molecules. 2024; 29(2):324. https://doi.org/10.3390/molecules29020324
Chicago/Turabian StyleKégl, Tímea R., and Tamás Kégl. 2024. "Comparative Analysis of Nickel–Phosphine Complexes with Cumulated Double Bond Ligands: Structural Insights and Electronic Interactions via ETS-NOCV and QTAIM Approaches" Molecules 29, no. 2: 324. https://doi.org/10.3390/molecules29020324
APA StyleKégl, T. R., & Kégl, T. (2024). Comparative Analysis of Nickel–Phosphine Complexes with Cumulated Double Bond Ligands: Structural Insights and Electronic Interactions via ETS-NOCV and QTAIM Approaches. Molecules, 29(2), 324. https://doi.org/10.3390/molecules29020324

