Hats Off to Modeling! Profiling Early Synthetic Dyes on Historic Woolen Samples with ATR-FTIR Spectroscopy and Multivariate Curve Resolution–Alternating Least Square Algorithm
Abstract
1. Introduction
2. Results and Discussion
2.1. Fabrics Colored with One Dye
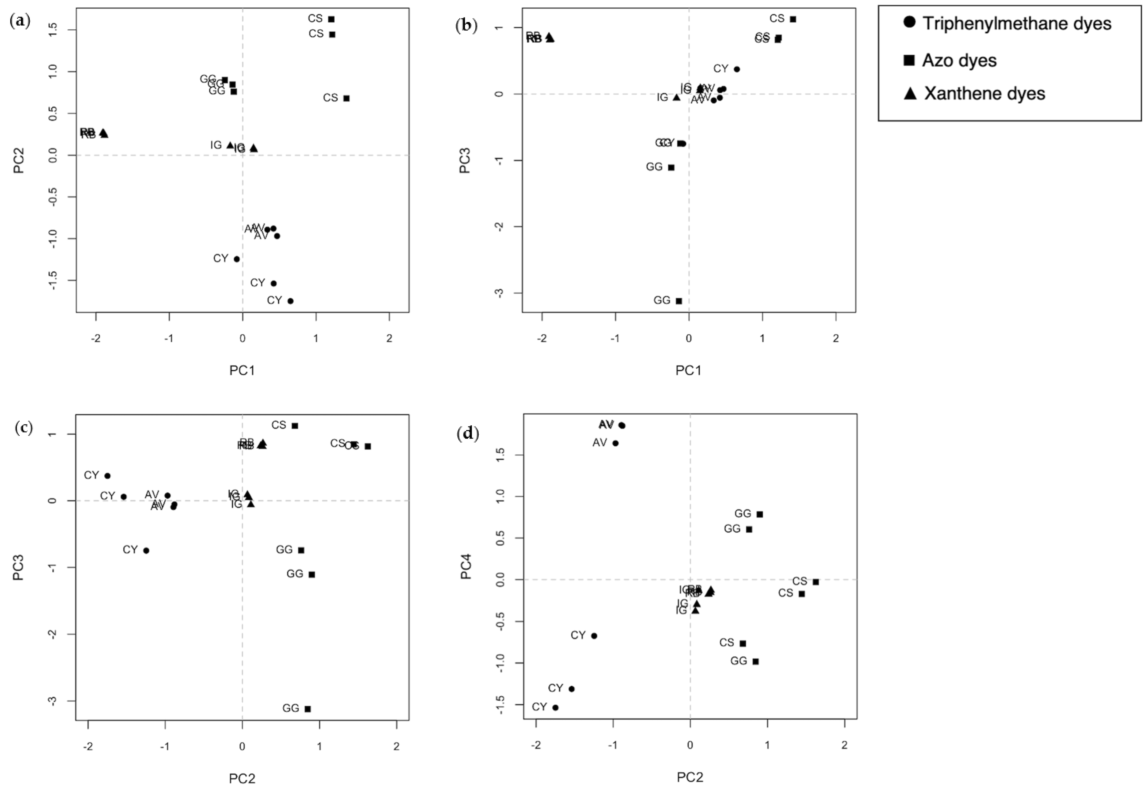
2.1.1. The Exploratory Analysis
2.1.2. MCR-ALS
2.2. Investigation on Known and Unknown, Pure and Mixture Dyes in Fabrics
2.2.1. The Exploratory Analysis
2.2.2. MCR-ALS
3. Materials and Methods
3.1. The Samples
3.2. ATR-FTIR Spectroscopy
3.3. Data Pre-Processing and Chemometrics
4. Conclusions
Supplementary Materials
Author Contributions
Funding
Institutional Review Board Statement
Informed Consent Statement
Data Availability Statement
Conflicts of Interest
References
- Caggiani, M.C.; Forleo, T.; Pojana, G.; Lagioia, G.; Mangone, A.; Giannossa, L.C. Characterization of silk-cotton and wool-cotton blends pattern books by Fiber Optics Reflectance Spectroscopy. The booming market of first synthetic textiles dyes in early 20th Century. Microchem. J. 2022, 175, 107178. [Google Scholar] [CrossRef]
- Gentile, L.; Giannossa, L.C.; Mangone, A.; Lagioia, G.; Palazzo, G. From Byssus Threads to Pinna nobilis Sea-Silk: A Fiber Chemical and Structural Characterization. Acad. Mater. Sci. 2023, 1, 6123. [Google Scholar] [CrossRef]
- Montenegro, V. II Patrimonio Storico-Scientifico Dell’università Degli Studi di Bari Aldo Moro; Giuseppe Laterza Ed.: Bari, Italy, 2017; pp. 135–142. [Google Scholar]
- Mikheev, Y.A.; Guseva, L.N.; Ershov, Y.A. The nature of chromaticity of triphenylmethane, xanthene, phtalocyanine, and thiazine dyes, Russ. J. Phys. Chem. A 2010, 84, 1778–1791. [Google Scholar]
- Available online: https://www.britannica.com/technology/dye/Development-of-synthetic-dyes (accessed on 23 July 2024).
- Benkhaya, S.; M’rabet, S.; Harfi, A.E. Classifications, properties, recent synthesis and application of azo dyes. Heliyon 2020, 6, e03271. [Google Scholar] [CrossRef] [PubMed]
- Longoni, M.; Gavazzi, M.; Monti, D.; Bruni, S. Early synthetic textile dyes of the late 19th century from the “Primo Levi” Chemistry Museum (Rome): A multitechnique analytical investigation. J. Cult. Herit. 2023, 59, 131–139. [Google Scholar] [CrossRef]
- Tamburini, D.; Sabatini, F.; Berbers, S.; van Bommel, M.R.; Degano, I. An Introduction and Recent Advances in the Analytical Study of Early Synthetic Dyes and Organic Pigments in Cultural Heritage. Heritage 2024, 7, 1969–2010. [Google Scholar] [CrossRef]
- Mazzeo, R.; Roda, A.; Prati, S. Analytical chemistry for cultural heritage: A key discipline in conservation research. Anal. Bioanal. Chem. 2011, 399, 2885–2887. [Google Scholar] [CrossRef] [PubMed][Green Version]
- Trojanowicz, M. Modern chemical analysis in archaeometry. Anal. Bioanal. Chem. 2008, 391, 915–918. [Google Scholar] [CrossRef]
- Janssens, K.; Van Grieken, R. Non-Destructive Microanalysis of Cultural Heritage Materials, Wilson & Wilson’s Comprehensive Analytical Chemistry; Elsevier: Amsterdam, The Netherlands, 2004; Volume XLII, pp. 1–10. [Google Scholar]
- Lahanier, C.; Preusser, F.D.; Van Zelst, L. Study and conservation of museum objects: Use of classical analytical techniques, Section I. Introduction: Analytical problems in art and archeology. Nucl. Instrum. Methods Phys. Res. B 1986, 14, 1–9. [Google Scholar] [CrossRef]
- Ding, L.; Gong, T.; Wang, B.; Yang, Q.; Liu, W.; Pemo, R.; Metok, T. Non-invasive study of natural dyes in textiles of the Qing Dynasty using fiber optic reflectance spectroscopy. J. Cult. Herit. 2021, 47, 69–78. [Google Scholar] [CrossRef]
- Kokot, S.; Gilbert, C. Application of Drift Spectroscopy and Chemometrics to the Discrimination of dye mixtures extracted from fibres from worn clothing. Analyst 1994, 119, 671–676. [Google Scholar] [CrossRef]
- Di Tullio, V.; Doherty, B.; Capitani, D.; Miliani, C.; Greco, E.; Ciliberto, E.; Rossi, L.; Proietti, N. NMR spectroscopy and micro-analytical techniques for studying the constitutive materials and the state of conservation of an ancient Tapa barkcloth from Polynesia, is. Wallis. J. Cult. Herit. 2020, 45, 379–388. [Google Scholar] [CrossRef]
- Smith, G.D.; Esson, J.M.; Chen, V.J.; Hanson, R.M. Forensic dye analysis in cultural heritage: Unraveling the authenticity of the earliest Persian knotted-pile silk carpet, Forensic Science International. Synergy 2021, 3, 100130. [Google Scholar] [CrossRef] [PubMed]
- Petroviciu, I.; Teodorescu, I.C.; Vasilca, S.; Albu, F. Transition from Natural to Early Synthetic Dyes in the Romanian Traditional Shirts Decoration. Heritage 2023, 6, 505–523. [Google Scholar] [CrossRef]
- Goodpater, J.V.; Liszewski, E.A. Forensic Analysis of dyed textile fibers. Anal. Bioanal. Chem. 2009, 394, 2009–2018. [Google Scholar] [CrossRef] [PubMed]
- Li, M.; Han, G.; Jiang, W.; Zhou, C.; Zhang, Y.; Wang, S.; Su, J.; Li, X. Rapid identification of plant- and chemical-dyed cotton fabrics using the near-infrared technique. Text. Res. J. 2020, 90, 2275–2283. [Google Scholar] [CrossRef]
- Geminiani, L.; Campione, F.P.; Corti, C.; Giussani, G.; Gorla, G.; Luraschi, M.; Recchia, S.; Rampazzi, L. Historical silks: A novel method to evaluate their condition with ATR-FTIR spectroscopy and Principal Component Analysis. J. Cult. Herit. 2024, 67, 9–22. [Google Scholar] [CrossRef]
- Chen, K.; Leona, M.; Vo-Dinh, T. Surface-enhanced Raman Scattering for identification of organic pigments and dyes in works of art and cultural heritage material. Sens. Rev. 2007, 27, 109–120. [Google Scholar] [CrossRef]
- Degano, I.; Ribechini, E.; Modugno, F.; Colombini, M.P. Analytical Methods for the Characterization of Organic Dyes in Artworks and in Historical Textiles. Appl. Spectrosc. Rev. 2009, 44, 363–410. [Google Scholar] [CrossRef]
- Lewis, S.W. 11—Analysis of dyes using chromatography. In Woodhead Publishing Series in Textiles Identification of Textile Fibers; Houck, M.M., Ed.; Woodhead: Cambridge, UK, 2009. [Google Scholar]
- Norton, T.H. Artificial Dyestuffs Used in the United States; Department of Commerce of the United States: Washington, DC, USA, 1916; pp. 139–140. [Google Scholar]
- Cooke, E.I.; Cooke, R.W.I. Handbook of Chemical Synonyms and Trade Names; Gardner, W., Ed.; CRC Press: Boca Raton, FL, USA, 2019. [Google Scholar]
- Derz, F.W. Chemproductindex A-G, 2020th ed.; de Gruytier: Berlin, NY, USA, 1976. [Google Scholar]
- Adam, E. Chemisch-Technische Untersuchungsmethoden; Berl, E., Lunge, G., Eds.; Springer: Berlin/Heidelberg, Germany, 2013. [Google Scholar]
- Von Georgievics, G.; Grandmougin, E. A Text-Book of Dye Chemistry. The Chemistry of Dyestuffs; D Van Nostrand Company: New York, NY, USA, 1920. [Google Scholar]
- Veitch, F.P.; Donk, M.G. Wood Turpentine: Its Production, Refining Properties, and Uses; U.S. Department of Agriculture, Burean of Chemistry: Washington, DC, USA, 1911. [Google Scholar]
- Hurst, G.H. A Dictionary of Coal Tar Colours; Heywood and Company: London, UK, 1892. [Google Scholar]
- Coates, J. Interpretation of Infrared Spectra, A Practical Approach, Encyclopedia of Analytical Chemistry; Meyers, R.A., Ed.; John Wiley & Sons Ltd.: Chichester, UK, 2000; pp. 10815–10837. [Google Scholar]
- Doherty, B.; Vagnini, M.; Dufourmantelle, K.; Sgamellotti, A.; Brunetti, B.; Miliani, C. A vibrational spectroscopic and principal component analysis of triarylmethane dyes by comparative laboratory and portable instrumentation. Spectrochim. Acta Part A Mol. Biomol. Spectrosc. 2014, 121, 292–305. [Google Scholar] [CrossRef] [PubMed]
- Ahmed, F.; Dewani, R.; Pervez, M.K.; Mahboob, J.; Aoomro, S.A. Non-destructive FT-IR analysis of mono azo dyes. Bulg. Chem. Commun. 2016, 48, 71–77. [Google Scholar]
- Zubiri, I.B.; Carré, A. Giving a new status to a dyes collection: A contribution to the chromotope project. Heritage 2023, 6, 2202–2219. [Google Scholar] [CrossRef]
- Prati, S.; Milosevic, M.; Sciutto, G.; Bonacini, I.; Kazarin, S.G.; Mazzeo, R. Analysis of trace amounts of dyes with a new enhanced sensitivity FTIR spectroscopic technique: MU-ATR (metal underlayer ATR spectroscopy). Anal. Chim. Acta 2016, 941, 67–79. [Google Scholar] [CrossRef]
- Xiong, T.; Zhang, Y.; Donà, L.; Gutiérrez, M.; Möslein, A.F.; Babal, A.S.; Amin, N.; Civalleri, B.; Tan, J. Tunable fluorescein-encapsulated zeolitic imidazolate framework-8 nanoparticles for solid-state lighting. ACS Appl. Nano Mater 2021, 4, 10321–10333. [Google Scholar] [CrossRef]
- Al-Rubaie, L.A.R.; Mhessn, R.J. Synthesis and Characterization of Azo Dye Para Red and New Derivatives. Available online: https://onlinelibrary.wiley.com/doi/10.1155/2012/206076 (accessed on 20 September 2024).
- Muthukumar, M.; Thalamadai, K.M.; Bhaskar Raju, G. Electrochemical removal of CI Acid orange 10 from aqueous solutions. Sep. Purif. Technol. 2007, 55, 198–205. [Google Scholar] [CrossRef]
- Wang, L.; Roitberg, A.; Meuse, C.; Gaigalas, A.K. Raman and FTIR spectroscopies of fluorescein in solutions. Spectrochim. Acta Part A Mol. Biomol. Spectrosc. 2001, 57, 1781–1791. [Google Scholar] [CrossRef] [PubMed]
- Jiang, Z.; Li, W.; Wang, Y.; Wang, Q. Second-Order Derivation Fourier Transform Infrared Spectral Analysis of Regenerated Wool Keratin Structural Changes. AATCC J. Res. 2022, 9, 43–48. [Google Scholar] [CrossRef]
- ATR-FT-IR Spectrum of Wool. Available online: https://spectra.chem.ut.ee/textile-fibres/wool/ (accessed on 17 September 2024).
- Geba, M.; Lisa, G.; Ursescu, C.M.; Olaru, A.; Spiridon, I.; Leon, A.L.; Stanculescu, I. Gamma irradiation of protein-based textiles for historical collections decontamination. J. Therm. Anal. Calorim. 2014, 118, 977–985. [Google Scholar] [CrossRef]
- Kan, C.W.; Chan, K.; Yuen, C.W.M. Surface characterization of Low Temperature Plasma treated wool fiber—The effect of the nature of gas. Fibers Polym. 2004, 5, 52–58. [Google Scholar] [CrossRef]
- Kissi, N.; Curran, K.; Vlachou-Mogire, C.; Fearn, T.; McCullough, L. Developing a non-invasive tool to assess the impact of oxidation on the structural integrity of historic wool in Tudor tapestries. Herit. Sci. 2017, 5, 49. [Google Scholar] [CrossRef]
- Massart, D.L.; Vandeginste, B.G.M.; Deming, S.M.; Michotte, Y.; Kaufman, I. Chemo-Metrics: A Textbook. Data Handling in Science and Technology; Elsevier: Amsterdam, The Netherland, 2001. [Google Scholar]
- Todeschini, R. Introduzione Alla Chemiometria; Edises: Naples, Italy, 2003. [Google Scholar]
- Ballabio, D.; Consonni, V. Classification tools in chemistry. Part 1: Linear models. PLS-DA. Anal. Methods 2013, 16, 3790–3798. [Google Scholar] [CrossRef]
- De Juan, A.; Jaumot, J.; Tauler, R. Multivariate Curve Resolution (MCR). Solving the mixture analysis problem. Anal. Methods. 2014, 14, 4964–4976. [Google Scholar] [CrossRef]
- De Juan, A.; Tauler, R. Multivariate Curve Resolution—Alternating Least Squares for Spectroscopic Data. Data Handl. Sci. Technol. 2016, 30, 5–51. [Google Scholar]
- Available online: https://it.mathworks.com/products/matlab.html (accessed on 20 September 2024).
- Available online: https://mcrals.wordpress.com/ (accessed on 20 September 2024).
- Available online: https://it.mathworks.com/products/connections/product_detail/pls-toolbox.html (accessed on 20 September 2024).







| Code in the Pattern Book | Dye and Concentration | Identifying Name of the Sample | Family Structure | Structure | References | |
|---|---|---|---|---|---|---|
![]() | 10 | 2% Acid Violet 4RS | AV | Tryphenylmethane | ![]() | [24,25,26] |
![]() | 22 | 3% Cyanole Extra Pat. | CY | Triphenylmethane | ![]() | [27,28] |
![]() | 31 | 2% Orange GG | GG | Azo | ![]() | [29] |
![]() | 23 | 3% Crystal Scarlet 6R | CS | Azo | ![]() | [25,30] |
![]() | 26 | 2% Irisamine G pat. | IG | Xanthene | ![]() | [28] |
![]() | 3 | 1.5% Rose Bengale Extra N. | RB | Xanthene | ![]() | [25,28] |
| Code in the Pattern Book | Dye and Concentration | Identifying Name of the Sample | Family Structure (Dye 1) | Structure (Dye 1) | Ref. | Family Structure (Dye 2) | Structure (Dye 2) | Ref. | |
|---|---|---|---|---|---|---|---|---|---|
| Mixtures | |||||||||
![]() | 36 | 3.5% Solid Blue R.2% Cyanole Green 6G | SC | Unknown | Unknown | [27,30] | Tryphen | Unknown | [25,28] |
![]() | 57 | 3% Cyanole Green 6G1.5% Fast Yellow S | CF | Tryphen | Unknown | [27,30] | Azo | ![]() | [25,28] |
![]() | 35 | 2.5% Orange GG1.25% Lanafuchsine SG | OL | Azo | ![]() | [31] | Azo | ![]() | [39] |
| Unknown Pures | |||||||||
![]() | 24 | 10% Naphthol Black SG | NB | Unknown | Unknown | [30] | - | - | |
![]() | 58 | 8% Hat Black BBV | HB | Unknown | Unknown | [30] | - | - | |
Disclaimer/Publisher’s Note: The statements, opinions and data contained in all publications are solely those of the individual author(s) and contributor(s) and not of MDPI and/or the editor(s). MDPI and/or the editor(s) disclaim responsibility for any injury to people or property resulting from any ideas, methods, instructions or products referred to in the content. |
© 2024 by the authors. Licensee MDPI, Basel, Switzerland. This article is an open access article distributed under the terms and conditions of the Creative Commons Attribution (CC BY) license (https://creativecommons.org/licenses/by/4.0/).
Share and Cite
Forleo, T.; Giannossa, L.C.; De Juan Capdevila, A.; Lagioia, G.; Mangone, A. Hats Off to Modeling! Profiling Early Synthetic Dyes on Historic Woolen Samples with ATR-FTIR Spectroscopy and Multivariate Curve Resolution–Alternating Least Square Algorithm. Molecules 2024, 29, 4651. https://doi.org/10.3390/molecules29194651
Forleo T, Giannossa LC, De Juan Capdevila A, Lagioia G, Mangone A. Hats Off to Modeling! Profiling Early Synthetic Dyes on Historic Woolen Samples with ATR-FTIR Spectroscopy and Multivariate Curve Resolution–Alternating Least Square Algorithm. Molecules. 2024; 29(19):4651. https://doi.org/10.3390/molecules29194651
Chicago/Turabian StyleForleo, Tiziana, Lorena Carla Giannossa, Anna De Juan Capdevila, Giovanni Lagioia, and Annarosa Mangone. 2024. "Hats Off to Modeling! Profiling Early Synthetic Dyes on Historic Woolen Samples with ATR-FTIR Spectroscopy and Multivariate Curve Resolution–Alternating Least Square Algorithm" Molecules 29, no. 19: 4651. https://doi.org/10.3390/molecules29194651
APA StyleForleo, T., Giannossa, L. C., De Juan Capdevila, A., Lagioia, G., & Mangone, A. (2024). Hats Off to Modeling! Profiling Early Synthetic Dyes on Historic Woolen Samples with ATR-FTIR Spectroscopy and Multivariate Curve Resolution–Alternating Least Square Algorithm. Molecules, 29(19), 4651. https://doi.org/10.3390/molecules29194651





















