Insight into the Reversible Hydrogen Storage of Titanium-Decorated Boron-Doped C20 Fullerene: A Theoretical Prediction
Abstract
1. Introduction
2. Computational Details
3. Results and Discussion
3.1. Absorbent Structure
3.2. Hydrogen Adsorption
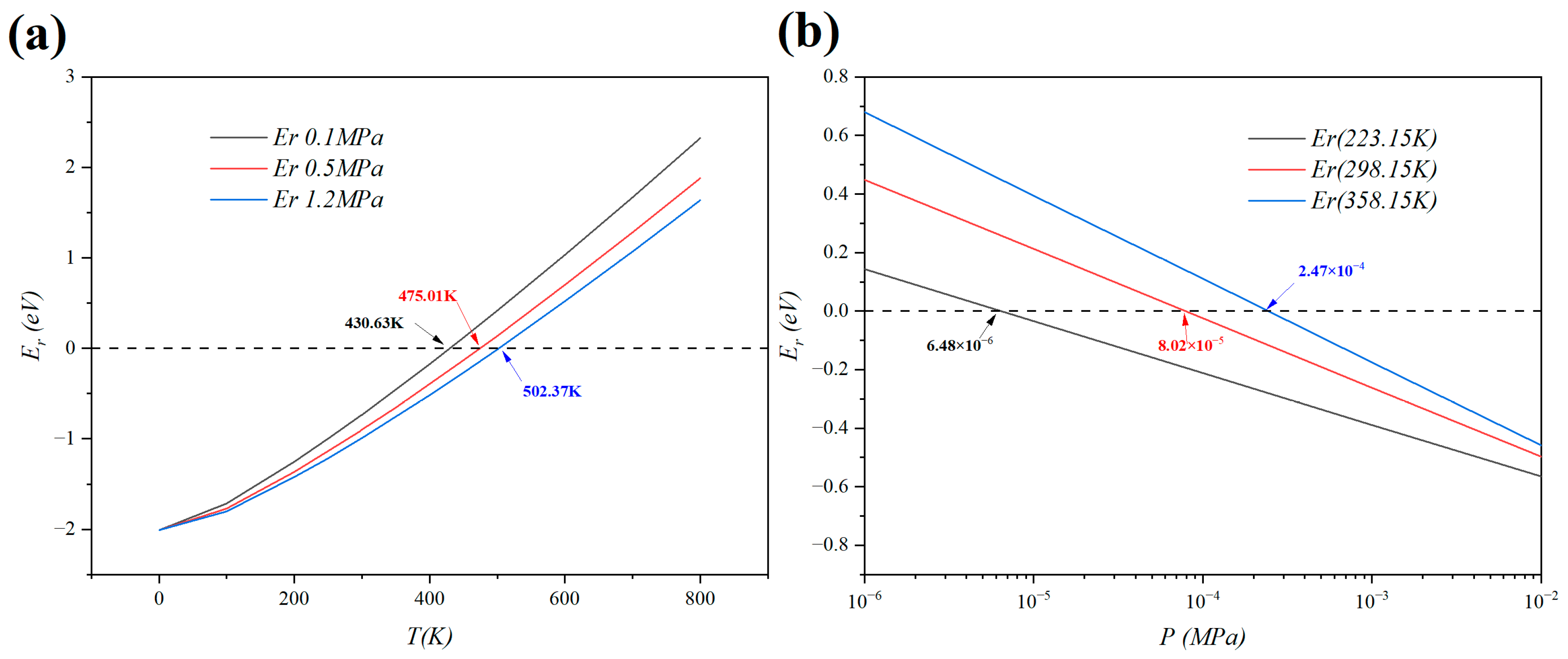
3.3. Calculations of Desorption Temperature and Gravimetric Weight Percentage of Hydrogen
3.4. Thermomechanical Analysis
3.5. Bonding Mechanism and Orbital Interactions between Titanium Atoms and C20 Fullerene
3.5.1. Total Density of States (TDOS) Analysis
3.5.2. Partial Density of States (PDOS) Analysis
3.6. Bonding Mechanism and Orbital Interactions between H2 Molecules and Ti-Decorated B-Doped C20 Fullerene
3.6.1. Partial Density of States (PDOS) Analysis after H2 Adsorption
3.6.2. Bader Charge Analysis
3.6.3. Charge Density Difference Analysis
4. Conclusions
Author Contributions
Funding
Institutional Review Board Statement
Informed Consent Statement
Data Availability Statement
Acknowledgments
Conflicts of Interest
References
- Ball, M.; Wietschel, M. The future of hydrogen—Opportunities and challenges. Int. J. Hydrogen Energy 2009, 34, 615–627. [Google Scholar] [CrossRef]
- Midilli, A.; Dincer, I. Hydrogen as a renewable and sustainable solution in reducing global fossil fuel consumption. Int. J. Hydrogen Energy 2008, 33, 4209–4222. [Google Scholar] [CrossRef]
- Zhu, Q.-L.; Xu, Q. Liquid organic and inorganic chemical hydrides for high-capacity hydrogen storage. Energy Environ. Sci. 2015, 8, 478–512. [Google Scholar] [CrossRef]
- Pukazhselvan, D.; Kumar, V.; Singh, S.K. High capacity hydrogen storage: Basic aspects, new developments and milestones. Nano Energy 2012, 1, 566–589. [Google Scholar] [CrossRef]
- Niaz, S.; Manzoor, T.; Pandith, A.H. Hydrogen storage: Materials, methods and perspectives. Renew. Sustain. Energy Rev. 2015, 50, 457–469. [Google Scholar] [CrossRef]
- Li, C.; Yang, W.; Liu, H.; Liu, X.; Xing, X.; Gao, Z.; Dong, S.; Li, H. Picturing the Gap Between the Performance and US-DOE’s Hydrogen Storage Target: A Data-Driven Model for MgH2 Dehydrogenation. Angew. Chem. Int. Ed. 2024, 63, 202320151. [Google Scholar] [CrossRef]
- Xu, W.; Takahashi, K.; Matsuo, Y.; Hattori, Y.; Kumagai, M.; Ishiyama, S.; Kaneko, K.; Iijima, S. Investigation of hydrogen storage capacity of various carbon materials. Int. J. Hydrogen Energy 2007, 32, 2504–2512. [Google Scholar] [CrossRef]
- Lin, H.-J.; Lu, Y.-S.; Zhang, L.-T.; Liu, H.-Z.; Edalati, K.; Révész, Á. Recent advances in metastable alloys for hydrogen storage: A review. Rare Met. 2022, 41, 1797–1817. [Google Scholar] [CrossRef]
- Dong, S.; Li, C.; Wang, J.; Liu, H.; Ding, Z.; Gao, Z.; Yang, W.; Lv, W.; Wei, L.; Wu, Y.; et al. The “burst effect” of hydrogen desorption in MgH2 dehydrogenation. J. Mater. Chem. A 2022, 10, 22363–22372. [Google Scholar] [CrossRef]
- Dong, S.; Li, C.; Lv, E.; Wang, J.; Liu, H.; Gao, Z.; Xiong, W.; Ding, Z.; Yang, W.; Li, H. MgH2/single-atom heterojunctions: Effective hydrogen storage materials with facile dehydrogenation. J. Mater. Chem. A 2022, 10, 19839–19851. [Google Scholar] [CrossRef]
- Norberg, N.S.; Arthur, T.S.; Fredrick, S.J.; Prieto, A.L. Size-Dependent Hydrogen Storage Properties of Mg Nanocrystals Prepared from Solution. J. Am. Chem. Soc. 2011, 133, 10679–10681. [Google Scholar] [CrossRef] [PubMed]
- Chung, K.-H. High-pressure hydrogen storage on microporous zeolites with varying pore properties. Energy 2010, 35, 2235–2241. [Google Scholar] [CrossRef]
- Ren, J.; Musyoka, N.M.; Annamalai, P.; Langmi, H.W.; North, B.C.; Mathe, M. Electrospun MOF nanofibers as hydrogen storage media. Int. J. Hydrogen Energy 2015, 40, 9382–9387. [Google Scholar] [CrossRef]
- Kappes, M.; Iannuzzi, M.; Carranza, R.M. Hydrogen Embrittlement of Magnesium and Magnesium Alloys: A Review. J. Electrochem. Soc. 2013, 160, C168–C178. [Google Scholar] [CrossRef]
- Sakintuna, B.; Lamaridarkrim, F.; Hirscher, M. Metal hydride materials for solid hydrogen storage: A review. Int. J. Hydrogen Energy 2007, 32, 1121–1140. [Google Scholar] [CrossRef]
- Schlapbach, L.; Züttel, A. Hydrogen-storage materials for mobile applications. Nature 2001, 414, 353–358. [Google Scholar] [CrossRef]
- Bhatia, P.; Chandra, R.; Nath, M. Controlled synthesis of ZIF-11 with varied particle size: Effective adsorbent for industrial pollutants and host for storage of gaseous CO2, H2 and CH4. Mater Chem Phys 2024, 320, 129413. [Google Scholar] [CrossRef]
- Szczesniak, B.; Choma, J.; Jaroniec, M. Gas adsorption properties of hybrid graphene-MOF materials. J. Colloid Interface Sci. 2018, 514, 801–813. [Google Scholar] [CrossRef]
- Zollo, G.; Gala, F. Atomistic Modeling of Gas Adsorption in Nanocarbons. J. Nanomater. 2012, 2012, 152489. [Google Scholar] [CrossRef]
- Salehabadi, A.; Umar, M.F.; Ahmad, A.; Ahmad, M.I.; Ismail, N.; Rafatullah, M. Carbon-based nanocomposites in solid-state hydrogen storage technology: An overview. Int. J. Energy Res. 2020, 44, 11044–11058. [Google Scholar] [CrossRef]
- Siddiqui, M.T.H.; Nizamuddin, S.; Baloch, H.A.; Mubarak, N.M.; Al-Ali, M.; Mazari, S.A.; Bhutto, A.W.; Abro, R.; Srinivasan, M.; Griffin, G. Fabrication of advance magnetic carbon nano-materials and their potential applications: A review. J. Environ. Chem. Eng. 2019, 7, 102812. [Google Scholar] [CrossRef]
- Pyle, D.S.; Gray, E.M.; Webb, C.J. Hydrogen storage in carbon nanostructures via spillover. Int. J. Hydrogen Energy 2016, 41, 19098–19113. [Google Scholar] [CrossRef]
- Park, Y.-J.; Lee, H.; Choi, H.L.; Tapia, M.C.; Chuah, C.Y.; Bae, T.-H. Mixed-dimensional nanocomposites based on 2D materials for hydrogen storage and CO2 capture. npj 2d Mater. Appl. 2023, 7, 61. [Google Scholar] [CrossRef]
- Nagar, R.; Vinayan, B.P.; Samantaray, S.S.; Ramaprabhu, S. Recent advances in hydrogen storage using catalytically and chemically modified graphene nanocomposites. J. Mater. Chem. A 2017, 5, 22897–22912. [Google Scholar] [CrossRef]
- Duan, Z.; Shi, S.; Yao, C.; Liu, X.; Diao, K.; Lei, D.; Liu, Y. Reversible hydrogen storage with Na-modified Irida-Graphene: A density functional theory study. Int. J. Hydrogen Energy 2024, 85, 1–11. [Google Scholar] [CrossRef]
- Zhou, M.; Lu, Y.; Zhang, C.; Feng, Y.P. Strain effects on hydrogen storage capability of metal-decorated graphene: A first-principles study. Appl. Phys. Lett. 2010, 97, 103109. [Google Scholar] [CrossRef]
- Zafar, M.; Iqbal, T.; Fatima, S.; Sanaullah, Q.; Aman, S. Carbon nanotubes for production and storage of hydrogen: Challenges and development. Chem. Pap. 2021, 76, 609–625. [Google Scholar] [CrossRef]
- Verma, R.; Jaggi, N. Ability of transition metal and hetero atoms co-doped SWCNTs for hydrogen adsorption: A DFT study. J. Phys. Chem. Solids 2024, 194, 112244. [Google Scholar] [CrossRef]
- Joseph, J.; Sivasankarapillai, V.S.; Nikazar, S.; Shanawaz, M.S.; Rahdar, A.; Lin, H.; Kyzas, G.Z. Borophene and Boron Fullerene Materials in Hydrogen Storage: Opportunities and Challenges. ChemSusChem 2020, 13, 3754–3765. [Google Scholar] [CrossRef]
- Ma, L.-P.; Wu, Z.-S.; Li, J.; Wu, E.-D.; Ren, W.-C.; Cheng, H.-M. Hydrogen adsorption behavior of graphene above critical temperature. Int. J. Hydrogen Energy 2009, 34, 2329–2332. [Google Scholar] [CrossRef]
- Züttel, A. Materials for hydrogen storage. Mater. Today 2003, 6, 24–33. [Google Scholar] [CrossRef]
- Verma, R.; Jaggi, N. A DFT investigation of Osmium decorated single walled carbon nanotubes for hydrogen storage. Int. J. Hydrogen Energy 2024, 54, 1507–1520. [Google Scholar] [CrossRef]
- Zhang, H.; Zhao, X.; Zhang, M.; Luo, Y.; Li, G.; Zhao, M. Three-dimensional diffusion of molecular hydrogen in graphdiyne: A first-principles study. J. Phys. D Appl. Phys. 2013, 46, 495307. [Google Scholar] [CrossRef]
- Dai, W.; Xiao, M.; Chen, M.-Q.; Xu, J.-J.; Tang, Y.-J. A simulation study on the hydrogen storage properties of fullerene family molecules Cx (x = 56, 60, 70) and their hydrides. Mod. Phys. Lett. B 2016, 30, 1650303. [Google Scholar] [CrossRef]
- Paul, D.; Mane, P.; Sarkar, U.; Chakraborty, B. Yttrium decorated fullerene C30 as potential hydrogen storage material: Perspectives from DFT simulations. Theor. Chem. Acc. 2023, 142, 94. [Google Scholar] [CrossRef]
- Tang, C.; Chen, S.; Zhu, W.; Zhang, A.; Zhang, K.; Zou, H. Doping the transition metal atom Fe, Co, Ni into C48B12 fullerene for enhancing H2 capture: A theoretical study. Int. J. Hydrogen Energy 2014, 39, 12741–12748. [Google Scholar] [CrossRef]
- Mahamiya, V.; Shukla, A.; Chakraborty, B. Exploring yttrium doped C24 fullerene as a high-capacity reversible hydrogen storage material: DFT investigations. J. Alloys Compd. 2022, 897, 162797. [Google Scholar] [CrossRef]
- Huang, W.; Shi, M.; Song, H.; Wu, Q.; Huang, X.; Bi, L.; Yang, Z.; Wang, Y. Hydrogen storage on chains-terminated fullerene C20 with density functional theory. Chem. Phys. Lett. 2020, 758, 137940. [Google Scholar] [CrossRef]
- Muniyandi, S.; Sundaram, R.; Kar, T. A comparison study on the sensing ability of C20/B12N12 nanocage towards beryllium hydride cluster and beryllium hydride molecules using density functional theory (DFT). Mater. Today Commun. 2023, 35, 105813. [Google Scholar] [CrossRef]
- Ammar, H.Y.; Badran, H.M. Ti deposited C20 and Si20 fullerenes for hydrogen storage application, DFT study. Int. J. Hydrogen Energy 2021, 46, 14565–14580. [Google Scholar] [CrossRef]
- Kareem, R.T.; Ahmadi, S.; Rahmani, Z.; Ebadi, A.G.; Ebrahimiasl, S. Characterization of titanium influences on structure and thermodynamic stability of novel C20-nTin nanofullerenes (n = 1–5): A density functional perspective. J. Mol. Model. 2021, 27, 176. [Google Scholar] [CrossRef] [PubMed]
- Sun, Q.; Wang, Q.; Jena, P.; Kawazoe, Y. Clustering of Ti on a C60 surface and its effect on hydrogen storage. J. Am. Chem. Soc. 2005, 127, 14582–14583. [Google Scholar] [CrossRef] [PubMed]
- Zhang, H.; Tong, C.-J.; Zhang, Y.; Zhang, Y.-N.; Liu, L.-M. Porous BN for hydrogen generation and storage. J. Mater. Chem. A 2015, 3, 9632–9637. [Google Scholar] [CrossRef]
- Kim, D.; Lee, S.; Jo, S.; Chung, Y.-C. Strain effects on hydrogen storage in Ti decorated pyridinic N-doped graphene. Phys. Chem. Chem. Phys. 2013, 15, 12757–12761. [Google Scholar] [CrossRef]
- Parkar, P.; Chaudhari, A. Hydrogen storage properties of Ti-doped C20 nanocage and its derivatives: A comprehensive density functional theory investigation. Mater. Chem. Phys. 2024, 319, 129340. [Google Scholar] [CrossRef]
- Kresse, G.; Hafner, J. Ab initio molecular dynamics for open-shell transition metals. Phys. Rev. B Condens. Matter 1993, 48, 13115–13118. [Google Scholar] [CrossRef]
- Ernzerhof, M.; Scuseria, G.E. Assessment of the Perdew–Burke–Ernzerhof exchange-correlation functional. J. Chem. Phys. 1999, 110, 5029–5036. [Google Scholar] [CrossRef]
- Perdew, J.P.; Burke, K.; Ernzerhof, M. Generalized Gradient Approximation Made Simple. Phys. Rev. Lett. 1996, 77, 3865–3868. [Google Scholar] [CrossRef]
- Grimme, S.; Antony, J.; Ehrlich, S.; Krieg, H. A consistent and accurate ab initio parametrization of density functional dispersion correction (DFT-D) for the 94 elements H-Pu. J. Chem. Phys. 2010, 132, 154104. [Google Scholar] [CrossRef]
- Grimme, S.; Ehrlich, S.; Goerigk, L. Effect of the damping function in dispersion corrected density functional theory. J. Comput. Chem. 2011, 32, 1456–1465. [Google Scholar] [CrossRef]
- Pan, H.-Z.; Wang, Y.-L.; He, K.-H.; Wei, M.-Z.; Ouyang, Y.; Chen, L. First-principles study of hydrogen adsorption on titanium-decorated single-layer and bilayer graphenes. Chin. Phys. B 2013, 22, 067101. [Google Scholar] [CrossRef]
- Ma, K.; Lv, E.; Zheng, D.; Cui, W.; Dong, S.; Yang, W.; Gao, Z.; Zhou, Y. A First-Principles Study on Titanium-Decorated Adsorbent for Hydrogen Storage. Energies 2021, 14, 6845. [Google Scholar] [CrossRef]
- Faye, O.; Szpunar, J.A. An Efficient Way To Suppress the Competition between Adsorption of H2 and Desorption of nH2-Nb Complex from Graphene Sheet: A Promising Approach to H2 Storage. J. Phys. Chem. C 2018, 122, 28506–28517. [Google Scholar] [CrossRef]
- Slanina, Z.; Adamowicz, L. One-, Two- and Three-Dimensional Structures of C20. Fuller. Sci. Technol. 1993, 1, 1–9. [Google Scholar] [CrossRef]
- Si, L.; Tang, C. The reversible hydrogen storage abilities of metal Na (Li, K, Ca, Mg, Sc, Ti, Y) decorated all-boron cage B28. Int. J. Hydrogen Energy 2017, 42, 16611–16619. [Google Scholar] [CrossRef]
- Meng, T.; Wang, C.-Y.; Wang, S.-Y. First-principles study of a single Ti atom adsorbed on silicon carbide nanotubes and the corresponding adsorption of hydrogen molecules to the Ti atom. Chem. Phys. Lett. 2007, 437, 224–228. [Google Scholar] [CrossRef]
- Chen, X.; Wang, L.; Zhang, W.; Zhang, J.; Yuan, Y. Ca-decorated borophene as potential candidates for hydrogen storage: A first-principle study. Int. J. Hydrogen Energy 2017, 42, 20036–20045. [Google Scholar] [CrossRef]
- Wang, J.; Du, Y.; Sun, L. Ca-decorated novel boron sheet: A potential hydrogen storage medium. Int. J. Hydrogen Energy 2016, 41, 5276–5283. [Google Scholar] [CrossRef]
- Wang, L.; Chen, X.; Du, H.; Yuan, Y.; Qu, H.; Zou, M. First-principles investigation on hydrogen storage performance of Li, Na and K decorated borophene. Appl. Surf. Sci. 2018, 427, 1030–1037. [Google Scholar] [CrossRef]
- Dong, S.; Lv, E.; Wang, J.; Li, C.; Ma, K.; Gao, Z.; Yang, W.; Ding, Z.; Wu, C.; Gates, I.D. Construction of transition metal-decorated boron doped twin-graphene for hydrogen storage: A theoretical prediction. Fuel 2021, 304, 121351. [Google Scholar] [CrossRef]
- Chase, M.W., Jr. NIST-JANAF Thermochemical Tables, 4th ed.; American Chemical Society: Washington, DC, USA; American Institute of Physics for the National Institute of Standards and Technology: New York, NY, USA, 1998. [Google Scholar]
- Gao, Y.; Li, Z.; Wang, P.; Cui, W.G.; Wang, X.; Yang, Y.; Gao, F.; Zhang, M.; Gan, J.; Li, C.; et al. Experimentally validated design principles of heteroatom-doped-graphene-supported calcium single-atom materials for non-dissociative chemisorption solid-state hydrogen storage. Nat. Commun. 2024, 15, 928. [Google Scholar] [CrossRef] [PubMed]
- García-Arroyo, E.; Reider, A.M.; Kollotzek, S.; Foitzik, F.; Campos-Martínez, J.; Bartolomei, M.; Pirani, F.; Hernández, M.I.; Mella, M.; Scheier, P. The role of Na decoration on the hydrogen adsorption on coronene: A combined experimental and computational study. Int. J. Hydrogen Energy 2024, 83, 387–395. [Google Scholar] [CrossRef]








Disclaimer/Publisher’s Note: The statements, opinions and data contained in all publications are solely those of the individual author(s) and contributor(s) and not of MDPI and/or the editor(s). MDPI and/or the editor(s) disclaim responsibility for any injury to people or property resulting from any ideas, methods, instructions or products referred to in the content. |
© 2024 by the authors. Licensee MDPI, Basel, Switzerland. This article is an open access article distributed under the terms and conditions of the Creative Commons Attribution (CC BY) license (https://creativecommons.org/licenses/by/4.0/).
Share and Cite
Chai, Z.; Liu, L.; Liang, C.; Liu, Y.; Wang, Q. Insight into the Reversible Hydrogen Storage of Titanium-Decorated Boron-Doped C20 Fullerene: A Theoretical Prediction. Molecules 2024, 29, 4728. https://doi.org/10.3390/molecules29194728
Chai Z, Liu L, Liang C, Liu Y, Wang Q. Insight into the Reversible Hydrogen Storage of Titanium-Decorated Boron-Doped C20 Fullerene: A Theoretical Prediction. Molecules. 2024; 29(19):4728. https://doi.org/10.3390/molecules29194728
Chicago/Turabian StyleChai, Zhiliang, Lili Liu, Congcong Liang, Yan Liu, and Qiang Wang. 2024. "Insight into the Reversible Hydrogen Storage of Titanium-Decorated Boron-Doped C20 Fullerene: A Theoretical Prediction" Molecules 29, no. 19: 4728. https://doi.org/10.3390/molecules29194728
APA StyleChai, Z., Liu, L., Liang, C., Liu, Y., & Wang, Q. (2024). Insight into the Reversible Hydrogen Storage of Titanium-Decorated Boron-Doped C20 Fullerene: A Theoretical Prediction. Molecules, 29(19), 4728. https://doi.org/10.3390/molecules29194728

