Organic and Metal–Organic Polymer-Based Catalysts—Enfant Terrible Companions or Good Assistants? †
Abstract
1. Introduction
- Homogeneous catalysis (the catalyst and reactants are in the same phase).
- Heterogeneous catalysis (the catalyst (solid, liquid) and reactants/products are in different phases).
- i.
- ii.
- iii.
- Magnetodriven catalysis [24].
- iv.
- v.
- vi.
2. Catalysts—Kinetics, Mass, and Heat Transport
- -
- Properties of the solid material, including features such as the concentration of Bronsted and Lewis acid sites, e.g., in the case of zeolites, defects in oxide supports, and heteroatoms in a polymer network (organocatalysis).
- -
- Anchored, well-defined functional groups, e.g., sulfonic, amino, tetraammonium, carboxylic, metal–organic, and similar groups.
- -
- Catalytic particles, represented mainly by metal nanoparticles, oxides, and carbides.
- -
- Single atoms fixed within a network of polymer support, falling under the category of single-atom catalysis (SAC).
- -
- Chemisorption and dissociation of hydrogen:
- -
- Chemisorption of the substrate:
- -
- Surface reaction:
- -
- Desorption of the product:
- i.
- Chemisorption of one or both reactants.
- ii.
- Surface reaction.
- iii.
- Desorption of a product.
- i.
- (External) mass transport—diffusion of reactants from a bulk fluid through the layers of fluid embracing the catalysts to the catalyst surface.
- ii.
- Intraparticle diffusion to catalytic centers (internal mass transport).
- iii.
- Chemisorption of reactant/reactants.
- iv.
- Surface reaction.
- v.
- Desorption of products.
- vi.
- Diffusion of products to the catalyst surface (internal mass transport).
- vii.
- (External) mass transport of products through the fluid layers embracing the catalyst surface to bulk fluid.
3. Preparation of Organic and Metal–Organic Polymer (OMOP)-Based Catalysts
3.1. Vinyl Polymers
- -
- Functionalization of a pristine C-H type polymer.
- -
- Production of a polymer by copolymerization of functional monomers (route B in Figure 3), i.e., monomers containing functional groups with heteroatoms, which exhibit a significantly higher polarity compared with moieties having only C and H atoms (e.g., -SO3H in comparison with C-C and C-H parts).
- -
- Strong cation exchangers (anionic polymers, R = SO3H) prepared by sulfonation (sulfuric acid or combination with SO3).
- -
- Strong anion exchangers (R = [N(R1,R2,R3)]+A−, where A- represents HO−, Cl−, or another anion) prepared by chloromethylation (e.g., chloromethyl methyl ether) and subsequent reaction with a tertiary amine.
- -
- Block polymerization.
- -
- Dispersion polymerization. This method involves the use of water–oil systems, where some surfactants (e.g., dodecylbenzene sulfonate) and proper mixing are necessary to obtain regular low-size dispersion particles [122].
- -
3.2. Condensation Polymers
- -
- Polyesters;
- -
- Polyamides;
- -
- Formaldehyde resins;
- -
- Polyanilines;
- -
- Polybenzimidazoles;
- -
- Porphyrins and phthalocyanines.

- -
- Chemical oxidation;
- -
- Electrochemical oxidation.
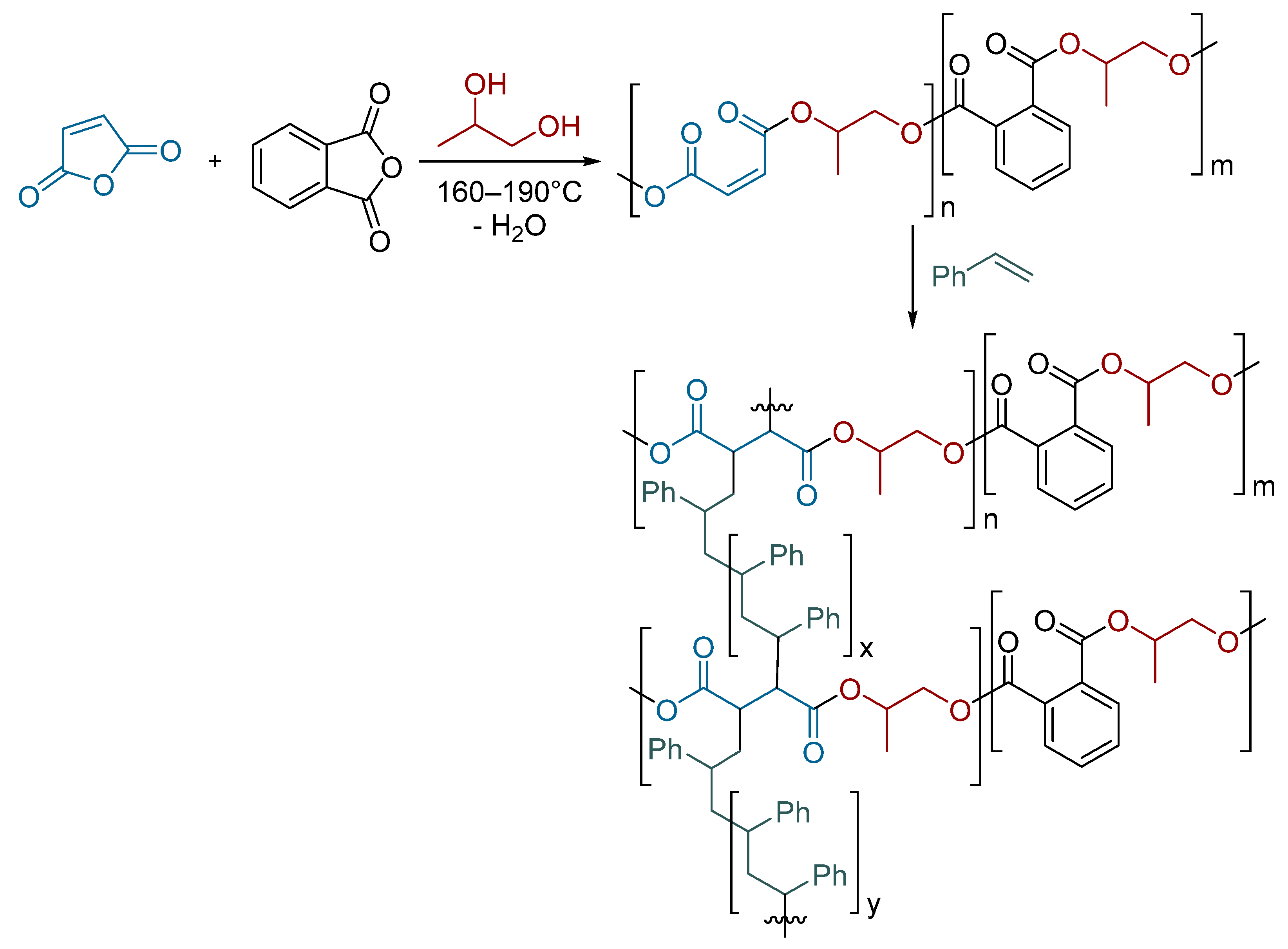
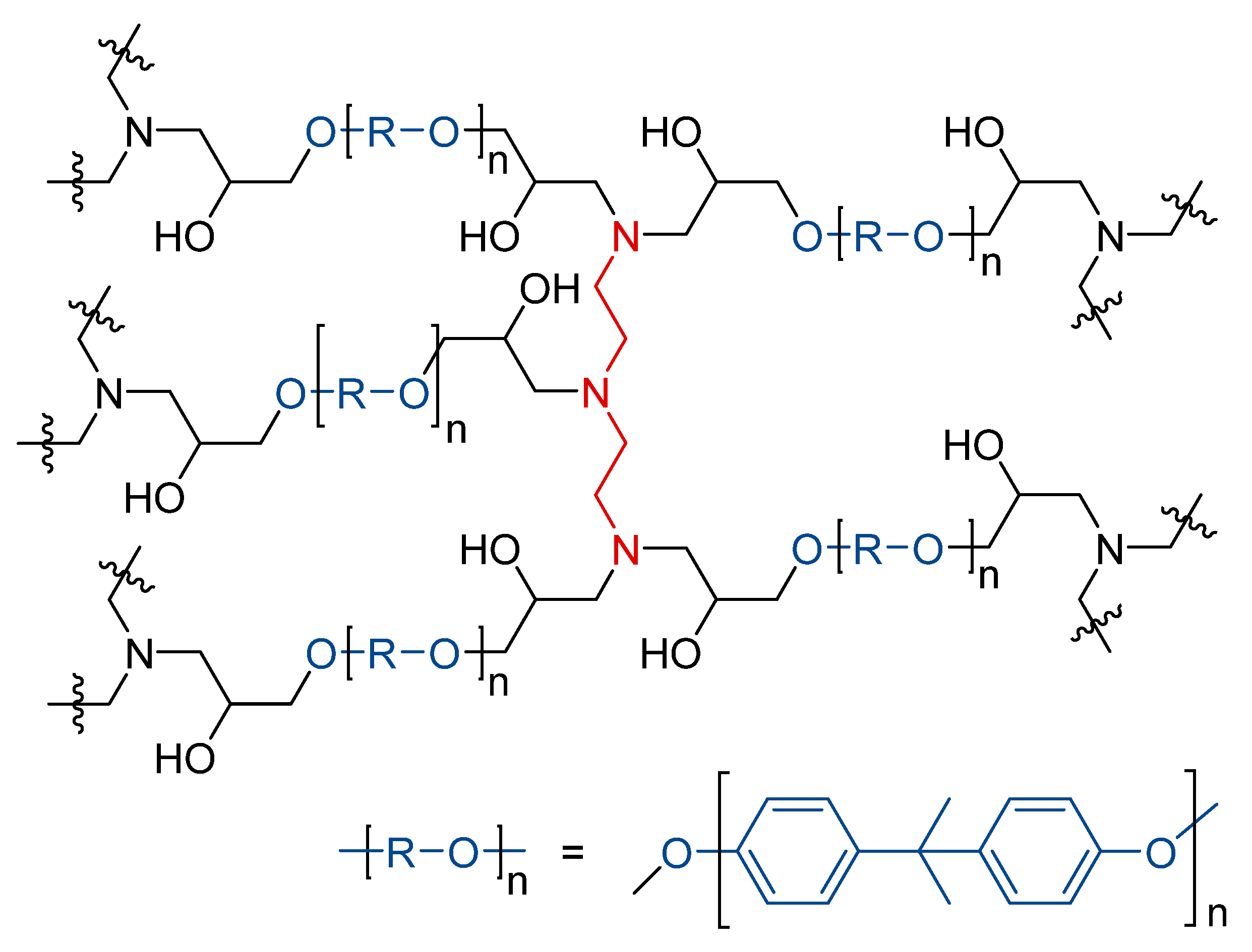
3.3. Polyurethanes and Polyureas
3.4. Epoxide Polymers
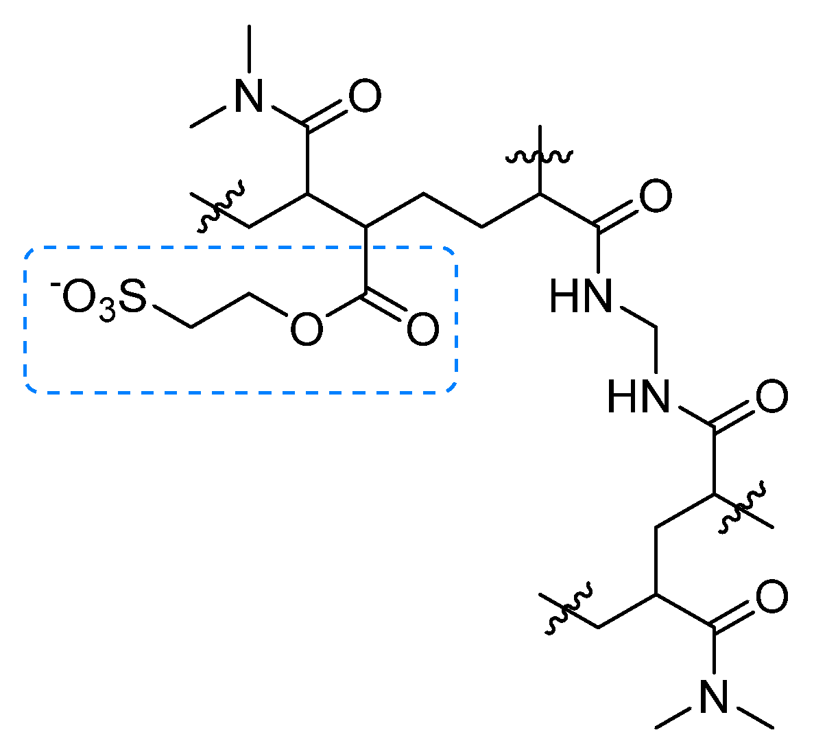
3.5. Phosphine Polymers
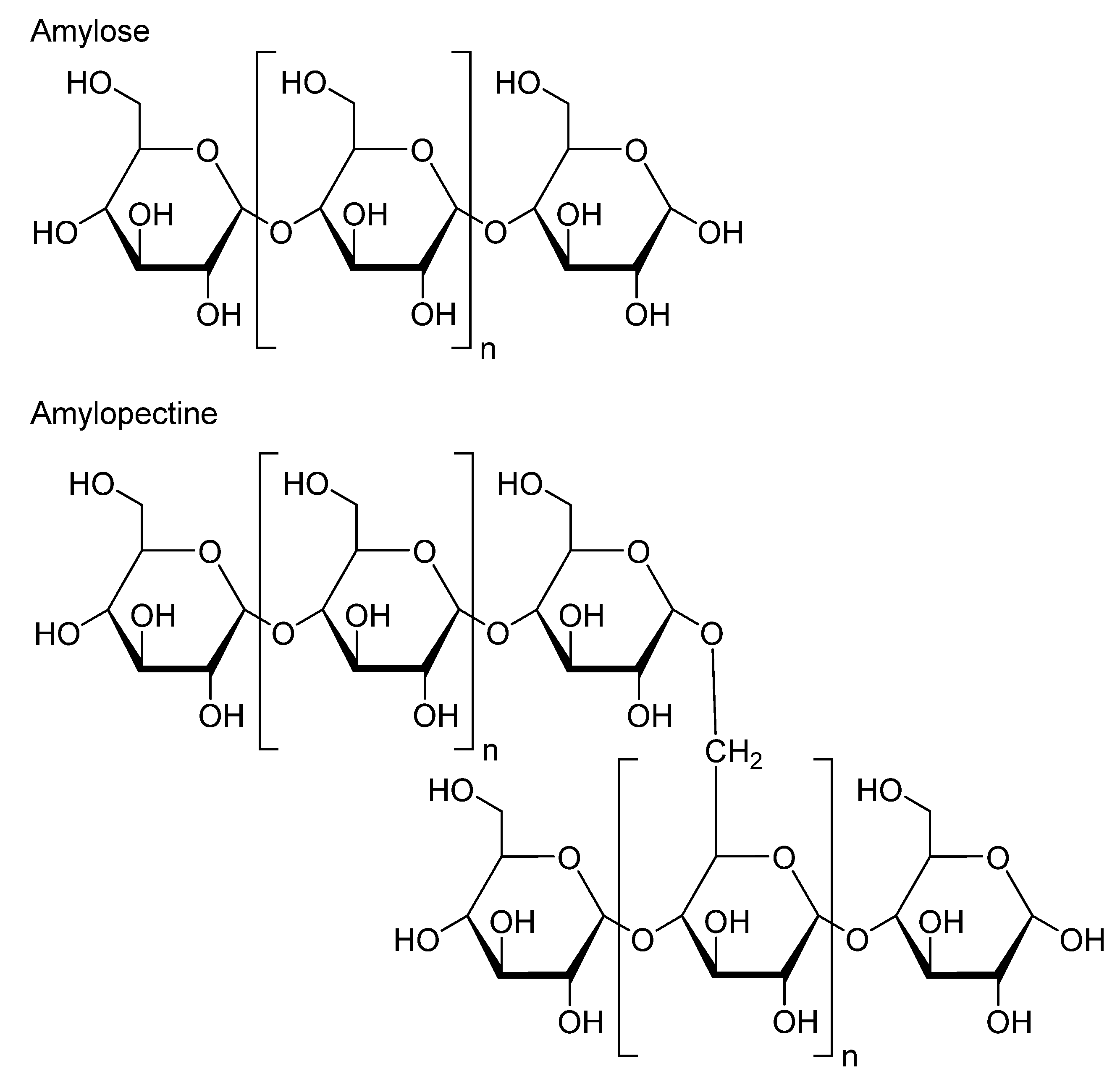
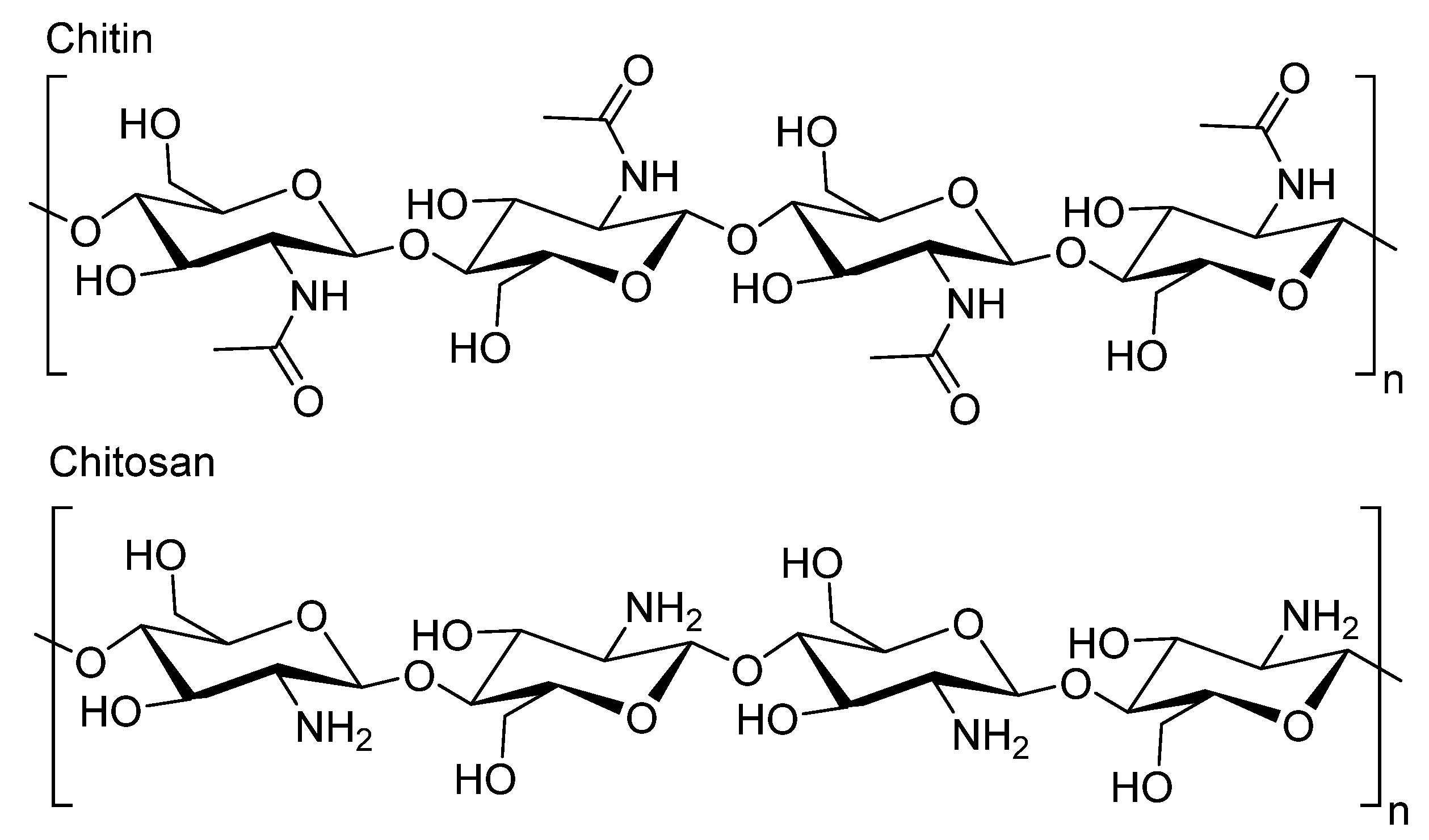
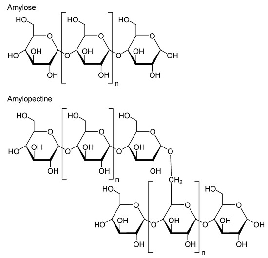
3.6. Natural Polymers
3.7. Conductive Polymers (CPs)
- -
- Insulators: Eg > 3.6; σ < 10−6, e.g., PE and PP (10−20), PET (10−21), and Teflon (10−24).
- -
- Semiconductors: 0.17(InSb) < Eg < 3.6 (ZnS); 10−6 < σ < 105, e.g., germanium (2–1000), silicon (1.67 × 10−2 to 10), and organic polymer semiconductors (CPs, see below).
- -
- Conductors: Eg = 0; σ > 105, e.g., silver (6.30 × 107) and copper (5.96 × 107).
- -
- Intrinsic (ICPs): electricity is conducted by electrons and holes, facilitated by the presence of conjugated π-bonds.
- -
- Extrinsic (ECPs): dopants are added, making conjugated double bonds (redox doping), or non-redox doping, photo doping, and charge-injection doping.
- -
- Holes: created by removal of electrons during doping.
3.8. Covalent Organic Frameworks (COFs)
3.9. Metal–Organic Polymers
- -
- Metal–organic monomers and polymers prepared by “classic polymerization” (distribution of metal moieties within the polymer is random).
- -
- Metal–organic frameworks (MOFs), with a typical very regular morphology and topology and regular distribution of metal moieties.
3.9.1. Polymers Prepared from Metal–Organic Monomers
3.9.2. Metal–Organic Frameworks (MOFs)
3.10. Generation of Metal Particles inside the Polymer Framework
- -
- A—Charging a support with metal compounds (adsorption, ion exchange, coordinate species).
- -
- D—Preparation of organometallic polymers.
- -
- F—Generation of MOFs.
- -
- E—Polymerization/stabilization of generated sub(nano) particles.
- -
- The “density” of a polymer network, implying resistance against the movement of metal precursors (cations, e.g., Pd[(L)n]2+, or anions, e.g., Pd[L)n](2−n)+) and the reductant agent, e.g., BH4−.
- -
- The concentration of metal precursors inside a polymer network and diffusivity in the swollen polymer.
- -
- The concentration of the reductant and diffusivity in the swollen polymer.
- -
- Polymer/catalyst particle size.
3.11. Functional Groups
- Directly catalytically active groups:
- ◦
- ◦
- ◦
4. Characterization of Catalysts
- ◦
- Texture and the Accessibility of interior space:
- -
- Average size and distribution of carrier and catalyst particles (not metallic crystallites).
- -
- Optical microscopy.
- -
- Scanning electron microscopy (usually performed in conjunction with EDX).
- -
- Adsorption and desorption nitrogen, or krypton, isotherms to determine porosity, external and internal specific surfaces, and pore size distribution. The procedure is only suitable if the surface is accessible in the dry state of the catalyst (not suitable for gel-like polymer carriers).
- -
- Mercury porosimetry (only for mechanically stable solid materials and accessible pores).
- ◦
- Polymer catalysts or polymer carriers:
- -
- Chemical analysis of the carrier and catalyst with the deposited metal (most often decomposition in acid and then atomic absorption (AAS) or emission spectrophotometry–Inductively Coupled Plasma Optical Emission Spectroscopy and Mass Spectroscopy (ICP OES, ICP MS).
- -
- X-ray reflection spectroscopy (XRF) to characterize surface composition.
- -
- FTIR to characterize functional groups.
- -
- Nuclear Magnetic Resonance (NMR) in a solvent and a solid state [474] to determine the structure of the carrier, including functional groups.
- -
- Titration with basic components, e.g., NaOH solution to determine acidity.
- -
- Adsorption measurements of basic components (e.g., NH3, organic amines) to determine acidity.
- -
- Titration with acidic components, e.g., HCl to determine alkalinity.
- -
- Adsorption measurements of acidic components, e.g., CO2 to determine alkalinity.
- -
- X-ray powder diffraction (XRPD) to determine crystallographic phases and average particle size (Scherrer Eq.).
- -
- Electron Diffraction X-ray Analysis (EDX) to determine components, including the metal distribution.
- -
- Wavelength-dispersive X-ray spectroscopy (WDS, WDX), which is more sensitive than EDX.
- -
- Transmission electron microscopy, including high resolution (resolution 0.1 nm) and scanning mode (TEM, HR TEM, STEM) to determine the particle size distribution of metal crystallites and arrangements of atoms/crystallographic phases.
- -
- Scanning Tunneling Microscopy (STM) (resolution 0.1 nm with a 0.01 nm depth resolution); however, the surface has to be at least partially conducive. Suitable for observing details of MOFs and their composite.
- -
- Atomic Force Microscopy (AFM), which is suitable for investigating surfaces (all types of solid catalysts). It has a lower resolution (about 30 nm) than TEM and STM, but the apparatus is significantly cheaper. A higher resolution (down to 0.1 nm) can be reached by convolution techniques.
- -
- Chemisorption of H2 or CO to determine the specific surface area of metallic crystallites/agglomerates (if the internal volume is accessible—see accessibility).
- -
- Temperature Programmed Reduction (TPR) to determine/estimate the oxidation state of metallic or reducible particles.
- -
- Temperature-Programmed Oxidation (TPO) to determine/estimate the valence state of a metal and the possibility of oxidizability.
- -
- X-ray photoelectron spectroscopy (XPS) to determine the valence state of metal particles on the surface.
- -
- Thermogravimetric analysis (TGA)—the extent of decomposition of the carrier or catalyst with increasing temperature is measured.
- -
- TGA in an oxidative atmosphere, which resembles TPO; however, the weight of the sample is monitored.
- -
- TGA in a reductive atmosphere, which it resembles TPR; however, the weight of the sample is monitored.
- -
- Differential scanning calorimetry (DSC)—decomposition and temperature effects are measured, e.g., release of water from the crystalline lattice and pyrolysis effects in organic polymer carriers.
- -
- DSC followed by the analysis of degradation products (GC, GC, MS).
- -
- (Micro)pyrolysis combined with pyrolysis product analysis (similar to DSC with analysis, other conditions).
- -
- Hydrolytic, aminolytic, and other stability tests (these are of great importance for polymer-based catalysts).
- -
- Batch Reactor Tests (BRTs).
- -
- Flow Reactor Tests (FRTs).
- -
- Long-Term Tests (LTTs).
- -
- Catalyst recycling in batch tests.
- -
- LTT in flow-through reactors to observe activity reduction (reduction of key component conversion) and selectivity change.
- -
- Tests under extreme conditions (long time, higher temperature, and/or pressure).
5. Examples of Applications
5.1. Esterification and Etherification
5.2. Alkylation
5.3. Hydrogenation
5.4. Oxidation
5.5. Coupling
5.6. CO2 Exploitation
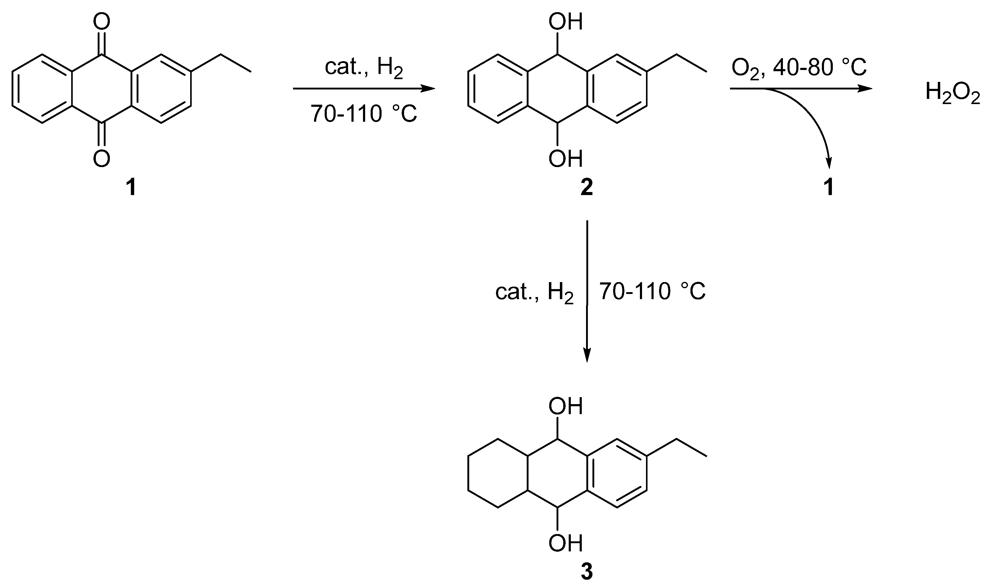
6. Industrial Large-Scale Applications
6.1. Alkyl-Tert-Butyl Ethers
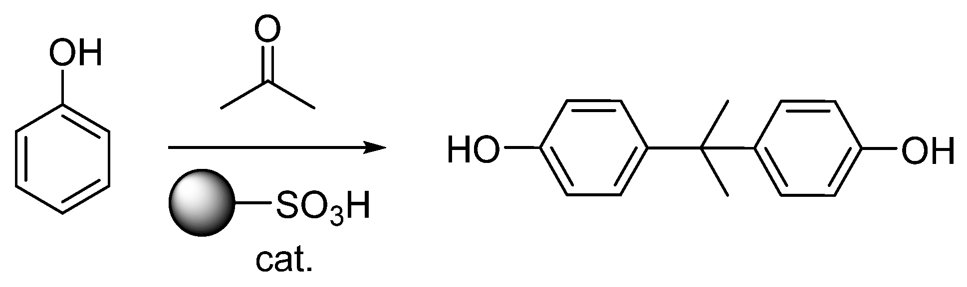
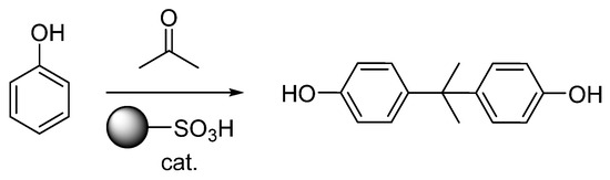
6.2. Bisphenol A
7. Deactivation
- (i)
- Chemical poisoning, e.g., sulfur moieties non-reversibly adsorbed (chemically bound) on metal particles.
- (ii)
- The sticking of side products on the catalyst surface (also called fouling).
- (iii)
- Degradation, which can be mechanical (abrasion), in stirred systems, or by the chemical action of species in a reaction mixture, the splitting of catalytic active parts (e.g., sulfonic group, amino group, metal–organic complexes) can be also considered as a degradation process.
- (iv)
- Transformation of catalytic active parts, e.g., sintration of metal nanoparticles leading to bigger ones with a lower surface and lower catalytic activity, or reaction with some components from the reaction mixture, e.g., oxidation by a nitro group in the hydrogenation and formation of some soluble products.
- -
- Non-metal-containing polymer catalysts, e.g., SPSDVB.
- -
- Catalysts containing metals as coordinated atoms and metal particles.
- -
- Splitting of functional groups (e.g., -SO3−, -NH2 from the polymer backbone).
- -
- Splitting/scission of bonds in the polymer chain.
- -
- Sticking of higher molecular side products on the body of the catalyst.
- -
- Linear polymers.
- -
- Crosslinked polymers not containing aromatic rings.
- -
- Crosslinked polymers with aromatic rings (e.g., PSDVB).
- -
- Simple COFs.
- -
- Polyanilines.
- -
- Aromatic polyamides.
- -
- Polyimidazoles and polybenzimidazoles.
- -
- Modified COFs (not containing metals).
- ◦
- MOFs and metal-containing COFs can be deactivated by the collapse of the structure as follows:
- -
- Effect of temperature.
- -
- Scission of the linker bond with the metal by moieties of the reaction mixture.
- ◦
- Catalysts with dispersed metals are also deactivated by the following:
- -
- Transformation of metal particles to soluble form, e.g., oxidation and complexation.
- -
- Sintering, even at relatively low temperatures (40 °C); see, e.g., [466].
- -
- Action of metal particles on the polymer network resulting in the splitting/scission of bonds on the polymer chain.
- -
- Lowering the activity of reactive components, e.g., hydrogenation of nitro compounds conducted at low concentration, optimally in a continuous system, in which the concentration is immediately decreased after entering the reactor. Such arrangement is established in industrial systems [493].
- -
- Multimetal catalytic systems, e.g., Pd-Co catalysts in the hydrogenation of nitro compounds [503, 608], or special Pt-Pd-Fe for hydrogenation of nitrobenzene to aniline.
- -
- -
- Chemically bound catalytic moieties, e.g., in the deoximation over the tungsten catalyst [516].
8. Disposal of the Used Catalysts
- -
- Incineration, similar to the treatment of metal catalysts supported on carbon [610].
- -
- Extract metals and then treat them as polymeric waste not containing metals.
9. Conclusions
- Acid solid catalysts (SPSDVB): These catalysts have demonstrated significant potential for esterification, alkylation, and etherification reactions, including those at large industrial scales. When larger molecules are present in the reaction mixture, macroreticular catalysts are necessary. These are commercially available and can reliably operate at temperatures up to 120 °C.
- Basic-type catalysts: Catalysts containing amine groups and/or tetra-alkylammonium are generally less stable and not suitable for temperatures exceeding 100 °C; however, they are commercially available.
- Catalysts with more active functional groups: Catalysts with active groups, particularly those containing nitrogen (-CO-NH-) and amine groups, are well-suited for metal catalysts because of their strong chelating capabilities. Their commercial availability and ease of preparation position them as strong candidates for producing specialty chemicals via chemical coupling, carbonylation, and amino carbonylation reactions. Their combination with inorganic supports is also noteworthy.
- Bounding metal moieties: Binding metal moieties (e.g., -O-WO2) and complexes (primarily phosphine types) to less strongly functionalized polymer backbones present a challenge for successful applications, typically limited to temperatures up to 120 °C.
- CPs, COFs, and MOFs: Despite their widespread commercial availability, the applications of CPs, COFs, and MOFs in classical chemical catalysis are limited, likely because of their costs. In comparison with OMOPs, which have random polymer structures, COFs and MOFs feature more rigid architectures. This rigidity can hinder the accessibility of reaction species because of increased transport limitations. Smaller particle sizes (micron scale) may help mitigate these transport issues. Similar to zeolites, COFs and MOFs have well-defined porous structures, which can enhance selectivity for stereoselective reactions, such as those used in biologically active material synthesis. Operating temperatures should be kept below 150 °C. Notably, no commercial applications of CPs, COFs, or MOFs in chemical catalytic systems have been identified to date, although their adsorption capabilities—such as CALF-20 for CO2—are well-documented, leading to industrially developed processes. Their potential in electronics, analytics, and photocatalysis remains indisputable.
- Preparation of catalysts based on renewable materials: The use of catalysts derived from renewable materials (e.g., wood, cellulose, biochar, starch, chitin, chitosan) has been undervalued so far.
- For a target process, consider that OMOP-based catalysts are very often hybridized homogeneous catalysts; atypical example is SPSDVB. Immobilized metal complexes, or enzymes, are also heterogenized catalysts. It is strongly advised to perform a catalytic reaction with non-heterogenized catalysts and compare the activities.
- Deposition/anchoring of catalytic metal moieties close to the surface of the catalyst particle to minimize the amount of used metal and decrease the price of the catalyst.
- Assess the size of catalyst particles and the effects of mass transport on reaction rates.
- Dispersed metal catalysts resemble those supported on inorganic materials, yet OMOPs offer greater functionality, presenting a significant advantage. Inorganic supports can also be functionalized to introduce oxygen or nitrogen groups.
- OMOP catalysts can face significant deactivation issues, often losing stability over time. Understanding interactions with reaction components, the impact of temperature, and the overall catalyst lifespan is critical. Higher crosslinked polymers and fortified COFs and MOFs exhibit greater stability but may compromise interior accessibility. A balance must be sought between reaction rate and catalyst lifespan as follows:
- For vinyl polymer-based OMOP, use a maximum of 120 °C.
- For PBI, PU, and stabilized COFs and MOFs, use a maximum 150 °C.
- When utilizing external energy sources (light, microwave, ultrasound), ensure that doses are controlled to prevent the overheating of OMOPs beyond their specified limits.
- A general rule of thumb is to begin with commercially available, cost-effective, and well-characterized catalysts when exploring a new process.
- When developing new catalysts, prioritize renewable materials (wood, cellulose, biochar, starch, chitin, chitosan). If they do not meet requirements, consider more complex synthetic functionalized polymers.
- For both commercial and newly prepared catalysts, reproducibility in their preparation and recyclability are crucial.
- Minimize the presence of species that can attack OMOP, particularly water, amines, acids, and other reactive compounds, e.g., by dilution of the reaction mixture with some inert solvent.
- When using oxygen or hydrogen as reactants, apply pressures that minimize attacks on the polymer backbone, ideally atmospheric or slightly elevated pressures (generally not exceeding 10 bar).
- Take into account that the degradation of OMOP increases much more with temperature in comparison with inorganic catalysts.
- In the case of metal-containing OMOPs, apply chelating agents anchored to the polymer backbone to minimize the leaching of metals.
- Minimize the activity (concentration) of reaction species capable of reacting with metal particles, or anchored complexes, e.g., if products have no such degradation capability, operate in a continuous stirred system, which allows for a quick decrease in the reactant concentration.
- Consider treatment and disposal of the used catalyst.
- If the chosen OMOP catalyst is not sufficiently stable under reaction conditions, transition to inorganic catalysts and investigate them by similar routes as described above.
- For specific products, compare the overall economics of homogeneous and heterogeneous catalytic processes, considering the following:
- ◦
- Estimated/commercial prices of target product vs. the price of raw materials.
- ◦
- Price of the catalyst.
- ◦
- Catalytic reaction—reactor, energy, analysis, and human resources.
- ◦
- Separation—equipment, energy, analysis, and human resources.
- ◦
- Regeneration “overhead expenses“.
- Decide between a homogeneous and heterogeneous process.
Author Contributions
Funding
Institutional Review Board Statement
Informed Consent Statement
Data Availability Statement
Acknowledgments
Conflicts of Interest
References
- Chorkendorff, I.; Niemantsverdriet, J.W. Concepts of Modern Catalysis and Kinetics, 3rd ed.; Completely Revised and Enlarged Edition; WILEY-VCH Verlag GmbH & Co. KGaA: Weinheim, Germany, 2017; p. 526. [Google Scholar]
- Dumesic, J.A.; Huber, G.W.; Boudart, M. Principles of Heterogeneous Catalysis. In Handbook of Heterogeneous Catalysis; Ertl, G., Knozinger, H., Weitkamp, J., Eds.; Wiley-VCH: Weinheim, Germany, 2008; Volume 1. [Google Scholar]
- Illanes, A. Enzyme Biocatalysis: Principles and Applications; Springer: Amsterdam, The Netherlands, 2008; pp. 1–391. [Google Scholar]
- de Gonzalo, G.; Lavandera, I. Biocatalysis for Practitioners: Techniques, Reactions and Applications; Wiley: Hoboken, NJ, USA, 2021; pp. 1–509. [Google Scholar]
- Hagen, J. Industrial Catalysis: A Practical Approach, 2nd ed.; John Wiley and Sons: Hoboken, NJ, USA, 2006; pp. 1–507. [Google Scholar]
- Králik, M. Adsorption, chemisorption, and catalysis. Chem. Pap. 2014, 68, 1625–1638. [Google Scholar] [CrossRef]
- Wisniak, J. The History of Catalysis. From the Beginning to Nobel Prizes. Educ. Química 2010, 21, 60–69. [Google Scholar] [CrossRef]
- Klemchuk, P.P. Introduction to Hindered Amine Stabilizers. ACS Symp. Ser. 1985, 280, 1–10. [Google Scholar] [CrossRef]
- International Union of Pure and Applied Chemistry; Goldbook. Catalyst. Available online: https://goldbook.iupac.org/terms/view/C00876 (accessed on 26 June 2024).
- Rothenberg, G. Catalysis: Concepts and Green Applications; John Wiley and Sons: Hoboken, NJ, USA, 2008; pp. 1–279. [Google Scholar]
- Murzin, D.Y.; Salmi, T. Catalytic Kinetics: Chemistry and Engineering, 2nd ed.; Elsevier Inc.: Amsterdam, The Netherlands, 2016; pp. 1–740. [Google Scholar]
- Bashyal, J. Catalyst and Catalysis: Types, Examples, Differences. Available online: https://scienceinfo.com/catalyst-and-catalysis-types/ (accessed on 15 September 2024).
- Taylor, H.S. The Problem of Negative Catalysis. I. J. Phys. Chem. 1923, 27, 322–341. [Google Scholar] [CrossRef][Green Version]
- Singh, H.; Mittal, K.L.; Young, J.A. Negative catalyst [3] (multiple letters). J. Chem. Educ. 1969, 46, 185–186. [Google Scholar] [CrossRef][Green Version]
- Speight, J.G. Handbook of Petroleum Refining, 1st ed.; CRC Press: Boca Raton, FL, USA, 2016; pp. 1–789. [Google Scholar]
- Cmelová, P.; Vargová, D.; Sebesta, R. Hybrid Peptide-Thiourea Catalyst for Asymmetric Michael Additions of Aldehydes to Heterocyclic Nitroalkenes. J. Org. Chem. 2021, 86, 581–592. [Google Scholar] [CrossRef] [PubMed]
- Palma, V.; Barba, D.; Cortese, M.; Martino, M.; Renda, S.; Meloni, E. Microwaves and heterogeneous catalysis: A review on selected catalytic processes. Catalysts 2020, 10, 246. [Google Scholar] [CrossRef]
- Pappaterra, M.; Xu, P.; van der Meer, W.; Faria, J.A.; Fernandez Rivas, D. Cavitation intensifying bags improve ultrasonic advanced oxidation with Pd/Al2O3 catalyst. Ultrason. Sonochem. 2021, 70, 105324. [Google Scholar] [CrossRef]
- Suslick, K.S.; Skrabalak, S.E. Sonocatalysis. In Handbook of Heterogeneous Catalysis; Ertl, G., Knozinger, H., Weitkamp, J., Eds.; Wiley-VCH: Weinheim, Germany, 2008; Volume 4, pp. 2006–2017. [Google Scholar]
- Kuna, E.; Behling, R.; Valange, S.; Chatel, G.; Colmenares, J.C. Sonocatalysis: A Potential Sustainable Pathway for the Valorization of Lignocellulosic Biomass and Derivatives. Top. Curr. Chem. 2017, 375, 41. [Google Scholar] [CrossRef]
- Swiegers, G.F. Mechanical Catalysis: Methods of Enzymatic, Homogeneous, and Heterogeneous Catalysis; John Wiley and Sons: Hoboken, NJ, USA, 2008; pp. 1–351. [Google Scholar]
- Čarný, T.; Kisszékelyi, P.; Markovič, M.; Gracza, T.; Koóš, P.; Šebesta, R. Mechanochemical Pd-Catalyzed Amino- and Oxycarbonylations using FeBr2(CO)4 as a CO Source. Org. Lett. 2023, 25, 8617–8621. [Google Scholar] [CrossRef] [PubMed]
- Danielis, M.; Colussi, S.; Divins, N.J.; Soler, L.; Trovarelli, A.; Llorca, J. Mechanochemistry: A Green and Fast Method to Prepare a New Generation of Metal Supported Catalysts. Johns. Matthey Technol. Rev. 2024, 68, 217–231. [Google Scholar] [CrossRef]
- Nezhad, S.M.; Pourmousavi, S.A.; Zare, E.N.; Heidari, G.; Makvandi, P. Magnetic Sulfonated Melamine-Formaldehyde Resin as an Efficient Catalyst for the Synthesis of Antioxidant and Antimicrobial Pyrazolone Derivatives. Catalysts 2022, 12, 626. [Google Scholar] [CrossRef]
- Khan, M.M. Principles and mechanisms of photocatalysis. In Photocatalytic Systems by Design: Materials, Mechanisms and Applications; Elsevier: Amsterdam, The Netherlands, 2021; pp. 1–22. [Google Scholar]
- Ziegenbalg, D.; Pannwitz, A.; Rau, S.; Dietzek-Ivanšić, B.; Streb, C. Comparative Evaluation of Light-Driven Catalysis: A Framework for Standardized Reporting of Data**. Angew. Chem. Int. Ed. 2022, 61, e202114106. [Google Scholar] [CrossRef] [PubMed]
- Araujo, T.P.; Quiroz, J.; Barbosa, E.C.M.; Camargo, P.H.C. Understanding plasmonic catalysis with controlled nanomaterials based on catalytic and plasmonic metals. Curr. Opin. Colloid Interface Sci. 2019, 39, 110–122. [Google Scholar] [CrossRef]
- Zhang, Z.; Cao, X.; Geng, C.; Sun, Y.; He, Y.; Qiao, Z.; Zhong, C. Machine learning aided high-throughput prediction of ionic liquid@MOF composites for membrane-based CO2 capture. J. Membr. Sci. 2022, 650, 120399. [Google Scholar] [CrossRef]
- Martirez, J.M.P.; Bao, J.L.; Carter, E.A. First-Principles Insights into Plasmon-Induced Catalysis. Annu. Rev. Phys. Chem. 2020, 72, 99–119. [Google Scholar] [CrossRef] [PubMed]
- Bößl, F.; Tudela, I. Piezocatalysis: Can catalysts really dance? Curr. Opin. Green Sustain. Chem. 2021, 32, 100537. [Google Scholar] [CrossRef]
- Meng, N.; Liu, W.; Jiang, R.; Zhang, Y.; Dunn, S.; Wu, J.; Yan, H. Fundamentals, advances and perspectives of piezocatalysis: A marriage of solid-state physics and catalytic chemistry. Prog. Mater Sci. 2023, 138, 101161. [Google Scholar] [CrossRef]
- He, J.; Dong, C.; Chen, X.; Cai, H.; Chen, X.; Jiang, X.; Zhang, Y.; Peng, A.; Badsha, M.A.H. Review of Piezocatalysis and Piezo-Assisted Photocatalysis in Environmental Engineering. Crystals 2023, 13, 1382. [Google Scholar] [CrossRef]
- Novaes, L.F.T.; Liu, J.; Shen, Y.; Lu, L.; Meinhardt, J.M.; Lin, S. Electrocatalysis as an enabling technology for organic synthesis. Chem. Soc. Rev. 2021, 50, 7941–8002. [Google Scholar] [CrossRef]
- Lu, Y.; Zhou, L.; Wang, S.; Zou, Y. Defect engineering of electrocatalysts for organic synthesis. Nano. Res. 2023, 16, 1890–1912. [Google Scholar] [CrossRef]
- Ma, C.; Fang, P.; Liu, Z.R.; Xu, S.S.; Xu, K.; Cheng, X.; Lei, A.; Xu, H.C.; Zeng, C.; Mei, T.S. Recent advances in organic electrosynthesis employing transition metal complexes as electrocatalysts. Sci. Bull. 2021, 66, 2412–2429. [Google Scholar] [CrossRef]
- Allen, J.; Bard, A.J.; Larry, R.; Faulkner, L.R.; Henry, S.; White, H.S. Electrochemical Methods, Fundamentals and Applications, 3rd ed.; John Wiley & Sons, Ltd.: New York, NY, USA, 2022; pp. 1–1104. [Google Scholar]
- Kempler, P.A.; Nielander, A.C. Reliable reporting of Faradaic efficiencies for electrocatalysis research. Nat. Commun. 2023, 14, 1158. [Google Scholar] [CrossRef] [PubMed]
- Berkman, S.; Morell, J.C.; Egloff, G. Catalysis, Inorganic and Organic; Reinhold Publishing Corporation: New York, NY, USA, 1940; pp. 1–1130. [Google Scholar]
- Bauman, W.C.; Eichhorn, J. Fundamental Properties of a Synthetic Cation Exchange Resin. J. Am. Chem. Soc. 1947, 69, 2830–2836. [Google Scholar] [CrossRef] [PubMed]
- Hattori, H.; Ono, Y. Solid Acid Catalysis, from Fundamentals to Applications; CRC: Boca Raton, FL, USA; Pan Stanford Publishing: Boca Raton, FL, USA, 2015. [Google Scholar]
- Gates, B.C. Catalytic Chemistry; Wiley: New York, NY, USA, 1992; pp. 1–480. [Google Scholar]
- Švec, F. Polymerní Katalyzátory; Academia: Praha, Czech Republic, 1987; pp. 1–140. [Google Scholar]
- Mäki-Arvela, P.; Murzin, D.Y. Effect of catalyst synthesis parameters on the metal particle size. Appl. Catal. A Gen. 2013, 451, 251–281. [Google Scholar] [CrossRef]
- Wang, H.; Lu, J. A Review on Particle Size Effect in Metal-Catalyzed Heterogeneous Reactions. Chin. J. Chem. 2020, 38, 1422–1444. [Google Scholar] [CrossRef]
- Corain, B.; Burato, C.; Centomo, P.; Lora, S.; Meyer-Zaika, W.; Schmid, G. Generation of size-controlled gold(0) and palladium(0) nanoclusters inside the nanoporous domains of gel-type functional resins: Part I: Synthetic aspects and first catalytic data in the liquid phase. J. Mol. Catal. A Chem. 2005, 225, 189–195. [Google Scholar] [CrossRef]
- Sakurai, H.; Koga, K.; Kiuchi, M. Gold nanoparticles deposited on Amberlyst-15: Metal-acid bifunctional catalyst for cellobiose conversion to gluconic acid. Catal. Today 2015, 251, 96–102. [Google Scholar] [CrossRef]
- Sharma, A.S.; Kaur, H.; Shah, D. Selective oxidation of alcohols by supported gold nanoparticles: Recent advances. RSC Adv. 2016, 6, 28688–28727. [Google Scholar] [CrossRef]
- Arif, M.; Farooqi, Z.H.; Irfan, A.; Begum, R. Gold nanoparticles and polymer microgels: Last five years of their happy and successful marriage. J. Mol. Liq. 2021, 336, 116270. [Google Scholar] [CrossRef]
- Wittstock, G.; Bäumer, M.; Dononelli, W.; Klüner, T.; Lührs, L.; Mahr, C.; Moskaleva, L.V.; Oezaslan, M.; Risse, T.; Rosenauer, A.; et al. Nanoporous Gold: From Structure Evolution to Functional Properties in Catalysis and Electrochemistry. Chem. Rev. 2023, 123, 6716–6792. [Google Scholar] [CrossRef]
- Satterfield, C.N. Heterogeneous Catalysis in Industrial Practice; McGraw-Hill: New York, NY, USA, 1996; pp. 1–564. [Google Scholar]
- Chomón, M.J.; De Marco, I.; Legarreta, J.A.; Arias, P.L. Variation of temperature effect with hydrogen supply in non-catalytic coal liquefaction. Fuel Sci. Technol. Int. 1991, 9, 355–367. [Google Scholar] [CrossRef]
- Thommes, M.; Kaneko, K.; Neimark, A.V.; Olivier, J.P.; Rodriguez-Reinoso, F.; Rouquerol, J.; Sing, K.S.W. Physisorption of gases, with special reference to the evaluation of surface area and pore size distribution (IUPAC Technical Report). Pure Appl. Chem. 2015, 87, 1051–1069. [Google Scholar] [CrossRef]
- Palmisano, G.; Jitan, S.A.; Garlisi, C. Heterogeneous Catalysis: Fundamentals, Engineering and Characterizations (with Accompanying Presentation Slides and Instructor’s Manual); Elsevier: Amsterdam, The Netherlands, 2022; pp. 1–319. [Google Scholar]
- Biffis, A.; Corain, B.; Cvengrosŏvá, Z.; Hronec, M.; Jerábek, K.; Králik, M. Relationships between physico-chemical properties and catalytic activity of polymer-supported palladium catalysts. Part I. Experimental investigations. Appl. Catal. A Gen. 1995, 124, 355–365. [Google Scholar] [CrossRef]
- Králik, M.; Fišera, R.; Zecca, M.; D’Archivio, A.A.; Galantini, L.; Jeřábek, K.; Corain, B. Modelling of the deactivation of polymer-supported palladium catalysts in the hydrogenation of 4-nitrotoluene. Collect. Czech. Chem. Commun. 1998, 63, 1074–1088. [Google Scholar] [CrossRef]
- Králik, M.; Corain, B.; Zecca, M. Catalysis by metal nanoparticles supported on functionalized polymers. Chem. Pap. 2000, 54, 254–264. [Google Scholar]
- Králik, M.; Biffis, A. Catalysis by metal nanoparticles supported on functional organic polymers. J. Mol. Catal. A Chem. 2001, 177, 113–138. [Google Scholar] [CrossRef]
- Biffis, A.; Zecca, M.; Corain, B.; Corvaja, C.; Jeřábek, K. On the Macromolecular Structure and Molecular Accessibility of Swollen Microporous Resins: A Combined ESR—ISEC Approach. J. Am. Chem. Soc. 1995, 117, 1603–1606. [Google Scholar] [CrossRef]
- McCusker, L.B.; Olson, D.H.; Baerlocher, C. Atlas of Zeolite Framework Types; Elsevier: Amsterdam, The Netherlands, 2007. [Google Scholar]
- Chen, L.H.; Sun, M.H.; Wang, Z.; Yang, W.; Xie, Z.; Su, B.L. Hierarchically structured zeolites: From design to application. Chem. Rev. 2020, 120, 11194–11294. [Google Scholar] [CrossRef]
- Hartmann, M.; Thommes, M.; Schwieger, W. Hierarchically-Ordered Zeolites: A Critical Assessment. Adv. Mater. Interfaces 2021, 8, 2001841. [Google Scholar] [CrossRef]
- Xiang, H.; Zainal, S.; Jones, H.; Ou, X.; D’Agostino, C.; Esteban, J.; Parlett, C.M.A.; Fan, X. Hierarchical zeolite catalysed fructose dehydration to 5-hydroxymethylfurfural within a biphasic solvent system under microwave irradiation. RSC. Sustain. 2023, 1, 1530–1539. [Google Scholar] [CrossRef]
- Magyarová, Z.; Králik, M.; Soták, T. Utilization of zeolite catalysts in biomass exploitation: A minireview. Monatsh. Chem. 2023, 154, 815–835. [Google Scholar] [CrossRef]
- Rutkowska, M.; Chmielarz, L. Application of Mesoporous/Hierarchical Zeolites as Catalysts for the Conversion of Nitrogen Pollutants: A Review. Catalysts 2024, 14, 290. [Google Scholar] [CrossRef]
- Ren, H.X.; Ying, H.J.; Ouyang, P.K.; Xu, P.; Liu, J. Catalyzed synthesis of poly(l-lactic acid) by macroporous resin Amberlyst-15 composite lactate utilizing melting polycondensation. J. Mol. Catal. A Chem. 2013, 366, 22–29. [Google Scholar] [CrossRef]
- Lee, S.; Shin, S.J.; Baek, H.; Choi, Y.; Hyun, K.; Seo, M.; Kim, K.; Koh, D.Y.; Kim, H.; Choi, M. Dynamic metal-polymer interaction for the design of chemoselective and long-lived hydrogenation catalysts. Sci. Adv. 2020, 6, abb7369. [Google Scholar] [CrossRef] [PubMed]
- Park, Y.; Hyun, K.; Yun, S.; Choi, M. Unique Possibilities of Dynamic Metal–Polymer Interactions in Selective Hydrogenation. ChemCatChem 2024, 16, e202301378. [Google Scholar] [CrossRef]
- Tesser, R.; Santacesaria, E. Revisiting the role of mass and heat transfer in gas–solid catalytic reactions. Processes 2020, 8, 1599. [Google Scholar] [CrossRef]
- Ozkan, U.S. Design of Heterogeneous Catalysts: New Approaches Based on Synthesis, Characterization and Modeling; Wiley-VCH: Weinheim, Germany, 2009; pp. 1–322. [Google Scholar]
- van Deelen, T.W.; Hernández Mejía, C.; de Jong, K.P. Control of metal-support interactions in heterogeneous catalysts to enhance activity and selectivity. Nat. Catal. 2019, 2, 955–970. [Google Scholar] [CrossRef]
- Du, Q.; Li, Y. Air-stable, recyclable, and time-efficient diphenylphosphinite cellulose-supported palladium nanoparticles as a catalyst for Suzuki-Miyaura reactions. Beilstein J. Org. Chem. 2011, 7, 378–385. [Google Scholar] [CrossRef] [PubMed]
- Kamel, S.; Khattab, T.A. Recent advances in cellulose supported metal nanoparticles as green and sustainable catalysis for organic synthesis. Cellulose 2021, 28, 4545–4574. [Google Scholar] [CrossRef]
- Aamir, M.; Farooq, M.; Ambreen, J.; Ahmad, N.; Iqbal, M.; Haleem, A.; Saeed, S.; Shah, A.; Siddiq, M. Synthesis and characterization of gum arabic microgels stabilizing metal based nanocatalysts for ultrafast catalytic reduction of 4-nitrophenol at ambient conditions. J. Environ. Chem. Eng. 2019, 7, 103280. [Google Scholar] [CrossRef]
- Alács, B.; Zrinyi, A.; Hornyánszky, G.; Poppe, L.; Bell, E. Upgrading Epoxy Supports for Enzyme Immobilization by Affinity Function Doping—A Case Study with Phenylalanine Ammonia-Lyase from Petroselinum crispum. Catalysts 2024, 14, 14. [Google Scholar] [CrossRef]
- Fogler, H.S. Elements of Chemical Reaction Engineering; Prentice-Hall of India: Delhi, India, 2004; p. 1000. [Google Scholar]
- Králik, M.; Zecca, M.; Bianchin, P.; D’Archivio, A.A.; Galantini, L.; Corain, B. Metal palladium supported on amphiphilic microporous synthetic organic supports. Part II. Catalytic investigations. J. Mol. Catal. A Chem. 1998, 130, 85–93. [Google Scholar] [CrossRef]
- Russo, V.; Rossano, C.; Salucci, E.; Tesser, R.; Salmi, T.; Di Serio, M. Intraparticle diffusion model to determine the intrinsic kinetics of ethyl levulinate synthesis promoted by Amberlyst-15. Chem. Eng. Sci. 2020, 228, 115974. [Google Scholar] [CrossRef]
- Orabona, F.; Capasso, S.; Perez-Sena, W.Y.; Taddeo, F.; Eränen, K.; Verdolotti, L.; Tesser, R.; Di Serio, M.; Murzin, D.; Russo, V.; et al. Solvent-free condensation of ethyl levulinate with phenol promoted by Amberlyst-15: Kinetics and modeling. Chem. Eng. J. 2024, 493, 152677. [Google Scholar] [CrossRef]
- Kudaibergenov, S.E.; Dzhardimalieva, G.I. Flow-through catalytic reactors based on metal nanoparticles immobilized within porous polymeric gels and surfaces/hollows of polymeric membranes. Polymers 2020, 12, 572. [Google Scholar] [CrossRef]
- Frost, C.G.; Mutton, L. Heterogeneous catalytic synthesis using microreactor technology. Green Chem. 2010, 12, 1687–1703. [Google Scholar] [CrossRef]
- Tanimu, A.; Jaenicke, S.; Alhooshani, K. Heterogeneous catalysis in continuous flow microreactors: A review of methods and applications. Chem. Eng. J. 2017, 327, 792–821. [Google Scholar] [CrossRef]
- Kim, D.H.; Jeong, J.H.; Woo, H.C.; Kim, M.H. Synthesis of highly porous polymer microspheres with interconnected open pores for catalytic microreactors. Chem. Eng. J. 2021, 420, 127628. [Google Scholar] [CrossRef]
- Arshady, R.; Basato, M.; Corain, B.; Roncato, M.; Zecca, M.; Della Giustina, L.; Lora, S.; Palma, G. Preparation of isocyano polymer supports and their complexes with catalytically relevant transition metal centers. J. Mol. Catal. 1989, 53, 111–128. [Google Scholar] [CrossRef]
- Corain, B.; Rancan, S.; Zecca, M.; Lora, S.; Palma, G. Synthesis of potential hybrid catalysts upon coordination of ‘bare’ palladium(II) with crosslinked macromolecular nitriles. Catalytic dimerization of methyl acrylate. J. Mol. Catal. 1989, 55, 209–219. [Google Scholar] [CrossRef]
- Madhavan, N.; Jones, C.W.; Weck, M. Rational approach to polymer-supported catalysts: Synergy between catalytic reaction mechanism and polymer design. Acc. Chem. Res. 2008, 41, 1153–1165. [Google Scholar] [CrossRef]
- Cook, T.R.; Zheng, Y.R.; Stang, P.J. Metal-organic frameworks and self-assembled supramolecular coordination complexes: Comparing and contrasting the design, synthesis, and functionality of metal-organic materials. Chem. Rev. 2013, 113, 734–777. [Google Scholar] [CrossRef] [PubMed]
- Schneemann, A.; Bon, V.; Schwedler, I.; Senkovska, I.; Kaskel, S.; Fischer, R.A. Flexible metal-organic frameworks. Chem. Soc. Rev. 2014, 43, 6062–6096. [Google Scholar] [CrossRef]
- Lee, M.; Chen, B.Y.; Den, W. Chitosan as a natural polymer for heterogeneous catalysts support: A short review on its applications. Appl. Sci. 2015, 5, 1272–1283. [Google Scholar] [CrossRef]
- Kaur, H. Polymer Resins as Nanoreactors for the Synthesis of Nanoparticles and Their Catalytic Application in C–C Coupling. In Encapsulated Catalysts; Elsevier: Amsterdam, The Netherlands, 2017; pp. 123–151. [Google Scholar]
- Gates, B.C.; Flytzani-Stephanopoulos, M.; Dixon, D.A.; Katz, A. Atomically dispersed supported metal catalysts: Perspectives and suggestions for future research. Catal. Sci. Technol. 2017, 7, 4259–4275. [Google Scholar] [CrossRef]
- Khaligh, N.G.; Abbo, H.S.; Johan, M.R.; Titinchi, S.J.J. Poly(Vinyl pyridine)s: A versatile polymer in catalysis. Curr. Org. Chem. 2019, 23, 439–479. [Google Scholar] [CrossRef]
- Kalaj, M.; Bentz, K.C.; Ayala, S.; Palomba, J.M.; Barcus, K.S.; Katayama, Y.; Cohen, S.M. MOF-Polymer Hybrid Materials: From Simple Composites to Tailored Architectures. Chem. Rev. 2020, 120, 8267–8302. [Google Scholar] [CrossRef]
- Nghiem, T.L.; Coban, D.; Tjaberings, S.; Gröschel, A.H. Recent advances in the synthesis and application of polymer compartments for catalysis. Polymers 2020, 12, 2190. [Google Scholar] [CrossRef]
- Begum, R.; Farooqi, Z.H.; Xiao, J.; Ahmed, E.; Sharif, A.; Irfan, A. Crosslinked polymer encapsulated palladium nanoparticles for catalytic reduction and Suzuki reactions in aqueous medium. J. Mol. Liq. 2021, 338, 116780. [Google Scholar] [CrossRef]
- Frentzel-Beyme, L.; Kolodzeiski, P.; Weiß, J.B.; Schneemann, A.; Henke, S. Quantification of gas-accessible microporosity in metal-organic framework glasses. Nat. Commun. 2022, 13, 7750. [Google Scholar] [CrossRef]
- Negui, M.; Zhang, Z.; Foucher, C.; Guénin, E.; Richel, A.; Jeux, V.; Terrasson, V. Wood-Sourced Polymers as Support for Catalysis by Group 10 Transition Metals. Processes 2022, 10, 345. [Google Scholar] [CrossRef]
- Silva, M.J.; Gomes, J.; Ferreira, P.; Martins, R.C. An Overview of Polymer-Supported Catalysts for Wastewater Treatment through Light-Driven Processes. Water 2022, 14, 825. [Google Scholar] [CrossRef]
- Dalla Valle, C.; Sandri, F.; Zecca, M.; Rastrelli, F.; Campestrini, S.; Centomo, P. Synthesis of Ion-Exchange Catalysts by Introduction of Fluorinated Ponytails into Novel Mesoporous Polymers. Materials 2023, 16, 3808. [Google Scholar] [CrossRef] [PubMed]
- Silva, I.F.; Shekova, I.; Volkel, A.; Al-Naji, M.; Antonietti, M. Lignosulfonate-Based Carbon-Supported Pellets Catalyst to Enhance Sustainable Biofuel Production from Waste Cooking Oil. ChemSusChem 2024, 17, e202301786. [Google Scholar] [CrossRef] [PubMed]
- Kralik, M.; Hronec, M.; Jorik, V.; Lora, S.; Palma, G.; Zecca, M.; Biffis, A.; Corain, B. Microporous poly-(N,N-dimethyl-acrylamide)-(1-methacryloyl-ethylene-2-sulphonate)-(N,N’-methylene-bis-acrylamide) resins as hydrophilic supports for metal catalysts. J. Mol. Catal. A Chem. 1995, 101, 143–152. [Google Scholar] [CrossRef]
- Králik, M.; Hronec, M.; Lora, S.; Palma, G.; Zecca, M.; Biffis, A.; Corain, B. Microporous poly-N,N-dimethylacrylamide-p-styrylsulfonate-methylene bis(acrylamide): A promising support for metal catalysis. J. Mol. Catal. A Chem. 1995, 97, 145–155. [Google Scholar] [CrossRef]
- Hronec, M.; Cvengrošová, Z.; Králik, M.; Palma, G.; Corain, B. Hydrogenation of benzene to cyclohexene over polymer-supported ruthenium catalysts. J. Mol. Catal. A Chem. 1996, 105, 25–30. [Google Scholar] [CrossRef]
- Fišera, R.; Králik, M.; Annus, J.; Krátky, V.; Zecca, M.; Hronec, M. Deactivation of polymer-supported palladium catalysts in the hydrogenation of 4-nitrotoluene. Collect. Czech. Chem. Commun. 1997, 62, 1763–1775. [Google Scholar] [CrossRef]
- Zecca, M.; Králik, M.; Boaro, M.; Palma, G.; Lora, S.; Zancato, M.; Corain, B. Metal palladium supported on amphiphilic microporous synthetic organic supports. Part I. Material preparation and textural characterization. J. Mol. Catal. A Chem. 1998, 129, 27–34. [Google Scholar] [CrossRef]
- Gašparovičová, D.; Králik, M.; Hronec, M. Pd-Cu supported on anionic polymers—Promising catalysts for removal of nitrates from drinking water. Collect. Czech. Chem. Commun. 1999, 64, 502–514. [Google Scholar] [CrossRef]
- Gašparovičová, D.; Králik, M. Catalytic reduction of nitrates in drinking water over Pd-Cu catalysts. Chem. Listy 2000, 94, 308–313. [Google Scholar]
- Corain, B.; Kralik, M. Dispersing metal nanoclusters inside functional synthetic resins: Scope and catalytic prospects. J. Mol. Catal. A Chem. 2000, 159, 153–162. [Google Scholar] [CrossRef]
- Gašparovičová, D.; Králik, M.; Hronec, M.; Biffis, A.; Zecca, M.; Corain, B. Reduction of nitrates dissolved in water over palladium-copper catalysts supported on a strong cationic resin. J. Mol. Catal. A Chem. 2006, 244, 258–266. [Google Scholar] [CrossRef]
- De Zan, L.; Gasparovicova, D.; Kralik, M.; Centomo, P.; Carraro, M.; Campestrini, S.; Jerabek, K.; Corain, B. Nanoclustered palladium(0) supported on a gel-type poly-acrylonitrile-N,N-dimethylacrylamide-ethylenedimethacrylate resin: Nanostructural aspects and catalytic behaviour. J. Mol. Catal. A Chem. 2007, 265, 1–8. [Google Scholar] [CrossRef]
- Centomo, P.; Zecca, M.; Kralik, M.; Gasparovicova, D.; Jerabek, K.; Canton, P.; Corain, B. Cross-linked poly-vinyl polymers versus polyureas as designed supports for catalytically active M0 nanoclusters. Part II. Pd0/cross-linked poly-vinyl polymers versus Pd0/EnCat™30NP in mild hydrogenation reactions. J. Mol. Catal. A Chem. 2009, 300, 48–58. [Google Scholar] [CrossRef]
- Králik, M.; Vallušová, Z.; Major, P.; Takáčová, A.; Hronec, M.; Gašparovičová, D. Hydrogenation of chloronitrobenzenes over Pd and Pt catalysts supported on cationic resins. Chem. Pap. 2014, 68, 1690–1700. [Google Scholar] [CrossRef]
- Markovič, M.; Lopatka, P.; Koóš, P.; Soták, T.; Ház, A.; Gracza, T.; Ley, S.V.; Králik, M. Carbonylative transformations with Pd catalysts supported on bio-degradable urea-based polymer—Part A. Catal. Today 2024, 441, 114903. [Google Scholar] [CrossRef]
- Markovič, M.; Lopatka, P.; Koóš, P.; Soták, T.; Ház, A.; Gracza, T.; Ley, S.V.; Králik, M. Palladium catalysts supported on biodegradable urea-based polymers in synthesis with CO—Part B. Catal. Today 2024, 440, 114831. [Google Scholar] [CrossRef]
- Zecca, M.; Fišera, R.; Palma, G.; Lora, S.; Hronec, M.; Králik, M. Activity enhancement by the support in the hydrogenation of C=C bonds over polymer-supported palladium catalysts. Chem. Eur. J. 2000, 6, 1980–1986. [Google Scholar] [CrossRef] [PubMed]
- Sheldon, R.A.; van Pelt, S. Enzyme immobilisation in biocatalysis: Why, what and how. Chem. Soc. Rev. 2013, 42, 6223–6235. [Google Scholar] [CrossRef]
- Lyu, X.; Gonzalez, R.; Horton, A.; Li, T. Immobilization of enzymes by polymeric materials. Catalysts 2021, 11, 1211. [Google Scholar] [CrossRef]
- Naseem, K.; Arif, M.; Ahmad Haral, A.; Tahir, M.H.; Khurshid, A.; Ahmed, K.; Majeed, H.; Haider, S.; Khan, S.U.D.; Nazar, M.F.; et al. Enzymes encapsulated smart polymer micro assemblies and their tuned multi-functionalities: A critical review. Int. J. Polym. Mater. Polym. Biomater. 2024, 73, 785–816. [Google Scholar] [CrossRef]
- Dupont DOWEX® Ion Exchange Resins. Available online: https://www.dupont.com/brands/dowex.html (accessed on 13 July 2024).
- Shim, S.E.; Yang, S.; Choi, H.H.; Choe, S. Fully crosslinked poly(styrene-co-divinylbenzene) microspheres by precipitation polymerization and their superior thermal properties. J. Polym. Sci. Part A Polym. Chem. 2004, 42, 835–845. [Google Scholar] [CrossRef]
- SenGupta, A.K. Ion Exchange in Environmental Processes: Fundamentals, Applications and Sustainable Technology; Wiley Blackwell: Hoboken, NJ, USA, 2017; pp. 1–476. [Google Scholar]
- Li, Y.; Fan, Y.; Ma, J. Thermal, physical and chemical stability of porous polystyrene-type beads with different degrees of crosslinking. Polym. Degrad. Stab. 2001, 73, 163–167. [Google Scholar] [CrossRef]
- Arshady, R. Beaded polymer supports and gels. I. Manufacturing techniques. J. Chromatogr. A 1991, 586, 181–197. [Google Scholar] [CrossRef]
- Wiesbrock, F.; Hoogenboom, R.; Schubert, U.S. Microwave-assisted polymer synthesis: State-of-the-art and future perspectives. Macromol. Rapid Commun. 2004, 25, 1739–1764. [Google Scholar] [CrossRef]
- Kempe, K.; Becer, C.R.; Schubert, U.S. Microwave-assisted polymerizations: Recent status and future perspectives. Macromolecules 2011, 44, 5825–5842. [Google Scholar] [CrossRef]
- Arshady, R. Development of new hydrophilic polymer supports based on dimethylacrylamide. Colloid. Polym. Sci. 1990, 268, 948–958. [Google Scholar] [CrossRef]
- Centomo, P.; Jerabek, K.; Canova, D.; Zoleo, A.; Maniero, A.L.; Sassi, A.; Canton, P.; Corain, B.; Zecca, M. Highly hydrophilic copolymers of N,N-dimethylacrylamide, acrylamido-2-methylpropanesulfonic acid, and ethylenedimethacrylate: Nanoscale morphology in the swollen state and use as exotemplates for synthesis of nanostructured ferric oxide. Chemistry 2012, 18, 6632–6643. [Google Scholar] [CrossRef] [PubMed]
- Resindion The Chemistry of Tomorrow, Research, Develop and Produce. Available online: https://www.resindion.com/ (accessed on 13 July 2024).
- Purolite Purolite. Available online: https://www.purolite.com/index (accessed on 13 July 2024).
- Sharma, A.S.; Sharma, V.S.; Yadav, P.; Kaur, H.; Varma, R.S. Polystyrene Resins: Versatile and Economical Support for Heterogeneous Nanocatalysts in Sustainable Organic Reactions**. ChemCatChem 2023, 15, e202201493. [Google Scholar] [CrossRef]
- Mahdavi, H.; Sahraei, R. Synthesis and Application of Hyperbranched Polyester-Grafted Polyethylene (HBPE-g-PE) Containing Palladium Nanoparticles as Efficient Nanocatalyst. Catal. Lett. 2016, 146, 977–990. [Google Scholar] [CrossRef]
- Chowdhury, S.R.; Roy, P.S.; Bhattacharya, S.K. Green synthesis and characterization of polyvinyl alcohol stabilized palladium nanoparticles: Effect of solvent on diameter and catalytic activity. Adv. Nat. Sci. Nanosci. Nanotechnol. 2017, 8, 025002. [Google Scholar] [CrossRef]
- Liu, Z.; Lanier, O.L.; Chauhan, A. Poly (Vinyl alcohol) assisted synthesis and anti- solvent precipitation of gold nanoparticles. Nanomater. 2020, 10, 2359. [Google Scholar] [CrossRef] [PubMed]
- Corain, B.; Basato, M.; Zecca, M.; Braca, G.; Galletti, A.M.R.; Lora, S.; Palma, G.; Guglielminotti, E. Direct synthesis of alcohols from n-olefins and syngas in the liquid phase catalyzed by rhodium supported on crosslinked acrylic resins. J. Mol. Catal. 1992, 73, 23–41. [Google Scholar] [CrossRef]
- Kralik, M.; Kratky, V.; Centomo, P.; Guerriero, P.; Lora, S.; Corain, B. Polymer frameworks as templates for generating size-controlled metal nanoclusters active and reusable metal catalysts based on organic resins and on organic/inorganic composites. J. Mol. Catal. A Chem. 2003, 195, 219–223. [Google Scholar] [CrossRef]
- Burato, C.; Centomo, P.; Pace, G.; Favaro, M.; Prati, L.; Corain, B. Generation of size-controlled palladium(0) and gold(0) nanoclusters inside the nanoporous domains of gel-type functional resins: Part II: Prospects for oxidation catalysis in the liquid phase. J. Mol. Catal. A Chem. 2005, 238, 26–34. [Google Scholar] [CrossRef]
- Pozzar, F.; Sassi, A.; Pace, G.; Lora, S.; D’Archivio, A.A.; Jeřàbek, K.; Grassi, A.; Corain, B. Gel-type polyacrylic resins cross-linked with trimethylolpropanetrimethacrylate: The issue of their nanostructure and molecular accessibility unveiled with a combination of Inverse Steric Exclusion Chromatography (ISEC), and ESR and CP-MAS13C NMR spectroscopy. Chem. Eur. J. 2005, 11, 7395–7404. [Google Scholar] [CrossRef] [PubMed]
- Kayarkatte, M.K.; Delikaya, O.; Roth, C. Polyacrylic acid-Nafion composites as stable catalyst support in PEM fuel cell electrodes. Mater. Today Commun. 2018, 16, 8–13. [Google Scholar] [CrossRef]
- Hussain, I.; Farooqi, Z.H.; Ali, F.; Begum, R.; Irfan, A.; Wu, W.; Wang, X.; Shahid, M.; Nisar, J. Poly(styrene@N-isopropylmethacrylamide-co-methacrylic acid)@Ag hybrid particles with excellent catalytic potential. J. Mol. Liq. 2021, 335, 116106. [Google Scholar] [CrossRef]
- Zhang, C.; Fan, Y.; Wang, S.; Liu, S.; Chu, X.; Tang, E. Polyacrylic Acid Supported L-proline as an Effective Heterogeneous Catalyst for the Direct Asymmetric Aldol Reaction. Curr. Org. Synth. 2024, 21, 47–60. [Google Scholar] [CrossRef]
- Giammatteo, M.; Tauro, L.; D’Archivio, A.A.; Galantini, L.; Panatta, A.; Tettamanti, E.; Jerabek, K.; Corain, B. Cross-linked poly-4-vinylpyridines as useful supports in metal catalysis: Micro-and nanometer scale morphology. J. Mol. Catal. A Chem. 2007, 268, 176–184. [Google Scholar] [CrossRef]
- Evangelisti, C.; Panziera, N.; Pertici, P.; Vitulli, G.; Salvadori, P.; Battocchio, C.; Polzonetti, G. Palladium nanoparticles supported on polyvinylpyridine: Catalytic activity in Heck-type reactions and XPS structural studies. J. Catal. 2009, 262, 287–293. [Google Scholar] [CrossRef]
- Albano, G.; Interlandi, S.; Evangelisti, C.; Aronica, L.A. Polyvinylpyridine-Supported Palladium Nanoparticles: A Valuable Catalyst for the Synthesis of Alkynyl Ketones via Acyl Sonogashira Reactions. Catal. Lett. 2020, 150, 652–659. [Google Scholar] [CrossRef]
- Evangelisti, C.; Panziera, N.; D’Alessio, A.; Bertinetti, L.; Botavina, M.; Vitulli, G. New monodispersed palladium nanoparticles stabilized by poly-(N-vinyl-2-pyrrolidone): Preparation, structural study and catalytic properties. J. Catal. 2010, 272, 246–252. [Google Scholar] [CrossRef]
- Resnick, P.R. A short history of Nafion®. Actual. Chim. 2006, 301-302, 144–147. [Google Scholar]
- Ng, W.W.; Thiam, H.S.; Pang, Y.L.; Chong, K.C.; Lai, S.O. A State-of-Art on the Development of Nafion-Based Membrane for Performance Improvement in Direct Methanol Fuel Cells. Membranes 2022, 12, 506. [Google Scholar] [CrossRef]
- Amedlous, A.; Majdoub, M.; Anfar, Z.; Amaterz, E. Self-supporting g-C3N4 nanosheets/ag nanoparticles embedded onto polyester fabric as “dip-catalyst” for synergic 4-nitrophenol hydrogenation. Catalysts 2021, 11, 1533. [Google Scholar] [CrossRef]
- Bharat, D. Unsaturated Polyester Resin for Specialty Applications. In Polyester; Hosam El-Din, M.S., Ed.; IntechOpen: Rijeka, Croatia, 2012. [Google Scholar]
- Deopura, B.L.; Alagirusamy, R.; Joshi, M.; Gupta, B. Polyesters and Polyamides; Elsevier Ltd.: Amsterdam, The Netherlands, 2008; pp. 1–608. [Google Scholar]
- Michalska, Z.M.; Ostaszewski, B.; Strzelec, K.; Kwiatkowski, R.; Włochowicz, A. Selectivity of polyamide-supported rhodium catalysts in the addition of hydrosilanes to vinyl compounds. React. Polym. 1994, 23, 85–93. [Google Scholar] [CrossRef]
- Yan, Z.; Liu, Y.W.; Wang, W.W.; Wang, D. Functionalized Nylon 6 Fabric as an Efficient and Recyclable Catalyst for Knoevenagel Condensation. ACS Omega 2022, 7, 33186–33191. [Google Scholar] [CrossRef]
- Michalska, Z.M.; Ostaszewski, B. Polyamide-bound metal complex catalysts: Synthesis, characterization and catalytic properties. J. Organomet. Chem. 1986, 299, 259–269. [Google Scholar] [CrossRef]
- Shi, G.; Dong, Z. Palladium Supported on Porous Organic Polymer as Heterogeneous and Recyclable Catalyst for Cross Coupling Reaction. Molecules 2022, 27, 4777. [Google Scholar] [CrossRef]
- Bui, T.Q.; Konwar, L.J.; Samikannu, A.; Nikjoo, D.; Mikkola, J.P. Mesoporous Melamine-Formaldehyde Resins as Efficient Heterogeneous Catalysts for Continuous Synthesis of Cyclic Carbonates from Epoxides and Gaseous CO2. ACS Sustain. Chem. Eng. 2020, 8, 12852–12869. [Google Scholar] [CrossRef]
- Molla, R.A.; Iqubal, M.A.; Ghosh, K.; Roy, A.S.; Islam, S.M. Mesoporous poly-melamine-formaldehyde stabilized palladium nanoparticle (Pd@mPMF) catalyzed mono and double carbonylation of aryl halides with amines. RSC Adv. 2014, 4, 48177–48190. [Google Scholar] [CrossRef]
- Rezaei, R.; Khalifeh, R.; Rajabzadeh, M.; Dorosty, L.; Doroodmand, M.M. Melamine-formaldehyde resin supported H+-catalyzed three-component synthesis of 1,8-dioxo-decahydroacridine derivatives in water and under solvent-free conditions. Heterocycl. Commun. 2013, 19, 57–63. [Google Scholar] [CrossRef]
- Zhong, S. Palladium nanoparticles entrapped in melamine-formaldehyde resin microparticles for Mizoroki Heck reactions. Turk. J. Chem. 2017, 41, 773–783. [Google Scholar] [CrossRef]
- Hartwell, G.E.; Garrou, P.E. Amine-Resin Supported Rhodium-Cobalt Bimetallic Clusters as Hydroformylation Catalysts, Their Preparation and Oxo Process Utilising Such a Catalyst. U.S. Patent EP 0014225A1, 20 September 1980. [Google Scholar]
- Liu, M.; Liu, B.; Shi, L.; Wang, F.; Liang, L.; Sun, J. Melamine-ZnI2 as heterogeneous catalysts for efficient chemical fixation of carbon dioxide to cyclic carbonates. RSC Adv. 2015, 5, 960–966. [Google Scholar] [CrossRef]
- Beygisangchin, M.; Rashid, S.A.; Shafie, S.; Sadrolhosseini, A.R.; Lim, H.N. Preparations, properties, and applications of polyaniline and polyaniline thin films—A review. Polymers 2021, 13, 2003. [Google Scholar] [CrossRef] [PubMed]
- Eskandari, E.; Kosari, M.; Davood Abadi Farahani, M.H.; Khiavi, N.D.; Saeedikhani, M.; Katal, R.; Zarinejad, M. A review on polyaniline-based materials applications in heavy metals removal and catalytic processes. Sep. Purif. Technol. 2020, 231, 115901. [Google Scholar] [CrossRef]
- Liu, Y.; Song, L.; Du, L.; Gao, P.; Liang, N.; Wu, S.; Minami, T.; Zang, L.; Yu, C.; Xu, X. Preparation of polyaniline/emulsion microsphere composite for efficient adsorption of organic dyes. Polymers 2020, 12, 167. [Google Scholar] [CrossRef]
- Likhar, P.R.; Kantam, M.L.; Bhargava, S. Polyaniline-supported metal catalysts for green synthesis. Indian J. Chem. Sect. A Inorg. Phys. Theor. Anal. Chem. 2012, 51, 155–165. [Google Scholar]
- Kowalski, G.; Pielichowski, J.; Grzesik, M. Characteristics of polyaniline cobalt supported catalysts for epoxidation reactions. Sci. World J. 2014, 2014, 648949. [Google Scholar] [CrossRef] [PubMed]
- Zeng, Z.G.; Chen, Y.; Zhu, X.M.; Yu, L. Polyaniline-supported nano metal-catalyzed coupling reactions: Opportunities and challenges. Chin. Chem. Lett. 2023, 34, 107728. [Google Scholar] [CrossRef]
- Ayad, M.M.; Amer, W.A.; Kotp, M.G. Magnetic polyaniline-chitosan nanocomposite decorated with palladium nanoparticles for enhanced catalytic reduction of 4-nitrophenol. Mol. Cat. 2017, 439, 72–80. [Google Scholar] [CrossRef]
- Khalid, M.; Honorato, A.M.B.; Varela, H.; Dai, L. Multifunctional electrocatalysts derived from conducting polymer and metal organic framework complexes. Nano Energy 2018, 45, 127–135. [Google Scholar] [CrossRef]
- Guo, D.; Jiang, K.; Gan, H.; Ren, Y.; Long, J.; Li, Y.; Yin, B. Template-Oriented Polyaniline-Supported Palladium Nanoclusters for Reductive Homocoupling of Furfural Derivatives. Angew. Chem. Int. Ed. 2023, 62, e202304662. [Google Scholar] [CrossRef]
- Wang, L.; Ding, B.; Zhang, M. Preparation supported heteropoly (acid)/polyaniline catalysts and catalytic synthesis of tributyl citrate. RSC Adv. 2019, 9, 33124–33129. [Google Scholar] [CrossRef]
- Choe, E.W. Catalysts for the preparation of polybenzimidazoles. J. Appl. Polym. Sci. 1994, 53, 497–506. [Google Scholar] [CrossRef]
- Wang, Y.; Yang, T.; Fishel, K.; Benicewicz, B.C.; Chung, T.S. Polybenzimidazoles. In Handbook of Thermoplastics, 2nd ed.; CRC Press: Boca Raton, FL, USA, 2016; pp. 617–667. [Google Scholar]
- Li, Z.F.; Zhang, H.Y.; Yang, F.; Stanciu, L.; Xie, J. Pt Catalysts Supported on Polybenzimidazole-Grafted Graphene for PEMFCs; ECS Transactions; Electrochemical Society Inc.: Pennington, NJ, USA, 2014; pp. 131–136. [Google Scholar]
- Gu, Y.; Favier, I.; Pradel, C.; Gin, D.L.; Lahitte, J.F.; Noble, R.D.; Gómez, M.; Remigy, J.C. High catalytic efficiency of palladium nanoparticles immobilized in a polymer membrane containing poly(ionic liquid) in Suzuki-Miyaura cross-coupling reaction. J. Membr. Sci. 2015, 492, 331–339. [Google Scholar] [CrossRef]
- Yusof, M.S.M.; Jalil, A.A.; Ahmad, A.; Triwahyono, S.; Othman, M.H.D.; Abdullah, T.A.T.; Firmansyah, M.L.; Setiabudi, H.D.; Johari, A.; Nabgan, W. Effect of Pt–Pd/C coupled catalyst loading and polybenzimidazole ionomer binder on oxygen reduction reaction in high-temperature PEMFC. Int. J. Hydrogen Energy 2019, 44, 20760–20769. [Google Scholar] [CrossRef]
- Li, N.H.; Fréchet, J.M.J. Polybenzimidazole-supported heterogeneous palladium catalysts. J. Chem. Soc. Chem. Commun. 1985, 16, 1100–1101. [Google Scholar] [CrossRef]
- Olason, G.; Sherrington, D.C. Oxidation of cyclohexene by t-butylhydroperoxide and dioxygen catalyzed by polybenzimidazole-supported Cu, Mn, Fe, Ru and Ti complexes. React. Funct. Polym. 1999, 42, 163–172. [Google Scholar] [CrossRef]
- Magdalene, R.M.; Leelamani, E.G.; Nanje Gowda, N.M. Hydrogenation of Nitroarenes Using Polybenzimidazole-Supported Rhodium Catalyst. J. Mol. Catal. A Chem. 2004, 223, 17–20. [Google Scholar] [CrossRef]
- Chen, Z.; Yu, X.; Song, Y. Palladium nanoparticle supported on mesoporous polybenzimidazole as a heterogeneous catalyst for Suzuki cross-coupling reaction in aqueous media. Ferroelectrics 2016, 494, 200–207. [Google Scholar] [CrossRef]
- D’Archivio, A.A.; Galantini, L.; Biffis, A.; Jeřábek, K.; Corain, B. Polybenzimidazole as a promising support for metal catalysis: Morphology and molecular accessibility in the dry and swollen state. Chem. Eur. J. 2000, 6, 794–799. [Google Scholar] [CrossRef]
- Silva, A.L.; Bordado, J.C. Recent developments in polyurethane catalysis: Catalytic mechanisms review. Cat. Rev. Sci. Eng. 2004, 46, 31–51. [Google Scholar] [CrossRef]
- Xu, Z.; Chen, J.; Feng, Y.; Guan, J.; Dou, Y.; Liu, S.; Li, Y. Noble Metal Catalysts Growing on Polyurethane Foam Monoliths by Electroless Plating Deposition Method for Formaldehyde Purification at Room Temperature; IOP Conference Series: Materials Science and Engineering; IOP Publishing Ltd.: Bristol, UK, 2019. [Google Scholar]
- Khan, M.S.J.; Kamal, T.; Ali, F.; Asiri, A.M.; Khan, S.B. Chitosan-coated polyurethane sponge supported metal nanoparticles for catalytic reduction of organic pollutants. Int. J. Biol. Macromol. 2019, 132, 772–783. [Google Scholar] [CrossRef]
- Naseem, K.; Abrar, E.; Haider, S.; Alam, K. Polyurethane-based nanocomposite for catalytic reduction of toxic dyes. Polym. Adv. Technol. 2024, 35, e6372. [Google Scholar] [CrossRef]
- Reaxa EnCat Catalysts. Available online: http://reaxa.com/ (accessed on 13 July 2024).
- Ley, S.V.; Ramarao, C.; Gordon, R.S.; Holmes, A.B.; Morrison, A.J.; McConvey, I.F.; Shirley, I.M.; Smith, S.C.; Smith, M.D. Polyurea-encapsulated palladium(II) acetate: A robust and recyclable catalyst for use in conventional and supercritical media. Chem. Commun. 2002, 2, 1134–1135. [Google Scholar] [CrossRef]
- Bremeyer, N.; Ley, S.V.; Ramarao, C.; Shirley, I.M.; Smith, S.C. Palladium acetate in polyurea microcapsules: A recoverable and reusable catalyst for hydrogenations. Synlett 2002, 2002, 1843–1844. [Google Scholar] [CrossRef]
- Hao, L.; Zhao, Y.; Yu, B.; Zhang, H.; Xu, H.; Xu, J.; Liu, Z. Polyurea-supported metal nanocatalysts: Synthesis, characterization and application in selective hydrogenation of o-chloronitrobenzene. J. Colloid Interface Sci. 2014, 424, 44–48. [Google Scholar] [CrossRef] [PubMed]
- Bashir, M.S.; Jiang, X.; Li, S.; Kong, X.Z. Highly uniform and porous polyurea microspheres: Clean and easy preparation by interface polymerization, palladium incorporation, and high catalytic performance for dye degradation. Front. Chem. 2019, 7, 314. [Google Scholar] [CrossRef]
- Santana, J.S.; Cardoso, E.S.; Triboni, E.R.; Politi, M.J. Polyureas versatile polymers for new academic and technological applications. Polymers 2021, 13, 4393. [Google Scholar] [CrossRef] [PubMed]
- Bashir, M.S.; Jiang, X.; Yang, X.; Kong, X.Z. Porous Polyurea Supported Pd Catalyst: Easy Preparation, Full Characterization, and High Activity and Reusability in Reduction of Hexavalent Chromium in Aqueous System. Ind. Eng. Chem. Res. 2021, 60, 8108–8119. [Google Scholar] [CrossRef]
- Steindl, P.; Menner, A.; Bismarck, A. Permeable emulsion-templated porous polyepoxides. Polymer 2022, 240, 124476. [Google Scholar] [CrossRef]
- Arnold, U.; Habicht, W.; Döring, M. Metal-doped epoxy resins: New catalysts for the epoxidation of alkenes with high long-term activities. Adv. Synth. Catal. 2006, 348, 142–150. [Google Scholar] [CrossRef]
- Bączek, N.; Strzelec, K. Palladium complex catalyst immobilized on epoxy support under supercritical conditions. C. R. Chim. 2014, 17, 1080–1087. [Google Scholar] [CrossRef]
- Strzelec, K.; Baczek, N. Platinum complex catalysts immobilized on epoxy resins cured with polythiourethane hardeners. Open Chem. 2015, 13, 389–398. [Google Scholar] [CrossRef]
- Sienkiewicz, N.; Strzelec, K.; Pospiech, P.; Cypryk, M.; Szmechtyk, T. New palladium catalyst immobilized on epoxy resin: Synthesis, characterization and catalytic activity. Appl. Organomet. Chem. 2016, 30, 4–11. [Google Scholar] [CrossRef]
- Sienkiewicz, N.; Szmechtyk, T.; Strzelec, K. Recycable complex catalysts immobilized on mercaptan-functionalized glass-polymer supports. Polym. Bull. 2018, 75, 5421–5436. [Google Scholar] [CrossRef]
- Kazıcı, H.Ç.; İzgi, M.S.; Şahin, Ö. Co-Mn-B Nanoparticles Supported on Epoxy-Based Polymer as Catalyst for Evolution of H2 from Ammonia Borane Semi-Methanolysis. J. Electron. Mater. 2022, 51, 2356–2368. [Google Scholar] [CrossRef]
- Esteban, N.; Claros, M.; Álvarez, C.; Lozano, Á.; Bartolomé, C.; Martínez-Ilarduya, J.M.; Miguel, J.A. Palladium Catalysts Supported in Microporous Phosphine Polymer Networks. Polymers 2023, 15, 4143. [Google Scholar] [CrossRef] [PubMed]
- Bajpai, P. Biermann’s Handbook of Pulp and Paper: Raw Material and Pulp Making, 3rd ed.; Elsevier Science: AE Amsterdam, The Netherlands, 2018; Volume 1, pp. 1–647. [Google Scholar]
- Yan, W.Z.; Liu, J.; Zheng, X.J.; Zhang, J.; Tang, K.Y. Wood-derived high-performance cellulose structural materials. E-Polymers 2023, 23, 20230010. [Google Scholar] [CrossRef]
- Uğurel, C.; Öğüt, H. Optimization of Bacterial Cellulose Production by Komagataeibacter rhaeticus K23. Fibers 2024, 12, 29. [Google Scholar] [CrossRef]
- Baruah, D.; Saikia, U.P.; Pahari, P.; Konwar, D. Cu-nanoparticles on cellulose/H2O-CH3CN/microwave: A green system for the selective oxidation of alcohols to aldehydes. Tetrahedron Lett. 2015, 56, 2543–2547. [Google Scholar] [CrossRef]
- Krupšová, S.; Almáši, M. Cellulose–Amine Porous Materials: The Effect of Activation Method on Structure, Textural Properties, CO2 Capture, and Recyclability. Molecules 2024, 29, 1158. [Google Scholar] [CrossRef]
- Tu, K.; Büchele, S.; Mitchell, S.; Stricker, L.; Liu, C.; Goldhahn, C.; Allaz, J.; Ding, Y.; Günther, R.; Zhang, Z.; et al. Natural Wood-Based Catalytic Membrane Microreactors for Continuous Hydrogen Generation. ACS Appl. Mater. Interfaces 2022, 14, 8417–8426. [Google Scholar] [CrossRef]
- Zhang, Z.; Zhao, X.; Luo, H.; Feng, X.; Chen, H. Design of wood-based self-supporting metal catalyst based on NiCo2O4 bridge for efficient oxygen evolution. Chem. Eng. J. 2023, 477, 147289. [Google Scholar] [CrossRef]
- Zhang, L.; Liu, H.; Song, B.; Gu, J.; Li, L.; Shi, W.; Li, G.; Zhong, S.; Liu, H.; Wang, X.; et al. Wood-inspired metamaterial catalyst for robust and high-throughput water purification. Nat. Commun. 2024, 15, 2046. [Google Scholar] [CrossRef]
- Li, S.; Yang, F.; Li, J.; Cheng, K. Porous biochar-nanoscale zero-valent iron composites: Synthesis, characterization and application for lead ion removal. Sci. Total Environ. 2020, 746, 141037. [Google Scholar] [CrossRef]
- Feng, Y.; Liu, P.; Wang, Y.; Liu, W.; Liu, Y.; Finfrock, Y.Z. Mechanistic investigation of mercury removal by unmodified and Fe-modified biochars based on synchrotron-based methods. Sci. Total Environ. 2020, 719, 137435. [Google Scholar] [CrossRef] [PubMed]
- Huang, Z.; Xiong, C.; Zhao, M.; Wang, S.; Zhou, Y.; Dai, L.; Zhang, L. Surface-functionalized pomelo peel-derived biochar with mercapto-1,2,4-triazloe for selective elimination of toxic Pb (II) in aqueous solutions. Adv. Powder Technol. 2021, 32, 1013–1022. [Google Scholar] [CrossRef]
- Yaashikaa, P.R.; Kumar, P.S.; Varjani, S.; Saravanan, A. A critical review on the biochar production techniques, characterization, stability and applications for circular bioeconomy. Biotechnol. Rep. 2020, 28, e00570. [Google Scholar] [CrossRef]
- Ramos, R.; Abdelkader-fernández, V.K.; Matos, R.; Peixoto, A.F.; Fernandes, D.M. Metal-Supported Biochar Catalysts for Sustainable Biorefinery, Electrocatalysis and Energy Storage Applications: A Review. Catalysts 2022, 12, 207. [Google Scholar] [CrossRef]
- Wijitkosum, S.; Sriburi, T. Aromaticity, polarity, and longevity of biochar derived from disposable bamboo chopsticks waste for environmental application. Heliyon 2023, 9, e19831. [Google Scholar] [CrossRef]
- Malini, K.; Selvakumar, D.; Kumar, N.S. Activated carbon from biomass: Preparation, factors improving basicity and surface properties for enhanced CO2 capture capacity—A review. J. CO2 Util. 2023, 67, 102318. [Google Scholar] [CrossRef]
- Bergthaller, W.; Hollmann, J. Starch. In Comprehensive Glycoscience: From Chemistry to Systems Biology; Elsevier: Amsterdam, The Netherlands, 2007; Volume 2–4, pp. 579–612. [Google Scholar]
- Li, X.; Zhou, Z.; Wang, Y.; Dong, J.; Jia, X.; Hu, Z.; Wei, Q.; Zhang, W.; Jiang, Y.; Zhang, J.; et al. Schiff base modified starch: A promising biosupport for palladium in Suzuki cross-coupling reactions. Int. J. Biol. Macromol. 2023, 233, 123596. [Google Scholar] [CrossRef]
- Sadeghi, M. The untold story of starch as a catalyst for organic reactions. RSC Adv. 2024, 14, 12676–12702. [Google Scholar] [CrossRef]
- Rinaudo, M. Chitin and chitosan: Properties and applications. Prog. Polym. Sci. 2006, 31, 603–632. [Google Scholar] [CrossRef]
- Giraldo, J.D.; García, Y.; Vera, M.; Garrido-Miranda, K.A.; Andrade-Acuña, D.; Marrugo, K.P.; Rivas, B.L.; Schoebitz, M. Alternative processes to produce chitin, chitosan, and their oligomers. Carbohydr. Polym. 2024, 332, 121924. [Google Scholar] [CrossRef]
- Tsutsumi, Y.; Koga, H.; Qi, Z.D.; Saito, T.; Isogai, A. Nanofibrillar chitin aerogels as renewable base catalysts. Biomacromolecules 2014, 15, 4314–4319. [Google Scholar] [CrossRef] [PubMed]
- Wang, Y.; Li, Y.; Liu, S.; Li, B. Fabrication of chitin microspheres and their multipurpose application as catalyst support and adsorbent. Carbohydr. Polym. 2015, 120, 53–59. [Google Scholar] [CrossRef] [PubMed]
- Díaz Velázquez, H.; Guzmán Pantoja, J.; Meneses Ruiz, E.; García de León, R.; Martínez Palou, R. Efficient Synthesis of Organic Carbonates to the Multigram Level from CO2 Using a New Chitin-Supported Catalyst. Catal. Lett. 2017, 147, 2260–2268. [Google Scholar] [CrossRef]
- Pei, X.; Deng, Y.; Duan, B.; Chan, T.S.; Lee, J.F.; Lei, A.; Zhang, L. Ultra-small Pd clusters supported by chitin nanowires as highly efficient catalysts. Nano. Res. 2018, 11, 3145–3153. [Google Scholar] [CrossRef]
- Jin, T.; Hicks, M.; Kurdyla, D.; Hrapovic, S.; Lam, E.; Moores, A. Palladium nanoparticles supported on chitin-based nanomaterials as heterogeneous catalysts for the Heck coupling reaction. Beilstein J. Org. Chem. 2020, 16, 2477–2483. [Google Scholar] [CrossRef]
- Pei, X.; Li, Y.; Deng, Y.; Lu, L.; Li, W.; Shi, R.; Lei, A.; Zhang, L. Chitin microsphere supported Pd nanoparticles as an efficient and recoverable catalyst for CO oxidation and Heck coupling reaction. Carbohydr. Polym. 2021, 251, 117020. [Google Scholar] [CrossRef]
- Dohendou, M.; Pakzad, K.; Nezafat, Z.; Nasrollahzadeh, M.; Dekamin, M.G. Progresses in chitin, chitosan, starch, cellulose, pectin, alginate, gelatin and gum based (nano)catalysts for the Heck coupling reactions: A review. Int. J. Biol. Macromol. 2021, 192, 771–819. [Google Scholar] [CrossRef]
- Polidoro, D.; Ballesteros-Plata, D.; Perosa, A.; Rodríguez-Castellón, E.; Rodríguez-Padrón, D.; Selva, M. Controlled alcohol oxidation reactions by supported non-noble metal nanoparticles on chitin-derived N-doped carbons. Catal. Sci. Technol. 2023, 13, 2223–2238. [Google Scholar] [CrossRef]
- Alkabli, J.; Rizk, M.A.; Elshaarawy, R.F.M.; El-Sayed, W.N. Ionic chitosan Schiff bases supported Pd(II) and Ru(II) complexes; production, characterization, and catalytic performance in Suzuki cross-coupling reactions. Int. J. Biol. Macromol. 2021, 184, 454–462. [Google Scholar] [CrossRef]
- Song, B.; Qin, A.; Tang, B.Z. Syntheses, properties, and applications of CO2-based functional polymers. Cell Rep. Phys. Sci. 2022, 3, 100719. [Google Scholar] [CrossRef]
- Rezende, S.M. Introduction to Electronic Materials and Devices; Springer International Publishing: Berlin/Heidelberg, Germany, 2022; pp. 1–508. [Google Scholar]
- Morab, S.; Sundaram, M.M.; Pivrikas, A. Review on Charge Carrier Transport in Inorganic and Organic Semiconductors. Coatings 2023, 13, 1657. [Google Scholar] [CrossRef]
- Masood, M.; Hussain, S.; Sohail, M.; Rehman, A.; Uzzaman, M.A.; Alnaser, I.A.; Karim, M.R.; Wahab, M.A. Recent Progress, Challenges, and Opportunities of Conducting Polymers for Energy Storage Applications. ChemistrySelect 2024, 9, e202302876. [Google Scholar] [CrossRef]
- Kumar, D.; Sharma, R.C. Advances in conductive polymers. Eur. Polym. J. 1998, 34, 1053–1060. [Google Scholar] [CrossRef]
- Kuznetsova, L.S.; Arlyapov, V.A.; Plekhanova, Y.V.; Tarasov, S.E.; Kharkova, A.S.; Saverina, E.A.; Reshetilov, A.N. Conductive Polymers and Their Nanocomposites: Application Features in Biosensors and Biofuel Cells. Polymers 2023, 15, 3783. [Google Scholar] [CrossRef]
- Gu, W.; Zhang, J.; Sun, Q.; Xu, Z.P. Deconstruction and integration: From nanofillers to lightweight and broadband electromagnetic absorbers. Mater. Today Sustain. 2024, 25, 100624. [Google Scholar] [CrossRef]
- Le, T.H.; Kim, Y.; Yoon, H. Electrical and electrochemical properties of conducting polymers. Polymers 2017, 9, 150. [Google Scholar] [CrossRef] [PubMed]
- Bubniene, U.S.; Ratautaite, V.; Ramanavicius, A.; Bucinskas, V. Conducting Polymers for the Design of Tactile Sensors. Polymers 2022, 14, 2984. [Google Scholar] [CrossRef] [PubMed]
- Ouyang, J. Application of intrinsically conducting polymers in flexible electronics. SmartMat 2021, 2, 263–285. [Google Scholar] [CrossRef]
- Yang, Y.; Börjesson, K. Electroactive covalent organic frameworks: A new choice for organic electronics. Trends Chem. 2022, 4, 60–75. [Google Scholar] [CrossRef]
- Liu, K.K.; Meng, Z.; Fang, Y.; Jiang, H.L. Conductive MOFs for electrocatalysis and electrochemical sensor. eScience 2023, 3, 100133. [Google Scholar] [CrossRef]
- Tadesse, M.G.; Ahmmed, A.S.; Lübben, J.F. Review on Conductive Polymer Composites for Supercapacitor Applications. J. Compos. Sci. 2024, 8, 53. [Google Scholar] [CrossRef]
- Tajik, S.; Beitollahi, H.; Nejad, F.G.; Shoaie, I.S.; Khalilzadeh, M.A.; Asl, M.S.; Van Le, Q.; Zhang, K.; Jang, H.W.; Shokouhimehr, M. Recent developments in conducting polymers: Applications for electrochemistry. RSC Adv. 2020, 10, 37834–37856. [Google Scholar] [CrossRef] [PubMed]
- Feidenhans’l, A.A.; Regmi, Y.N.; Wei, C.; Xia, D.; Kibsgaard, J.; King, L.A. Precious Metal Free Hydrogen Evolution Catalyst Design and Application. Chem. Rev. 2024, 124, 5617–5667. [Google Scholar] [CrossRef]
- Kumaravel, S.; Kim, E.; Kale, B.B.; Adhikari, A.; Patel, R.; Kundu, S. Recent Developments in Conductive Polymer-Based Electro-/Photoelectrocatalytic Materials for Effective Hydrogen/Oxygen Evolution Reactions: A Review. ChemElectroChem 2022, 9, e202200724. [Google Scholar] [CrossRef]
- Sondermann, L.; Jiang, W.; Shviro, M.; Spieß, A.; Woschko, D.; Rademacher, L.; Janiak, C. Nickel-Based Metal-Organic Frameworks as Electrocatalysts for the Oxygen Evolution Reaction (OER). Molecules 2022, 27, 1241. [Google Scholar] [CrossRef] [PubMed]
- Rademacher, L.; Beglau, T.H.Y.; Ali, B.; Sondermann, L.; Strothmann, T.; Boldog, I.; Barthel, J.; Janiak, C. Ruthenium nanoparticles on covalent triazine frameworks incorporating thiophene for the electrocatalytic hydrogen evolution reaction. J. Mater. Chem. A 2023, 12, 2093–2109. [Google Scholar] [CrossRef]
- Chen, Z.; Li, N.; Zhang, Q. Covalent Organic Frameworks as Promising Platforms for Efficient Electrochemical Reduction of Carbon Dioxide: A Review. Small Struct. 2024, 5, 2300495. [Google Scholar] [CrossRef]
- Ertekin, Z.; Symes, M.D. Metal-phthalocyanine complexes as electrocatalysts for the multi-electron reduction of carbon dioxide. Appl. Catal. A Gen. 2023, 666, 119388. [Google Scholar] [CrossRef]
- Perry, S.C. Electrochemical Carbon Dioxide Reduction; De Gruyter: Berlin, Germany, 2021; pp. 1–152. [Google Scholar]
- Zhu, H.J.; Lu, M.; Wang, Y.R.; Yao, S.J.; Zhang, M.; Kan, Y.H.; Liu, J.; Chen, Y.; Li, S.L.; Lan, Y.Q. Efficient electron transmission in covalent organic framework nanosheets for highly active electrocatalytic carbon dioxide reduction. Nat. Commun. 2020, 11, 497. [Google Scholar] [CrossRef]
- Al-Omari, A.A.; Yamani, Z.H.; Nguyen, H.L. Electrocatalytic CO2 reduction: From homogeneous catalysts to heterogeneous-based reticular chemistry. Molecules 2018, 23, 2835. [Google Scholar] [CrossRef]
- Barcelos, M.M.; Vasconcellos, M.D.L.S.; Ribeiro, J. Recent Progress in Electrochemical CO2 Reduction at Different Electrocatalyst Materials. Processes 2024, 12, 303. [Google Scholar] [CrossRef]
- Tian, J.; Xu, W.; Gao, J.; Zhu, T.; Xu, G.; Zhong, Z.; Su, F. Electrocatalytic and Photocatalytic CO2 Methanation: From Reaction Fundamentals to Catalyst Developments. ChemCatChem 2024, 16, e202301406. [Google Scholar] [CrossRef]
- Lei, K.; Wang, D.; Ye, L.; Kou, M.; Deng, Y.; Ma, Z.; Wang, L.; Kong, Y. A Metal-Free Donor–Acceptor Covalent Organic Framework Photocatalyst for Visible-Light-Driven Reduction of CO2 with H2O. ChemSusChem 2020, 13, 1725–1729. [Google Scholar] [CrossRef] [PubMed]
- Adeola, A.O.; Ighalo, J.O.; Kyesmen, P.I.; Nomngongo, P.N. Metal-Organic Polyhedra (MOPs) as emerging class of metal-organic frameworks for CO2 photocatalytic conversions: Current trends and future outlook. J. CO2 Util. 2024, 80, 102664. [Google Scholar] [CrossRef]
- Saadh, M.J.; Mustafa, M.A.; Altalbawy, F.M.A.; Kaur, M.; Sharma, R.; Juraev, N.; Ghazy, H.; Abdulwahid, A.S.; Muften, N.F.; Saud, H.R.; et al. Incorporation anthracene and Cu to NH2-Zr-UiO-67 metal-organic framework: Introducing the simultaneous selectivity and efficiency in photocatalytic CO2 reduction to ethanol. J. Mol. Struct. 2024, 1318, 139329. [Google Scholar] [CrossRef]
- Wang, Z.; Fei, H.; Wu, Y.N. Unveiling Advancements: Trends and Hotspots of Metal-Organic Frameworks in Photocatalytic CO2 Reduction. ChemSusChem 2024, e202400504. [Google Scholar] [CrossRef]
- Le, C.V.; Yoon, H. Advances in the Use of Conducting Polymers for Healthcare Monitoring. Int. J. Mol. Sci. 2024, 25, 1564. [Google Scholar] [CrossRef]
- Shahsavari, M.; Jahani, P.M.; Sheikhshoaie, I.; Tajik, S.; Afshar, A.A.; Askari, M.B.; Salarizadeh, P.; Di Bartolomeo, A.; Beitollahi, H. Green Synthesis of Zeolitic Imidazolate Frameworks: A Review of Their Characterization and Industrial and Medical Applications. Materials 2022, 15, 447. [Google Scholar] [CrossRef]
- Sabzehmeidani, M.M.; Kazemzad, M. Recent advances in surface-mounted metal–organic framework thin film coatings for biomaterials and medical applications: A review. Biomater. Res. 2023, 27, 115. [Google Scholar] [CrossRef] [PubMed]
- Paramshetti, S.; Angolkar, M.; Al Fatease, A.; Alshahrani, S.M.; Hani, U.; Garg, A.; Ravi, G.; Osmani, R.A.M. Revolutionizing Drug Delivery and Therapeutics: The Biomedical Applications of Conductive Polymers and Composites-Based Systems. Pharmaceutics 2023, 15, 1204. [Google Scholar] [CrossRef]
- Pan, Y.; Zhang, J.; Guo, X.; Li, Y.; Li, L.; Pan, L. Recent Advances in Conductive Polymers-Based Electrochemical Sensors for Biomedical and Environmental Applications. Polymers 2024, 16, 1597. [Google Scholar] [CrossRef]
- Ding, S.Y.; Wang, W. Covalent organic frameworks (COFs): From design to applications. Chem. Soc. Rev. 2013, 42, 548–568. [Google Scholar] [CrossRef] [PubMed]
- Tian, J.; Zhang, W. Synthesis, self-assembly and applications of functional polymers based on porphyrins. Prog. Polym. Sci. 2019, 95, 65–117. [Google Scholar] [CrossRef]
- Geng, K.; He, T.; Liu, R.; Dalapati, S.; Tan, K.T.; Li, Z.; Tao, S.; Gong, Y.; Jiang, Q.; Jiang, D. Covalent Organic Frameworks: Design, Synthesis, and Functions. Chem. Rev. 2020, 120, 8814–8933. [Google Scholar] [CrossRef]
- Guo, J.; Xu, Y.; Jin, S.; Chen, L.; Kaji, T.; Honsho, Y.; Addicoat, M.A.; Kim, J.; Saeki, A.; Ihee, H.; et al. Conjugated organic framework with three-dimensionally ordered stable structure and delocalized π clouds. Nat. Commun. 2013, 4, 2736. [Google Scholar] [CrossRef]
- Xu, F.; Jin, S.; Zhong, H.; Wu, D.; Yang, X.; Chen, X.; Wei, H.; Fu, R.; Jiang, D. Electrochemically active, crystalline, mesoporous covalent organic frameworks on carbon nanotubes for synergistic lithium-ion battery energy storage. Sci. Rep. 2015, 5, 8225. [Google Scholar] [CrossRef]
- Dalapati, S.; Addicoat, M.; Jin, S.; Sakurai, T.; Gao, J.; Xu, H.; Irle, S.; Seki, S.; Jiang, D. Rational design of crystalline supermicroporous covalent organic frameworks with triangular topologies. Nat. Commun. 2015, 6, 7786. [Google Scholar] [CrossRef]
- Bindu, M.; Periyat, P. A review on fine-tuning of energy storage characteristics of conducting polymers. Mater. Adv. 2023, 4, 2730–2769. [Google Scholar] [CrossRef]
- Yang, Y.; He, D.; Feng, X.; Xiao, X. Low-dimension confinement effect in COF-based hetero-photocatalyst for energy-conversion application. SmartMat 2024, 5, e1223. [Google Scholar] [CrossRef]
- Feng, X.; Ding, X.; Chen, L.; Wu, Y.; Liu, L.; Addicoat, M.; Irle, S.; Dong, Y.; Jiang, D. Two-dimensional artificial light-harvesting antennae with predesigned high-order structure and robust photosensitising activity. Sci. Rep. 2016, 6, 32944. [Google Scholar] [CrossRef]
- Chen, X.; Addicoat, M.; Jin, E.; Xu, H.; Hayashi, T.; Xu, F.; Huang, N.; Irle, S.; Jiang, D. Designed synthesis of double-stage two-dimensional covalent organic frameworks. Sci. Rep. 2015, 5, 14650. [Google Scholar] [CrossRef] [PubMed]
- Endo, K.; Raza, A.; Yao, L.; Van Gele, S.; Rodríguez-Camargo, A.; Vignolo-González, H.A.; Grunenberg, L.; Lotsch, B.V. Downsizing Porphyrin Covalent Organic Framework Particles Using Protected Precursors for Electrocatalytic CO2 Reduction. Adv. Mater. 2024, 36, 2313197. [Google Scholar] [CrossRef] [PubMed]
- Pourebrahimi, S.; Pirooz, M.; De Visscher, A.; Peslherbe, G.H. Highly efficient and reversible iodine capture utilizing amorphous conjugated covalent triazine-based porous polymers: Experimental and computational studies. J. Environ. Chem. Eng. 2022, 10, 107805. [Google Scholar] [CrossRef]
- Evans, A.M.; Ryder, M.R.; Ji, W.; Strauss, M.J.; Corcos, A.R.; Vitaku, E.; Flanders, N.C.; Bisbey, R.P.; Dichtel, W.R. Trends in the thermal stability of two-dimensional covalent organic frameworks. Faraday Discuss. 2021, 225, 226–240. [Google Scholar] [CrossRef] [PubMed]
- Yu, J.; Luo, L.; Shang, H.; Sun, B. Rational Fabrication of Ionic Covalent Organic Frameworks for Chemical Analysis Applications. Biosensors 2023, 13, 636. [Google Scholar] [CrossRef] [PubMed]
- Zhao, X.; Chen, Y.; Wang, Z.; Zhang, Z. Design and application of covalent organic frameworks for ionic conduction. Polym. Chem. 2021, 12, 4874–4894. [Google Scholar] [CrossRef]
- Nicolaides, C.P.; Coville, N.J. The hydrogenation of olefins using a polymer supported ruthenium complex. J. Organomet. Chem. 1981, 222, 285–298. [Google Scholar] [CrossRef]
- Nicolaides, C.P.; Coville, N.J. Polymer-supported catalysts. Part 2. Polymer-supported ruthenium acetate as an olefin hydrogenation catalyst1. J. Mol. Catal. 1984, 24, 375–387. [Google Scholar] [CrossRef]
- Pomogailo, A.D.; Savostyanov, V.S. Advances in the Synthesis and Polymerization of Metal-Containing Monomers. J. Macromol. Sci. Pol. Rev. 1985, 25, 375–479. [Google Scholar] [CrossRef]
- Arshady, R.; Ugi, I. Synthesis and characterization of polymer supports carrying isocyano groups. Polymer 1990, 31, 1164–1169. [Google Scholar] [CrossRef]
- Arshady, R.; Zecca, M.; Corain, B. Polymeric isocyanides: Synthesis, properties and applications. React. Polym. 1993, 20, 147–173. [Google Scholar] [CrossRef]
- Achar, N.B.; Fohlen, G.M.; Parker, J.A. Metal Phthalocyanine Polymers. U.S. Patent 4,450,268, 22 May 1984. [Google Scholar]
- Poulos, T.L. Heme enzyme structure and function. Chem. Rev. 2014, 114, 3919–3962. [Google Scholar] [CrossRef]
- Király, N.; Zeleňák, V.; Zelenka, T.; Almáši, M.; Kuchár, J. A New Member of the Metal-Porphyrin Frameworks Family: Structure, Physicochemical Properties, Hydrogen and Carbon Dioxide Adsorption. ChemistryOpen 2024, 13, e202300100. [Google Scholar] [CrossRef]
- Sherrington, D.C. Polymer-supported metal complex oxidation catalysts. Pure Appl. Chem. 1988, 60, 401–414. [Google Scholar] [CrossRef]
- Sharipov, A.K.; Kirichenko, Y.V. Cobalt polyphthalocyanine as a catalyst for mercaptan oxidation. Chem. Technol. Fuels Oils 1999, 35, 39–42. [Google Scholar] [CrossRef]
- MacKintosh, H.J.; Budd, P.M.; McKeown, N.B. Catalysis by microporous phthalocyanine and porphyrin network polymers. J. Mater. Chem. 2008, 18, 573–578. [Google Scholar] [CrossRef]
- Sorokin, A.B. Phthalocyanine metal complexes in catalysis. Chem. Rev. 2013, 113, 8152–8191. [Google Scholar] [CrossRef]
- Monteiro, C.J.P.; Faustino, M.A.F.; Neves, M.G.P.M.S.; Simões, M.M.Q.; Sanjust, E. Metallophthalocyanines as catalysts in aerobic oxidation. Catalysts 2021, 11, 122. [Google Scholar] [CrossRef]
- Kaneda, K.; Bergbreiter, D.E. Development of Organic Polymer-bound Metal Complex Catalysts. Sekiyu Gakkaishi (J. Jap. Pet. Inst.) 1993, 36, 268–281. [Google Scholar] [CrossRef][Green Version]
- Mastrorilli, P.; Nobile, C.F. Supported catalysts from polymerizable transition metal complexes. Coord. Chem. Rev. 2004, 248, 377–395. [Google Scholar] [CrossRef]
- Chauhan, N.P.S.; Chundawat, N.S. Inorganic and Organometallic Polymers; De Gruyter: Berlin, Germany, 2019; pp. 1–144. [Google Scholar]
- Liu, F.; Liu, X.; Abdiryim, T.; Gu, H.; Astruc, D. Heterometallic macromolecules: Synthesis, properties and multiple nanomaterial applications. Coord. Chem. Rev. 2024, 500, 215544. [Google Scholar] [CrossRef]
- Xuan, W.; Zhu, C.; Liu, Y.; Cui, Y. Mesoporous metal–organic framework materials. Chem. Soc. Rev. 2012, 41, 1677–1695. [Google Scholar] [CrossRef] [PubMed]
- Yaghi, O.M.; O’Keeffe, M.; Ockwig, N.W.; Chae, H.K.; Eddaoudi, M.; Kim, J. Reticular synthesis and the design of new materials. Nature 2003, 423, 705–714. [Google Scholar] [CrossRef] [PubMed]
- Ren, J.; Zhao, D. Recent Advances in Reticular Chemistry for Clean Energy, Global Warming, and Water Shortage Solutions. Adv. Funct. Mater. 2023, 13, 2307778. [Google Scholar] [CrossRef]
- Stock, N.; Biswas, S. Synthesis of Metal-Organic Frameworks (MOFs): Routes to Various MOF Topologies, Morphologies, and Composites. Chem. Rev. 2012, 112, 933–969. [Google Scholar] [CrossRef] [PubMed]
- Howarth, A.J.; Peters, A.W.; Vermeulen, N.A.; Wang, T.C.; Hupp, J.T.; Farha, O.K. Best practices for the synthesis, activation, and characterization of metal−organic frameworks. Chem. Mater. 2017, 29, 26–39. [Google Scholar] [CrossRef]
- Allmond, K.; Stone, J.; Harp, S.; Mujibur, K. Synthesis and Electrospraying of Nanoscale MOF (Metal Organic Framework) for High-Performance CO2 Adsorption Membrane. Nanoscale Res. Lett. 2017, 12, 6. [Google Scholar] [CrossRef]
- Xu, J.; Liu, J.; Li, Z.; Wang, X.; Wang, Z. Synthesis, structure and properties of Pd@MOF-808. J. Mater. Sci. 2019, 54, 12911–12924. [Google Scholar] [CrossRef]
- Zhang, X.; Chen, Z.; Liu, X.; Hanna, S.L.; Wang, X.; Taheri-Ledari, R.; Maleki, A.; Li, P.; Farha, O.K. A historical overview of the activation and porosity of metal-organic frameworks. Chem. Soc. Rev. 2020, 49, 7406–7427. [Google Scholar] [CrossRef]
- Wang, H.; Jiang, Y.; Han, R.; Liu, Q.; Liu, C. Facile preparation of Al/Mn bimetallic metal-organic frameworks for removing trace benzene indoor. Sep. Purif. Technol. 2025, 354, 128625. [Google Scholar] [CrossRef]
- Hou, X.; Sun, J.; Lian, M.; Peng, Y.; Jiang, D.; Xu, M.; Li, B.; Xu, Q. Emerging Synthetic Methods and Applications of MOF-Based Gels in Supercapacitors, Water Treatment, Catalysis, Adsorption, and Energy Storage. Macromol. Mater. Eng. 2023, 308, 2200469. [Google Scholar] [CrossRef]
- Vodyashkin, A.A.; Sergorodceva, A.V.; Kezimana, P.; Stanishevskiy, Y.M. Metal-Organic Framework (MOF)—A Universal Material for Biomedicine. Int. J. Mol. Sci. 2023, 24, 7819. [Google Scholar] [CrossRef]
- Payam, A.F.; Khalil, S.; Chakrabarti, S. Synthesis and Characterization of MOF-Derived Structures: Recent Advances and Future Perspectives. Small 2024, 20, 2310348. [Google Scholar] [CrossRef] [PubMed]
- AG, N. Metal-Organic Frameworks. Available online: https://novomof.com/technology/?utm_medium=ppc&utm_term=mof%20metal%20organic%20framework&utm_source=adwords&utm_campaign=Brand+protect&hsa_kw=mof%20metal%20organic%20framework&hsa_acc=9774660784&hsa_ad=659112166055&hsa_net=adwords&hsa_src=g&hsa_tgt=kwd-373441149831&hsa_grp=149799433672&hsa_mt=b&hsa_cam=20153328696&hsa_ver=3&gad_source=1&gclid=Cj0KCQjwtZK1BhDuARIsAAy2VztwTCXSZUCaAgqDTUSrlHFWJGNgCUPPTtHs4JtywxBPwt98wIt-TnEaAkfIEALw_wcB (accessed on 25 July 2024).
- Xu, R.; Chen, J.; Gao, Z.; Yan, W. (Eds.) From Zeolites to Porous MOF Materials—The 40th Anniversary of International Zeolite Conference, Proceedings of the 15th International Zeolite Conference, Beijing, China, 12–17 August 2007; Elsevier B.V.: Amsterdam, The Netherlands, 2007; Volume 170, p. 753. [Google Scholar]
- IZA International Commission on Metal-Organic Frameworks. Available online: https://mof-international.org/ (accessed on 23 July 2024).
- Bai, X.; Xie, Y.; Zhang, X.; Han, H.; Li, J.R. Evaluation of Open-Source Large Language Models for Metal-Organic Frameworks Research. J. Chem. Inf. Model. 2024, 64, 4958–4965. [Google Scholar] [CrossRef] [PubMed]
- Li, C.; Bao, L.; Ji, Y.; Tian, Z.; Cui, M.; Shi, Y.; Zhao, Z.; Wang, X. Combining machine learning and metal–organic frameworks research: Novel modeling, performance prediction, and materials discovery. Coord. Chem. Rev. 2024, 514, 215888. [Google Scholar] [CrossRef]
- Lumtec. Metal Organic Frameworks (MOF)/Covalent Organic Frameworks (COF); Lumtec, Ed.; Lumtec: Hsin-Chu, Taiwan, 2024; pp. 396–505. [Google Scholar]
- Usman, K.A.S.; Maina, J.W.; Seyedin, S.; Conato, M.T.; Payawan, L.M.; Dumée, L.F.; Razal, J.M. Downsizing metal–organic frameworks by bottom-up and top-down methods. NPG Asia Mater. 2020, 12, 58. [Google Scholar] [CrossRef]
- Altaf, A.; Hassan, S.; Pejcic, B.; Baig, N.; Hussain, Z.; Sohail, M. Recent progress in the design, synthesis and applications of chiral metal-organic frameworks. Front. Chem. 2022, 10, 1014248. [Google Scholar] [CrossRef]
- Assen, A.H.; Adil, K.; Cordova, K.E.; Belmabkhout, Y. The chemistry of metal–organic frameworks with face-centered cubic topology. Coord. Chem. Rev. 2022, 468, 214644. [Google Scholar] [CrossRef]
- Thakur, S.; Bharti, S. Unlocking the Potential of Metal–Organic Frameworks: A Review on Synthesis, Characterization, and Multifaceted Applications. J. Inorg. Organomet. Polym. Mater. 2024. [Google Scholar] [CrossRef]
- Bhindi, M.; Massengo, L.; Hammerton, J.; Derry, M.J.; Worrall, S.D. Structure Control Using Bioderived Solvents in Electrochemical Metal-Organic Framework Synthesis. Appl. Sci. 2023, 13, 720. [Google Scholar] [CrossRef]
- Chen, Z.; Kirlikovali, K.O.; Shi, L.; Farha, O.K. Rational design of stable functional metal-organic frameworks. Mater. Horiz. 2023, 10, 3257–3268. [Google Scholar] [CrossRef] [PubMed]
- Zhang, B.; Zhang, J.; Liu, C.; Sang, X.; Peng, L.; Ma, X.; Wu, T.; Han, B.; Yang, G. Solvent determines the formation and properties of metal-organic frameworks. RSC Adv. 2015, 5, 37691–37696. [Google Scholar] [CrossRef]
- Raptopoulou, C.P. Metal-organic frameworks: Synthetic methods and potential applications. Materials 2021, 14, 310. [Google Scholar] [CrossRef] [PubMed]
- Azbell, T.J.; Pitt, T.A.; Jerozal, R.T.; Mandel, R.M.; Milner, P.J. Simplifying the Synthesis of Metal-Organic Frameworks. Acc. Mater. Res. 2023, 4, 867–878. [Google Scholar] [CrossRef] [PubMed]
- Zhou, F.; Chen, Y.; Zhang, Z.; Gu, Z.; Sun, Y.; Tong, M.; Yang, Q.; Dong, W.; Pan, Y.; Qiao, Z.; et al. The effect of different solvents on the formation of large-area MOF membranes. AlChE J. 2024, 70, e18455. [Google Scholar] [CrossRef]
- Iram, G.; Iqbal, M.A.; Zafar, A.; Majeed, A.; Hayat, S.; Nawaz, M. Advanced synthetic routes of metal organic frameworks and their diverse applications. Rev. Inorg. Chem. 2024. [Google Scholar] [CrossRef]
- Mahony, C.T.; Farrell, R.A.; Goshal, T.; Holmes, J.D.; Morris, M.A. The Thermodynamics of Defect Formation in Self-Assembled Systems. In Thermodynamics—Systems in Equilibrium and Non-Equilibrium; Piraján, J.C.M., Ed.; InTech Europe: Rijeka, Croatia, 2011; pp. 279–306. [Google Scholar]
- Sholl, D.S.; Lively, R.P. Defects in Metal-Organic Frameworks: Challenge or Opportunity? J. Phys. Chem. Lett. 2015, 6, 3437–3444. [Google Scholar] [CrossRef]
- Bennett, T.D.; Cheetham, A.K.; Fuchs, A.H.; Coudert, F.X. Interplay between defects, disorder and flexibility in metal-organic frameworks. Nat. Chem. 2016, 9, 11–16. [Google Scholar] [CrossRef]
- Lollar, C.T.; Qin, J.S.; Pang, J.; Yuan, S.; Becker, B.; Zhou, H.C. Interior Decoration of Stable Metal-Organic Frameworks. Langmuir 2018, 34, 13795–13807. [Google Scholar] [CrossRef]
- Daliran, S.; Blanco, M.; Dhakshinamoorthy, A.; Oveisi, A.R.; Alemán, J.; García, H. Defects and Disorder in Covalent Organic Frameworks for Advanced Applications. Adv. Funct. Mater. 2024, 34, 2312912. [Google Scholar] [CrossRef]
- Silva, P.; Vilela, S.M.F.; Tomé, J.P.C.; Almeida Paz, F.A. Multifunctional metal-organic frameworks: From academia to industrial applications. Chem. Soc. Rev. 2015, 44, 6774–6803. [Google Scholar] [CrossRef] [PubMed]
- Butova, V.V.; Soldatov, M.A.; Guda, A.A.; Lomachenko, K.A.; Lamberti, C. Metal-organic frameworks: Structure, properties, methods of synthesis and characterization. Russ. Chem. Rev. 2016, 85, 280–307. [Google Scholar] [CrossRef]
- Makal, T.A.; Li, J.R.; Lu, W.; Zhou, H.C. Methane storage in advanced porous materials. Chem. Soc. Rev. 2012, 41, 7761–7779. [Google Scholar] [CrossRef] [PubMed]
- Deng, H.; Grunder, S.; Cordova, K.E.; Valente, C.; Furukawa, H.; Hmadeh, M.; Gándara, F.; Whalley, A.C.; Liu, Z.; Asahina, S.; et al. Large-pore apertures in a series of metal-organic frameworks. Science 2012, 336, 1018–1023. [Google Scholar] [CrossRef]
- Jeong, S.; Seong, J.; Moon, S.W.; Lim, J.; Baek, S.B.; Min, S.K.; Lah, M.S. Spatial distribution modulation of mixed building blocks in metal-organic frameworks. Nat. Commun. 2022, 13, 1027. [Google Scholar] [CrossRef] [PubMed]
- Horcajada, P.; Salles, F.; Wuttke, S.; Devic, T.; Heurtaux, D.; Maurin, G.; Vimont, A.; Daturi, M.; David, O.; Magnier, E.; et al. How linker’s modification controls swelling properties of highly flexible iron(III) dicarboxylates MIL-88. J. Am. Chem. Soc. 2011, 133, 17839–17847. [Google Scholar] [CrossRef]
- Li, P.Z.; Maeda, Y.; Xu, Q. Top-down fabrication of crystalline metal-organic framework nanosheets. Chem. Commun. 2011, 47, 8436–8438. [Google Scholar] [CrossRef]
- Ruiz-Zambrana, C.L.; Malankowska, M.; Coronas, J. Metal organic framework top-down and bottom-up patterning techniques. Dalton Trans. 2020, 49, 15139–15148. [Google Scholar] [CrossRef]
- Zelenka, T.; Baláž, M.; Férová, M.; Diko, P.; Bednarčík, J.; Királyová, A.; Zauška, Ľ.; Bureš, R.; Sharda, P.; Király, N.; et al. The influence of HKUST-1 and MOF-76 hand grinding/mechanical activation on stability, particle size, textural properties and carbon dioxide sorption. Sci. Rep. 2024, 14, 15386. [Google Scholar] [CrossRef]
- Cheng, S.; Xie, P.; Yu, Z.; Gu, R.; Su, Y. Enhanced adsorption performance of UiO-66 via modification with functional groups and integration into hydrogels. Environ. Res. 2022, 212, 113354. [Google Scholar] [CrossRef]
- Brown, N.; Alsudairy, Z.; Behera, R.; Akram, F.; Chen, K.; Smith-Petty, K.; Motley, B.; Williams, S.; Huang, W.; Ingram, C.; et al. Green mechanochemical synthesis of imine-linked covalent organic frameworks for high iodine capture. Green Chem. 2023, 25, 6287–6296. [Google Scholar] [CrossRef]
- Li, W.B.; Cheng, Y.Z.; Yang, D.H.; Liu, Y.W.; Han, B.H. Fluorine-Containing Covalent Organic Frameworks: Synthesis and Application. Macromol. Rapid Commun. 2023, 44, 2200778. [Google Scholar] [CrossRef] [PubMed]
- Singh, J.; Goel, N.; Verma, R.; Singh, R.P. Advanced Functional Metal-Organic Frameworks: Fundamentals and Applications; CRC Press: Boca Raton, FL, USA, 2023; pp. 1–318. [Google Scholar]
- Xiao, C.; Tian, J.; Chen, Q.; Hong, M. Water-stable metal-organic frameworks (MOFs): Rational construction and carbon dioxide capture. Chem. Sci. 2024, 15, 1570–1610. [Google Scholar] [CrossRef] [PubMed]
- Farrusseng, D. Metal-Organic Frameworks Applications from Catalysis to Gas Storage Preface; Wiley-VCH Verlag & Co. KGaA: Berlin, Germany, 2011; p. 391. [Google Scholar]
- Petit, C. Present and future of MOF research in the field of adsorption and molecular separation. Curr. Opin. Chem. Eng. 2018, 20, 132–142. [Google Scholar] [CrossRef]
- Cong, S.; Wang, J.; Wang, Z.; Liu, X. Polybenzimidazole (PBI) and benzimidazole-linked polymer (BILP) membranes. Green Chem. Eng. 2021, 2, 44–56. [Google Scholar] [CrossRef]
- Jun, B.M.; Al-Hamadani, Y.A.J.; Son, A.; Park, C.M.; Jang, M.; Jang, A.; Kim, N.C.; Yoon, Y. Applications of metal-organic framework based membranes in water purification: A review. Sep. Purif. Technol. 2020, 247, 116947. [Google Scholar] [CrossRef]
- Paul, R.C.; Baidya, O.B.; Kumar, R.C.; Kapoor, R. Zirconium(IV) carboxylates. Aust. J. Chem. 1976, 29, 1605–1607. [Google Scholar] [CrossRef][Green Version]
- Todaro, M.; Buscarino, G.; Sciortino, L.; Alessi, A.; Messina, F.; Taddei, M.; Ranocchiari, M.; Cannas, M.; Gelardi, F.M. Decomposition Process of Carboxylate MOF HKUST-1 Unveiled at the Atomic Scale Level. J. Phys. Chem. C 2016, 120, 12879–12889. [Google Scholar] [CrossRef]
- Healy, C.; Patil, K.M.; Wilson, B.H.; Hermanspahn, L.; Harvey-Reid, N.C.; Howard, B.I.; Kleinjan, C.; Kolien, J.; Payet, F.; Telfer, S.G.; et al. The thermal stability of metal-organic frameworks. Coord. Chem. Rev. 2020, 419, 213388. [Google Scholar] [CrossRef]
- Park, K.S.; Ni, Z.; Côté, A.P.; Choi, J.Y.; Huang, R.; Uribe-Romo, F.J.; Chae, H.K.; O’Keeffe, M.; Yaghi, O.M. Exceptional chemical and thermal stability of zeolitic imidazolate frameworks. Proc. Natl. Acad. Sci. USA 2006, 103, 10186–10191. [Google Scholar] [CrossRef]
- De Toni, M.; Jonchiere, R.; Pullumbi, P.; Coudert, F.X.; Fuchs, A.H. How can a hydrophobic mof be water-unstable? Insight into the hydration mechanism of IRMOFs. ChemPhysChem 2012, 13, 3497–3503. [Google Scholar] [CrossRef] [PubMed]
- Liu, X.; Wang, X.; Kapteijn, F. Water and Metal-Organic Frameworks: From Interaction toward Utilization. Chem. Rev. 2020, 120, 8303–8377. [Google Scholar] [CrossRef] [PubMed]
- Alkhatib, N.; Naleem, N.; Kirmizialtin, S. How Does MOF-303 Achieve High Water Uptake and Facile Release Capacity? J. Phys. Chem. C 2024, 128, 8384–8394. [Google Scholar] [CrossRef]
- van der Veen, M.A.; Canossa, S.; Wahiduzzaman, M.; Nenert, G.; Frohlich, D.; Rega, D.; Reinsch, H.; Shupletsov, L.; Markey, K.; De Vos, D.E.; et al. Confined Water Cluster Formation in Water Harvesting by Metal–Organic Frameworks: CAU-10-H versus CAU-10-CH3. Adv. Mater. 2024, 36, 2210050. [Google Scholar] [CrossRef] [PubMed]
- Meilikhov, M.; Yusenko, K.; Esken, D.; Turner, S.; Van Tendeloo, G.; Fischer, R.A. Metals@MOFs—Loading MOFs with metal nanoparticles for hybrid functions. Eur. J. Inorg. Chem. 2010, 3701–3714. [Google Scholar] [CrossRef]
- Xiang, W.; Zhang, Y.; Lin, H.; Liu, C.J. Nanoparticle/metal-organic framework composites for catalytic applications: Current status and perspective. Molecules 2017, 22, 2103. [Google Scholar] [CrossRef] [PubMed]
- Wang, X.; Wang, Y.; Ying, Y. Recent advances in sensing applications of metal nanoparticle/metal–organic framework composites. TrAC Trends Anal. Chem. 2021, 143, 116395. [Google Scholar] [CrossRef]
- Du, Z.; Chen, F.; Fang, S.; Yang, X.; Ge, Y.; Shurtz, K.; Zhou, H.C.; Hu, Y.H.; Li, Y. Engineering Bimetallic Ni-Cu Nanoparticles Confined in MOF-Derived Nanocomposite for Efficient Dry Reforming of Methane. ES. Energy. Environ. 2024, 23, 1097. [Google Scholar] [CrossRef]
- Li, B.; Chrzanowski, M.; Zhang, Y.; Ma, S. Applications of metal-organic frameworks featuring multi-functional sites. Coord. Chem. Rev. 2016, 307, 106–129. [Google Scholar] [CrossRef]
- Wang, X.; Lan, P.C.; Ma, S. Metal-Organic Frameworks for Enzyme Immobilization: Beyond Host Matrix Materials. ACS Cent. Sci. 2020, 6, 1497–1506. [Google Scholar] [CrossRef]
- Man, T.; Xu, C.; Liu, X.Y.; Li, D.; Tsung, C.K.; Pei, H.; Wan, Y.; Li, L. Hierarchically encapsulating enzymes with multi-shelled metal-organic frameworks for tandem biocatalytic reactions. Nat. Commun. 2022, 13, 305. [Google Scholar] [CrossRef] [PubMed]
- Silva, A.R.M.; Alexandre, J.Y.N.H.; Souza, J.E.S.; Neto, J.G.L.; de Sousa Júnior, P.G.; Rocha, M.V.P.; dos Santos, J.C.S. The Chemistry and Applications of Metal–Organic Frameworks (MOFs) as Industrial Enzyme Immobilization Systems. Molecules 2022, 27, 4529. [Google Scholar] [CrossRef] [PubMed]
- Saddique, Z.; Imran, M.; Javaid, A.; Rizvi, N.B.; Akhtar, M.N.; Iqbal, H.M.N.; Bilal, M. Enzyme-Linked Metal Organic Frameworks for Biocatalytic Degradation of Antibiotics. Catal. Lett. 2024, 154, 81–93. [Google Scholar] [CrossRef]
- Dutta, A.; Pan, Y.; Liu, J.Q.; Kumar, A. Multicomponent isoreticular metal-organic frameworks: Principles, current status and challenges. Coord. Chem. Rev. 2021, 445, 214074. [Google Scholar] [CrossRef]
- Sadakiyo, M. Support effects of metal-organic frameworks in heterogeneous catalysis. Nanoscale 2022, 14, 3398–3406. [Google Scholar] [CrossRef]
- Joyner, R.W.; Pendry, J.B.; Saldin, D.K.; Tennison, S.R. Metal-support interactions in heterogeneous catalysis. Surf. Sci. 1984, 138, 84–94. [Google Scholar] [CrossRef]
- Tauster, S.J. Strong Metal-Support Interactions: Facts and Uncertainties; ACS Symp. Ser.; ACS: Boca Raton, FL, USA, 1986; pp. 1–9. [Google Scholar]
- Luo, Z.; Zhao, G.; Pan, H.; Sun, W. Strong Metal–Support Interaction in Heterogeneous Catalysts. Adv. Energy Mater. 2022, 12, 2201395. [Google Scholar] [CrossRef]
- Xu, M.; Peng, M.; Tang, H.; Zhou, W.; Qiao, B.; Ma, D. Renaissance of Strong Metal-Support Interactions. J. Am. Chem. Soc. 2024, 146, 2290–2307. [Google Scholar] [CrossRef]
- Klajn, K.; Gozdek, T.; Bieliński, D.M. Metal Organic Frameworks: Current State and Analysis of Their Use as Modifiers of the Vulcanization Process and Properties of Rubber. Materials 2023, 16, 7631. [Google Scholar] [CrossRef]
- Das, K.K.; Paramanik, L.; Parida, K. An insight to band-bending mechanism of polypyrrole sensitized B-rGO/ZnFe2O4 p-n heterostructure with dynamic charge transfer for photocatalytic applications. Int. J. Hydrogen Energy 2021, 46, 24484–24500. [Google Scholar] [CrossRef]
- López, J.; Chávez, A.M.; Rey, A.; Álvarez, P.M. Insights into the stability and activity of mil-53(Fe) in solar photocatalytic oxidation processes in water. Catalysts 2021, 11, 448. [Google Scholar] [CrossRef]
- Yang, M.; Mao, Y.; Wang, B.; Lin, L.; Wang, Y.; Zhang, L.; Jiang, Y.; Zhao, M.; Chen, H.; Zhang, Y. Heterometallic Mg@Fe-MIL-101/TpPa-1-COF grown on stainless steel mesh: Enhancing photo-degradation, fluorescent detection and toxicity assessment for tetracycline hydrochloride. Colloids Surf. A Physicochem. Eng. Asp. 2021, 631, 127725. [Google Scholar] [CrossRef]
- Chen, Y.; Zhang, Y.; Huo, J. A highly photosensitive covalent organic framework with pyrene skeleton as metal-free catalyst for arylboronic acid hydroxylation. J. Solid State Chem. 2022, 310, 123047. [Google Scholar] [CrossRef]
- de Siqueira, L.B.D.O.; dos Santos Matos, A.P.; da Silva, M.R.M.; Pinto, S.R.; Santos-Oliveira, R.; Ricci-Júnior, E. Pharmaceutical nanotechnology applied to phthalocyanines for the promotion of antimicrobial photodynamic therapy: A literature review. Photodiagn. Photodyn. Ther. 2022, 39, 102896. [Google Scholar] [CrossRef] [PubMed]
- Lv, S.W.; Liu, J.M.; Li, C.Y.; Zhao, N.; Wang, Z.H.; Wang, S. Two novel MOFs@COFs hybrid-based photocatalytic platforms coupling with sulfate radical-involved advanced oxidation processes for enhanced degradation of bisphenol A. Chemosphere 2020, 243, 125378. [Google Scholar] [CrossRef]
- Sun, J.; Abednatanzi, S.; Van Der Voort, P.; Liu, Y.Y.; Leus, K. Pom@mof hybrids: Synthesis and applications. Catalysts 2020, 10, 578. [Google Scholar] [CrossRef]
- Butova, V.V.; Burachevskaya, O.A.; Podshibyakin, V.A.; Shepelenko, E.N.; Tereshchenko, A.A.; Shapovalova, S.O.; Il’in, O.I.; Bren’, V.A.; Soldatov, A.V. Photoswitchable zirconium mof for light-driven hydrogen storage. Polymers 2021, 13, 4052. [Google Scholar] [CrossRef]
- Yang, D.H.; Tao, Y.; Ding, X.; Han, B.H. Porous organic polymers for electrocatalysis. Chem. Soc. Rev. 2022, 51, 761–791. [Google Scholar] [CrossRef]
- Sportelli, G.; Marchi, M.; Fornasiero, P.; Filippini, G.; Franco, F.; Melchionna, M. Photoelectrocatalysis for Hydrogen Evolution Ventures into the World of Organic Synthesis. Glob. Chall. 2024, 8, 2400012. [Google Scholar] [CrossRef] [PubMed]
- Yergaziyeva, G.; Kuspanov, Z.; Mambetova, M.; Khudaibergenov, N.; Makayeva, N.; Daulbayev, C. Advancements in catalytic, photocatalytic, and electrocatalytic CO2 conversion processes: Current trends and future outlook. J. CO2 Util. 2024, 80, 102682. [Google Scholar] [CrossRef]
- Liu, Y.; Lyu, S.; Wen, F.; Nie, W.; Wang, S. Polymer-encapsulated metal complex catalysts: An emerging and efficient platform for electrochemical CO2 reduction. J. Mater. Sci. Technol. 2024, 172, 33–50. [Google Scholar] [CrossRef]
- Berber, M.R.; Alenad, A.M.; Althubiti, N.A.; Alrowaili, Z.A.; Zahran, Z.N.; Yagi, M. Bipyridine-based polybenzimidazole as a nitrogen-rich ionomer and a platinum nanoparticle support for enhanced fuel cell performance. Fuel 2022, 312, 122954. [Google Scholar] [CrossRef]
- Ding, L.; Wang, L. Preparation of novel structure polybenzimidazole with thiophene ring for high performance proton conducting membrane in vanadium flow battery. J. Power Sources 2023, 564, 232858. [Google Scholar] [CrossRef]
- Li, C.; Guo, H.; Wu, N.; Hao, Y.; Cao, Y.; Chen, Y.; Zhang, H.; Yang, F.; Yang, W. Nickel sulfide and cobalt-containing carbon nanoparticles formed from ZIF-67@ZIF-8 as advanced electrode materials for high-performance asymmetric supercapacitors. Colloids Surf. A Physicochem. Eng. Asp. 2022, 648, 129241. [Google Scholar] [CrossRef]
- Oar-Arteta, L.; Wezendonk, T.; Sun, X.; Kapteijn, F.; Gascon, J. Metal organic frameworks as precursors for the manufacture of advanced catalytic materials. Mater. Chem. Front. 2017, 1, 1709–1745. [Google Scholar] [CrossRef]
- Remya, V.R.; Kurian, M. Synthesis and catalytic applications of metal–organic frameworks: A review on recent literature. Int. Nano Lett. 2019, 9, 17–29. [Google Scholar] [CrossRef]
- Yang, D.; Gates, B.C. Catalysis by Metal Organic Frameworks: Perspective and Suggestions for Future Research. ACS Catal. 2019, 9, 1779–1798. [Google Scholar] [CrossRef]
- Ding, M.; Cai, X.; Jiang, H.L. Improving MOF stability: Approaches and applications. Chem. Sci. 2019, 10, 10209–10230. [Google Scholar] [CrossRef]
- Pramanik, B.; Sahoo, R.; Das, M.C. pH-stable MOFs: Design principles and applications. Coord. Chem. Rev. 2023, 493, 215301. [Google Scholar] [CrossRef]
- Mosca, L.P.L.; Gapan, A.B.; Angeles, R.A.; Lopez, E.C.R. Stability of Metal–Organic Frameworks: Recent Advances and Future Trends †. Eng. Proc. 2023, 56, 146. [Google Scholar] [CrossRef]
- Bauer, G.; Ongari, D.; Tiana, D.; Gäumann, P.; Rohrbach, T.; Pareras, G.; Tarik, M.; Smit, B.; Ranocchiari, M. Metal-organic frameworks as kinetic modulators for branched selectivity in hydroformylation. Nat. Commun. 2020, 11, 1059. [Google Scholar] [CrossRef] [PubMed]
- Wang, S.; Gao, Q.; Dong, X.; Wang, Q.; Niu, Y.; Chen, Y.; Jiang, H. Enhancing the water resistance of Mn-MOF-74 by modification in low temperature NH3-SCR. Catalysts 2019, 9, 1004. [Google Scholar] [CrossRef]
- Eren, E.O.; Özkan, N.; Devrim, Y. Preparation of polybenzimidazole/ZIF-8 and polybenzimidazole/UiO-66 composite membranes with enhanced proton conductivity. Int. J. Hydrogen Energy 2022, 47, 19690–19701. [Google Scholar] [CrossRef]
- Pascanu, V.; González Miera, G.; Inge, A.K.; Martín-Matute, B. Metal-Organic Frameworks as Catalysts for Organic Synthesis: A Critical Perspective. J. Am. Chem. Soc. 2019, 141, 7223–7234. [Google Scholar] [CrossRef] [PubMed]
- Campbell, A.; Alsudairy, Z.; Dun, C.; Akram, F.; Smith-Petty, K.; Ambus, A.; Bingham, D.; Dinadayalane, T.; Ingram, C.; Li, X. Dioxin-Linked Covalent Organic Framework-Supported Palladium Complex for Rapid Room-Temperature Suzuki–Miyaura Coupling Reaction. Crystals 2023, 13, 1268. [Google Scholar] [CrossRef]
- Dutta, S.; More, Y.D.; Fajal, S.; Mandal, W.; Dam, G.K.; Ghosh, S.K. Ionic metal-organic frameworks (iMOFs): Progress and prospects as ionic functional materials. Chem. Commun. 2022, 58, 13676–13698. [Google Scholar] [CrossRef] [PubMed]
- Karmakar, A.; Desai, A.V.; Ghosh, S.K. Ionic metal-organic frameworks (iMOFs): Design principles and applications. Coord. Chem. Rev. 2016, 307, 313–341. [Google Scholar] [CrossRef]
- Mosleh, I.; Khosropour, A.R.; Aljewari, H.; Carbrello, C.; Qian, X.; Wickramasinghe, R.; Abbaspourrad, A.; Beitle, R. Cationic Covalent Organic Framework as an Ion Exchange Material for Efficient Adsorptive Separation of Biomolecules. ACS Appl. Mater. Interfaces 2021, 13, 35019–35025. [Google Scholar] [CrossRef]
- Jin, L.; Zhao, X.; Ye, J.; Qian, X.; Dong, M. MOF-derived magnetic Ni-carbon submicrorods for the catalytic reduction of 4-nitrophenol. Catal. Commun. 2018, 107, 43–47. [Google Scholar] [CrossRef]
- Cirujano, F.G.; Leo, P.; Vercammen, J.; Smolders, S.; Orcajo, G.; De Vos, D.E. MOFs Extend the Lifetime of Pd(II) Catalyst for Room Temperature Alkenylation of Enamine-Like Arenes. Adv. Synth. Catal. 2018, 360, 3872–3876. [Google Scholar] [CrossRef]
- Pander, M.; Janeta, M.; Bury, W. Quest for an efficient 2-in-1 MOF-based catalytic system for cycloaddition of CO2 to epoxides under mild conditions. ACS Appl. Mater. Interfaces 2021, 13, 8344–8352. [Google Scholar] [CrossRef] [PubMed]
- Yap, M.H.; Fow, K.L.; Chen, G.Z. Synthesis and applications of MOF-derived porous nanostructures. Green Energy Environ. 2017, 2, 218–245. [Google Scholar] [CrossRef]
- Xiang, B.L.; Fu, L.; Li, Y.; Liu, Y. Preparation of Fe(II)/MOF-5 Catalyst for Highly Selective Catalytic Hydroxylation of Phenol by Equivalent Loading at Room Temperature. J. Chem. 2019, 2019, 8950630. [Google Scholar] [CrossRef]
- Sun, W.; Li, X.; Sun, C.; Huang, Z.; Xu, H.; Shen, W. Insights into the pyrolysis processes of Ce-MOFs for preparing highly active catalysts of toluene combustion. Catalysts 2019, 9, 682. [Google Scholar] [CrossRef]
- Ye, J.; Li, C.; Yan, Y. Core-shell ZIF-67/ZIF-8-derived sea urchin-like cobalt/nitrogen Co-doped carbon nanotube hollow frameworks for ultrahigh adsorption and catalytic activities. J. Taiwan Inst. Chem. Eng. 2020, 112, 202–211. [Google Scholar] [CrossRef]
- Mukoyoshi, M.; Kitagawa, H. Nanoparticle/metal-organic framework hybrid catalysts: Elucidating the role of the MOF. Chem. Commun. 2022, 58, 10757–10767. [Google Scholar] [CrossRef]
- Sahoo, R.; Mondal, S.; Chand, S.; Das, M.C. Highly Robust Metal-Organic Framework for Efficiently Catalyzing Knoevenagel Condensation and the Strecker Reaction under Solvent-Free Conditions. Inorg. Chem. 2023, 62, 12989–13000. [Google Scholar] [CrossRef]
- Sarkar, P.; Chowdhury, I.H.; Das, S.; Islam, S.M. Recent trends in covalent organic frameworks (COFs) for carbon dioxide reduction. Mater. Adv. 2022, 3, 8063–8080. [Google Scholar] [CrossRef]
- Greifenstein, R.; Ballweg, T.; Hashem, T.; Gottwald, E.; Achauer, D.; Kirschhöfer, F.; Nusser, M.; Brenner-Weiß, G.; Sedghamiz, E.; Wenzel, W.; et al. MOF-Hosted Enzymes for Continuous Flow Catalysis in Aqueous and Organic Solvents. Angew. Chem. Int. Ed. 2022, 61, e202117144. [Google Scholar] [CrossRef]
- Ghamari kargar, P.; Bagherzade, G.; Beyzaei, H. A porous metal-organic framework (Ni-MOF): An efficient and recyclable catalyst for cascade oxidative amidation of alcohols by amines under ultrasound-irradiations. Mol. Cat. 2022, 526, 112372. [Google Scholar] [CrossRef]
- Benedito, A.; Acarreta, E.; Giménez, E. Highly efficient mof catalyst systems for CO2 conversion to bis-cyclic carbonates as building blocks for niphus (Non-isocyanate polyhydroxyurethanes) synthesis. Catalysts 2021, 11, 628. [Google Scholar] [CrossRef]
- Guo, X.; Zhang, F.; Muhammad, Y.; Yang, Z.; Wei, R.; Gao, L.; Xiao, G. Amino-functionalized organic polymer loaded with highly dispersed CuI for efficient catalytic conversion of CO2 with PA. Microporous Mesoporous Mater. 2023, 352, 112507. [Google Scholar] [CrossRef]
- Ahmad, B.I.Z.; Keasler, K.T.; Stacy, E.E.; Meng, S.; Hicks, T.J.; Milner, P.J. MOFganic Chemistry: Challenges and Opportunities for Metal-Organic Frameworks in Synthetic Organic Chemistry†. Chem. Mater. 2023, 35, 4883–4896. [Google Scholar] [CrossRef] [PubMed]
- An, Y.; Lv, X.; Jiang, W.; Wang, L.; Shi, Y.; Hang, X.; Pang, H. The stability of MOFs in aqueous solutions—Research progress and prospects. Green Chem. Eng. 2024, 5, 187–204. [Google Scholar] [CrossRef]
- Ferreira, C.E.S.; Santos-Vieira, I.; Gomes, C.R.; Balula, S.S.; Cunha-Silva, L. Porous Coordination Polymer MOF-808 as an Effective Catalyst to Enhance Sustainable Chemical Processes. Polymers 2024, 16, 968. [Google Scholar] [CrossRef] [PubMed]
- Ferreira, C.E.S.; Balula, S.S.; Cunha-Silva, L. Recent Advances in Catalytic Compounds Developed by Thermal Treatment of (Zr-Based) Metal–Organic Frameworks. Compounds 2024, 4, 315–337. [Google Scholar] [CrossRef]
- Ghosh, S.; Mukherjee, S.; Karthik, V.; Bera, P.; Dhakshinamoorthy, A.; Biswas, S. A superhydrophobic MOF facilitating efficient solvent-free catalytic chemical fixation of CO2 and oxidation of hydrocarbons and MOF@cotton@starch composite-based selective sensing of a herbicide. J. Mater. Chem. C 2024, 12, 4460–4472. [Google Scholar] [CrossRef]
- Purvika, A.; Yadav, S.; Jijoe, S.P.; Tenzin, T.; Divya, V.; Shahmoradi, B.; Wantala, K.; Jenkins, D.; McKay, G.; Shivaraju, H.P. Improved metal-organic frameworks (MOFs) and their application in catalytic CO2 reduction: A review. Mater. Today Sustain. 2024, 26, 100745. [Google Scholar] [CrossRef]
- Felix Sahayaraj, A.; Joy Prabu, H.; Maniraj, J.; Kannan, M.; Bharathi, M.; Diwahar, P.; Salamon, J. Metal–Organic Frameworks (MOFs): The Next Generation of Materials for Catalysis, Gas Storage, and Separation. J. Inorg. Organomet. Polym. Mater. 2023, 33, 1757–1781. [Google Scholar] [CrossRef]
- Feng, J.; Zhong, Y.; Xie, M.; Li, M.; Jiang, S. Using MOF-808 as a Promising Support to Immobilize Ru for Selective Hydrogenation of Levulinic Acid to γ-Valerolactone. Catal. Lett. 2021, 151, 86–94. [Google Scholar] [CrossRef]
- Somorjai, G.A.; Contreras, A.M.; Montano, M.; Rioux, R.M. Clusters, surfaces, and catalysis. Proc. Natl. Acad. Sci. USA 2006, 103, 10577–10583. [Google Scholar] [CrossRef] [PubMed]
- An, K.; Somorjai, G.A. Size and Shape Control of Metal Nanoparticles for Reaction Selectivity in Catalysis. ChemCatChem 2012, 4, 1512–1524. [Google Scholar] [CrossRef]
- Lee, I.; Morales, R.; Albiter, M.A.; Zaera, F. Synthesis of heterogeneous catalysts with well shaped platinum particles to control reaction selectivity. Proc. Natl. Acad. Sci. USA 2008, 105, 15241–15246. [Google Scholar] [CrossRef] [PubMed]
- Astruc, D.; Lu, F.; Aranzaes, J.R. Nanoparticles as recyclable catalysts: The frontier between homogeneous and heterogeneous catalysis. Angew. Chem. Int. Ed. 2005, 44, 7852–7872. [Google Scholar] [CrossRef] [PubMed]
- Wei, Z.; Duan, H.; Weng, G.; He, J. Metals in polymers: Hybridization enables new functions. J. Mater. Chem. C 2020, 8, 15956–15980. [Google Scholar] [CrossRef]
- Lu, L.; Zou, S.; Fang, B. The Critical Impacts of Ligands on Heterogeneous Nanocatalysis: A Review. ACS Catal. 2021, 11, 6020–6058. [Google Scholar] [CrossRef]
- Huang, X.; Xu, T.; Shen, A.; Davis, T.P.; Qiao, R.; Tang, S.Y. Engineering Polymers via Understanding the Effect of Anchoring Groups for Highly Stable Liquid Metal Nanoparticles. ACS Appl. Nano Mater. 2022, 5, 5959–5971. [Google Scholar] [CrossRef] [PubMed]
- Zhang, L.; Wei, Z.; Meng, M.; Ung, G.; He, J. Do polymer ligands block the catalysis of metal nanoparticles? Unexpected importance of binding motifs in improving catalytic activity. J. Mater. Chem. A 2020, 8, 15900–15908. [Google Scholar] [CrossRef]
- Heuer-Jungemann, A.; Feliu, N.; Bakaimi, I.; Hamaly, M.; Alkilany, A.; Chakraborty, I.; Masood, A.; Casula, M.F.; Kostopoulou, A.; Oh, E.; et al. The role of ligands in the chemical synthesis and applications of inorganic nanoparticles. Chem. Rev. 2019, 119, 4819–4880. [Google Scholar] [CrossRef]
- Saldias, C.; Bonardd, S.; Quezada, C.; Radic, D.; Leiva, A. The role of polymers in the synthesis of noble metal nanoparticles: A review. J. Nanosci. Nanotechnol. 2017, 17, 87–114. [Google Scholar] [CrossRef]
- Corain, B.; Kralik, M. Generating palladium nanoclusters inside functional cross-linked polymer frameworks. J. Mol. Catal. A Chem. 2001, 173, 99–115. [Google Scholar] [CrossRef]
- Li, W.; Guo, Z.; Yang, J.; Li, Y.; Sun, X.; He, H.; Li, S.; Zhang, J. Advanced Strategies for Stabilizing Single-Atom Catalysts for Energy Storage and Conversion. Electrochem. Energy Rev. 2022, 5, 9. [Google Scholar] [CrossRef]
- Huang, W.Y.; Wang, G.Q.; Li, W.H.; Li, T.T.; Ji, G.J.; Ren, S.C.; Jiang, M.; Yan, L.; Tang, H.T.; Pan, Y.M.; et al. Porous Ligand Creates New Reaction Route: Bifunctional Single-Atom Palladium Catalyst for Selective Distannylation of Terminal Alkynes. Chem 2020, 6, 2300–2313. [Google Scholar] [CrossRef]
- Kvitek, L.; Prucek, R.; Panacek, A.; Soukupova, J. Physicochemical aspects of metal nanoparticle preparation. In Engineered Nanomaterials-Health and Safety; Avramescu, S.M., Fierascu, I., Akhtar, K., Khan, S.B., Ali, F., Asiri, A., Eds.; IntechOpen: London, UK, 2020. [Google Scholar]
- Karimadom, B.R.; Kornweitz, H. Mechanism of producing metallic nanoparticles, with an emphasis on silver and gold nanoparticles, using bottom-up methods. Molecules 2021, 26, 2968. [Google Scholar] [CrossRef]
- Wang, Y.; Shi, Y.F.; Chen, Y.B.; Wu, L.M. Hydrazine reduction of metal ions to porous submicro-structures of Ag, Pd, Cu, Ni, and Bi. J. Solid State Chem. 2012, 191, 19–26. [Google Scholar] [CrossRef]
- Sandri, F.; Danieli, M.; Guarise, M.; Marelli, M.; Zorzi, F.; Franco, L.; Zecca, M.; Centomo, P. Radical reactivity of mesoporous sulfonic polydivinylbenzene as the catalytic support in the direct synthesis of hydrogen peroxide and its role in the formation of palladium hydrides. Appl. Catal. A Gen. 2024, 675, 119630. [Google Scholar] [CrossRef]
- Karami, K.; Ghasemi, M.; Haghighat Naeini, N. Palladium nanoparticles supported on polymer: An efficient and reusable heterogeneous catalyst for the Suzuki cross-coupling reactions and aerobic oxidation of alcohols. Catal. Commun. 2013, 38, 10–15. [Google Scholar] [CrossRef]
- Szczyglewska, P.; Feliczak-Guzik, A.; Nowak, I. Nanotechnology–General Aspects: A Chemical Reduction Approach to the Synthesis of Nanoparticles. Molecules 2023, 28, 4932. [Google Scholar] [CrossRef] [PubMed]
- Chen, L.; Chen, H.; Luque, R.; Li, Y. Metal−organic framework encapsulated Pd nanoparticles: Towards advanced heterogeneous catalysts. Chem. Sci. 2014, 5, 3708–3714. [Google Scholar] [CrossRef]
- Yang, G.; Lin, W.; Lai, H.; Tong, J.; Lei, J.; Yuan, M.; Zhang, Y.; Cui, C. Understanding the relationship between particle size and ultrasonic treatment during the synthesis of metal nanoparticles. Ultrason. Sonochem. 2021, 73, 105497. [Google Scholar] [CrossRef]
- Cabral, N.M.; Lorenti, J.P.; Plass, W.; Gallo, J.M.R. Solid Acid Resin Amberlyst 45 as a Catalyst for the Transesterification of Vegetable Oil. Front. Chem. 2020, 8, 305. [Google Scholar] [CrossRef]
- Chakrabarti, A.; Sharma, M.M. Esterification of acetic acid with styrene: Ion exchange resins as catalysts. React. Polym. 1991, 16, 51–59. [Google Scholar] [CrossRef]
- Hart, M.; Fuller, G.; Brown, D.R.; Dale, J.A.; Plant, S. Sulfonated poly(styrene-co-divinylbenzene) ion-exchange resins: Acidities and catalytic activities in aqueous reactions. J. Mol. Catal. A Chem. 2002, 182–183, 439–445. [Google Scholar] [CrossRef]
- Chang, Y.; Lee, C.; Bae, C. Polystyrene-based superacidic solid acid catalyst: Synthesis and its application in biodiesel production. RSC Adv. 2014, 4, 47448–47454. [Google Scholar] [CrossRef]
- Zhang, X.; Li, Y.; Qian, C.; An, L.; Wang, W.; Li, X.; Shao, X.; Li, Z. Research progress of catalysts for aldol condensation of biomass based compounds. RSC Adv. 2023, 13, 9466–9478. [Google Scholar] [CrossRef] [PubMed]
- Chowdhury, A.; Bhattacharjee, S.; Chatterjee, R.; Bhaumik, A. A new nitrogen rich porous organic polymer for ultra-high CO2 uptake and as an excellent organocatalyst for CO2 fixation reactions. J. CO2 Util. 2022, 65, 102236. [Google Scholar] [CrossRef]
- Benaglia, M.; Puglisi, A.; Cozzi, F. Polymer-supported organic catalysts. Chem. Rev. 2003, 103, 3401–3429. [Google Scholar] [CrossRef]
- Gäumann, P.; Cartagenova, D.; Ranocchiari, M. Phosphine-Functionalized Porous Materials for Catalytic Organic Synthesis. Eur. J. Org. Chem. 2022, 2022, e202201006. [Google Scholar] [CrossRef]
- Matsumoto, H.; Iwai, T.; Sawamura, M.; Miura, Y. Continuous-Flow Catalysis Using Phosphine-Metal Complexes on Porous Polymers: Designing Ligands, Pores, and Reactors. ChemPlusChem 2024, e202400039. [Google Scholar] [CrossRef]
- Chen, J.; Zhang, Y.; Zhang, Z.; Hou, D.; Bai, F.; Han, Y.; Zhang, C.; Zhang, Y.; Hu, J. Metal-support interactions for heterogeneous catalysis: Mechanisms, characterization techniques and applications. J. Mater. Chem. A 2023, 11, 8540–8572. [Google Scholar] [CrossRef]
- Zhang, W.; Lin, H.; An, Y.; Lin, T.; Zhong, L. Strong Metal-Support Interactions: From Characterization, Manipulation to Application in Fischer-Tropsch Synthesis and Atmospheric CO2 hydrogenation. ChemCatChem 2024, 16, e202301623. [Google Scholar] [CrossRef]
- Chen, W.; Cai, P.; Zhou, H.C.; Madrahimov, S.T. Bridging Homogeneous and Heterogeneous Catalysis: Phosphine-Functionalized Metal-Organic Frameworks. Angew. Chem. Int. Ed. 2024, 63, e202315075. [Google Scholar] [CrossRef] [PubMed]
- Liu, Z.Y.; Wang, L.M.; Wang, C.A.; Li, R.S.; Zhou, P.Y.; Gao, H.Y.; Wang, G. Modulating the strong metal-support interactions by regulating the chemical microenvironment of Pt confined in MOFs for low temperature hydrogenation of DCPD. Chem. Eng. J. 2024, 479, 147601. [Google Scholar] [CrossRef]
- Bai, J.; Liu, Y.; Ma, Z.; Zhang, S.; Chao, G.; Lin, H.; Debroye, E.; Zhang, L.; Liu, T. Cation-π interactions regulate electrocatalytic water oxidation over iridium single atoms supported on conjugated polymers. Sci. China Chem. 2024, 67, 2063–2069. [Google Scholar] [CrossRef]
- Wang, K.; Amin, K.; An, Z.; Cai, Z.; Chen, H.; Chen, H.; Dong, Y.; Feng, X.; Fu, W.; Gu, J.; et al. Advanced functional polymer materials. Mater. Chem. Front. 2020, 4, 1803–1915. [Google Scholar] [CrossRef]
- Jeřábek, K. Characterization of Swollen Polymer Gels Using Size Exclusion Chromatography. Anal. Chem. 1985, 57, 1598–1602. [Google Scholar] [CrossRef]
- Jeřábek, K. Inverse Steric Exclusion Chromatography as a Tool for Morphology Characterization. ACS Symp. Ser. 1996, 635, 211–224. [Google Scholar] [CrossRef]
- Potschka, M. Inverse size exclusion chromatography and universal calibration. Macromol. Symp. 1996, 110, 121–154. [Google Scholar] [CrossRef]
- Petropoulos, J.H.; Roussis, P.P. The influence of transverse differential swelling stresses on the kinetics of sorption of penetrants by polymer membranes. J. Membr. Sci. 1978, 3, 343–356. [Google Scholar] [CrossRef]
- Galantini, L.; D’Archivio, A.A.; Lora, S.; Corain, B. An ESR and PGSE-NMR evaluation of the molecular accessibility of poly(vinyl alcohol) hydrogels. J. Mol. Catal. B—Enzym. 1999, 6, 505–508. [Google Scholar] [CrossRef]
- Centomo, P.; Zecca, M.; Zoleo, A.; Maniero, A.L.; Canton, P.; Jeřábek, K.; Corain, B. Cross-linked polyvinyl polymers versus polyureas as designed supports for catalytically active M 0 nanoclusters: Part III. Nanometer scale structure of the cross-linked polyurea support EnCat 30 and of the Pd II/EnCat 30 and Pd 0/EnCat 30NP catalysts. Phys. Chem. Chem. Phys. 2009, 11, 4068–4076. [Google Scholar] [CrossRef] [PubMed]
- Goliszek, M.; Kochaniec, M.; Podkościelna, B.B. Insight into the Structure of MOF-Containing Hybrid Polymeric Microspheres. ChemPhysChem 2023, 24, e202300490. [Google Scholar] [CrossRef] [PubMed]
- Corain, B.; D’Archivio, A.A.; Galantini, L.; Lora, S.; Panatta, A.; Tettamanti, E. Synthetic Resins as Designable Supports for Metal-Based Chemistry: The Issue of Their Nanomorphology and Molecular Accessibility. Macromol. Symp. 1998, 131, 1–9. [Google Scholar] [CrossRef]
- Corain, B.; Zecca, M.; Jeřábek, K. Catalysis and polymer networks—The role of morphology and molecular accessibility. J. Mol. Catal. A Chem. 2001, 177, 3–20. [Google Scholar] [CrossRef]
- Artuso, F.; D’Archivio, A.A.; Lora, S.; Jerabek, K.; Králik, M.; Corain, B. Nanomorphology of Polymer Frameworks and their Role as Templates for Generating Size-Controlled Metal Nanoclusters. Chem. Eur. J. 2003, 9, 5292–5296. [Google Scholar] [CrossRef] [PubMed]
- Králik, M.; Kratky, V.; De Rosso, M.; Tonelli, M.; Lora, S.; Corain, B. Metal catalysis inside polymer frameworks: Evaluation of catalyst stability and reusability. Chem. Eur. J. 2003, 9, 209–214. [Google Scholar] [CrossRef]
- Bortolus, M.; Centomo, P.; Zecca, M.; Sassi, A.; Jeřábek, K.; Maniero, A.L.; Corain, B. Characterisation of solute mobility in hypercross-linked resins in solvents of different polarity: Two promising supports for catalysis. Chem. Eur. J. 2012, 18, 4706–4713. [Google Scholar] [CrossRef]
- Ciardelli, F.; Braca, G.; Carlini, C.; Sbrana, G.; Valentini, G. Polymer-supported transition metal catalysts: Established results, limitations and potential developments. J. Mol. Catal. 1982, 14, 1–17. [Google Scholar] [CrossRef]
- Stejskal, J.; Kratochvíl, P.; Gospodinova, N.; Terlemezyan, L.; Mokreva, P. Polyaniline dispersions: Preparation of spherical particles and their light-scattering characterization. Polymer 1992, 33, 4857–4858. [Google Scholar] [CrossRef]
- Karthikeyan, S.; Anandan, C.; Subramanian, J.; Sekaran, G. Characterization of iron impregnated polyacrylamide catalyst and its application to the treatment of municipal wastewater. RSC Adv. 2013, 3, 15044–15057. [Google Scholar] [CrossRef]
- Frenzel, R.; Morales, D.; Romanelli, G.; Sathicq, G.; Blanco, M.; Pizzio, L. Synthesis, characterization and catalytic evaluation of H3PW12O40 included in acrylic acid/acrylamide polymer for the selective oxidation of sulfides. J. Mol. Catal. A Chem. 2016, 420, 124–133. [Google Scholar] [CrossRef]
- Srour, M.; Hadjiali, S.; Sauer, G.; Brunnengräber, K.; Breitzke, H.; Xu, Y.; Weidler, H.; Limbach, H.H.; Gutmann, T.; Buntkowsky, G. Synthesis and Solid-State NMR Characterization of a Robust, Pyridyl-Based Immobilized Wilkinson’s Type Catalyst with High Catalytic Performance. ChemCatChem 2016, 8, 3409–3416. [Google Scholar] [CrossRef]
- Ambroz, F.; Macdonald, T.J.; Martis, V.; Parkin, I.P. Evaluation of the BET theory for the characterization of meso and microporous MOFs. Small Methods 2018, 2, 1800173. [Google Scholar] [CrossRef]
- Lucier, B.E.G.; Chen, S.; Huang, Y. Characterization of Metal-Organic Frameworks: Unlocking the Potential of Solid-State NMR. Acc. Chem. Res. 2018, 51, 319–330. [Google Scholar] [CrossRef]
- Hájek, M.; Tomášová, A.; Kocík, J.; Podzemná, V. Statistical evaluation of the mutual relations of properties of Mg/Fe hydrotalcites and mixed oxides as transesterification catalysts. Appl. Clay Sci. 2018, 154, 28–35. [Google Scholar] [CrossRef]
- Cao, J.; Sun, S.; Li, X.; Yang, Z.; Xiong, W.; Wu, Y.; Jia, M.; Zhou, Y.; Zhou, C.; Zhang, Y. Efficient charge transfer in aluminum-cobalt layered double hydroxide derived from Co-ZIF for enhanced catalytic degradation of tetracycline through peroxymonosulfate activation. Chem. Eng. J. 2020, 382, 122802. [Google Scholar] [CrossRef]
- Mališová, M.; Horňáček, M.; Mikulec, J.; Hudec, P.; Hájek, M.; Peller, A.; Jorík, V.; Frolich, K.; Hadvinová, M.; Hájeková, E. Transesterification of Camelina sativa Oil Catalyzed by Mg/Al Mixed Oxides with Added Divalent Metals. ACS Omega 2020, 5, 32040–32050. [Google Scholar] [CrossRef]
- Abid, H.R.; Azhar, M.R.; Iglauer, S.; Rada, Z.H.; Al-Yaseri, A.; Keshavarz, A. Physicochemical characterization of metal organic framework materials: A mini review. Heliyon 2024, 10, e23840. [Google Scholar] [CrossRef]
- Wang, C.; Liu, D.; Lin, W. Metal-organic frameworks as a tunable platform for designing functional molecular materials. J. Am. Chem. Soc. 2013, 135, 13222–13234. [Google Scholar] [CrossRef] [PubMed]
- An, H.T.; Zhang, X.; Dong, C.; Lu, M.Y.; Li, R.; Xie, Y.; Xie, L.H.; Li, J.R. Seed-aided green synthesis of metal-organic frameworks in water. Green Chem. Eng. 2023, 4, 64–72. [Google Scholar] [CrossRef]
- Wong-Ng, W.; Kaduk, J.A.; Siderius, D.L.; Allen, A.L.; Espinal, L.; Boyerinas, B.M.; Levin, I.; Suchomel, M.R.; Ilavsky, J.; Li, L.; et al. Reference diffraction patterns, microstructure, and pore-size distribution for the copper (II) benzene-1,3,5-tricarboxylate metal organic framework (Cu-BTC) compounds. Powder Diffr. 2015, 30, 2–13. [Google Scholar] [CrossRef]
- Kousar, N.; Thimmappa, R.; Giddaerappa, N.; Palanna, M.; Sannegowda, L.K. Phthalocyanine Polymer Anchored Ketjen Black Nanoparticles for Bifunctional Oxygen Electrocatalysis. ACS Appl. Nano Mater. 2024, 7, 10600–10613. [Google Scholar] [CrossRef]
- Wu, J.H.; Wang, J.W.; Aramburu-Trošelj, B.M.; Niu, F.J.; Guo, L.J.; Ouyang, G. Recent progress on nickel phthalocyanine-based electrocatalysts for CO2 reduction. Nanoscale 2024, 16, 11496–11512. [Google Scholar] [CrossRef] [PubMed]
- Chen, J.L.; Li, W.B.; Xu, B.Q. Nitrogen-rich Fe-N-C materials derived from polyacrylonitrile as highly active and durable catalysts for the oxygen reduction reaction in both acidic and alkaline electrolytes. J. Colloid Interface Sci. 2017, 502, 44–51. [Google Scholar] [CrossRef] [PubMed]
- Centomo, P.; Meneghini, C.; Sterchele, S.; Trapananti, A.; Aquilanti, G.; Zecca, M. In Situ X-ray Absorption Fine Structure Spectroscopy of a Palladium Catalyst for the Direct Synthesis of Hydrogen Peroxide: Leaching and Reduction of the Metal Phase in the Presence of Bromide Ions. ChemCatChem 2015, 7, 3712–3718. [Google Scholar] [CrossRef]
- Ebrahimi, A.; Krivosudský, L.; Cherevan, A.; Eder, D. Polyoxometalate-based porphyrinic metal-organic frameworks as heterogeneous catalysts. Coord. Chem. Rev. 2024, 508, 215764. [Google Scholar] [CrossRef]
- Wei, Y.; Hore, M.J.A. Characterizing polymer structure with small-angle neutron scattering: A Tutorial. J. Appl. Phys. 2021, 129, 171101. [Google Scholar] [CrossRef]
- Bon, V.; Brunner, E.; Pöppl, A.; Kaskel, S. Unraveling Structure and Dynamics in Porous Frameworks via Advanced In Situ Characterization Techniques. Adv. Funct. Mater. 2020, 30, 1907847. [Google Scholar] [CrossRef]
- Karbass, N.; Sans, V.; Garcia-Verdugo, E.; Burguete, M.I.; Luis, S.V. Pd(0) supported onto monolithic polymers containing IL-like moieties. Continuous flow catalysis for the Heck reaction in near-critical EtOH. Chem. Commun. 2006, 29, 3095–3097. [Google Scholar] [CrossRef]
- Kowalewski, E.; Zawadzki, B.; Matus, K.; Nikiforow, K.; Śrębowata, A. Continuous-flow hydrogenation over resin supported palladium catalyst for the synthesis of industrially relevant chemicals. React. Kinet. Mech. Catal. 2021, 132, 717–728. [Google Scholar] [CrossRef]
- Griffiths, A.; Boyall, S.L.; Müller, P.; Harrington, J.P.; Sobolewska, A.M.; Reynolds, W.R.; Bourne, R.A.; Wu, K.; Collins, S.M.; Muldowney, M.; et al. MOF-based heterogeneous catalysis in continuous flow via incorporation onto polymer-based spherical activated carbon supports. Nanoscale 2023, 15, 17910–17921. [Google Scholar] [CrossRef]
- Thai, J.E.; Roach, M.C.; Reynolds, M.M. Continuous flow catalysis with CuBTC improves reaction time for synthesis of xanthene derivatives. Front. Chem. 2023, 11, 1259835. [Google Scholar] [CrossRef] [PubMed]
- Kent, J.A.; Bommaraju, T.V.; Barnicki, S.D. (Eds.) Handbook of Industrial Chemistry and Biotechnology, 13th ed.; Springer International Publishing AG: Berlin/Heidelberg, Germany; Dordrecht, The Netherlands; New York, NY, USA, 2017; p. XVIII, 2225. [Google Scholar]
- Thomas, G.G.; Davies, C.W. lon Exchange Resins as Catalysts. Nature 1947, 159, 372. [Google Scholar] [CrossRef]
- Schmidle, C.J.; Mansfield, R.C. Catalysis by anion exchange resins. Ind. Eng. Chem. 1952, 44, 1388–1390. [Google Scholar] [CrossRef]
- Peterson, A.H. Cationic Ion Exchange Resin Catalysts and Process for Their Production and Use. U.S. Patent 3,479,322, 18 November 1969. [Google Scholar]
- Ancillotti, F.; Oriani, G.; Pescarollo, E. Process for the Production of Methyl Tert-Butylether. U.S. Patent 4,071,567, 31 January 1978. [Google Scholar]
- Tau, L.M.; Davis, B.H. Acid catalyzed formation of ethyl tertiary butyl ether (ETBE). Appl. Catal. 1989, 53, 263–271. [Google Scholar] [CrossRef]
- Centomo, P.; Bonato, I.; Hanková, L.; Holub, L.; Jeřábek, K.; Zecca, M. Novel Ion-Exchange Catalysts for Reactions Involving Lipophilic Reagents: Perspectives in the Reaction of Esterifications of Fatty Acids with Methanol. Top. Catal. 2013, 56, 611–617. [Google Scholar] [CrossRef]
- Wild, R.; Andersson, R.U. Process for the Production of Fatty acid Esters. U.S. Patent 9.228,156 B2, 5 January 2016. [Google Scholar]
- Rahmani, E.; Rahmani, M. Al-Based MIL-53 Metal Organic Framework (MOF) as the New Catalyst for Friedel-Crafts Alkylation of Benzene. Ind. Eng. Chem. Res. 2018, 57, 169–178. [Google Scholar] [CrossRef]
- Ghosh, S.; Nagarjun, N.; Alam, M.; Dhakshinamoorthy, A.; Biswas, S. Friedel-Crafts alkylation reaction efficiently catalyzed by a di-amide functionalized Zr(IV) metal-organic framework. Mol. Cat. 2022, 517, 112007. [Google Scholar] [CrossRef]
- Kralik, M.; Kratky, V.; Hronec, M.; Zecca, M.; Corain, B. Deactivation of palladium catalysts supported on functionalised resins in the reduction of aromatic nitrocompounds. Stud. Surf. Sci. Catal. 2000, 130, 2321–2326. [Google Scholar] [CrossRef]
- Biffis, A.; Ricoveri, R.; Campestrini, S.; Kralik, M.; Jeřàbek, K.; Corain, B. Highly chemoselective hydrogenation of 2-ethylanthraquinone to 2-ethylanthrahydroquinone catalyzed by palladium metal dispersed inside highly lipophilic functional resins. Chem. Eur. J. 2002, 8, 2962–2967. [Google Scholar] [CrossRef]
- Drelinkiewicz, A.; Waksmundzka-Góra, A.; Sobczak, J.W.; Stejskal, J. Hydrogenation of 2-ethyl-9,10-anthraquinone on Pd-polyaniline(SiO2) composite catalyst. The effect of humidity. Appl. Catal. A Gen. 2007, 333, 219–228. [Google Scholar] [CrossRef]
- Ahn, J.H.; Kim, J.C.; Ihm, S.K.; Oh, C.G.; Sherrington, D.C. Epoxidation of olefins by molybdenum(VI) catalysts supported on functional polyimide particulates. Ind. Eng. Chem. Res. 2005, 44, 8560–8564. [Google Scholar] [CrossRef]
- Junghans, U.; Suttkus, C.; Lincke, J.; Lässig, D.; Krautscheid, H.; Gläser, R. Selective oxidation of cyclooctene over copper-containing metal-organic frameworks. Microporous Mesoporous Mater. 2015, 216, 151–160. [Google Scholar] [CrossRef]
- Wang, Y.; Zhang, J.; Zhang, W.; Zhang, M. Pd-catalyzed C-C cross-coupling reactions within a thermoresponsive and pH-responsive and chelating polymeric hydrogel. J. Org. Chem. 2009, 74, 1923–1931. [Google Scholar] [CrossRef] [PubMed]
- Tamura, R.; Kawata, T.; Hattori, Y.; Kobayashi, N.; Kimura, M. Catalytic Oxidation of Thiols within Cavities of Phthalocyanine Network Polymers. Macromolecules 2017, 50, 7978–7983. [Google Scholar] [CrossRef]
- Pereira, M.M.; Dias, L.D.; Calvete, M.J.F. Metalloporphyrins: Bioinspired Oxidation Catalysts. ACS Catal. 2018, 8, 10784–10808. [Google Scholar] [CrossRef]
- Hu, Y.; Huang, D.; Yan, J.; Miao, Z.; Yu, L.; Cai, N.; Fang, Q.; Zhang, Q.; Yan, Y. Polyoxovanadate-Based Cyclomatrix Polyphosphazene Microspheres as Efficient Heterogeneous Catalysts for the Selective Oxidation and Desulfurization of Sulfides. Molecules 2022, 27, 8560. [Google Scholar] [CrossRef] [PubMed]
- Kan, X.; Wang, J.C.; Chen, Z.; Du, J.Q.; Kan, J.L.; Li, W.Y.; Dong, Y.B. Synthesis of Metal-Free Chiral Covalent Organic Framework for Visible-Light-Mediated Enantioselective Photooxidation in Water. J. Am. Chem. Soc. 2022, 144, 6681–6686. [Google Scholar] [CrossRef] [PubMed]
- Monti, E.; Ventimiglia, A.; Forster, L.; Rodríguez-Aguado, E.; Cecilia, J.A.; Ospitali, F.; Tabanelli, T.; Albonetti, S.; Cavani, F.; Rivalta, I.; et al. Influence of stabilisers on the catalytic activity of supported Au colloidal nanoparticles for the liquid phase oxidation of glucose to glucaric acid: Understanding the catalyst performance from NMR relaxation and computational studies. Green Chem. 2023, 25, 2640–2652. [Google Scholar] [CrossRef]
- Ni, J.Y.; Ding, Y.B.; Sun, J.; Wu, H.K.; Shen, H.M.; She, Y.B. Cycloalkanes oxidation with O2 catalyzed by a novel metalloporphyrin-based covalent coupling structure with bimetallic catalytic centers through synergistic mode. Catal. Commun. 2024, 187, 106876. [Google Scholar] [CrossRef]
- Singh, A.; Soorya, K.K.; Bhatnagar, A.; Gupta, A.K. Crystalline porous frameworks: Advances in synthesis, mechanisms, modifications, and remediation of organic pollutants. Sep. Purif. Technol. 2025, 353, 128588. [Google Scholar] [CrossRef]
- Li, W.; Wang, F.; Shi, Y.; Yu, L. Polyaniline-supported tungsten-catalyzed oxidative deoximation reaction with high catalyst turnover number. Chin. Chem. Lett. 2023, 34, 107505. [Google Scholar] [CrossRef]
- Fu, L.; Chuang, K.T.; Fiedorow, R. Selective Oxidation of Hydrogen to Hydrogen Peroxide. Stud. Surf. Sci. Catal. 1992, 72, 33–41. [Google Scholar] [CrossRef]
- Biffis, A.; Králik, M. Macromolecule—Palladium complexes as catalysts for the synthesis of hydrogen peroxide. Chem. Pap. 2002, 56, 178–181. [Google Scholar]
- Sterchele, S.; Biasi, P.; Centomo, P.; Canton, P.; Campestrini, S.; Salmi, T.; Zecca, M. Pd-Au and Pd-Pt catalysts for the direct synthesis of hydrogen peroxide in absence of selectivity enhancers. Appl. Catal. A Gen. 2013, 468, 160–174. [Google Scholar] [CrossRef]
- Gemo, N.; Sterchele, S.; Biasi, P.; Centomo, P.; Canu, P.; Zecca, M.; Shchukarev, A.; Kordás, K.; Salmi, T.O.; Mikkola, J.-P. The influence of catalyst amount and Pd loading on the H2O2 synthesis from hydrogen and oxygen. Catal. Sci. Technol. 2015, 5, 3545–3555. [Google Scholar] [CrossRef]
- Sandri, F.; De Boni, F.; Marelli, M.; Sedona, F.; Causin, V.; Centomo, P.; Zecca, M. The role of acetonitrile in the direct synthesis of hydrogen peroxide over palladium supported by ion-exchange resins. Catal. Commun. 2023, 174, 106585. [Google Scholar] [CrossRef]
- Li, G.; Edwards, J.; Carley, A.F.; Hutchings, G.J. Direct synthesis of hydrogen peroxide from H2 and O2 using zeolite-supported Au-Pd catalysts. Catal. Today 2007, 122, 361–364. [Google Scholar] [CrossRef]
- Biffis, A.; Centomo, P.; Del Zotto, A.; Zecca, M. Pd Metal Catalysts for Cross-Couplings and Related Reactions in the 21st Century: A Critical Review. Chem. Rev. 2018, 118, 2249–2295. [Google Scholar] [CrossRef]
- Dong, Y.; Bi, J.; Ming, S.; Zhang, S.; Zhu, D.; Meng, D.; Li, T. Functionalized chitosan as a novel support for stabilizing palladium in Suzuki reactions. Carbohydr. Polym. 2021, 260, 117815. [Google Scholar] [CrossRef] [PubMed]
- Alazemi, A.M.; Dawood, K.M.; Al-Matar, H.M.; Tohamy, W.M. Efficient and Recyclable Solid-Supported Pd(II) Catalyst for Microwave-Assisted Suzuki Cross-Coupling in Aqueous Medium. ACS Omega 2022, 7, 28831–28848. [Google Scholar] [CrossRef]
- Guo, S.; Wu, Y.; Luo, S.X.L.; Swager, T.M. Versatile Nanoporous Organic Polymer Catalyst for the Size-Selective Suzuki-Miyaura Coupling Reaction. ACS Appl. Nano Mater. 2022, 5, 18603–18611. [Google Scholar] [CrossRef]
- Moeinpour, F. Unveiling the potential of Pd(II)-covalent organic polyimide framework in Suzuki coupling reactions: A study on synthesis, characterization, and catalytic efficiency. Appl. Organomet. Chem. 2024, 38, e7333. [Google Scholar] [CrossRef]
- Dell’Anna, M.M.; Lofù, A.; Mastrorilli, P.; Mucciante, V.; Nobile, C.F. Stille coupling reactions catalysed by a polymer supported palladium complex. J. Organomet. Chem. 2006, 691, 131–137. [Google Scholar] [CrossRef]
- Del Pozo, J.; Salas, G.; Álvarez, R.; Casares, J.A.; Espinet, P. The Negishi Catalysis: Full Study of the Complications in the Transmetalation Step and Consequences for the Coupling Products. Organometallics 2016, 35, 3604–3611. [Google Scholar] [CrossRef]
- Dai, C.; Fu, G.C. The first general method for palladium-catalyzed Negishi cross-coupling of aryl and vinyl chlorides: Use of commercially available Pd(P(t-Bu)3)2 as a catalyst. J. Am. Chem. Soc. 2001, 123, 2719–2724. [Google Scholar] [CrossRef]
- Hu, D.; Zhang, J.Q.; Song, J.; Ni, B.; Ren, H. Cobalt-doped iron-based coordination polymer catalyst with unique shell-shaped agglomerate for enhancing the reaction activity of Kumada-coupling. J. Solid State Chem. 2022, 316, 123559. [Google Scholar] [CrossRef]
- Sakon, A.; Ii, R.; Hamasaka, G.; Uozumi, Y.; Shinagawa, T.; Shimomura, O.; Nomura, R.; Ohtaka, A. Detailed Mechanism for Hiyama Coupling Reaction in Water Catalyzed by Linear Polystyrene-Stabilized PdO Nanoparticles. Organometallics 2017, 36, 1618–1622. [Google Scholar] [CrossRef]
- Caporusso, A.M.; Innocenti, P.; Aronica, L.A.; Vitulli, G.; Gallina, R.; Biffis, A.; Zecca, M.; Corain, B. Functional resins in palladium catalysis: Promising materials for Heck reaction in aprotic polar solvents. J. Catal. 2005, 234, 1–13. [Google Scholar] [CrossRef]
- Phan, N.T.S.; Van Der Sluys, M.; Jones, C.W. On the nature of the active species in palladium catalyzed Mizoroki-Heck and Suzuki-Miyaura couplings—Homogeneous or heterogeneous catalysis, a critical review. Adv. Synth. Catal. 2006, 348, 609–679. [Google Scholar] [CrossRef]
- Fan, G.Z.; Cheng, S.Q.; Zhu, M.F.; Gao, X.L. Palladium chloride anchored on organic functionalized MCM-41 as a catalyst for the Heck reaction. Appl. Organomet. Chem. 2007, 21, 670–675. [Google Scholar] [CrossRef]
- Noël, S.; Luo, C.; Pinel, C.; Djakovitch, L. Efficient heterogeneously palladium-catalysed heck arylation of acrolein diethyl acetal. Selective synthesis of cinnamaldehydes or 3-arylpropionic esters. Adv. Synth. Catal. 2007, 349, 1128–1140. [Google Scholar] [CrossRef]
- Panziera, N.; Pertici, P.; Barazzone, L.; Caporusso, A.M.; Vitulli, G.; Salvadori, P.; Borsacchi, S.; Geppi, M.; Veracini, C.A.; Martra, G.; et al. MVS-derived palladium nanoparticles deposited on polydimethylphosphazene as recyclable catalysts for Heck-type reactions: Preparation, structural study, and catalytic activity. J. Catal. 2007, 246, 351–361. [Google Scholar] [CrossRef]
- Zhang, J.; Zhang, W.; Wang, Y.; Zhang, M. Palladium-iminodiacetic acid immobilized on pH-responsive polymeric microspheres: Efficient quasi-homogeneous catalyst for Suzuki and Heck reactions in aqueous solution. Adv. Synth. Catal. 2008, 350, 2065–2076. [Google Scholar] [CrossRef]
- Huang, L.; Wong, P.K.; Tan, J.; Ang, T.P.; Wang, Z. Studies on the nature of catalysis: Suppression of the catalytic activity of leached Pd by supported Pd particles during the Heck reaction. J. Phys. Chem. C 2009, 113, 10120–10130. [Google Scholar] [CrossRef]
- Huang, L.; Wong, P.K. Recent progress on the studies of the true catalyst in the Heck reaction with supported Pd particles. Curr. Org. Synth. 2010, 7, 599–613. [Google Scholar] [CrossRef]
- Tamami, B.; Farjadian, F. Synthesis and applications of polyvinylpyridine-grafted silica containing palladium nanoparticles as a new heterogeneous catalyst for Heck and Suzuki coupling reactions. J. Iran. Chem. Soc. 2011, 8, S77–S88. [Google Scholar] [CrossRef]
- Liu, P.; Dong, Z.; Ye, Z.; Wang, W.J.; Li, B.G. A conveniently synthesized polyethylene gel encapsulating palladium nanoparticles as a reusable high-performance catalyst for Heck and Suzuki coupling reactions. J. Mater. Chem. A 2013, 1, 15469–15478. [Google Scholar] [CrossRef]
- Zeng, M.; Qi, C.; Yang, J.; Wang, B.; Zhang, X.M. A highly efficient and stable palladium catalyst entrapped within the cross-linked chitosan membrane for heck reactions. Ind. Eng. Chem. Res. 2014, 53, 10041–10050. [Google Scholar] [CrossRef]
- Jumde, R.P.; Marelli, M.; Scotti, N.; Mandoli, A.; Psaro, R.; Evangelisti, C. Ultrafine palladium nanoparticles immobilized into poly(4-vinylpyridine)-based porous monolith for continuous-flow Mizoroki-Heck reaction. J. Mol. Catal. A Chem. 2016, 414, 55–61. [Google Scholar] [CrossRef]
- Abdellah, A.R.; El-Adasy, A.B.A.; Atalla, A.A.; Aly, K.I.; Abdelhamid, H.N. Palladium nanocrystals-embedded covalent organic framework as an efficient catalyst for Heck cross-coupling reaction. Microporous Mesoporous Mater. 2022, 339, 111961. [Google Scholar] [CrossRef]
- Nuri, A.; Bezaatpour, A.; Amiri, M.; Vucetic, N.; Mikkola, J.P.; Murzin, D.Y. Pd Nanoparticles Stabilized on the Cross-Linked Melamine-Based SBA-15 as a Catalyst for the Mizoroki–Heck Reaction. Catal. Lett. 2022, 152, 991–1002. [Google Scholar] [CrossRef]
- Hsu, C.Y.; Ahmad, I.; Aggarwal, S.; Sapaev, I.B.; Abdelaziz, T.D.; Qasim, Q.A.; Alawadi, A.; Hamzah, H.F. A novel Nanomagnetized Palladium (0) complex: As a heterogeneous catalyst for heck C-C Coupling of aryl halides and Olefines. J. Mol. Struct. 2024, 1313, 138684. [Google Scholar] [CrossRef]
- Christensen, H.; Kiil, S.; Dam-Johansen, K.; Nielsen, O. Applicability of a fiber-supported catalyst on a Buchwald-Hartwig amination reaction. Org. Process Res. Dev. 2007, 11, 956–965. [Google Scholar] [CrossRef]
- Najam, T.; Shah, S.S.A.; Mehmood, K.; Din, A.U.; Rizwan, S.; Ashfaq, M.; Shaheen, S.; Waseem, A. An overview on the progress and development on metals/non-metal catalyzed cyanation reactions. Inorg. Chim. Acta 2018, 469, 408–423. [Google Scholar] [CrossRef]
- Barnard, C.F.J. Palladium-catalyzed carbonylation—A reaction come of age. Organometallics 2008, 27, 5402–5422. [Google Scholar] [CrossRef]
- Brennführer, A.; Neumann, H.; Beller, M. Palladium-catalyzed carbonylation reactions of aryl halides and related compounds. Angew. Chem. Int. Ed. 2009, 48, 4114–4133. [Google Scholar] [CrossRef]
- Islam, S.M.; Molla, R.A.; Roy, A.S.; Ghosh, K. Polymer supported Pd catalyzed thioester synthesis via carbonylation of aryl halides under phosphine free conditions. RSC Adv. 2014, 4, 26181–26192. [Google Scholar] [CrossRef]
- Moore, J.S.; Smith, C.D.; Jensen, K.F. Kinetics analysis and automated online screening of aminocarbonylation of aryl halides in flow. React. Chem. Eng. 2016, 1, 272–279. [Google Scholar] [CrossRef]
- Tjutrins, J. Development of New Classes of Palladium and Nickel Catalyzed Carbonylation Reactions. Doctoral Dissertation, McGill University Montreal, Montreal, QC, Canada, 2017. [Google Scholar]
- Wang, J.Y.; Strom, A.E.; Hartwig, J.F. Mechanistic Studies of Palladium-Catalyzed Aminocarbonylation of Aryl Chlorides with Carbon Monoxide and Ammonia. J. Am. Chem. Soc. 2018, 140, 7979–7993. [Google Scholar] [CrossRef]
- Ganesan, V.; Yoon, S. Cr-phthalocyanine porous organic polymer as an efficient and selective catalyst for mono carbonylation of epoxides to lactones. Catalysts 2020, 10, 905. [Google Scholar] [CrossRef]
- De Albuquerque, D.Y.; Teixeira, W.K.O.; Narayanaperumal, S.; Schwab, R.S. Recent Developments on Palladium-Catalyzed Carbonylation Reactions in Renewable Solvents. J. Braz. Chem. Soc. 2022, 33, 637–663. [Google Scholar] [CrossRef]
- NASA Carbon Dioxide. Available online: https://climate.nasa.gov/vital-signs/carbon-dioxide/?intent=121 (accessed on 15 September 2024).
- Upadhayay, S.; Alqassimi, O.; Khashadourian, E.; Sherm, A.; Prajapati, D. Development in the Circular Economy Concept: Systematic Review in Context of an Umbrella Framework. Sustainability 2024, 16, 1500. [Google Scholar] [CrossRef]
- Wu, C.; Huang, Q.; Xu, Z.; Sipra, A.T.; Gao, N.; Vandenberghe, L.P.D.S.; Vieira, S.; Soccol, C.R.; Zhao, R.; Deng, S.; et al. A comprehensive review of carbon capture science and technologies. Carbon Capture Sci. Technol. 2024, 11, 100178. [Google Scholar] [CrossRef]
- Barlow, H.; Shahi, S.S.M.; Loughrey, M. State of the Art: CCS Technologies 2023; Global CCS Institute: Brussels, Belgium, 2023; pp. 1–121. [Google Scholar]
- 1pointfive What is Direct Air Capture? Available online: https://www.1pointfive.com/dac-technology (accessed on 10 September 2024).
- Soo, X.Y.D.; Lee, J.J.C.; Wu, W.Y.; Tao, L.; Wang, C.; Zhu, Q.; Bu, J. Advancements in CO2 capture by absorption and adsorption: A comprehensive review. J. CO2 Util. 2024, 81, 102727. [Google Scholar] [CrossRef]
- Hack, J.; Maeda, N.; Meier, D.M. Review on CO2 Capture Using Amine-Functionalized Materials. ACS Omega 2022, 7, 39520–39530. [Google Scholar] [CrossRef] [PubMed]
- Alam, A.; Bera, R.; Ansari, M.; Hassan, A.; Das, N. Triptycene-Based and Amine-Linked Nanoporous Networks for Efficient CO2 Capture and Separation. Front. Energy Res. 2019, 7, 141. [Google Scholar] [CrossRef]
- Goncalves, R.B.; Collados, C.C.; Malliakas, C.D.; Wang, Z.; Thommes, M.; Snurr, R.Q.; Hupp, J.T. Chemically Reversible CO2 Uptake by Dendrimer-Impregnated Metal-Organic Frameworks. Langmuir 2024, 40, 9299–9309. [Google Scholar] [CrossRef]
- Lancheros, A.; Goswami, S.; Zarate, X.; Blanco, E.; Schott, E.; Hupp, J.T. New Pillar-MOF with Nitrogen-Donor Sites for CO2 Adsorption. Cryst. Growth Des. 2024, 24, 5898–5905. [Google Scholar] [CrossRef]
- Li, X.; Su, Q.; Luo, K.; Li, H.; Li, G.; Wu, Q. Construction of a highly heteroatom-functionalized covalent organic framework and its CO2 capture capacity and CO2/N2 selectivity. Mater. Lett. 2021, 282, 128704. [Google Scholar] [CrossRef]
- Neti, V.S.P.K.; Wang, J.; Deng, S.; Echegoyen, L. High and selective CO2 adsorption by a phthalocyanine nanoporous polymer. J. Mater. Chem. A 2015, 3, 10284–10288. [Google Scholar] [CrossRef]
- Qian, X.; Ren, Q.; Wu, X.; Sun, J.; Wu, H.; Lei, J. Enhanced Water Stability in Zn-Doped Zeolitic Imidazolate Framework-67 (ZIF-67) for CO2 Capture Applications. ChemistrySelect 2018, 3, 657–661. [Google Scholar] [CrossRef]
- Sun, X.; Shen, X.; Wang, H.; Yan, F.; Hua, J.; Li, G.; Zhang, Z. Atom-level interaction design between amines and support for achieving efficient and stable CO2 capture. Nat. Commun. 2024, 15, 5068. [Google Scholar] [CrossRef] [PubMed]
- Wei, K.; Guan, H.; Luo, Q.; He, J.; Sun, S. Recent advances in CO2 capture and reduction. Nanoscale 2022, 14, 11869–11891. [Google Scholar] [CrossRef] [PubMed]
- Zhao, S.; Zhang, Y.; Li, L.; Feng, J.; Qiu, W.; Wang, Y.; Huang, Z.; Lin, H. Amine-functionalized macroporous resin for direct air capture with high CO2 capacity in real atmospheric conditions: Effects of moisture and oxygen. Sep. Purif. Technol. 2024, 350, 127999. [Google Scholar] [CrossRef]
- Bahmanzadegan, F.; Ghaemi, A. Modification and functionalization of zeolites to improve the efficiency of CO2 adsorption: A review. Case. Stud. Chem. Environ. Eng. 2024, 9, 100564. [Google Scholar] [CrossRef]
- Boer, D.G.; Langerak, J.; Pescarmona, P.P. Zeolites as Selective Adsorbents for CO2 Separation. ACS Appl. Ener. Mat. 2023, 6, 2634–2656. [Google Scholar] [CrossRef]
- Liu, S.; Hu, J.; Zhang, F.; Zhu, J.; Shi, X.; Wang, L. Robust Enhancement of Direct Air Capture of CO2 Efficiency Using Micro-Sized Anion Exchange Resin Particles. Sustainability 2024, 16, 3601. [Google Scholar] [CrossRef]
- Liu, A. Structured Adsorbent for Process Intensification and Application On Cement Carbon Capture Using CALF-20 MOF; Europic webinars “Process Intensification: Fundamentals & Applications”; Leeuwen, L.V., Ed.; Europic: Delft, The Netherlands, 2023. [Google Scholar]
- Oktavian, R.; Goeminne, R.; Glasby, L.T.; Song, P.; Huynh, R.; Qazvini, O.T.; Ghaffari-Nik, O.; Masoumifard, N.; Cordiner, J.L.; Hovington, P.; et al. Gas adsorption and framework flexibility of CALF-20 explored via experiments and simulations. Nat. Commun. 2024, 15, 3898. [Google Scholar] [CrossRef]
- Gopalsamy, K.; Fan, D.; Naskar, S.; Magnin, Y.; Maurin, G. Engineering of an Isoreticular Series of CALF-20 Metal-Organic Frameworks for CO2 Capture. ACS Appl. Eng. Mater. 2024, 2, 96–103. [Google Scholar] [CrossRef]
- Borzehandani, M.Y.; Jorabchi, M.N.; Abdulmalek, E.; Abdul Rahman, M.B.; Mohammad Latif, M.A. Exploring the Potential of a Highly Scalable Metal-Organic Framework CALF-20 for Selective Gas Adsorption at Low Pressure. Polymers 2023, 15, 760. [Google Scholar] [CrossRef]
- Chen, Z.; Ho, C.H.; Wang, X.; Vornholt, S.M.; Rayder, T.M.; Islamoglu, T.; Farha, O.K.; Paesani, F.; Chapman, K.W. Humidity-Responsive Polymorphism in CALF-20: A Resilient MOF Physisorbent for CO2 Capture. ACS Mater. Lett. 2023, 5, 2942–2947. [Google Scholar] [CrossRef]
- Fan, D.; Naskar, S.; Maurin, G. Unconventional mechanical and thermal behaviours of MOF CALF-20. Nat. Commun. 2024, 15, 3251. [Google Scholar] [CrossRef] [PubMed]
- Jasi, A. BASF Commercially Produces Metal-Organic Frameworks for CO2 Capture in World First. Available online: https://www.thechemicalengineer.com/news/basf-commercially-produces-metal-organic-frameworks-for-co2-capture-in-world-first/ (accessed on 7 September 2024).
- Stull, D.R.; Westrum, E.F.; Sinke, G.C. The Chemical Thermodynamics of Organic Compounds; John Wiley and Sons: New York, NY, USA, 1969. [Google Scholar]
- Atsbha, T.A.; Yoon, T.; Seongho, P.; Lee, C.J. A review on the catalytic conversion of CO2 using H2 for synthesis of CO, methanol, and hydrocarbons. J. CO2 Util. 2021, 44, 101413. [Google Scholar] [CrossRef]
- Adegoke, K.A.; Akpomie, K.G.; Okeke, E.S.; Olisah, C.; Malloum, A.; Maxakato, N.W.; Ighalo, J.O.; Conradie, J.; Ohoro, C.R.; Amaku, J.F.; et al. UiO-66-based metal-organic frameworks for CO2 catalytic conversion, adsorption and separation. Sep. Purif. Technol. 2024, 331, 125456. [Google Scholar] [CrossRef]
- Tezel, E.; Sannes, D.K.; Svelle, S.; Szilágyi, P.I.; Olsbye, U. Direct CO2 to methanol reduction on Zr6-MOF based composite catalysts: A critical review. Mater. Adv. 2023, 4, 5479–5495. [Google Scholar] [CrossRef]
- Tran, Y.B.N.; Nguyen, P.T.K.; Dao, V.A.; Le, V.D. A copper-functionalized zirconium metal-organic framework for catalytic oxidative carboxylation of olefins and CO2. New J. Chem. 2024, 48, 5300–5310. [Google Scholar] [CrossRef]
- Pourebrahimi, S.; Pirooz, M.; Ahmadi, S.; Kazemeini, M.; Vafajoo, L. Nanoengineering of metal-based electrocatalysts for carbon dioxide (CO2) reduction: A critical review. Mater. Today Phys. 2023, 38, 101250. [Google Scholar] [CrossRef]
- Kusama, S.; Saito, T.; Hashiba, H.; Sakai, A.; Yotsuhashi, S. Crystalline Copper(II) Phthalocyanine Catalysts for Electrochemical Reduction of Carbon Dioxide in Aqueous Media. ACS Catal. 2017, 7, 8382–8385. [Google Scholar] [CrossRef]
- Ren, C.; Ni, W.; Li, H. Recent Progress in Electrocatalytic Reduction of CO2. Catalysts 2023, 13, 644. [Google Scholar] [CrossRef]
- Nwosu, U.; Siahrostami, S. Copper-based metal-organic frameworks for CO2 reduction: Selectivity trends, design paradigms, and perspectives. Catal. Sci. Technol. 2023, 13, 3740–3761. [Google Scholar] [CrossRef]
- Chen, M.; Zhou, Y.; Ren, S.B.; Wang, J. Methods to Make Conductive Covalent Organic Frameworks for Electrocatalytic Applications. Jiegou Huaxue 2022, 41, 2212107–2212119. [Google Scholar] [CrossRef]
- Yeo, C.I.; Tan, Y.S.; Awan, H.T.A.; Hanan, A.; Wong, W.P.; Walvekar, R.; Goh, B.H.; Khalid, M. A review on the advancements in covalent organic frameworks for photocatalytic reduction of carbon dioxide. Coord. Chem. Rev. 2024, 521, 216167. [Google Scholar] [CrossRef]
- Guene Lougou, B.; Geng, B.X.; Pan, R.M.; Wang, W.; Yan, T.T.; Li, F.H.; Zhang, H.; Djandja, O.S.; Shuai, Y.; Tabatabaei, M.; et al. Solar-driven photothermal catalytic CO2 conversion: A review. Rare Met. 2024, 43, 2913–2939. [Google Scholar] [CrossRef]
- Schmitt, K.; Disteldorf, J.; Flakus, W.; Hubel, W. Process for Preparing Methyl Isobutyl Ketone and Catalyst. U.S. Patent 3,953,517, 27 April 1976. [Google Scholar]
- Frey, S.J.; Davis, S.P.; Krupa, S.L.; Cottrell, P.R. Process For Producing Ethyl-Tertiary Butyl Ether. U.S. Patent 6,107,526, 18 June, 2000. [Google Scholar]
- Mustieles, V.; Pérez-Lobato, R.; Olea, N.; Fernández, M.F. Bisphenol A: Human exposure and neurobehavior. NeuroToxicology 2015, 49, 174–184. [Google Scholar] [CrossRef] [PubMed]
- Seachrist, D.D.; Bonk, K.W.; Ho, S.M.; Prins, G.S.; Soto, A.M.; Keri, R.A. A review of the carcinogenic potential of bisphenol A. Reprod. Toxicol. 2016, 59, 167–182. [Google Scholar] [CrossRef] [PubMed]
- Cipullo, M.J.; Kissinger, G.M.; Matos, I.M. Use of Partial Acetone Conversion for Capacity Increase and Quality/Yield Improvement in the Bispenol-A Reaction. U.S. Patent 5,315,042, 24 May 1994. [Google Scholar]
- Prokop, Z.; Hanková, L.; Jeřábek, K. Bisphenol A synthesis—Modeling of industrial reactor and catalyst deactivation. React. Funct. Polym. 2004, 60, 77–83. [Google Scholar] [CrossRef]
- Sakura, K.; Tsuge, A. Efficient production of bisphenol-A by utilizing cation-exchange polystyrene resins that are crosslinked by naphthalene or a biphenyl unit. Polym. J. 2014, 46, 82–84. [Google Scholar] [CrossRef]
- Han, Z.; Liu, H. Conceptual design of novel self-heating reactors for bisphenol A (BPA) synthesis with improved performance. Chem. Eng. Res. Des. 2023, 194, 487–496. [Google Scholar] [CrossRef]
- Argyle, M.D.; Bartholomew, C.H. Heterogeneous catalyst deactivation and regeneration: A review. Catalysts 2015, 5, 145–269. [Google Scholar] [CrossRef]
- Sanderson, R. Chemical Bonds and Bonds Energy, 2nd ed.; Elsevier: Amsterdam, The Netherlands, 2012; p. 232. [Google Scholar]
- Zhu, S.; Yan, L.; Zhang, D.; Feng, Q. Molecular dynamics simulation of microscopic structure and hydrogen bond network of the pristine and phosphoric acid doped polybenzimidazole. Polymer 2011, 52, 881–892. [Google Scholar] [CrossRef]
- Antonov, L.; Kawauchi, S.; Shirata, K. Acid Dissociation Constants of the Benzimidazole Unit in the Polybenzimidazole Chain: Configuration Effects. Molecules 2022, 27, 1064. [Google Scholar] [CrossRef]
- Señorans, S.; Rangel-Rangel, E.; Maya, E.M.; Díaz, L. Hypercrosslinked porous polymer as catalyst for efficient biodiesel production. React. Funct. Polym. 2024, 202, 105964. [Google Scholar] [CrossRef]
- Bahaloo-Horeh, N.; Mousavi, S.M. Efficient extraction of critical elements from end-of-life automotive catalytic converters via alkaline pretreatment followed by leaching with a complexing agent. J. Clean. Prod. 2022, 344, 131064. [Google Scholar] [CrossRef]
- Sarioǧlan, S. Recovery of palladium from spent activated carbon-supported palladium catalysts. Platin. Met. Rev. 2013, 57, 289–296. [Google Scholar] [CrossRef]




































Disclaimer/Publisher’s Note: The statements, opinions and data contained in all publications are solely those of the individual author(s) and contributor(s) and not of MDPI and/or the editor(s). MDPI and/or the editor(s) disclaim responsibility for any injury to people or property resulting from any ideas, methods, instructions or products referred to in the content. |
© 2024 by the authors. Licensee MDPI, Basel, Switzerland. This article is an open access article distributed under the terms and conditions of the Creative Commons Attribution (CC BY) license (https://creativecommons.org/licenses/by/4.0/).
Share and Cite
Králik, M.; Koóš, P.; Markovič, M.; Lopatka, P. Organic and Metal–Organic Polymer-Based Catalysts—Enfant Terrible Companions or Good Assistants? Molecules 2024, 29, 4623. https://doi.org/10.3390/molecules29194623
Králik M, Koóš P, Markovič M, Lopatka P. Organic and Metal–Organic Polymer-Based Catalysts—Enfant Terrible Companions or Good Assistants? Molecules. 2024; 29(19):4623. https://doi.org/10.3390/molecules29194623
Chicago/Turabian StyleKrálik, Milan, Peter Koóš, Martin Markovič, and Pavol Lopatka. 2024. "Organic and Metal–Organic Polymer-Based Catalysts—Enfant Terrible Companions or Good Assistants?" Molecules 29, no. 19: 4623. https://doi.org/10.3390/molecules29194623
APA StyleKrálik, M., Koóš, P., Markovič, M., & Lopatka, P. (2024). Organic and Metal–Organic Polymer-Based Catalysts—Enfant Terrible Companions or Good Assistants? Molecules, 29(19), 4623. https://doi.org/10.3390/molecules29194623

