Rydberg-State Double-Well Potentials of Van der Waals Molecules
Abstract
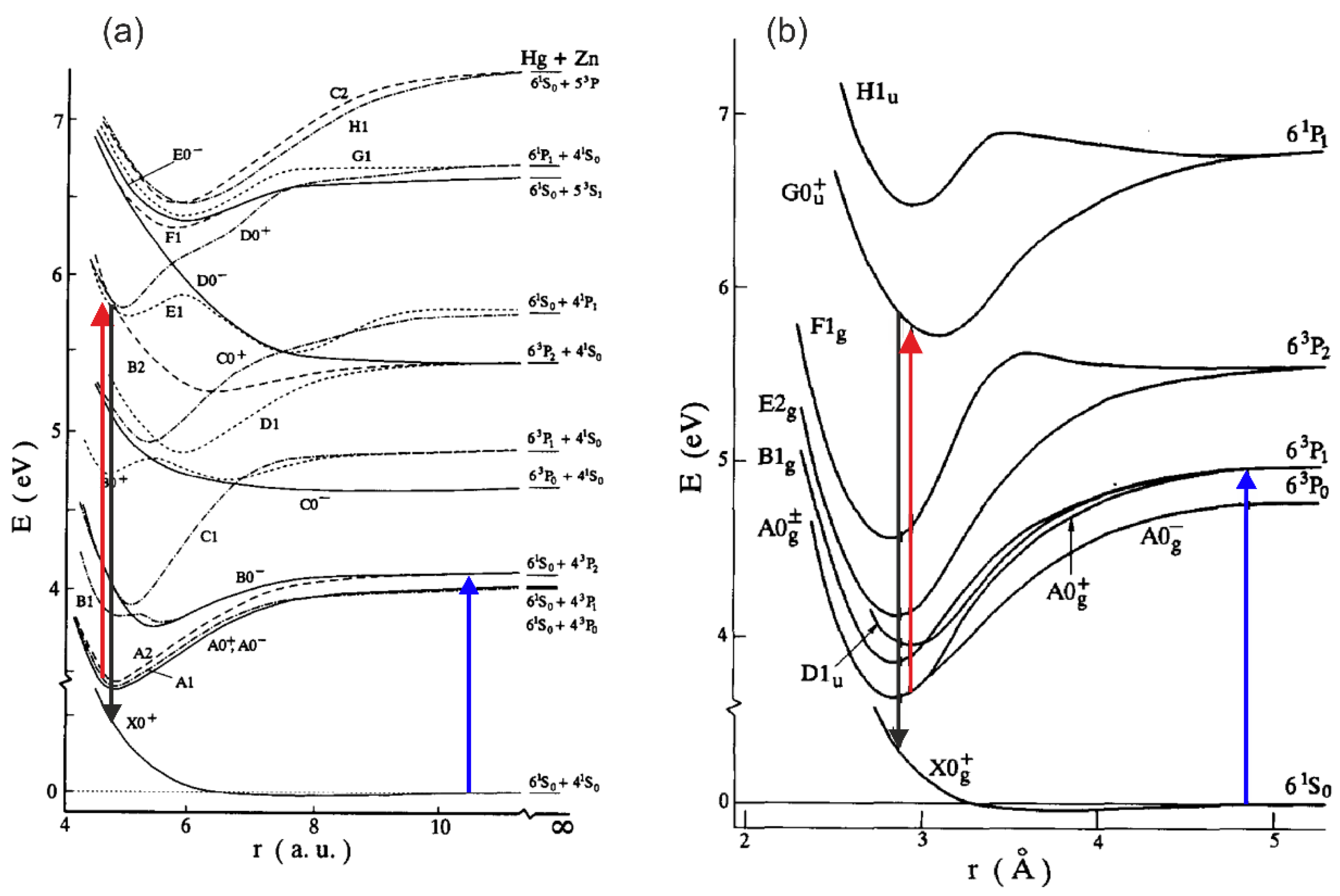
1. Introduction—Double-Well Structure of Rydberg Potential Energy Curves
2. Motivation for the Study and Realistic Applications of the Results
2.1. Molecular Optical Clocks and Frequency Standards for Fundamental Tests
2.2. Experimental versus Ab Initio-Calculated Rydberg Molecular Potentials—Calculational Challenges
2.3. Scheme for the Dissociation of Diatomic Molecules—Entanglement between Objects with Rest Masses
2.4. Photoassociation of Molecules with Double-Well Potentials—Cold Molecules from Cold Atoms
2.5. Vibrational and Rotational Cooling of Diatomic Molecules
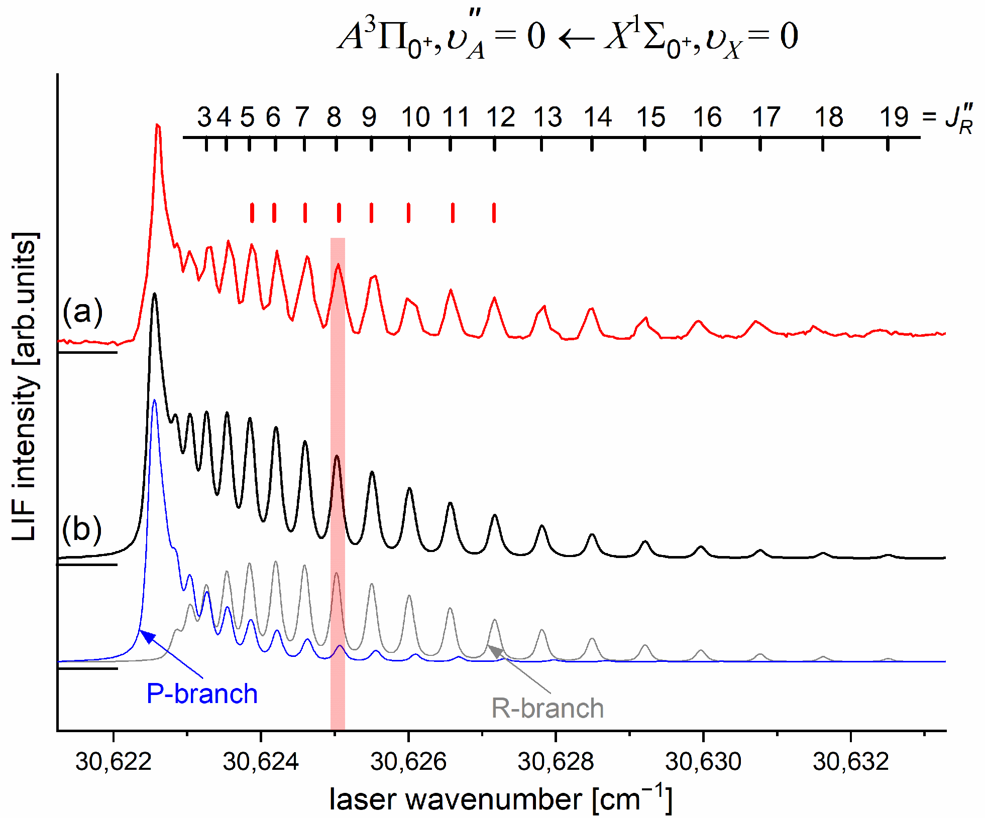
3. Optical–Optical Double Resonance (OODR) Method in Molecular Spectroscopy—Assessment and Main Advantages
3.1. OODR—Principle of the Method
3.2. Review of OODR Experiments in Diatomic Molecules
3.3. Example of Methods Alternative to OODR
3.3.1. Laser Vaporization–Optical Resonance (LV-OR)
3.3.2. Laser Photoassociation and Excitation (Pump-and-Probe)
3.3.3. Polarization Labelling Spectroscopy
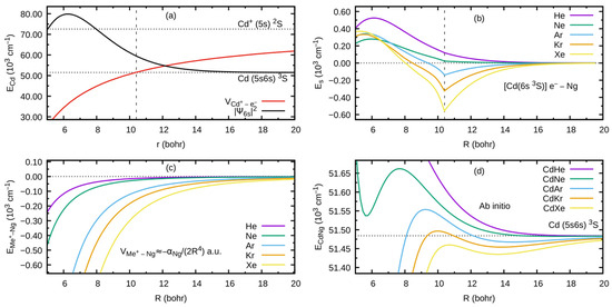
4. Ab Initio-Calculated Potentials of MeNg Molecules—Early, Recent, and Future Approaches
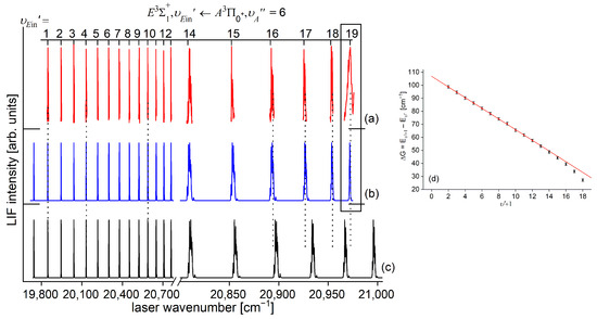
5. Progress in CdNg Spectroscopy of the Rydberg State—Recently Performed OODR Experiments
5.1. Special Approach for Rotational Characterization—Direct Bond Length Determination of the State in CdNe
5.2. Advances in the -State Characterization in CdAr
5.2.1. Improved Determination of the -State Inner Well Potential
5.2.2. Agreement Plot, Agreement Parameter, and a New Method for the Outer Well Bond Length Adjustment
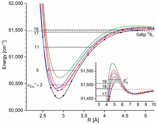
5.2.3. Final Approach: The -State Complete Potential Determination
- -
- , deeper inner well—for —adopted as the result of IPA method [13].
- -
- Potential barrier—for —modification of the ab initio-calculated potential [4].
- -
- , shallower outer well—for —represented by a Morse function [12] converted to the pointwise form combined using a cubic spline method. To obtain a simulation of the freebound profiles that satisfactorily reproduce that recorded in the experiment, slight modifications were introduced as follows: 0.01- and 0.16- shifts along the R axis of all ab initio points [4] used to construct the barrier and the IPA-based -state potential [13], respectively.
5.3. Perspectives: Bound→Free Emission after OODR Excitation of the CdAr (and ZnAr) Rydberg State—Characterization of Lower-Lying ‘Dark’ States or States Inaccessible in Direct Excitation from the Ground State
5.4. Improved Determination of the Inner and Outer Wells of the -State Potential in CdKr
- -
- To the inner potential well (see Figure 26a,c):

- -
- To the outer potential well (see Figure 27a–d):
5.5. Practical Method for Isotopologue Selection Using OODR—The Cases of CdKr and CdAr
6. Particular Spectroscopic Applications of Rydberg Double-Well Electronic Energy States in Diatomic Molecules
6.1. Spectroscopy of the ‘Dark’ c31 State of HgAr
6.2. Molecular Wave-Packet Interferometry with HgAr
7. Conclusions
Author Contributions
Funding
Institutional Review Board Statement
Informed Consent Statement
Data Availability Statement
Conflicts of Interest
References
- von Neumann, J.; Wigner, E.P. Über das Verhalten von Eigenwerten bei adiabatischen Prozessen. Phys. Z. 1929, 30, 467–479. [Google Scholar] [CrossRef]
- Dressler, K. Photophysics and Photochemistry above 6 eV; Lahmani, F., Ed.; Elsevier: Amsterdam, The Netherlands, 1985; pp. 327–341. [Google Scholar]
- Kędziorski, A.; Zobel, J.P.; Krośnicki, M.; Koperski, J. Rydberg states of ZnAr complex. Mol. Phys. 2022, 120, e2073282. [Google Scholar] [CrossRef]
- Krośnicki, M.; Kędziorski, A.; Urbańczyk, T.; Koperski, J. Rydberg states of the CdAr van der Waals complex. Phys. Rev. A 2019, 99, 052510. [Google Scholar] [CrossRef]
- Czuchaj, E.; Krośnicki, M.; Stoll, H. Quasirelativistic valence ab initio calculation of the potential curves for the Zn-rare gas van der Waals molecules. Chem. Phys. 2001, 265, 291–299. [Google Scholar] [CrossRef]
- Czuchaj, E.; Stoll, H. Calculation of ground- and excited-state potential energy curves for the Cd-rare gas complexes. Chem. Phys. 1999, 248, 1–16. [Google Scholar] [CrossRef]
- Czuchaj, E.; Krośnicki, M.; Stoll, H. Quasirelativistic valence ab initio calculation of the potential-energy curves for Cd-rare atom pairs. Theor. Chem. Acc. 2001, 105, 219–226. [Google Scholar] [CrossRef]
- Czuchaj, E.; Krośnicki, M.; Stoll, H. Quasirelativistic valence ab initio calculation of the potential energy curves for the Hg-rare gas atom complexes. Chem. Phys. 2001, 263, 7–17. [Google Scholar] [CrossRef]
- Bennett, R.R.; Breckenridge, W.H. Spectroscopic characterization of the a3Π0−, b3Π2 and E3Σ+ states of ZnAr. J. Chem. Phys. 1990, 92, 1588–1597. [Google Scholar] [CrossRef]
- Urbańczyk, T.; Sobczuk, J.; Koperski, J. Rotational characterization of the Rydberg state of CdNe van der Waals complex via selective J-excitation in OODR process. Spectrochim. Acta A 2022, 264, 120248. [Google Scholar] [CrossRef]
- Koperski, J.; Czajkowski, M.A. Spectroscopical characterization of CdNe van der Waals complex in the E1(3Σ+) Rydberg state. Chem. Phys. Lett. 2002, 357, 119–125. [Google Scholar] [CrossRef]
- Sobczuk, J.; Urbańczyk, T.; Koperski, J. The lowest-lying Rydberg state of CdAr van der Waals complex: The improved characterization of the interatomic potential. Spectrochim. Acta A 2022, 282, 121655. [Google Scholar] [CrossRef] [PubMed]
- Urbańczyk, T.; Krośnicki, M.; Kędziorski, A.; Koperski, J. The transition in CdAr revisited: The spectrum and new analysis of the Rydberg state interatomic potential. Spectrochim. Acta A 2018, 196, 58–66. [Google Scholar] [CrossRef]
- Urbańczyk, T.; Dudek, J.; Koperski, J. Isotopologue-selective excitation studied via optical-optical double resonance using the transitions in CdAr and CdKr van der Waals complexes. J. Quant. Spectrosc. Radiat. Transf. 2018, 212, 32–38. [Google Scholar] [CrossRef]
- Urbańczyk, T.; Koperski, J. The -state interatomic potential of CdAr in the long range region revisited: A new method for bond length adjustment. Chem. Phys. Lett. 2015, 640, 82–86. [Google Scholar] [CrossRef]
- Urbańczyk, T.; Strojecki, M.; Koperski, J. Structure of vibrational bands of the transitions in CdAr and CdKr studied by optical-optical double resonance method. Chem. Phys. Lett. 2011, 503, 18–24. [Google Scholar] [CrossRef]
- Koperski, J.; Czajkowski, M. The structure of the lowest electronic Rydberg state of CdAr complex determined by laser double resonance method in a supersonic jet-expansion beam. Spectrochim. Acta A 2003, 59, 2435–2448. [Google Scholar] [CrossRef]
- Bennett, R.R.; Breckenridge, W.H. Van der Waals bonding in the lowest electronic states of MgAr, ZnAr, CdAr, and HgAr: Spectroscopic characterization of the b3Π2 and e3Σ+ states of the CdAr molecule. J. Chem. Phys. 1992, 96, 882–890. [Google Scholar] [CrossRef]
- Urbańczyk, T.; Koperski, J. Spectroscopy of CdKr van der Waals complex using OODR process: New determination of the Rydberg state potential. Chem. Phys. 2019, 525, 110406. [Google Scholar] [CrossRef]
- Koperski, J.; Czajkowski, M. Electronic structure of the CdKr lowets Rydberg state determined from laser-excitation spectra using supersonic beam and double optical resonance method. Phys. Rev. A 2004, 69, 042509. [Google Scholar] [CrossRef]
- Okunishi, M.; Yamanouchi, K.; Onda, K.; Tsuchiya, S. Interatomic potential of the HgNe van der Waals complex in the E(3Σ+) Rydberg state. J. Chem. Phys. 1993, 98, 2675–2681. [Google Scholar] [CrossRef]
- Onda, K.; Yamanouchi, K.; Okunishi, M.; Tsuchiya, S. Interatomic potentials of triplet s-Rydberg series of HgNe and HgAr van der Waals dimers. J. Chem. Phys. 1994, 101, 7290–7299. [Google Scholar] [CrossRef]
- Onda, K.; Yamanouchi, K. Interatomic potentials of singlet s-Rydberg series of a HgNe van der Waals dimer: Evidence for stabilization by superexchange interaction. J. Chem. Phys. 1995, 201, 1129–1140. [Google Scholar] [CrossRef]
- Duval, M.-C.; D’Azy, O.B.; Breckenridge, W.H.; Jouvet, C.; Soep, B. The structure of several electronic states of the HgAr complex as determined by laser double resonance in a supersonic jet. J. Chem. Phys. 1986, 85, 6324–6334. [Google Scholar] [CrossRef]
- Amano, K.; Ohmori, K.; Kurosawa, T.; Chiba, H.; Okunishi, M.; Ueda, K.; Sato, Y.; Devdariani, A.Z.; Nikitin, E.E. c←X laser excitation spectrum of the HgAr vdW complex. J. Chem. Phys. 1998, 108, 8110–8113. [Google Scholar] [CrossRef]
- Yiannopoulou, A.; Jeung, G.-H.; Park, S.J.; Lee, H.S.; Lee, Y.S. Undulations of the potential energy curves for highly excited electronic states in diatomic molecules related to the atomic orbital undulations. Phys. Rev. A 1999, 59, 1178–1186. [Google Scholar] [CrossRef]
- Shaffer, J.P.; Rittenhouse, S.T.; Sadeghpour, H.R. Ultracold Rydberg molecules. Nat. Commun. 2018, 9, 1965. [Google Scholar] [CrossRef]
- Fermi, E. Sopra lo Spostamento per Pressione delle Righe Elevate delle Serie Spettrali. Il Nuovo Cimento 1934, 11, 157–166. [Google Scholar] [CrossRef]
- Omont, A. On the theory of collisions of atoms in Rydberg states with neutral particles. J. Phys. 1977, 38, 1343–1359. [Google Scholar] [CrossRef]
- Du, N.Y.; Greene, C.H. Interaction between a Rydberg atom and neutral perturbers. Phys. Rev. A 1987, 36, 971–974. [Google Scholar] [CrossRef]
- Greene, C.H.; Dickinson, A.S.; Sadeghpour, H.R. Creation of polar and nonpolar ultra-long-range Rydberg molecules. Phys. Rev. Lett. 2000, 85, 2458–2461. [Google Scholar] [CrossRef]
- Kramida, A.; Ralchenko, Y.; Reader, J.; NIST ASD Team. NIST Atomic Spectra Database (Ver. 5.11); National Institute of Standards and Technology: Gaithersburg, MD, USA, 2023. Available online: https://physics.nist.gov/asd (accessed on 22 June 2024).
- Sienkiewicz, J.E.; Baylis, W.E. Low-energy elastic e− − Xe scattering: The effect of exchange in the polarisation potential. J. Phys. B At. Mol. Opt. Phys. 1989, 22, 3733–3746. [Google Scholar] [CrossRef]
- Kurokawa, M.; Kitajima, M.; Toyoshima, K.; Kishino, T.; Odagiri, T.; Kato, H.; Hoshino, M.; Tanaka, H.; Ito, K. High-resolution total-cross-section measurements for electron scattering from Ar, Kr, and Xe employing a threshold-photoelectron source. Phys. Rev. A 2011, 84, 062717. [Google Scholar] [CrossRef]
- Cheng, Y.; Tang, L.Y.; Mitroy, J.; Safronova, M.S. All-order relativistic many-body theory of low-energy electron-atom scattering. Phys. Rev. A 2014, 89, 012701. [Google Scholar] [CrossRef]
- Fedus, K. Markov Chain Monte Carlo Effective Range Analysis of Low-Energy Electron Elastic Scattering from Xenon. Braz. J. Phys. 2016, 46, 1–9. [Google Scholar] [CrossRef][Green Version]
- Cheng, Y.; Liu, S.; Zhang, S.B.; Tang, Y.-B. Relativistic coupled-cluster-theory study for low-energy electron scattering with argon. Phys. Rev. A 2020, 102, 012824. [Google Scholar] [CrossRef]
- Schwerdtfeger, P.; Nagle, J.K. 2018 Table of static dipole polarizabilities of the neutral elements in the periodic table. Mol. Phys. 2018, 117, 1200–1225. [Google Scholar] [CrossRef]
- Strojecki, M.; Krośnicki, M.; Koperski, J. Repulsive and bound parts of the interatomic potentials of the lowest singlet electronic energy states of the MeRg complexes (Me=Zn, Cd; Rg=He, Ne, Ar, Kr, Xe). J. Mol. Spectrosc. 2009, 256, 128–134. [Google Scholar] [CrossRef]
- Strojecki, M.; Krośnicki, M.; Łukomski, M.; Koperski, J. Excitation spectra of CdRg (Rg=He, Ne, Xe) complexes recorded at the transition: From the heaviest CdXe to the lightest CdHe. Chem. Phys. Lett. 2009, 471, 29–35. [Google Scholar] [CrossRef]
- Jones, K.M.; Tiesinga, E.; Lett, P.D.; Julienne, P.S. Ultracold photoassociation spectroscopy: Long range molecules and atomic scattering. Rev. Mod. Phys. 2006, 78, 483–536. [Google Scholar] [CrossRef]
- Miller, J. A molecular clock for testing fundamental forces. Phys. Today 2019, 72, 18–21. [Google Scholar] [CrossRef]
- Stadnik, Y.V.; Flambaum, V.V. Can dark matter induce cosmological evolution of the fundamental constants of nature? Phys. Rev. Lett. 2015, 115, 201301. [Google Scholar] [CrossRef] [PubMed]
- Kennedy, C.J.; Oelker, E.; Robinson, J.M.; Bothwell, T.; Kedar, D.; Milner, W.R.; Marti, G.E.; Drevianko, A.; Ye, J. Precision metrology meets cosmology: Improved constraints on ultralight dark matter from atom-cavity frequency comparisons. Phys. Rev. Lett. 2020, 125, 201302. [Google Scholar] [CrossRef] [PubMed]
- Filzinger, M.; Dörscher, S.; Lange, R.; Klose, J.; Steinel, M.; Benkler, E.; Peok, E.; Lisdat, C.; Huntemann, N. Improved limits on the coupling of ultralight bosonic dark matter to photons from optical atomoc clock comparison. Phys. Rev. Lett. 2023, 130, 253001. [Google Scholar] [CrossRef]
- Wcisło, P.; Morzyński, P.; Bober, M.; Cygan, A.; Lisak, D.; Ciuryło, R.; Zawada, M. Experimental constraint on dark matter detection with optical atomic clocks. Nat. Astron. 2017, 1, 0009. [Google Scholar] [CrossRef]
- Wcisło, P.; Ablewski, P.; Beloy, K.; Bilicki, S.; Bober, M.; Brown, R.; Fasano, R.; Ciuryło, R.; Hachisu, H.; Ido, T.; et al. New bounds on dark matter coupling from a global network of optical atomic clocks. Sci. Adv. 2018, 4, eaau4869. [Google Scholar] [CrossRef] [PubMed]
- Hachisu, H.; Miyagishi, K.; Porsev, S.G.; Derevianko, A.; Ovsiannikov, V.D.; Pal’chikov, V.G.; Takamoto, M.; Katori, H. Trapping of neutral mercury atoms and prospects for optical lattice clocks. Phys. Rev. Lett. 2008, 100, 053001. [Google Scholar] [CrossRef] [PubMed]
- Beloy, K.; Hauser, A.W.; Borschevsky, A.; Flambaum, V.V.; Schwerdtfeger, P. Effect of α variation on the vibrational spectrum of Sr2. Phys. Rev. A 2011, 84, 062114. [Google Scholar] [CrossRef]
- Kajita, M.; Gopakumar, G.; Abe, M.; Hada, M. Elimination of the Stark shift from the vibrational transition frequency of optically trapped 174Yb6Li molecules. Phys. Rev. A 2011, 84, 022507. [Google Scholar] [CrossRef]
- DeMille, D.; Sainis, S.; Sage, J.; Bergeman, T.; Kotochigova, S.; Tiesinga, E. Enhanced sensitivity to variation of me/mp in nolecular spectra. Phys. Rev. Lett. 2008, 100, 043202. [Google Scholar] [CrossRef]
- Hanneke, D.; Kuzhan, B.; Lunstad, A. Optical clocks based on molecular vibrations as probes of variation of the proton-to-electron mass ratio. Quantum Sci. Technol. 2021, 6, 014005. [Google Scholar] [CrossRef]
- Zelevinsky, T.; Kotochigova, S.; Ye, J. Precision test of mass-ratio variations with lattice-confined ultracold molecules. Phys. Rev. Lett. 2008, 100, 043201. [Google Scholar] [CrossRef] [PubMed]
- Kozlov, M.G.; Derevianko, A. Proposal for a sensitive search for the electric dipole moment of the electron with matrix-isolated radicals. Phys. Rev. Lett. 2006, 97, 063001. [Google Scholar] [CrossRef]
- Meyer, E.R.; Bohn, J.L. Electron electron-dipole-moment searches based on alkali-metal- or alkaline-earth-metal-bearing molecules. Phys. Rev. A 2009, 80, 042508. [Google Scholar] [CrossRef]
- Prasannaa, V.S.; Vutha, A.C.; Abe, M.; Das, B.P. Mercury monohalides: Suitability for electron dipole moment searches. Phys. Rev. Lett. 2015, 114, 183001. [Google Scholar] [CrossRef] [PubMed]
- Verma, M.; Jayich, A.M.; Vuhta, A.C. Electric dipole moment searches using clock transitions in ultracold molecules. Phys. Rev. Lett. 2020, 125, 153201. [Google Scholar] [CrossRef]
- Yamanaka, K.; Ohmae, N.; Ushijima, I.; Takamoto, M.; Katori, H. Frequency ratio of 199Hg and 87Sr optical lattice clocks beyond the SI limit. Phys. Rev. Lett. 2015, 114, 230801. [Google Scholar] [CrossRef] [PubMed]
- McFerran, J.J.; Yi, L.; Mejri, S.; Di Manno, S.; Zhang, W.; Guena, J.; Le Coq, Y.; Bize, S. Neutral atom frequency reference in the deep ultraviolet with fractional uncertainty =5.7 × 10−15. Phys. Rev. Lett. 2012, 108, 183004. [Google Scholar] [CrossRef] [PubMed]
- Ovsiannikov, V.D.; Marmo, S.I.; Palchikov, V.G.; Katori, H. Higher-order effects on the precision of clocks of neutral atoms in optical lattices. Phys. Rev. A 2016, 93, 043420. [Google Scholar] [CrossRef]
- Dzuba, V.A.; Derevianko, A. Blackbody radiation shift for the 1S0 – 3P0 optical clock transition in zinc and cadmium atoms. J. Phys. B 2019, 52, 215005. [Google Scholar] [CrossRef]
- Yamaguchi, A.; Safronova, M.S.; Gibble, K.; Katori, H. Narrow-line cooling and determination of the magic wavelength of Cd. Phys. Rev. Lett. 2019, 123, 113201. [Google Scholar] [CrossRef] [PubMed]
- Porsev, S.G.; Safronova, M.S. Calculation of higher-order corrections to the light shift of the clock transition in Cd. Phys. Rev. A 2020, 102, 012811. [Google Scholar] [CrossRef]
- Ye, J.; Ma, L.S.; Hall, J.L. Molecular iodine clock. Phys. Rev. Lett. 2001, 87, 270801. [Google Scholar] [CrossRef] [PubMed]
- Foreman, S.M.; Marian, A.; Ye, J.; Petrukhin, E.A.; Gubin, M.A.; Mücke, O.D.; Wong, F.N.C.; Ippen, E.P.; Kärtner, F.X. Demonstration of a HeNe/CH4—based optical molecular clock. Opt. Lett. 2005, 30, 570–572. [Google Scholar] [CrossRef] [PubMed]
- Schiller, S.; Bakalov, D.; Korobov, V.I. Simplest molecules as candidates for precise optical clocks. Phys. Rev. Lett. 2014, 113, 023004. [Google Scholar] [CrossRef] [PubMed]
- Karr, J.-P. and HD+: Candidates for a molecular clock. J. Mol. Spectrosc. 2014, 300, 37–43. [Google Scholar] [CrossRef]
- Zaremba-Kopczyk, K.; Tomza, M. Van der Waals molecules consisting of a zinc or cadmium atom interacting with an alkali-metal or alkaline-earth-metal atom. Phys. Rev. A 2021, 104, 042816. [Google Scholar] [CrossRef]
- Borkowski, M. Optical lattice clocks with weakly bound molecules. Phys. Rev. Lett. 2018, 120, 083202. [Google Scholar] [CrossRef]
- Kondov, S.S.; Lee, C.-H.; Leung, K.H.; Liedl, C.; Majewska, I.; Moszynski, R.; Zelevinsky, T. Molecular lattice clock with long vibrational coherence. Nat. Phys. 2019, 15, 1118–1122. [Google Scholar] [CrossRef]
- Leung, K.H.; Iritani, B.; Tiberi, E.; Majewska, I.; Borkowski, M.; Moszynski, R.; Zelevinsky, T. Terahertz vibrational molecular clock with systematic uncertainty at the 10−14 level. Phys. Rev. X 2023, 13, 011047. [Google Scholar] [CrossRef]
- Kedzierski, W.; Supronowicz, J.; Czajkowski, A.; Hinek, M.J.; Atkinson, J.B.; Krause, L. The rotationally resolved electronic spectrum of the (202Hg)2 excimer. Chem. Phys. Lett. 1994, 218, 314–319. [Google Scholar] [CrossRef]
- Urbańczyk, T.; Strojecki, M.; Krośnicki, M.; Kędziorski, A.; Żuchowski, P.S.; Koperski, J. Interatomic potentials of metal dimers: Probing agreement between experiment and advanced ab initio calculations for van der Waals dimer Cd2. Int. Rev. Phys. Chem. 2017, 36, 541–620. [Google Scholar] [CrossRef]
- Bohm, D. A suggested interpretation of the quantum theory in terms of ‘hidden’ variables. I. Phys. Rev. 1952, 85, 166–179. [Google Scholar] [CrossRef]
- Bohm, D. A suggested interpretation of the quantum theory in terms of ‘hidden’ variables. II. Phys. Rev. 1952, 85, 180–192. [Google Scholar] [CrossRef]
- Einstein, A.; Podolsky, B.; Rosen, N. Can quantum-mechanical description of physical reality be considered complete? Phys. Rev. 1935, 47, 777–780. [Google Scholar] [CrossRef]
- Fry, E.S.; Walther, T.; Li, S. Proposal for a loophole-free test of the Bell inequalities. Phys. Rev. A 1995, 52, 4381–4395. [Google Scholar] [CrossRef] [PubMed]
- Bell, J.S. On the Einstein Podolsky Rosen paradox. Physics 1964, 1, 195–200. [Google Scholar] [CrossRef]
- Urbańczyk, T.; Strojecki, M.; Krośnicki, M.; Koperski, J. Entangled cadmium atoms—From the method of production to the test of Bell inequalities. Opt. Appl. 2012, 42, 433–441. [Google Scholar] [CrossRef]
- Lo, T.K.; Shimony, A. Proposed molecular test of local hidden-variables theories. Phys. Rev. A 1981, 23, 3003–3012. [Google Scholar] [CrossRef]
- Urbańczyk, T.; Strojecki, M.; Koperski, J. Exploration of the molecular ro-vibrational energy structure: On the perspective of Yb2 and Cd2 internal cooling, and 171Yb—Version of Einstein-Podolsky-Rosen experiment. Mol. Phys. 2018, 116, 3475–3486. [Google Scholar] [CrossRef]
- Vigué, J.; Grangier, P.; Roger, G.; Aspect, A. Polarization of calcium atomic fluorescence due to a coherence effect in the photodissociation of Ca2 molecules. J. Phys. Lett. 1981, 42, 531–535. [Google Scholar] [CrossRef][Green Version]
- Grangier, P.; Aspect, A.; Vigué, J.J. Quantum interference effect for two atoms radiating a single photon. Phys. Rev. Lett. 1985, 54, 418–421. [Google Scholar] [CrossRef]
- Robert, J.; Zappa, F.; de Carvalho, C.R.; Jalbert, G.; Nascimento, R.F.; Trimeche, A.; Dulieu, O.; Medina, A.; Carvalho, C.; de Castro Faria, N.V. Experimental evidence of twin metastable H(22S) atoms from dissociation of cold H2 induced by electrons. Phys. Rev. Lett. 2013, 111, 183203. [Google Scholar] [CrossRef] [PubMed]
- Medina, A.; Rahmat, G.; Jalbert, G.; Cireasa, R.; Zappa, F.; de Carvalho, C.R.; de Castro Faria, N.V.; Robert, J. Slow metastable H(22S1/2) from dissociation of cold H2 induced by electrons. Eur. Phys. J. 2012, 66, 134. [Google Scholar] [CrossRef]
- Esquivel, R.O.; Flores-Gallegros, N.; Molina-Espíritu, M.; Plastino, A.R.; Angulo, J.C.; Antolín, J.; Dehesa, F.S. Quantum entanglement and the dissociation process of diatomic molecules. J. Phys. B At. Mol. Opt. Phys. 2011, 44, 175101. [Google Scholar] [CrossRef]
- Lett, P.D.; Julienne, P.S.; Phillips, W.D. Photoassociative spectroscopy of laser-cooled atoms. Ann. Rev. Phys. Chem. 1995, 46, 423–452. [Google Scholar] [CrossRef] [PubMed]
- Masnou-Seeuws, F.; Pillet, P. Formation of ultracold molecules (T ≤ 200 μK) via photoassociation in a gas of laser cooled atoms. Adv. At. Mol. Opt. Phys. 2001, 47, 53–127. [Google Scholar] [CrossRef]
- Almazor, M.-L.; Dulieu, O.; Masnou-Seeuws, F.; Beuc, R.; Pichler, G. Formation of ultracold molecules via photoassociation with blue detuned laser light. Eur. Phys. J. D 2001, 15, 355–363. [Google Scholar] [CrossRef]
- Tiemann, E. Cold molecules. In Interactions in Cold Gases. From Atoms to Molecules; Weidemüller, M., Zimmermann, C., Eds.; Wiley: New York, NY, USA, 2003; pp. 175–214. [Google Scholar]
- Stwalley, W.C.; Gould, P.L.; Eyler, E.E. Ultracold Molecule Formation by Photoassociation. In Cold Molecules. Theory, Experiment, Applications; CRC: Boca Raton, FL, USA, 2009; pp. 206–263. [Google Scholar]
- Pashov, A.; Kowalczyk, P.; Jastrzębski, W. Double-minimum state in Rb2: Spectroscopic study and possible applications for cold-physics experiments. Phys. Rev. A 2019, 100, 012507. [Google Scholar] [CrossRef]
- Thomas, O.; Lippe, C.; Eichert, T.; Ott, H. Photoassociation of rotating ultra-long range Rydberg molecules. J. Phys. B At. Mol. Opt. Phys. 2018, 51, 155201. [Google Scholar] [CrossRef]
- Hamamda, M.; Pillet, P.; Lignier, H.; Comparat, D. Ro-vibrational cooling of molecules and prospects. J. Phys. B At. Mol. Opt. Phys. 2015, 48, 182001. [Google Scholar] [CrossRef]
- Horchani, R. Laser cooling of internal degrees of freedom of molecules. Front. Phys. 2016, 11, 113301. [Google Scholar] [CrossRef]
- Bahns, J.T.; Stwalley, W.C.; Gould, P.L. Laser cooling of molecules: A sequential scheme for rotation, translation, and vibration. J. Chem. Phys. 1996, 104, 9689–9697. [Google Scholar] [CrossRef]
- Manai, I.; Horchani, R.; Hamamda, M.; Fioretti, A.; Allegrini, M.; Lignier, H.; Pillet, P.; Comparat, D. Laser cooling of rotation and vibration by optical pumping. Mol. Phys. 2013, 111, 1844–1854. [Google Scholar] [CrossRef]
- Walther, T. Interactions in Ultracold Gases: From Atoms to Molecules; Weidemuller, M., Zimmermann, C., Eds.; Wiley-VCH: Weinheim, Germany, 2003; pp. 405–406. [Google Scholar]
- Urbańczyk, T.; Koperski, J. Ro-vibrational cooling of diatomic molecules Cd2 and Yb2: Rotational energy structure included. Mol. Phys. 2020, 118, e1694712. [Google Scholar] [CrossRef]
- Wakim, A.; Zabawa, P.; Haruza, M.; Bigelow, N.P. Luminorefrigeration: Vibrational cooling of NaCs. Opt. Expr. 2012, 20, 16083–16091. [Google Scholar] [CrossRef]
- Yuan, X.; Yin, S.; Shen, Y.; Liu, Y.; Lian, Y.; Xu, H.-F.; Yan, B. Laser cooling of thallium chloride: A theoretical investigation. J. Chem. Phys. 2018, 149, 094306. [Google Scholar] [CrossRef] [PubMed]
- Li, C.; Li, Y.; Ji, Z.; Qiu, X.; Lai, Y.; Wei, J.; Zhao, Y.; Deng, L.; Chen, Y.; Liu, J. Candidates for direct laser cooling of diatomic molecules with the simplest 1Σ − 1Σ electronic system. Phys. Rev. A 2018, 97, 062501. [Google Scholar] [CrossRef]
- Yang, Q.-S.; Li, S.-C.; Yu, Y.; Gao, T. Theoretical study of the feasibility of laser cooling the 24Mg35Cl molecule including hyperfine structure and branching ratios. J. Phys. Chem. A 2018, 122, 3021–3030. [Google Scholar] [CrossRef]
- Urbańczyk, T.; Krośnicki, M.; Koperski, J. Observation of gerade Rydberg state of Cd2 van der Waals complex cooled in free-jet expansion beam and excited using optical-optical double resonance method. Spectochim. Acta A 2021, 253, 119500. [Google Scholar] [CrossRef] [PubMed]
- Czajkowski, M.; Bobkowski, R.; Krause, L. Pump-and-probe studies of the E1(63S1) ← A0+(53P1) excitation spectrum of CdAr in a supersonic beam. Phys. Rev. A 1992, 45, 6451–6458. [Google Scholar] [CrossRef] [PubMed]
- Koperski, J.; Urbańczyk, T.; Krośnicki, M.; Strojecki, M. Free←bound and bound←bound profiles in excitation spectra of the B31 ← X10+ transition in CdNg (Ng=noble gas) complexes. Chem. Phys. 2014, 428, 43–52. [Google Scholar] [CrossRef]
- Bernheim, R.A.; Gold, L.P.; Kelly, P.B.; Tipton, T.; Veirs, D.K. A spectroscopic study of the G1Πg state of 7Li2 by pulsed optical-optical double resonance. J. Chem. Phys. 1981, 74, 2749–2754. [Google Scholar] [CrossRef]
- Bernheim, R.A.; Gold, L.P.; Kelly, P.B.; Tomczyk, C.; Veirs, D.K. A study of the and states of 7Li2 by pulsed optical-optical double resonance. J. Chem. Phys. 1981, 74, 3249–3254. [Google Scholar] [CrossRef]
- Bernheim, R.A.; Gold, L.P.; Kelly, P.B.; Tipton, T.; Veirs, D.K. A study of the state of 7Li2 by pulsed optical-optical double resonance spectroscopy. J. Chem. Phys. 1982, 76, 57–60. [Google Scholar] [CrossRef]
- Bernheim, R.A.; Gold, L.P.; Tipton, T. Rydberg states of 7Li2 by pulsed optical-optical double resonance spectroscopy: Molecular constants of 7. J. Chem. Phys. 1983, 78, 3635–3646. [Google Scholar] [CrossRef]
- Xie, X.; Field, R.W. Perturbation facilitated optical-optical double resonance spectroscopy of the 6, 23Πg, 13Δg, b3Πu, and states. J. Mol. Spectrosc. 1986, 117, 228–244. [Google Scholar] [CrossRef]
- Li, L.; Field, R.W. Direct observation of high-lying 3Πg states of the Na2 molecule by optical-optical double resonance. J. Phys. Chem. 1983, 87, 3020–3022. [Google Scholar] [CrossRef]
- Sanli, A.; Pan, X.; Magnier, S.; Huennekens, J.; Lyyra, A.M.; Ahmed, E.H. Measurement of the and transition dipole moments using optical-optical double resonance and Autler-Townes spectroscopy. J. Chem. Phys. 2017, 147, 204301. [Google Scholar] [CrossRef]
- Saaranen, M.; Wagle, D.; McLaughlin, E.; Paladino, A.; Ashman, S.; Bayram, B. Time-resolved double-resonance spectroscopy: Lifetime measurement of the electronic state of molecular sodium. J. Chem. Phys. 2018, 149, 204302. [Google Scholar] [CrossRef]
- Li, L.; Lyyra, A.M. Triplet states of Na2 and Li2 by perturbation facilitated optical-optical double resonance spectroscopy. Spectrochim. Acta A 1999, 55, 2147–2178. [Google Scholar] [CrossRef]
- Kim, J.T.; Wang, H.; Tsai, C.C.; Bahns, J.T.; Stwaley, W.C.; Jong, G.; Lyyra, A.M. Observation of the , and states of by perturbation facilitated optical-optical resonance spectroscopy. J. Chem. Phys. 1995, 102, 6646–6652. [Google Scholar] [CrossRef]
- Arndt, P.T.; Sovkov, V.B.; Ma, J.; Pan, X.; Beecher, D.S.; Tsai, J.Y.; Guan, Y.; Lyyra, A.M.; Ahmed, E.H. The state: Observation and analysis. J. Chem. Phys. 2018, 149, 224303. [Google Scholar] [CrossRef] [PubMed]
- Arndt, P.T.; Sovkov, V.B.; Ma, J.; Pan, X.; Beecher, D.S.; Tsai, J.Y.; Guan, Y.; Lyyra, A.M.; Ahmed, E.H. Experimental study of the state of the rubidium dimer. Phys. Rev. A 2019, 99, 052511. [Google Scholar] [CrossRef]
- Jabbour, Z.J.; Heunnekens, J. A study of the predissociation of NaK molecules in the state by optical-optical double resonance spectroscopy. J. Chem. Phys. 1997, 107, 1094–1105. [Google Scholar] [CrossRef][Green Version]
- Chu, C.-C.; Huang, H.-Y.; Whang, T.-J.; Tsai, C.-C. Observation of double-well potential of NaH state: Deriving the dissociation energy of its ground state. J. Chem. Phys. 2018, 148, 114301. [Google Scholar] [CrossRef]
- Bernath, P.F.; Field, R.W. Optical-optical double-resonance spectroscopy of CaF. J. Mol. Spectrosc. 1980, 82, 339–347. [Google Scholar] [CrossRef]
- Ludwigs, H.; Royen, P. OODR spectroscopy of BaCl. Rotational analysis of the . Chem. Phys. Lett. 1994, 223, 95–98. [Google Scholar] [CrossRef]
- Field, R.W.; Capelle, G.A.; Revelli, M.A. Optical-optical double resonance laser spectroscopy of BaO. J. Chem. Phys. 1975, 63, 3228–3237. [Google Scholar] [CrossRef]
- Field, R.W.; English, A.D.; Tanaka, T.; Harris, D.O.; Jennings, D.A. Microwave optical double resonance spectroscopy with a CW dye laser: BaO X1Σ and A1Σ. J. Chem. Phys. 1973, 59, 2191–2203. [Google Scholar] [CrossRef]
- Donovan, R.J.; Lawley, K.P.; Min, Z.; Ridley, T.; Yarwood, A.J. Two-color bound-free-bound spectroscopy as a route to ion-pair states in iodine. Chem. Phys. Lett. 1994, 226, 525–531. [Google Scholar] [CrossRef]
- Michalak, R.; Zimmermann, D. Laser-spectroscopic investigation of higher excited electronic states of the KAr molecule. J. Mol. Spectrosc. 1999, 193, 260–272. [Google Scholar] [CrossRef]
- Bouloufa, N.; Cabaret, L.; Luc, P.; Vetter, R.; Luh, W.T. An optical-optical double resonance experiment in LiH molecules: Lifetime measurements in the C state. J. Chem. Phys. 2004, 121, 7237–7242. [Google Scholar] [CrossRef]
- Kleimenov, E.; Zehnder, O.; Merkt, F. Spectroscopic characterization of the potential energy functions of Ne2 Rydberg states in the vicinity of the Ne(1S0)+Ne(p') dissociation limits. J. Mol. Spectrosc. 2008, 247, 85–99. [Google Scholar] [CrossRef]
- Sunahori, F.X.; Nagarajan, R.; Clouthier, D.J. Optical-optical double resonance, laser induced fluorescence, and revision of the signs of the spin-spin constants of the boron carbide (BC) free radical. J. Chem. Phys. 2015, 143, 224308. [Google Scholar] [CrossRef] [PubMed]
- Wallace, I.; Breckenridge, W.H. Spectroscopic characterization of the and states of the MgNe molecule. J. Chem. Phys. 1993, 98, 2768–2773. [Google Scholar] [CrossRef]
- Bennett, R.R.; McCaffrey, J.G.; Wallace, I.; Funk, D.J.; Kowalski, A.; Breckenridge, W.H. A laser spectroscopic study of the transition of MgAr: Evidence for -type doubling. J. Chem. Phys. 1989, 90, 2139–2147. [Google Scholar] [CrossRef]
- Kaup, J.G.; Leung, A.W.K.; Breckenridge, W.H. Spectroscopic characterization of the metastable valence states and the Rydberg states of the MgKr and MgXe van der Waals molecules. J. Chem. Phys. 1997, 107, 10492–10505. [Google Scholar] [CrossRef]
- McCaffrey, J.G.; Funk, D.J.; Breckenridge, W.H. Characterization of the first excited 1 and the ground states of MgXe. I. Analysis of the 1 bound-bound transitions. J. Chem. Phys. 1993, 99, 9472–9481. [Google Scholar] [CrossRef]
- McCaffrey, J.G.; Funk, D.J.; Breckenridge, W.H. Characterization of the first excited 1 and the ground states of MgXe. I. Analysis of the 1 bound-free emission spectra. J. Chem. Phys. 1994, 100, 955–971. [Google Scholar] [CrossRef]
- Brock, L.R.; Duncan, M.A. Photoionization spectroscopy of Ag-rare gas van der Waals complexes. J. Chem. Phys. 1995, 103, 9200–9211. [Google Scholar] [CrossRef]
- Knight, A.M.; Stangassinger, A.; Duncan, M.A. Photoionization spectroscopy of Au-Ar. Chem. Phys. Lett. 1997, 273, 265–271. [Google Scholar] [CrossRef]
- Gardner, J.M.; Lester, M.I. Resonant photoionization spectroscopy of refractory metal-rare gas complexes: AlAr. Chem. Phys. Lett. 1987, 137, 301–305. [Google Scholar] [CrossRef]
- Callender, C.L.; Mitchell, S.A.; Hackett, P.A. Interatomic potentials for van der Waals complexes of group 13 metal atoms: AlAr, AlKr, and AlXe. J. Chem. Phys. 1989, 90, 5252–5261. [Google Scholar] [CrossRef]
- Fawzy, W.M.; LeRoy, R.J.; Simard, B.; Niki, H.; Hackett, P.A. Determining repulsive potentials of InAr from oscillatory bound→continuum emission. J. Chem. Phys. 1993, 98, 140–149. [Google Scholar] [CrossRef]
- Callender, C.L.; Mitchell, S.A.; Hackett, P.A. Interatomic potentials for van der Waals complexes of group 13 metal atoms: InAr, InKr, and InXe. J. Chem. Phys. 1989, 90, 2535–2543. [Google Scholar] [CrossRef]
- Merritt, J.M.; Bondybey, V.E.; Heaven, M.C. Beryllium dimer—Caught in the act of bonding. Science 2009, 324, 1548–1551. [Google Scholar] [CrossRef] [PubMed]
- Lebeault, M.A.; Viallon, J.; Boutou, V.; Chevaleyre, J. Vibrational structure of the transition of the Ba2 molecule. J. Mol. Spectrosc. 1988, 192, 179–182. [Google Scholar] [CrossRef] [PubMed]
- Greetham, G.M.; Ellis, A.M. Laser-induced fluorescence spectroscopy of the gallium dimer: Evidence for a 3 electronic ground state. J. Mol. Spectrosc. 2003, 222, 273–275. [Google Scholar] [CrossRef]
- Niefer, R.J.; Supronowicz, J.; Atkinson, J.B.; Krause, L. Laser-induced fluorescence from the H, I, and J states of Hg2. Phys. Rev. A 1987, 35, 4629–4638. [Google Scholar] [CrossRef] [PubMed]
- Czajkowski, A.; Kedzierski, W.; Atkinson, J.B.; Krause, L. Rotational analysis of the bands of . J. Mol. Spectrosc. 1997, 181, 1–10. [Google Scholar] [CrossRef]
- Kedzierski, W.; Atkinson, J.B.; Krause, L. The 3 vibronic spectrum of Zn2. Chem. Phys. Lett. 1994, 222, 146–148. [Google Scholar] [CrossRef]
- Kedzierski, W.; Atkinson, J.B.; Krause, L. Laser-induced Fluorescence from the 3 state of Zn2. Chem. Phys. Lett. 1991, 181, 427–430. [Google Scholar] [CrossRef]
- Kedzierski, W.; Atkinson, J.B.; Krause, L. Laser Spectroscopy of the 3(43P,43P) state of Zn2. Chem. Phys. Lett. 1992, 200, 103–107. [Google Scholar] [CrossRef]
- Kedzierski, W.; Atkinson, J.B.; Krause, L. Laser-induced fluorescence from the 3 state of Zn2. Chem. Phys. Lett. 1993, 215, 185–187. [Google Scholar] [CrossRef]
- Hegazi, E.; Supronowicz, J.; Chambaud, G.; Atkinson, J.B.; Baylis, W.E.; Krause, L. Laser-Induced Fluorescence from the E1 and F1 states of the HgZn Excimer. Phys. Rev. A 1989, 40, 6293–6299. [Google Scholar] [CrossRef] [PubMed]
- Hegazi, E.; Supronowicz, J.; Atkinson, J.B.; Krause, L. Laser-induced fluorescence spectra of the HgZn excimer: Transitions involving the E0−, A1, A0−, and B0− states. Phys. Rev. A 1990, 42, 2734–2740. [Google Scholar] [CrossRef] [PubMed]
- Hegazi, E.; Supronowicz, J.; Atkinson, J.B.; Krause, L. Laser-induced fluorescence from the F0− state of the HgZn excimer. Phys. Rev. A 1990, 42, 2745–2750. [Google Scholar] [CrossRef]
- Supronowicz, J.; Hegazi, E.; Atkinson, J.B.; Krause, L. Fluorescence and excitation spectra of the D0+, E1, and G1 states of the HgZn exciplex. Chem. Phys. Lett. 1994, 222, 149–155. [Google Scholar] [CrossRef]
- Supronowicz, J.; Atkinson, J.B.; Krause, L. Laser spectroscopy of some HgCd spin-orbit states. Phys. Rev. A 1994, 50, 3719–3726. [Google Scholar] [CrossRef] [PubMed]
- Krośnicki, M.; Strojecki, M.; Urbańczyk, T.; Pashov, A.; Koperski, J. Interatomic potentials of the heavy van der Waals dimer Hg2: A ‘test-bed’ for theory-to-experiment agreement. Phys. Rep. 2015, 591, 1–31. [Google Scholar] [CrossRef]
- Czuchaj, E.; Rebentrost, F.; Stoll, H.; Preuss, H. Potential energy curves for the Zn2 dimer. Chem. Phys. Lett. 1996, 255, 203–209. [Google Scholar] [CrossRef]
- Bieroń, J.R.; Baylis, W.E. Potential energy curves of HgCd and spectroscopic constants of group IIB metal dimers. Chem. Phys. 1995, 197, 129–137. [Google Scholar] [CrossRef]
- Bieroń, J.R.; Baylis, W.E. Calculation of the potential energy curves of the HgZn dimer. Mol. Phys. 2000, 98, 1051–1055. [Google Scholar] [CrossRef]
- Fioretti, A.; Comparat, D.; Crubellier, A.; Dulieu, O.; Masnou-Seeuws, F.; Pillet, P. Formation of cold Cs2 molecules through photoassociation. Phys. Rev. Lett. 1998, 80, 4402–4405. [Google Scholar] [CrossRef]
- Vatasescu, M.; Dulieu, O.; Amiot, C.; Comparat, D.; Drag, C.; Kokoouline, V.; Masnou-Seeuws, F.; Pillet, P. Multichannel tunnelling in the photoassociation spectrum. Phys. Rev. A 2000, 61, 044701. [Google Scholar] [CrossRef]
- Comparat, D.; Drag, C.; Torla, B.L.; Fioretti, A.; Pillet, P.; Crubellier, A.; Dullieu, O.; Masnou-Seeuws, F. Formation of cold Cs2 ground state molecules through photoassociation in the 1u pure long-range state. Eur. Phys. J. D 2000, 11, 59–71. [Google Scholar] [CrossRef]
- Saßmannshausen, H.; Deiglmayr, J. Observation of Rydberg-atom macrodimers: Micrometer-sized diatomic molecules. Phys. Rev. Lett. 2016, 117, 083401. [Google Scholar] [CrossRef] [PubMed]
- Nikolov, A.N.; Eyler, E.E.; Wang, X.T.; Li, J.; Wang, H.; Stwaley, W.C.; Gould, P.L. Observation of ultracold ground-state potassium molecules. Phys. Rev. Lett. 1999, 82, 703–706. [Google Scholar] [CrossRef]
- Nikolov, A.N.; Ensher, J.R.; Eyler, E.E.; Wang, H.; Stwaley, W.C.; Gould, P.L. Efficient production of ground-state potassium molecules at sub-mK temperatures by two-step photoassociation. Phys. Rev. Lett. 2000, 84, 246–249. [Google Scholar] [CrossRef]
- Carollo, R.R.; Carini, J.L.; Eyler, E.E.; Gould, P.L.; Stwaley, W.C. Short-range photoassociation from the inner wall of the lowest triplet potential of 85Rb2. J. Phys. B At. Mol. Opt. Phys. 2016, 49, 194001. [Google Scholar] [CrossRef]
- Deiglmayr, J.; Repp, M.; Grochola, A.; Mörtlbauer, K.; Glück, C.; Dulieu, O.; Lange, J.; Wester, R.; Weidemüller, M. Formation of ultracold dipolar molecules in the lowest vibrational levels by photoassociation. Faraday Discuss. 2009, 142, 335–349. [Google Scholar] [CrossRef][Green Version]
- Ferber, R.; Jastrzębski, J.; Kowalczyk, P. Line intensities in V-type polarization labelling spectroscopy of diatomic molecules. J. Quant. Spectrosc. Radiat. Transf. 1997, 58, 53–60. [Google Scholar] [CrossRef]
- Jastrzębski, W.; Jaśniecki, W.; Kowalczyk, P.; Nadyak, R.; Pashov, A. Spectroscopic investigation of the double-minimum state of the potassium dimer. Phys. Rev. A 2000, 62, 042509. [Google Scholar] [CrossRef]
- Pashov, A.; Jastrzębski, W.; Jaśniecki, W.; Bednarska, V.; Kowalczyk, P. Accurate potential curve for the double minimum state of Na2. J. Mol. Spectrosc. 2000, 203, 264–267. [Google Scholar] [CrossRef]
- Kubkowska, M.K.; Grochola, A.; Jastrzębski, W.; Kowalczyk, P. The and states in Li2: Experiment and comparison with theory. Chem. Phys. 2007, 333, 214–218. [Google Scholar] [CrossRef]
- Jastrzębski, W.; Kowalczyk, P.; Szczepkowski, J.; Pashov, A. The double minimum state in Cs2. Spectrochim. Acta A 2024, 320, 124597. [Google Scholar] [CrossRef]
- Pashov, A.; Jastrzębski, W.; Kowalczyk, P. An improved description of the double minimum state of NaK by an IPA potential energy curve. J. Phys. B At. Mol. Opt. Phys. 2000, 33, L611–L614. [Google Scholar] [CrossRef]
- Szczepkowski, J.; Grochola, A.; Jastrzębski, W.; Kowalczyk, P. Experimental investigation of the ‘shelf’ state of KCs. Chem. Phys. Lett. 2014, 614, 36–40. [Google Scholar] [CrossRef]
- Kortyka, P.; Jastrzębski, W.; Kowalczyk, P. Experimental characterization of the double minimum state in NaRb. Chem. Phys. Lett. 2005, 404, 323–326. [Google Scholar] [CrossRef]
- Czuchaj, E.; Sienkiewicz, J. Pseudopotential calculation of the adiabatic potentials and oscillator strengths of cadmium-rare-gas pairs. J. Phys. B At. Mol. Phys. 1984, 17, 2251–2268. [Google Scholar] [CrossRef]
- Li, L.; Xue, J.; Liu, D.; Chen, Y.; Wang, Y.; Ma, R.; Yan, B. Spectroscopic constants and transition properties of the singlet states of van der Waals molecules CdRG (RG=He, Ne, Ar, Kr, Xe, Rn). Mol. Phys. 2023, 121, e2211908. [Google Scholar] [CrossRef]
- Werner, H.-J. Third-order multireference perturbation theory The CASPT3 method. Mol. Phys. 1996, 89, 645–661. [Google Scholar] [CrossRef]
- Igel-Mann, G. Semiempirische Pseudopotentiale: Untersuchungen an Hauptgruppenelementen und Nebengruppenelementen Mit Abgeschlossener d-Schale. Ph.D. Thesis, Universität Stuttgart, Stuttgart, Germany, 1987. [Google Scholar]
- Nicklass, A.; Dolg, M.; Stoll, H.; Preuss, H. Ab initio energy-adjusted pseudopotentials for the noble gases Ne through Xe: Calculation of atomic dipole and quadrupole polarizabilities. J. Chem. Phys. 1995, 102, 8942–8952. [Google Scholar] [CrossRef]
- Andrae, D.; Häussermann, U.; Dolg, M.; Preuss, H. Energy-adjusted ab initio pseudopotentials for the second and third row transition elements. Theor. Chim. Acta 1990, 77, 123–141. [Google Scholar] [CrossRef]
- Figgen, D.; Rauhut, G.; Dolg, M.; Stoll, H. Energy-consistent pseudopotentials for group 11 and 12 atoms: Adjustment to multi-configuration Dirac-Hrtree-Fock data. Chem. Phys. 2005, 311, 227–244. [Google Scholar] [CrossRef]
- Hampel, C.; Peterson, K.A.; Werner, H.-J. A comparison of the efficiency and accuracy of the quadratic configuration interaction (QCISD), coupled cluster (CCSD), and Brueckner coupled cluster (BCCD) methods. Chem. Phys. Lett. 1992, 190, 1–12. [Google Scholar] [CrossRef]
- Knowles, P.J.; Hampel, C.; Werner, H.-J. Coupled cluster theory for high spin, open shell reference wave function. J. Chem. Phys. 1993, 99, 5219–5227. [Google Scholar] [CrossRef]
- Knowles, P.J.; Werner, H.-J. An efficient method for the evaluation of coupling coefficients in configuration interaction calculations. Chem. Phys. Lett. 1988, 145, 514–522. [Google Scholar] [CrossRef]
- Werner, H.-J.; Knowles, P.J. An efficient internally contracted multiconfiguration-reference configuration interaction method. J. Chem. Phys. 1988, 89, 5803–5814. [Google Scholar] [CrossRef]
- Malmqvist, P.-Ǻ.; Rendell, A.; Roos, B.O. The restricted active space self-consistent-field method, implemented with a split graph unitary group approach. J. Phys. Chem. 1990, 94, 5477–5482. [Google Scholar] [CrossRef]
- Malmqvist, P.-Ǻ.; Pierloot, K.; Shahi, A.R.M.; Cramer, C.J.; Gagliardi, L. The restricted active space followed by second-order perturbation theory method: Theory and application to the study of CuO2 and Cu2O2 systems. J. Chem. Phys. 2008, 128, 204109. [Google Scholar] [CrossRef] [PubMed]
- Malmqvist, P.-Ǻ.; Roos, B.O.; Schimmelpfennig, B. The restricted active space (RAS) state interaction approach with spin-orbit coupling. Chem. Phys. Lett. 2002, 357, 230–240. [Google Scholar] [CrossRef]
- Roos, B.O.; Taylor, P.R.; Sigbahn, P.E.M. A complete active space SCF method (CASSCF) using a density matrix formulated super-CI approach. Chem. Phys. 1980, 48, 157–173. [Google Scholar] [CrossRef]
- Andersson, K.; Malmqvist, P.-Ǻ.; Roos, B.O.; Sadlej, A.J.; Wolinski, K. Second-order perturbation theory with a CASSCF reference function. J. Phys. Chem. 1990, 94, 5483–5488. [Google Scholar] [CrossRef]
- Andersson, K.; Malmqvist, P.-Ǻ.; Roos, B.O. Second-order perturbation theory with a complete active space self-consistent field reference function. J. Chem. Phys. 1992, 96, 1218–1226. [Google Scholar] [CrossRef]
- Finley, J.; Malmqvist, P.-Ǻ.; Roos, B.O.; Serano-Andrés, L. The multi-state CASPT2 method. Chem. Phys. Lett. 1998, 288, 299–306. [Google Scholar] [CrossRef]
- Watts, J.D.; Gauss, J.; Bartlett, R.J. Coupled-cluster methods with noniterative triple excitations for restricted open-shell Hartree-Fock and other general single determinant reference functions. Energies and analytical gradients. J. Chem. Phys. 1993, 98, 8718–8733. [Google Scholar] [CrossRef]
- Sekino, H.; Bartlet, R.J. A linear response, coupled-cluster theory for excitation energy. Int. J. Quantum Chem. 1984, 26, 255–265. [Google Scholar] [CrossRef]
- Stanton, J.F.; Bartlett, R.J. The equation of motion coupled-cluster method. A systematic biorthogonal approach to molecular excitation energies, transition probabilities, and excited state properties. J. Chem. Phys. 1993, 98, 7029–7039. [Google Scholar] [CrossRef]
- Gwaltney, S.R.; Nooijen, M.; Bartlett, R.J. Simplified methods for equation-of-motion coupled-cluste excited state calculations. Chem. Phys. Lett. 1996, 248, 189–198. [Google Scholar] [CrossRef]
- Korona, T.; Werner, H.-J. Local treatment of electron excitations in the EOM-CCSD method. J. Chem. Phys. 2003, 118, 3006–3019. [Google Scholar] [CrossRef]
- Dolg, M.; Wedig, U.; Stoll, H.; Preuss, H. Energy-adjusted ab initio pseudopotentials for the first row transition elements. J. Chem. Phys. 1987, 86, 866–872. [Google Scholar] [CrossRef]
- Li, L.; Xue, J.; Liu, Y.; Yan, B. Ab initio study on the singlet states of ZnRG (RG=He, Ne, Ar, Kr, Xe, Rn) molecules. Spectrochim. Acta A 2023, 287, 122091. [Google Scholar] [CrossRef]
- Li, L.; Li, C.; Yan, B. The spectroscopic and transition properties of ZnHe: MRCI+Q study including spin-orbit coupling. J. Quant. Spectrosc. Radiat. Transf. 2023, 297, 108482. [Google Scholar] [CrossRef]
- Shamasundar, K.R.; Knizia, G.; Werner, H.-J. A new internally contracted multi-reference configuration interaction method. J. Chem. Phys. 2011, 135, 054101. [Google Scholar] [CrossRef] [PubMed]
- Dudek, J.; Kędziorski, A.; Zobel, J.P.; Krośnicki, M.; Urbańczyk, T.; Puczka, K.; Koperski, J. Boundfree and boundbound multichannel emission spectra from selectively excited Rydberg states in the ZnAr and CdAr van der Waals complexes. J. Mol. Struct. 2020, 1222, 128840. [Google Scholar] [CrossRef]
- Koperski, J.; Czajkowski, M. Improved spectroscopic characterization of the ground and lowest excited , and energy states of CdNe complex in a wide range of internuclear separations. Eur. Phys. J. D 2000, 10, 363–377. [Google Scholar] [CrossRef]
- Kvaran, A.; Funk, D.J.; Kowalski, A.; Breckenridge, W.H. Spectroscopic characterization of the and states of CdNe, CdAr, CdKr, and CdXe. J. Chem. Phys. 1988, 89, 6069–6080. [Google Scholar] [CrossRef]
- Le Roy, R.J. LEVEL: A computer program for solving the radial Schrodinger equation for bound and quasibound levels. J. Quant. Spectrosc. Radiat. Transf. 2017, 186, 167–178. [Google Scholar] [CrossRef]
- Western, C.M. PGOPHER: A program for simulating rotational, vibrational and electronic spectra. J. Quant. Spectrosc. Radiat. Transf. 2018, 186, 221–242. [Google Scholar] [CrossRef]
- Pashov, A.; Jastrzębski, W.; Kowalczyk, P. Construction of potential curves for diatomic molecular states by the IPA method. Comput. Phys. Commun. 2000, 128, 622–634. [Google Scholar] [CrossRef]
- Krośnicki, M.; Kędziorski, A.; Urbańczyk, T.; Koperski, J. Valence and Rydberg states of CdKr within ab initio approach. manuscript in preparation.
- LeRoy, R.J.; Kraemer, G.T. BCONT 2.2. A Computer Program for Calculating Bound→Continuum Transition Intensities for Diatomic Molecules; University of Waterloo Chemical Physics Research Report CP-650R2; University of Waterloo: Waterloo, ON, Canada, 2004. [Google Scholar]
- Urbańczyk, T.; Koperski, J. Profiles of (υ′;υ″ = 0) bands recorded in excitation spectra using transitions in Cd2 and transitions in CdAr. Mol. Phys. 2014, 112, 2486–2494. [Google Scholar] [CrossRef]
- Tellinghuisen, J. Reflection and interference structure in diatomic Franck-Condon distributions. J. Mol. Spectrosc. 1984, 103, 455–465. [Google Scholar] [CrossRef]
- Condon, E.U. Nuclear motions associated with electron transitions in diatomic molecules. Phys. Rev. 1928, 32, 858–872. [Google Scholar] [CrossRef]
- Koperski, J. Potential energy curve of the ground state of HgAr determined from and fluorescence spectra. Chem. Phys. 1996, 211, 191–201. [Google Scholar] [CrossRef]
- Strojecki, M.; Koperski, J. LIF dispersed emission spectra and characterization of ZnRg (Rg=Ne, Ar, Kr) ground-state potentials. Chem. Phys. Lett. 2009, 479, 189–194. [Google Scholar] [CrossRef]
- Koperski, J.; Łukomski, M.; Czajkowski, M. Laser spectroscopy of CdKr molecules in ultraviolet region. Spectrochim. Acta A 2002, 58, 2709–2724. [Google Scholar] [CrossRef]
- Werner, H.-J.; Knowles, P.J.; Celani, P.; Györffy, W.; Hesselmann, A.; Kats, D.; Knizia, G.; Kohn, A.; Korona, T.; Kreplin, D.; et al. MOLPRO, Version 2002.6, a Package of Ab Initio Programs. 2003. Available online: http://www.molpro.net (accessed on 22 September 2024).
- Ohmori, K.; Sato, Y.; Nikitin, E.E.; Rice, S.A. High-precision molecular wave-packet interferometry with HgAr dimers. Phys. Rev. Lett. 2003, 91, 243003. [Google Scholar] [CrossRef]
- Urbańczyk, T.; Koperski, J. Rotational profiles of vibrational bands recorded at the transition in CdAr complex. Chem. Phys. Lett. 2014, 591, 64–68. [Google Scholar] [CrossRef]































| Designation | CdNe | CdAr | CdKr | ||
|---|---|---|---|---|---|
| 56.6 ± 3.0 [11] | 106.9 ± 0.2 [13] e 105.0 [105] 107.1 ± 2.0 [17] 105.4 [18] 106.5 ± 0.3 [16] 97.2 ± 11.0 [4] 93.5 ± 18.0 [39,40] | 4.36 ± 0.05 [12] e 4.4 ± 0.2 [17] 4.15 ± 0.05 [16] 4.15 ± 0.10 [15] | 107.36 ± 1.98 [19] e 91.0 ± 1.0 [20] 90.97 ± 1.00 [16] 91.1 ± 0.5 [14] m | 3.09 ± 0.14 [19] n 5.14 ± 0.23 [19] o 4.10 ± 0.15 [20] | |
| 8.8 ± 0.4 [11] | 2.052 ± 0.015 [13] e 2.21 [105] 2.1 ± 0.1 [17] 2.19 [18] 2.01 [4] | 0.207 ± 0.005 [12] e 0.20 ± 0.01 [17] 0.225 ± 0.005 [16] 0.225 ± 0.010 [15] | 1.626 ± 0.081 [19] e 1.25 ± 0.01 [20] 1.374 ± 0.030 [16] 1.42 ± 0.04 [14] m | 0.012 ± 0.012 [19] n 0.115 ± 0.009 [19] o 0.170 ± 0.008 [20] | |
| 91.0 ± 4.0 [11] | 1260 ± 15 [13] f 1252.8 [105] 1309.5 ± 10.0 [17] 1266 [18] 1312.8 ± 14.2 [16] 1115 ± 230 [4] 1055 ± 380 [39,40] | 22.96 ± 0.76 [12] e 24.2 ± 1.0 [17] 19.14 ± 0.63 [16] 19.10 ± 1.30 [15] 16 [4] 17 [39,40] | 1772 ± 20 [19] e 1656.0 ± 3.0 [20] 1505.7 ± 1.0 [16] 1461.1 ± 9.0 [14] m 2056 [208] 1053 ± 505 [39,40] | 71 [19] 25.0 ± 2.0 [20] 27.0 ± 2.0 [20] k 38 [208] 16 [39,40] | |
| 2.98 ± 0.06 [10] b 3.21 ± 0.05 [11] | 2.850 ± 0.005 [16,17] 2.850 ± 0.005 [13] g 2.84 ± 0.03 [18,105] 2.88 ± 0.04 [4] 2.91 ± 0.06 [39,40] | 7.235 ± 0.121 [12] j 5.60 ± 0.05 [17] 7.63 ± 0.05 [16] 6.90 ± 0.15 [15] 7.356 [4] 7.673 [39,40] | 2.99 ± 0.05 [16,20] 2.93 [208] 2.92 ± 0.10 [39,40] | 5.90 ± 0.05 [20] 6.74 [208] 7.72 [39,40] | |
| 0.112 ± 0.002 [10] c | 0.07104 [18] 0.07016 ± 0.00246 [16] | 0.00979 ± 0.00013 [16] | 0.0385 ± 0.0013 [16] | — | |
| 0.106 ± 0.001 υ′=0 [10] 0.095 ± 0.001 υ′=1 [10] 0.092 υ′=0 [10] d 0.080 υ′=1 [10] d | 0.06754 υ′=0 [13] d 0.06683 υ′=2 [13] d 0.06360 υ′=5 [13] d 0.06222 υ′=6 [18] i 0.06066 υ′=7 [18] i 0.05904 υ′=8 [18] i 0.05738 υ′=9 [18] i 0.05565 υ′=10 [18] i 0.05543 υ′=11 [13] d 0.04132 υ′=17 [13] d | — | 0.03828 υ′=0 [14] l 0.03782 υ′=1 [14] l 0.03736 υ′=2 [14] l 0.03689 υ′=3 [14] l | — | |
| — | (1.218 ± 0.128) [16] | (2.18 ± 1.00) [16] | (2.758 ± 0.319) [16] | — | |
| — | 1.172 υ′=0 [13] d 1.495 υ′=2 [13] d 1.654 υ′=5 [13] d 2.499 υ′=11 [13] d 7.289 υ′=17 [13] d | — | 0.2980 υ′=0 [14] l 0.3081 υ′=1 [14] l 0.3189 υ′=2 [14] l 0.3305 υ′=3 [14] l | — | |
| 4.0 [11] | 5.15 [12] 4.7 [17] 4.964 [4] 4.890 [39,40] | 4.63 [20] 5.46 [208] 4.90 [39,40] | |||
| (132–135) ± 4 [11] a | 27 [12] 48.0 [17] a 21.1–39.4 [13] h 46 [4] 70 [39,40] | 22 [19] p (40–45) 10 [20] a 25 [208] p 70 [39,40] a | |||
Disclaimer/Publisher’s Note: The statements, opinions and data contained in all publications are solely those of the individual author(s) and contributor(s) and not of MDPI and/or the editor(s). MDPI and/or the editor(s) disclaim responsibility for any injury to people or property resulting from any ideas, methods, instructions or products referred to in the content. |
© 2024 by the authors. Licensee MDPI, Basel, Switzerland. This article is an open access article distributed under the terms and conditions of the Creative Commons Attribution (CC BY) license (https://creativecommons.org/licenses/by/4.0/).
Share and Cite
Urbańczyk, T.; Kędziorski, A.; Krośnicki, M.; Koperski, J. Rydberg-State Double-Well Potentials of Van der Waals Molecules. Molecules 2024, 29, 4657. https://doi.org/10.3390/molecules29194657
Urbańczyk T, Kędziorski A, Krośnicki M, Koperski J. Rydberg-State Double-Well Potentials of Van der Waals Molecules. Molecules. 2024; 29(19):4657. https://doi.org/10.3390/molecules29194657
Chicago/Turabian StyleUrbańczyk, Tomasz, Andrzej Kędziorski, Marek Krośnicki, and Jarosław Koperski. 2024. "Rydberg-State Double-Well Potentials of Van der Waals Molecules" Molecules 29, no. 19: 4657. https://doi.org/10.3390/molecules29194657
APA StyleUrbańczyk, T., Kędziorski, A., Krośnicki, M., & Koperski, J. (2024). Rydberg-State Double-Well Potentials of Van der Waals Molecules. Molecules, 29(19), 4657. https://doi.org/10.3390/molecules29194657

